Стохастические факторы формирования внезапных ливневых паводков на Черноморском побережье Западного Кавказа и Крыма
- Авторы: Куксина Л.В.1, Белякова П.А.2, Голосов В.Н.1, Жданова Е.Ю.1, Иванов М.М.1,3, Гуринов А.Л.3
-
Учреждения:
- Московский государственный университет имени М.В. Ломоносова (МГУ)
- Институт водных проблем РАН
- Институт географии РАН
- Выпуск: Том 155, № 2 (2023)
- Страницы: 3-24
- Раздел: Статьи
- URL: https://ogarev-online.ru/0869-6071/article/view/232594
- DOI: https://doi.org/10.31857/S0869607123020064
- EDN: https://elibrary.ru/ADZFLS
- ID: 232594
Цитировать
Полный текст
Аннотация
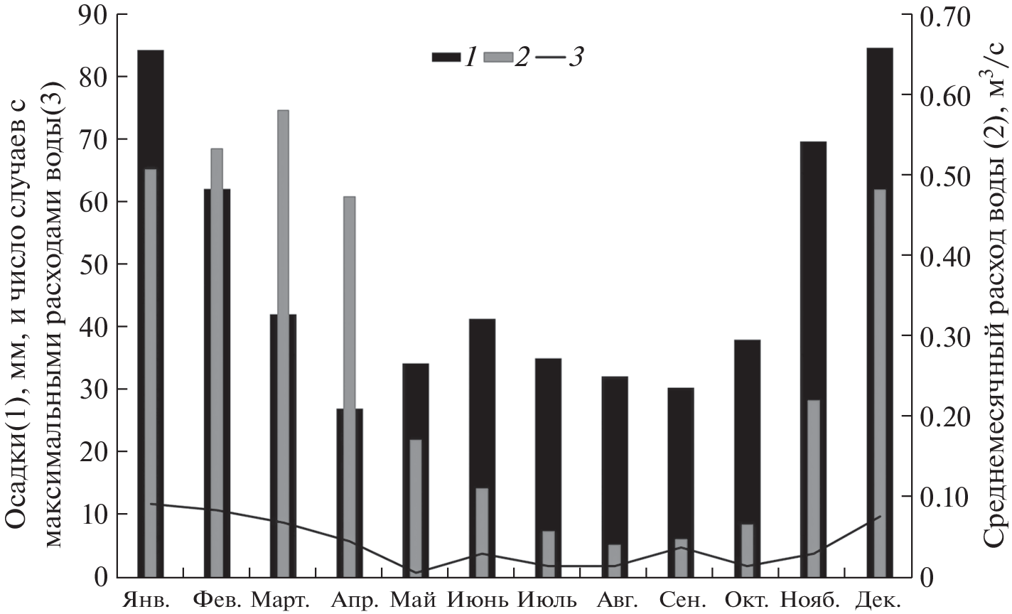
Внезапные ливневые паводки (ВЛП) являются одними из наиболее опасных гидрометеорологических явлений в мире. В представленной работе рассматриваются основные стохастические параметры формирования ВЛП на примере событий, произошедших в 1990–2021 гг. в малых речных бассейнах Черноморского побережья Кавказа и Крыма. Установлено, что основным фактором формирования ВЛП является выпадение осадков редкой повторяемости, однако в ряде случаев возникновение ВЛП может быть связано с комбинацией нескольких параметров, не достигших критических значений. ВЛП в исследуемом регионе формируются в летне-осенний период с максимумом зафиксированных случаев в августе и характеризуются очень высокими скоростями роста уровней воды (1.2–1.3 м/ч), а сток наносов за одно событие может быть сопоставим со среднегодовыми значениями. Статистический анализ продолжительных рядов наблюдений за осадками в регионе позволил сделать предположение о более частом возникновении ВЛП по сравнению с числом зафиксированных и описанных случаев.
Об авторах
Л. В. Куксина
Московский государственный университет имени М.В. Ломоносова (МГУ)
Автор, ответственный за переписку.
Email: ludmilakuksina@gmail.com
Россия, Москва
П. А. Белякова
Институт водных проблем РАН
Автор, ответственный за переписку.
Email: pobel@mail.ru
Россия, Москва
В. Н. Голосов
Московский государственный университет имени М.В. Ломоносова (МГУ)
Автор, ответственный за переписку.
Email: gollossov@gmail.com
Россия, Москва
Е. Ю. Жданова
Московский государственный университет имени М.В. Ломоносова (МГУ)
Автор, ответственный за переписку.
Email: ekaterinzhdanova214@gmail.com
Россия, Москва
М. М. Иванов
Московский государственный университет имени М.В. Ломоносова (МГУ); Институт географии РАН
Автор, ответственный за переписку.
Email: ivanovm@bk.ru
Россия, Москва; Россия, Москва
А. Л. Гуринов
Институт географии РАН
Автор, ответственный за переписку.
Email: gurinov.artem@gmail.com
Россия, Москва
Список литературы
- Алексеевский Н.И., Крыленко И.Н., Беликов В.В., Кочетков В.В., Норин С.В. Численное гидродинамическое моделирование наводнения в г. Крымске 6–7 июля 2012 г. // Гидротехническое строительство. 2014. № 3. С. 29–35.
- Алексеевский Н.И., Магрицкий Д.В., Колтерман К.П., Торопов П.А., Школьный Д.И., Белякова П.А. Наводнения на Черноморском побережье Краснодарского края // Водные ресурсы. 2016. Т. 43. № 1. С. 1–14. https://doi.org/10.7868/S032105961601003X
- Алексеевский Н.И., Магрицкий Д.В., Колтерманн К.П., Крыленко И.Н., Юмина Н.М., Айбулатов Д.Н., Ефремова Н.А. Строение и опасные гидрологические явления в Черноморской природно-экономической зоне побережья // Природные и социальные риски в береговой зоне Черного и Азовского морей: сб. науч. статей по итогам семинара. М., 2012. С. 4–16.
- Анисимов А.Е., Ефимов В.В., Львова М.В. Верификация данных дистанционного зондирования GPM IMERG и количественные оценки атмосферных осадков в Крымском регионе в теплое время года // Морской гидрофизический журнал. 2021. Т. 37. № 4. С. 490–504. https://doi.org/10.22449/0233-7584-2021-4-490-504
- Архипкин В.С., Добролюбов С.А., Мухаметов С.С., Недосапов А.А., Самборский Т.В., Самсонов Т.Е., Серебрянникова Е.А., Суркова Г.А. Экстремальный дождевой паводок в бассейне р. Ашамба и его влияние на рельеф дна и структуру вод моря в районе г. Геленджик // Вестник МГУ. Сер. 5. География. 2013. Т. 5. № 3. С. 27–34.
- Баринов А.Ю. Геоморфологический анализ ливневой селеопасности цели Широкая балка (Черноморское побережье Кавказа) // Геоморфология. 2010. № 2. С. 19–26.
- Битюков Н.А., Ткаченко Ю.Ю., Денисов В.А. Максимальный и минимальный сток на реках Сочинского Причерноморья // Известия вузов. Северо-Кавказский регион. Серия: Естественные науки. 2019. № 4 (204). URL: https://cyberleninka.ru/article/n/maksimalnyy-i-minimalnyy-stok-na-rekah-sochinskogo-prichernomorya (дата обращения: 23.10.2021).
- Болгов М.В., Коробкина Е.А. Реконструкция дождевого паводка на реке Адагум на основе математических моделей формирования стока // Водное хозяйство России. 2013. № 3. С. 87–102.
- Вахрушев Б.А. Районирование карста Крымского полуострова // Спелеология и карстология. 2009. № 3. С. 39–46.
- Вишневская И.А., Денисов Л.В., Долгов С.В., Коронкевич Н.И., Шапоренко С.И., Киреева М.Б., Фролова Н.Л., Рец Е.П., Голубчиков С.Н. Географо-гидрологическая оценка наводнений в российском Причерноморье //Известия Российской академии наук. Серия географическая. 2016. № 1. С. 131–146. https://doi.org/10.15356/0373-2444-2016-1-131-146
- Воробьев Ю.Л., Акимов В.А., Соколов Ю.И. Катастрофические наводнения начала XXI века: уроки и выводы. М.: ООО “ДЭКС-ПРЕСС”. 2003. 352 с.
- Георгиевский В.Ю., Ткаченко Ю.Ю. Катастрофический паводок в бассейне р. Адагум 6–7 июля 2012 г. и его причины наводнение в бассейне р. Адагум. 2012. 42 с. http://meteoweb.ru/biblio/27.pdf.
- Джаошвили Ш. Реки Черного моря. Технический отчет № 71. Европейское агентство по охране окружающей среды. 2002. 58 с.
- Доклад о климатических рисках на территории РФ. Санкт-Петербург, 2017. 106 с.
- Ермакова Г.С., Горелиц О.В., Жбаков К.К., Землянов И.В., Милютина И.Ю. Экстремальные паводки на реках Крыма в 2021 году // Водные ресурсы. 2022. Т. 49. № 4. С. 460–473. https://doi.org/10.31857/S0321059622040046
- Известия. URL: https://iz.ru/1180696/2021-06-18/odin-chelovek-pogib-v-rezultate-podtoplenii-v-ialte (дата обращения: 09.10.2021).
- Климчук А.Б., Тимохина Е.И., Амеличев Г.Н. и др. Гипогенный карст Предгорного Крыма и его геоморфологическая роль. 2013. 204 с.
- Клюкин А.А. Экзогеодинамика Крыма. 2007. 320 с.
- Клюкин А.А. Экстремальные проявления неблагоприятных и опасных экзогенных процессов в ХХ веке в Крыму // Геополитика и экогеодинамика регионов. 2005. С. 27–38.
- Кононова Н.К. Циркуляция атмосферы как фактор стихийных бедствий на Северном Кавказе в XXI веке // Геополитика и экогеодинамика регионов. 2012. Т. 8. № 1–2. С. 72–103.
- Котляков В.М., Десинов Л.В., Долгов С.В., Коронкевич Н.И., Лихачёва Э.А., Маккавеев А.Н., Медведев А.А., Рудаков В.А. Наводнение 6–7 июля 2012 года в городе Крымске // Известияи РАН. Серия географическая. 2012. № 6. С. 80–88.
- Куксина Л.В., Голосов В.Н., Жданова Е.Ю., Цыпленков А.С. Гидролого-климатические факторы формирования экстремальных эрозионных событий в горном Крыму // Вестник Московского университета. Сер. 5. География. 2021. № 5. С. 36–50.
- Куксина Л.В., Голосов В.Н., Кузнецова Ю.С. Ливневые паводки в горах: изученность, распространение, факторы формирования // География и природные ресурсы, 2017. С. № 1. С. 25–35. https://doi.org/10.21782/GIPR0206-1619-2017-1(25-35)
- Матишов Г.Г., Клещенков А.В. Кубанский паводковый кризис. Климат, геоморфология, прогноз. Крымск, июль 2012 г. Ростов-на-Дону: ЮНЦ РАН. 2012. 128 с.
- Методические указания республиканского и территориального управления по гидрометеорологии и контролю природной среды № 92. Определение максимальных расходов воды по меткам уровня высоких вод / Сост.: Б.М. Доброумов, Г.А. Любимов. Л.: Гидрометеоиздат, 1979. с. 61.
- Овчарук В.А., Тодорова Е.И. Статистические параметры максимальных расходов воды и слоев паводочного стока для рек Горного Крыма // Геополитика и экогеодинамика регионов. 2014. 10(1). С. 766–770.
- Панов Д.В., Базелюк А.А., Лурье П.М. Реки Черномороского побережья Кавказа: гидрография и режим стока. Ростов-на-Дону, 2012. 605 с.
- Семенов В.А., Алёшина М.А. Сценарные прогнозы изменений температурного и гидрологического режима Крыма в XXI веке по данным моделей климата CMIP6 // Водные ресурсы. 2022. Т. 49. № 4. С. 506–516. https://doi.org/10.31857/S0321059622040174
- Ткаченко Ю.Ю. Опасные гидрометеорологические явления на Черноморском побережье, связанные с выпадением сильных осадков // Природные и социальные риски в береговой зоне Черного и Азовского морей: сб. науч. статей по итогам семинара. М., 2012. С. 42–45.
- Федеральная служба по гидрометеорологии и мониторингу окружающей среды URL: www.meteo.ru (дата обращения: 14.11.2020).
- Цыпленков А.С., Иванова Н.Н., Ботавин Д.В., Кузнецова Ю.С., Голосов В.Н. Гидрометеорологические предпосылки и геоморфологические последствия экстремального паводка в бассейне малой реки в зоне влажных субтропиков (на примере р. Цанык, район Сочи) // Вестник Санкт-Петербургского университета. Науки о Земле. 2021. 66(1). С. 144–166. https://doi.org/10.21638/spbu07.2021.109
- Чернявский А.С. Селевой морфолитогенез на Черноморском побережье Кавказа (в пределах Краснодарского края). Автореферат на соискание ученой степени кандидата географических наук. Краснодар: Центр Универсервис, 2010. 23 с.
- Шварев С.В., Харченко С.В., Голосов В.Н. Причины и последствия техногенной активизации селей в 2006–2019 гг. на водосборе притока руч. Сулимовский (район пос. Красная Поляна, Западный Кавказ) // Геориск. 2020. Т. 14. № 2. С. 66–76.
- Шныпарков А.Л., Селиверстов Ю.Г., Сократов С.А., Перов В.Ф. Селевой риск на Черноморском побережье Кавказа // Вестник Московского университета. Сер. 5. География. 2013. № 3. С. 42–48.
- Эксперт Юг. URL: https://expertsouth.ru/news/navodneniya-na-kubani-zabytye-uroki-krymskogo-pavodka/ (дата обращения: 11.10.2021).
- Aleshina M.A., Toropov P.A., Semenov V.A. Temperature and humidity regime changes on the Black Sea coast in 1982–2014 // Rus. Meteor. Hydrol. 2018. № 4. C. 41–53. https://doi.org/10.3103/S1068373918040040
- Alexeevsky N., Magritsky D.V., Koltermann K.P., Krylenko I., Toropov P. Causes and systematic of inundations of the Krasnodar territory on the Russian Black Sea coast // Nat. Hazards Earth Syst. Sci. 2016. № 16. P. 1289–1308. https://doi.org/10.5194/nhess-16-1289-2016
- Archer D., Fowler H. Characterising flash flood response to intense rainfall and impacts using historical information and gauged data in Britain // Journal of Flood Risk Management. 2015. https://doi.org/10.1111/jfr3.12187
- Baburin V.L., Gavrilova S.A., Koltermann P., Seliverstov Y.G., Sokratov S.A., Shnyparkov A.L. Quantification of economic and social risks of debris flows for the Black Sea coastal region of the North Caucasus // Geography, environment, sustainability. 2014. № 7. P. 108–122.
- Baran-Zgłobicka B., Godziszewska D., Zgłobicki W. The Flash Floods Risk in the Local Spatial Planning (Case Study: Lublin Upland, E Poland) // Resources. 2021. V. 10. № 14. https://doi.org/10.3390/resources10020014
- Belyakova P., Shikhov A., Perminov S., Moreydo V. Accuracy assessment of heavy rainfall forecasting in the Western Caucasus with ICON-Eu regional atmospheric model for short-term flood forecasting // IOP Conference Series: Earth and Environmental Science. 2020. V. 611. DOI: 012049. https://doi.org/10.1088/1755-1315/611/1/012049
- Borga M., Stoffel M., Marchi L., Marra F., Jakob M. Hydrogeomorphic Response to Extreme Rainfall in Headwater Systems: Flash Floods and Debris Flows // Journal of Hydrology. 2014. V. 518. P. 194–205. https://doi.org/10.1016/j.jhydrol.2014.05.022
- Cohen H., Laronne J.B. High rates of sediment transport by flashfloods in the Southern Judean Desert, Israel // Hydrological Processes. 2005. V. 19. P. 1687–1702.
- Cohen H., Laronne J.B., Reid I. Simplicity and complexity of bed load response during flash floods in a gravel bed ephemeral river: A 10 year field study // Water Resources Research. 2010. V. 46. https://doi.org/10.1029/2010WR009160
- Costa J.E., Jarrett R.D. An evaluation of selected extraordinary floods in the United States reported by the US geological survey and implications for future Advancement of Flood Science // US Geological Survey, Scientific Investigations Report. 2008. № 5164. 52 p.
- Doocy S., Daniels A., Murray S., Kirsch T.D. The Human Impact of Floods: A Historical Review of Events 1980-2009 and Systematic Literature Review // PLoS Curr. 2013. V. 5. https://doi.org/10.1371/currents.dis.f4deb457904936b07c09daa98ee8171a
- Gaume E., Bain V., Bernardara P., Newinger O., Barbuc M., Bateman A., Blaškovičová L., Blöschl G., Borga M., Dumitrescu A. et al. A Compilation of Data on European Flash Floods // Journal of Hydrology. 2009. V. 367. P. 70–78. https://doi.org/10.1016/j.jhydrol.2008.12.028
- Gergedava B.A. Types of clastokarst caves of the Caucasus // Soviet Geography. 1988. V. 29(5). P. 514–528. https://doi.org/10.1080/00385417.1988.10640723
- Global Precipitation Measurement. Available online: https://gpm.nasa.gov/data/imerg (accessed on 23 September 2021).
- Groisman P.Y., Knight R.W., Easterling D.R., Karl T.R., Hegerl G.C., Razuvaev V.N. Trends in Intense Precipitation in the Climate Record // Journal of Climate. 2005. V. 18. P. 1326–1350. https://doi.org/10.1175/JCLI3339.1
- Groisman P.Y., Knight R.W., Karl T.R., Easterling D.R., Sun B., Lawrimore J.H. Contemporary Changes of the Hydrological Cycle over the Contiguous United States: Trends Derived from In Situ Observations // Journal of Hydrometeorology. 2004. V. 5. P. 64–85. https://doi.org/10.1175/1525-7541(2004)005<0064:CCOTHC>2.0.CO;2
- IPCC SIX Assessment Report. Available online: https://www.ipcc.ch/report/ar6/wg1/ (accessed on 9 September 2021).
- Jarett R. Errors in slope-area computations of peak discharges in mountain streams // J. Hydrol. 1987. V. 96 (1–4). P. 53–67. https://doi.org/10.1016/0022-1694(87)90143-0
- Jonkman S.N. Global Perspectives on Loss of Human Life Caused by Floods // Nat Hazards. 2005. V. 34. P.151–175. https://doi.org/10.1007/s11069-004-8891-3
- Korshenko E., Zhurbas V., Osadchiev A., Belyakova P. Fate of river-borne floating litter during the flooding event in the northeastern part of the Black Sea in October 2018 // Marine Pollution Bulletin. 2020. V. 160. https://doi.org/10.1016/j.marpolbul.2020.111678
- Kuksina L., Golosov V. Flash Floods: Formation, Study and Distribution // E3S Web Conf. 2020. V. 163. https://doi.org/10.1051/e3sconf/202016302005
- Li X., Hu Q. Spatiotemporal Changes in Extreme Precipitation and Its Dependence on Topography over the Poyang Lake Basin, China // Advances in Meteorology. 2019. https://doi.org/10.1155/2019/1253932
- Lumbroso D., Gaume E. Reducing the uncertainty in indirect estimates of extreme flash flood discharges // J. Hydrol. 2012. V. 414–415. P. 16–30. https://doi.org/10.1016/j.jhydrol.2011.08.048
- Marchi L., Borga M., Preciso E., Gaume E. Characterisation of selected extreme flash floods in Europe and implications for flood risk management // J. Hydrol. 2010. V. 394(1–2). P. 118–133.
- Meredith E.P., Semenov V.A., Maraun D., Park W., Chernokulsky A.V. Crucial Role of Black Sea Warming in Amplifying the 2012 Krymsk Precipitation Extreme // Nature Geosci. 2015. V. 8. P. 615–619. https://doi.org/10.1038/ngeo2483
- Mueller E.N., Pfister A. Increasing Occurrence of High-Intensity Rainstorm Events Relevant for the Generation of Soil Erosion in a Temperate Lowland Region in Central Europe // Journal of Hydrology. 2011. V. 411. P. 266–278. https://doi.org/10.1016/j.jhydrol.2011.10.005
- Poesen J.W.A., Hooke J.M. Erosion, Flooding and Channel Management in Mediterranean Environments of Southern Europe // Progress in Physical Geography: Earth and Environment. 1997. V. 21. P. 157–199. https://doi.org/10.1177/030913339702100201
- Rajah K., O’Leary T., Turner A., Petrakis G., Leonard M., Westra S. Changes to the Temporal Distribution of Daily Precipitation // Geophysical Research Letters. 2014. V. 41. P. 8887–8894. https://doi.org/10.1002/2014GL062156
- Soto A.U., Madrid-Aris M. Roughness coefficient in mountain rivers // American Society of Civil Engineering. Hydraulics Engineering. 1994. P. 652–656.
- Sungmin O., Ulrich F. Assessment of spatial uncertainty of heavy rainfall at catchment scale using a dense gauge network // Hydrol. Earth Syst. Sci. 2019. V. 23. P. 2863–2875. https://doi.org/10.5194/hess-23-2863-2019
- Tashilova A., Ashabokov B., Kesheva L., Teunova N.V. Analysis of climate change in the Caucasus region: and of the 20th–beginning of the 21th century // Climate. 2019. V. 7(11). https://doi.org/cli7010011
- The Flood Observatory Available online: http://floodobservatory.colorado.edu/ (accessed on 18 January 2022).
- Tripoli G.J., Medaglia C.M., Dietrich S., Mugnai A., Panegrossi G., Pinori S., Smith E.A. The 9–10 November 2001 Algerian Flood A Numerical Study // American meteorological society. 2005. P. 1229–1236.
- US Department of Commerce, N. Flash Flooding Definition Available online: https://www.weather.gov/phi/FlashFloodingDefinition (accessed on 18 January 2022).
- Vkontakte. Available online: https://vk.com/wall-42886009_1149515 (accessed on 17 August 2021).
- Voskresenskaya E., Vyshkvarkova E. Extreme precipitation over the Crimean peninsula // Quaternary International. 2016. https://doi.org/10.1016/j.quaint.2015.09.097
- Vyshkareva E. Changes in extreme precipitation over the North Caucasus and the Crimean Peninsula during 1961–2018 // Quarterly Journal of the Hungarian Meteorological Service. 2021. V. 125(2). P. 321–336. https://doi.org/10.28974/idojaras.2021.2.8
- Zolina O., Simmer C., Belyaev K., Kapala A., Gulev S. Improving estimates of heavy and extreme precipitation using daily records from European rain gauges // J. Hydrometeorol. 2009. V. 10. P. 701–716. https://doi.org/10.1175/2008JHM1055.1
Дополнительные файлы







