Определение валентного состояния железа в хромшпинели по данным электронно-зондовой рентгено-эмиссионной спектроскопии Lα,β-линий
- Авторы: Вотяков С.Л.1, Замятин Д.А.1, Даниленко И.А.1, Чащухин И.С.1
-
Учреждения:
- Институт геологии и геохимии им. А.Н. Заварицкого УрО РАН
- Выпуск: Том CLII, № 3 (2023)
- Страницы: 98-112
- Раздел: МЕТОДИКА ИССЛЕДОВАНИЯ МИНЕРАЛОВ, ГОРНЫХ ПОРОД И РУД
- URL: https://ogarev-online.ru/0869-6055/article/view/136748
- DOI: https://doi.org/10.31857/S0869605523030085
- EDN: https://elibrary.ru/XHDVSS
- ID: 136748
Цитировать
Полный текст
Аннотация
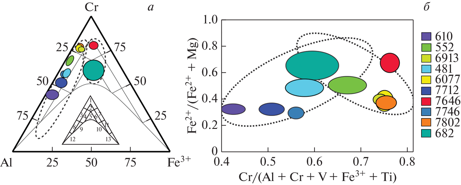
Степень окисления ионов Fe, Cu, Eu, Ce и др. в минералах – важный показатель окислительно-восстановительных условий их образования и эволюции. В работе изучены особенности рентгено-эмиссионных Fe Lα,β спектров (РЭС), полученных с использованием микрозонда Cameca SX100, и мессбауэровских спектров хромшпинели различного состава из ультрамафитов Урала. Из большой коллекции проб с использованием микрозондовых данных по составу и однородности зерен, а также отношения Fe3+/\({\text{Fe}}_{{{\text{{о}{б}{щ}}}}}^{{{\text{{м}{е}{с}{с}{б}}}}}\) отобрано 19 внутрилабораторных образцов сравнения (ОС) хромшпинели, имеющих типичные мессбауэровские спектры, которые могут быть апроксимированы дублетными компонентами от ионов Fe2+ и Fe3+. Показано, что с точностью до погрешности определения, значения Fe3+/\({\text{Fe}}_{{{\text{{о}{б}{щ}}}}}^{{{\text{{м}{е}{с}{с}{б}}}}},\) попадающие в интервал 8–31%, совпадают с таковыми, полученными в рамках расчетного подхода, основанного на микрозондовых данных по составу зерен и предположении о стехиометричности минерала. При определении степени окисления Fe по данным РЭС в качестве градуировочной зависимости предложено использовать зависимость положения максимума линии Fe Lα от содержания Fe2+ для внутрилабораторных ОС. Для серии контрольных проб хромшпинели показано, что полученные значения Fe2+ и Fe3+/Feобщ удовлетворительно согласуются с мессбауэровскими и расчетными данными в стехиометрическом приближении; погрешность определения значения Fe2+ по данным РЭС не выше 2%.
Об авторах
С. Л. Вотяков
Институт геологии и геохимии им. А.Н. Заварицкого УрО РАН
Автор, ответственный за переписку.
Email: votyakov@igg.uran.ru
Россия, 620110, Екатеринбург, ул. Академика Вонсовского, 15,
Д. А. Замятин
Институт геологии и геохимии им. А.Н. Заварицкого УрО РАН
Email: votyakov@igg.uran.ru
Россия, 620110, Екатеринбург, ул. Академика Вонсовского, 15,
И. А. Даниленко
Институт геологии и геохимии им. А.Н. Заварицкого УрО РАН
Email: votyakov@igg.uran.ru
Россия, 620110, Екатеринбург, ул. Академика Вонсовского, 15,
И. С. Чащухин
Институт геологии и геохимии им. А.Н. Заварицкого УрО РАН
Email: votyakov@igg.uran.ru
Россия, 620110, Екатеринбург, ул. Академика Вонсовского, 15,
Список литературы
- Булах А.Г., Золотарёв А.А., Кривовичев В.Г. Структура, изоморфизм, формулы, классификация минералов. СПб.: Изд-во Санкт-Петербургского государственного университета, 2014. 133 с.
- Вотяков С.Л., Щапова Ю.В., Хиллер В.В. Кристаллохимия и физика радиационно-термических эффектов в ряде U-Th-содержащих минералов как основа для их химического микрозондового датирования. Екатеринбург: ИГГ УрО РАН, 2011. 336 с.
- Кривовичев В.Г., Гульбин Ю.Л. Рекомендации по расчету и представлению формул минералов по данным химических анализов // ЗРМО. 2022. Т. 151. № 1. С. 114–124.
- Куликова И.М., Баринский Р.Л. Электронно-зондовый анализ содержания ионов переходных элементов разной валентности в минералах // ЗВМО. 1998. Т. 127. № 2. С. 115–119.
- Куликова И.М., Баринский Р.Л., Пеков И.В. Микрозондовый метод исследования типа химической связи атомов меди в минералах. I Бинарные соединения // ЗВМО. 2002. № 1. С. 121–125.
- Куликова И.М., Баринский Р.Л., Пеков И.В., Блинов В.А. Микрозондовый метод исследования типа химической связи атомов меди в минералах. II. Минералы сложного состава // З-РМО. 2005. Т. 134. № 1. С. 118–123.
- Легкова Г.В., Войткевич В.Г. Шаркин О.П. Электронно-зондовое определение содержания Fe2+ и Fe3+ в амфиболах // Минерал. журнал. 1982. Т. 4. № 4. С. 90–93.
- Муханова А.А., Куприянова Т.А., Моргунова А.А. Определение формы нахождения железа в минералах по эмиссионным рентгеновским спектрам // VI Всероссийск. конф. по рентгеноспектральному анализу. Краснодар, 5–10 октября 2008 г. Краснодар, 2008. С. 88.
- Павлов Н.В. Химический состав хромшпинелидов в связи с петрографическим составом пород ультраосновных интрузивов // Тр. Геол. ин-та АН СССР. 1949. Вып. 103. 91 с.
- Павлова Л.А. Качество определения методом РСМА при использовании стандартных образцов предприятия базальтовых стекол и медьсодержащих сплавов // Журнал аналитической химии. 2008. Т. 63. № 7. С. 717–725.
- Таскаев В.И., Стручаева Г.Г., Пятков А.Г. Определение концентрации Fe2+ и Fe3+ в пироксенах методом рентгеноспектрального микроанализа // Методы рентгеноспектрального анализа. Новосибирск: Наука, 1986. С. 154–158.
- Чащухин И.С., Вотяков С.Л., Щапова Ю.В. Кристаллохимия хромшпинели и окситермобарометрия ультрамафитов складчатых областей. Екатеринбург: ИГГ УрО РАН, 2007. 310 с.
- Чубаров В.М. Определение Fe2+ в горных породах и Mn4+ в железомарганцевых конкрециях с использованием характеристических рентгеновских спектров. Дис. … уч. степени канд. хим. н. Иркутск, 2012. 142 с.
Дополнительные файлы







