Hematite from Fumaroles of the Tolbachik Volcano (Kamchatka, Russia): Chemistry, Relationships with Associated Minerals, Morphological and Genetic Features
- Authors: Sandalov F.D.1, Pekov I.V.1, Koshlyakova N.N.1, Latyshev A.V.1,2, Zhegunov P.S.3
-
Affiliations:
- Faculty of Geology, Moscow State University
- Schmidt Institute of the Physics of the Earth, RAS
- Institute of Volcanology and Seismology, Far Eastern Branch RAS
- Issue: Vol CLII, No 4 (2023)
- Pages: 16-46
- Section: МИНЕРАЛЫ И ПАРАГЕНЕЗИСЫ МИНЕРАЛОВ
- URL: https://ogarev-online.ru/0869-6055/article/view/136733
- DOI: https://doi.org/10.31857/S0869605523040081
- EDN: https://elibrary.ru/EGWLVU
- ID: 136733
Cite item
Full Text
Abstract
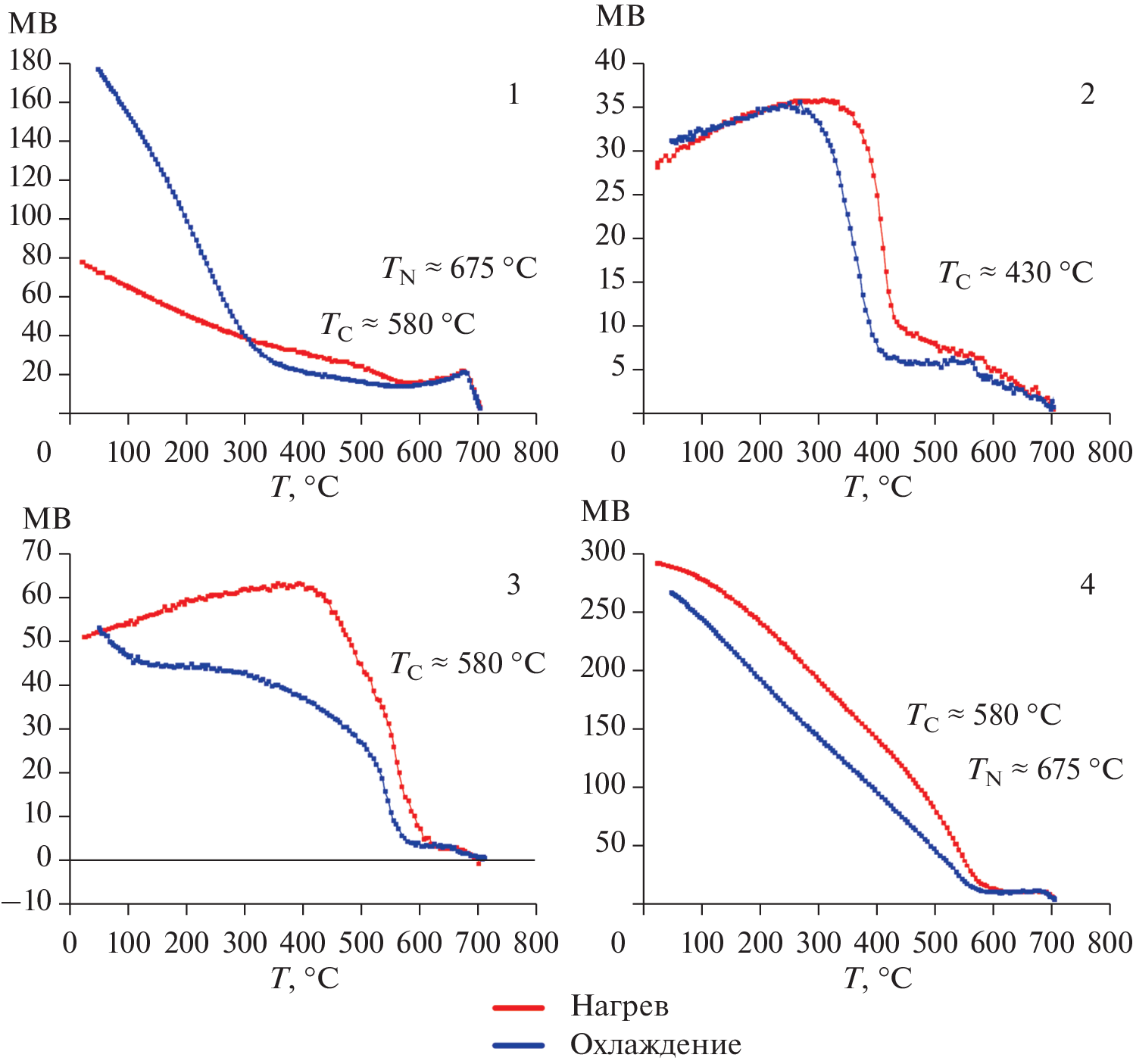
Hematite from fumaroles of the Tolbachik volcano (Kamchatka, Russia) was studied in detail. There is characterized epitaxy of rutile-group minerals (cassiterite, rutile, and tripuhyite), oxide spinels (magnesioferrite, gahnite, and cuprospinel), and corundum on hematite. Fumarolic hematite contains significant admixtures of chalcophile elements: tin (up to 9.2 wt % SnO2, the highest content known for natural hematite), copper (up to 4.7 wt % CuO), and antimony (up to 2.6 wt % Sb2O5) – which is a novel for this mineral. Other significant admixtures are represented by Ti, Mg, Mn, Al, and Cr. There were revealed previously unknown Sn-Cu- and Sn-Cu-Sb-bearing varieties of hematite and new for this mineral isomorphic schemes: Sn4+ + Cu2+ → 2Fe3+ and Sb5+ + 2(Cu,Fe)2+ → 3Fe3+. It is shown that in oxidizing-type fumaroles of Tolbachik hematite is the major concentrator of Sn and Sb. Hematite enriched in such admixtures was formed in the temperature range of 500–850 °C. Volcanic gas was the source of chalcophile elements (Sn, Sb, Cu, Zn), whereas a source of hardly volatile components (Mg, Al, Cr, Ti) was basalt surrounding fumarole chambers; a mixed source is suggested for Fe, Mn and V. The chalcophile specificity of admixed components is an indicative feature of fumarolic hematite. The finding of martite in Tolbachik fumaroles implies that the oxidizing potential increases in time during the fumarolic mineral formation.
Keywords
About the authors
F. D. Sandalov
Faculty of Geology, Moscow State University
Author for correspondence.
Email: fyodor.sandalov@yandex.ru
Russia, Moscow
I. V. Pekov
Faculty of Geology, Moscow State University
Email: fyodor.sandalov@yandex.ru
Russia, Moscow
N. N. Koshlyakova
Faculty of Geology, Moscow State University
Email: fyodor.sandalov@yandex.ru
Russia, Moscow
A. V. Latyshev
Faculty of Geology, Moscow State University; Schmidt Institute of the Physics of the Earth, RAS
Email: fyodor.sandalov@yandex.ru
Russia, Moscow; Russia, Moscow
P. S. Zhegunov
Institute of Volcanology and Seismology, Far Eastern Branch RAS
Email: fyodor.sandalov@yandex.ru
Russia, Petropavlovsk-Kamchatsky
References
- Большое трещинное Толбачинское извержение, Камчатка, 1975–1976 Под ред. С.А. Федотова. М.: Наука, 1984. 637 с.
- Булах М.О. Апобазальтовые газовые метасоматиты и сопряженная с ними эксгаляционная минерализация в фумарольных системах окислительного типа (на примере вулкана Толбачик, Камчатка). Дис. к.г.-м.н. М.: МГУ, 2023. 382 с.
- Булах М.О., Пеков И.В., Кошлякова Н.Н., Сидоров Е.Г. Людвигит и юаньфулиит из фумарольных эксгаляций вулкана Толбачик (Камчатка) // ЗРМО. 2021. Т. 150. № 6. С. 67–87.
- Булах М.О., Пеков И.В., Кошлякова Н.Н., Назарова М.А. Изменение базальта в высокотемпературных фумаролах окислительного типа на вулкане Толбачик (Камчатка). Часть 1. Процессы и продукты преобразования оливина // ЗРМО. 2023. Т. 152. № 3. С. 1–36.
- Вергасова Л.П., Филатов С.К. Опыт изучения вулканогенно-эксгаляционной минерализации // Вулканология и сейсмология. 2016. № 2. С. 3‒17.
- Вергасова Л.П., Филатов С.К., Дунин-Барковская В.В. Постэруптивная деятельность Первого конуса БТТИ и современное вулканогенное формирование бокситов // Вулканология и сейсмология. 2007. № 2. С. 55‒77.
- Меняйлов И.А., Никитина А.П., Шапарь В.Н. Геохимические особенности эксгаляций Большого трещинного Толбачинского извержения. М.: Наука, 1980. 235 с.
- Минералы. Справочник. Под. ред. Чухрова Ф.В. и Бонштедт-Куплетской Э.М. Т. II. Вып. 2. Простые окислы. М.: Наука, 1965. 342 с.
- Набоко С.И., Главатских С.Ф. Постэруптивный метасоматоз и рудообразование. М.: Наука, 1983. 165 с.
- Набоко С.И., Главатских С.Ф. Реликты постэруптивной активности на старых конусах Толбачинского дола, Камчатка // Вулканология и сейсмология. 1992. № 5‒6. С. 66‒86.
- Пеков И.В., Агаханов А.А., Зубкова Н.В., Кошлякова Н.Н., Щипалкина Н.В., Сандалов Ф.Д., Япаскурт В.О., Турчкова А.Г., Сидоров Е.Г. Фумарольные системы окислительного типа на вулкане Толбачик ‒ минералогический и геохимический уникум // Геология и геофизика. 2020. № 5–6. С. 826‒843.
- Сандалов Ф.Д., Кошлякова Н.Н., Пеков И.В., Жегунов П.С. Медные, цинковые и Sn-содержащие оксиды группы шпинели в отложениях палеофумарол Южного поля горы 1004 (вулканический комплекс Толбачик, Камчатка) // Сборник тезисов XI Российской молодежной научно-практической Школы “Новое в познании процессов рудообразования”. М.: ИГЕМ РАН, 2022. С. 230–233.
- Сандалов Ф.Д., Кошлякова Н.Н., Пеков И.В., Япаскурт В.О., Ханин Д.А., Сидоров Е.Г. Касситерит из фумарольных эксгаляций вулкана Толбачик (Камчатка): химический состав и морфогенетические особенности // Новые данные о минералах. 2019. Т. 53. № 3. С. 60–70.
- Сандалов Ф.Д., Пеков И.В., Кошлякова Н.Н., Ксенофонтов Д.А., Жегунов П.С. Псевдобрукит из активных фумарол вулканического массива Толбачик (Камчатка). Состав и типохимизм минералов группы псевдобрукита // ЗРМО. 2023. Т. 152. № 2. С. 31‒59.
- Сандалов Ф.Д., Пеков И.В., Кошлякова Н.Н., Япаскурт В.О., Агаханов А.А., Сидоров Е.Г., Бритвин С.Н. Богатый халькофильными элементами (Sb, Sn, Te) рутил и высокотитанистые разновидности трипугиита и касситерита из возгонов активных фумарол вулкана Толбачик (Камчатка, Россия) // ЗРМО. 2020. № 2. С. 22–41.
- Сандалов Ф.Д., Щипалкина Н.В., Пеков И.В., Кошлякова Н.Н., Бритвин С.Н., Сидоров Е.Г. Кристобалит и тридимит из отложений фумаролы Арсенатная (вулкан Толбачик, Камчатка, Россия) // Вестник МГУ. Серия 4: Геология. 2021. № 2. С. 87–96.
- Серафимова Е.К., Ананьев В.В. Оловосодержащий гематит горы 1004 (Толбачинский дол, Камчатка) // Постэруптивное минералообразование на активных вулканах Камчатки. Часть 1. Владивосток. 1992. С. 115–121.
- Серафимова Е.К., Пономарев В.В., Игнатович Ю.А., Перетолчина Н.Н. Минералогия возгонов Северного прорыва Большого трещинного Толбачинского извержения // Бюлл. вулканологических станций. 1979. № 56. С. 162–179.
Supplementary files












