Свойства флюидов при метасоматических преобразованиях метаморфических пород в Р-Т условиях средней коры: пример из района Большие Кейвы, Беломорско-Лапландский ороген, Фенноскандинавский щит
- Авторы: Бушмин С.А.1, Вапник Е.А.2, Иванов М.В.1, Кольцов А.Б.1, Лебедева Ю.М.1, Александрович О.В.1, Савва Е.В.1
-
Учреждения:
- Институт геологии и геохронологии докембрия РАН
- Ben-Gurion University of the Negev
- Выпуск: Том 32, № 4 (2024)
- Страницы: 471-496
- Раздел: Статьи
- URL: https://ogarev-online.ru/0869-5903/article/view/263327
- DOI: https://doi.org/10.31857/S0869590324040032
- EDN: https://elibrary.ru/BZAFGG
- ID: 263327
Цитировать
Полный текст
Аннотация
Свойства флюидов при Р-Т условиях средней коры исследованы на примере метасоматических преобразований метаморфических пород (амфиболитовая фация) тектонического покрова Большие Кейвы Кейвского террейна Беломорско-Лапландского коллизионного орогена Фенноскандинавского щита. Для изучения свойств флюидов выбраны пять типов пород: метаморфические сланцы и гнейсы с графитом, метасоматические кварцевые породы с повышенным содержанием графита, кианит-кварцевые жилы с околожильными метасоматитами, метасоматические кварцсодержащие кианитовые породы и анхимономинеральные кварцевые жилы. В составе флюидных включений методами микротермометрии и КР-спектроскопии определены NaCl, CaCl2, СО2, N2, СН4 и более тяжелые углеводороды, графит. По минеральным ассоциациям методом мультиравновесной термобарометрии и по плотностям включений СО2 реконструирован ретроградный тренд Р-Т параметров, отражающий Р-Т историю пород при их эксгумации. Предложено объяснение присутствия водных включений с NaCl низкой солености среди включений высокой солености с NaCl и CaCl2. Сравнение данных по активности Н2О (минеральные равновесия) и содержанию солей (флюидные включения) с таковыми модельного флюида (термодинамическая модель системы H2O-NaCl-CaCl2-CO2) показало хорошее соответствие природных и модельных данных. В результате обобщения природных и модельных данных рассмотрены вариации фазового состояния и химического состава, свойства флюидов, в том числе активность Н2О, плотность, соленость вдоль ретроградного Р-Т тренда.
Полный текст
Введение
Флюиды играют важную роль во всех глобальных геологических процессах образования и преобразования земной коры – магматизме, метаморфизме, метасоматозе, рудогенезе и геодинамике. В метаморфическом и метасоматическом петрогенезисе, формировании гидротермальных месторождений флюидам принадлежит ведущая роль; флюидные потоки как рассеянные, так и локализованные являются движущей силой этих процессов, перенося тепло и вещество. Физико-химические свойства флюидов широко меняются, так как зависят от Р-Т параметров и состава в разных геологических обстановках, и эти различия сильно влияют на процессы петрогенезиса на разных уровнях глубинности. К таким свойствам относятся, например, фазовое состояние флюидов (гомогенное или гетерогенное), химический состав и плотность флюидных фаз, влияющая на их растворяющую способность (например, Файф и др., 1981; Шмулович, 1988; Perchuk, Gerya, 1993; Аранович и др., 2010; Ague, 2014; Manning, Aranovich, 2014; Аранович, 2017; Aranovich, Safonov, 2018; Manning, 2018; Newton et al., 2019; Иванов, Бушмин, 2019, 2021, 2022; Иванов, 2023; Steele-MacInnis, Manning, 2020; Mysen, 2022 и ссылки в этой работе). Знание этих свойств и особенностей их эволюции является ключевым для понимания причин геофизических аномалий, транспорта химических элементов, образования руд в земной коре.
Для исследования свойств флюидов при Р-Т условиях средней коры (амфиболитовая фация) выбран тектонический покров Большие Кейвы (например, Бушмин и др., 2011а) на Фенноскандинавском щите в пределах Беломорско-Лапландского коллизинного орогена с ярко и контрастно проявленными метаморфическими и метасоматическими событиями (например, Бушмин и др., 2023 и ссылки в этой работе).
На примере Больших Кейв нами исследованы свойства флюидов (фазовое состояние, химический состав и свойства гомогенного флюида и несмесимых фаз гетерогеного флюида, в том числе активность воды, плотность, соленость) при изменении Р-Т параметров метаморфических и метасоматических преобразований пород вдоль ретроградного Р-Т тренда на уровне амфиболитовой фации. Особое внимание уделено исследованию флюидных включений и сопоставлению этих результатов с предсказанием свойств флюидов на основе новых термодинамических моделей флюидных систем (Иванов, 2023).
Геологическая ситуация
Формирование тектонического покрова Большие Кейвы связано с надвигообразованием во время палеопротерозойских коллизионных процессов на северо-восточной границе Беломорско-Лапландского коллизионного орогена, который в настоящее время представляет собой тектонический коллаж, образованный различными блоками (террейнами) архейских и протерозойских пород (например, Харитонов, 1957; Bridgwater et al., 2001; Балаганский, 2002; Балаганский и др., 2009, 2011; Бушмин и др., 2011а и ссылки в этой работе). Тектонический покров Большие Кейвы протяженностью более 160 км (рис. 1) является верхней частью тектоно-стратиграфического разреза Кейвского террейна (гнейсы предполагаемого фундамента, метавулканиты лебяжинской серии, высокоглиноземистые сланцы кейвской серии, щелочные граниты), который является уникальной структурой. Кейвский террейн принципиально отличается от смежных территорий тем, что рассматриваемая структура не только вся целиком сложена архейскими образованиями, но и само его обособление произошло в конце неоархея, а последующая обширная переработка происходила во время палеопротерозойских коллизионных процессов. Обращает на себя внимание и уникальный легкий изотопный состав углерода графита, достигающий значений δ13С = – 47.8‰ PDB (Галимов, 1968; Бушмин и др., 2011б; Фомина и др., 2017) в богатых кианитом и кварцем метасоматических бластомилонитах с повышенным содержанием графита в Кейвском покрове.
Рис. 1. Схема покровных структур северной части Кейвского террейна, (Бушмин и др., 2011а), с изменениями. 1 – граниты, гранито-гнейсы и гнейсы Кольского кратона, 2 – анортозиты, 3 – щелочные граниты, 4 – гранат-биотитовые и гранат-амфибол-биотитовые гнейсы с телами амфиболитов, щелочные метасоматиты, 5 – высокоглиноземистые метаморфические и метасоматические породы с телами амфиболитов и плагиоклазитов (метаанортозитов), 6 – тектонические границы по надвигам, 7 – цветными знаками показаны места отбора образцов разных типов пород. Тип-1: а – метаморфические гнейсы и сланцы с графитом; б – амфиболиты; тип-2: в – метасоматические кварцевые породы с повышенным содержанием графита; тип-3: г – кианит-кварцевые жилы с околожильными метасоматитами; тип-4: д – метасоматические кианитовые породы; тип-5: е – анхимономинеральные кварцевые жилы. На врезке показано положение района исследований.
Покров Большие Кейвы сложен пластинами и линзами бластомилонитовых преимущественно высокоглиноземистых метаморфических и метасоматических пород (например, Бушмин и др., 2011б и ссылки в этой работе) кейвской серии (Бельков, 1963). Он контактирует по зонам сдвиговых деформаций с породами нижнего Лебяжинского покрова, сложенного преимущественно биотитовыми и гранат-биотитовыми гнейсами, в меньшей степени биотит-амфиболовыми гнейсами и амфиболитами (интерпретируемыми как метавулканиты), с многочисленными телами щелочных метасоматитов. Пластины и линзы пород в рассматриваемом покрове отделены друг от друга сдвиговыми зонами и, часто, переменными по мощности и протяженности зонами окварцевания.
Существует отчетливая пространственная связь неоднократно проявленного флюидного воздействия (кварцевые жилы и метасоматиты) с узкими, протяженными на десятки километров зонами сдвиговых деформаций. Такой метасоматоз ранее было предложено называть дирекционным в связи с характерными особенностями его пространственной локализации (Бушмин и др., 2009, 2011а), по аналогии с контактовым метасоматозом и метаморфизмом. Наблюдения, проведенные при детальном картировании типовых участков, свидетельствуют о существовании интенсивных флюидных потоков в сдвиговых зонах, вызвавших инфильтрационный метасоматоз (кислотное выщелачивание и комплементарное переотложение основных компонентов) с пространственной дифференциацией петрогенных элементов, образование многочисленных кварцевых жил. Такие гидротермальные и метасоматические процессы, установленные во всех породах Больших Кейв многими исследователями (например, Бельков, 1963; Дуденко, 1981; Жданов и др., 1983; Щеглова, Маслов 1994; Bushmin et al., 1997; Щеглова и др., 2000), происходили при снижении Р-Т параметров 1762–1721 млн лет назад (метасоматические Qz-Ky породы, оболочки циркона, U-Pb метод, SHRIMP-II, Бушмин и др., 2011а). Время проявление метасоматоза, а значит и тектоно-флюидной переработки пород Больших Кейв при формировании покровно-надвиговой структуры, свидетельствует о коллизионных процессах, сопровождавшихся эксгумацией тектонического покрова Большие Кейвы в течение относительно длительного интервала 1762–1721 млн лет. Этому не противоречат исследования (Щеглова, Маслов, 1994), результаты которых при изучении амфиболитов Больших Кейв указывали на этапы метаморфических преобразований, отличающиеся за счет разницы давления (550–600°C, 6–7 кбар и 550–600°C, 4 кбар).
Описание пород
Главными разновидностями пород в покрове Большие Кейвы являются метаморфические графитсодержащие и кианитсодержащие гнейсы и сланцы с переменным количеством кварца, плагиоклаза, ставролита, биотита и мусковита, иногда с гранатом и метасоматические богатые кианитом породы, в том числе зональные метасоматиты на контактах кварцевых жил. Среди метасоматических пород присутствуют участки плагиоклазитов и богатых плагиоклазом сланцев, интерпретируемые как остатки протолита (Бушмин и др., 2011а). Метасоматические породы присутствуют в разных частях покрова, но преимущественно сосредоточены в сдвиговых зонах его нижней и верхней частей покрова, на контакте с метавулканитами Лебяжинского покрова.
При близком минеральном составе богатые кианитом и кварцем метасоматиты отличаются от метаморфических сланцев формой геологического залегания (секущие метаморфическую сланцеватость жильные тела, ветвящиеся прожилковые зоны, жилы с зональными околожильными метасоматитами), а также отличаются присутствием повышенного количества графита или его видимым отсутствием.
Метасоматиты имеют разную морфологию, так как формировались и в процессе пластических деформаций при надвигообразовании и после деформаций и представлены: (1) породами с бластомилонитовой структурой; (2) среднезернистыми породами, слагающими сеть ветвящихся прожилков в бластомилонитовых породах; (3) порфиробластическими породами; (4) массивными средне-крупнозернистыми относительно однородными породами. Метасоматиты с бластомилонитовой структурой, слагающие зоны пластического течения, пластических сдвиговых деформаций на границах между отдельными тектоническими пластинами, чаще всего, представлены богатыми кварцем, кианитом и мусковитом метасоматическими сланцами, в которых порфиробласты ставролита и редкого граната иногда образуют S-образные структуры. Они имеют относительно резкие переходы к вмещающим метаморфическим гнейсам и сланцам и внутри себя содержат реликты этих же вмещающих пород.
С запада на восток Больших Кейв уменьшается степень флюидной переработки метаморфических пород: уменьшается количество кварцевых, кианит-кварцевых и кварц-кианитовых жил и метасоматитов и несколько меняется их состав. Начинают преобладать “исходные” метаморфические породы. Особенно это заметно по ставролит-кианит-плагиоклазовым сланцам (метаанортозитам), доля которых на востоке возрастает и для которых легко устанавливаются переходы в малоизмененные плагиоклазовые породы. На западе распространены мусковит-кварцевые и мусковит-кианит-кварцевые метасоматические породы с бластомилонитовой структурой и сланцеватой текстурой (метасоматические кварцито-сланцы), а на востоке они практически отсутствуют, возрастает доля кианит-плагиоклазовых, плагиоклаз-ставролитовых и гранатовых метасоматических пород. На западе породы пронизаны большим числом кварцевых и кианит-кварцевых жил самой различной мощности, которые ориентированы вдоль плоскостей милонитизации. Крупные жилы мощностью от десятков сантиметров до нескольких метров имеют протяженность от сотен метров и более. В кианит-кварцевых жилах кианит обычно сосредоточен в отдельных гнездах и в краевых зонах жил. Часто такие жилы имеют оторочки метасоматических пород, богатых кианитом, зонального строения мощностью до первых метров.
Геологические взаимоотношения между графитсодержащими метаморфическими породами, черными и темно-серыми богатыми графитом метасоматитами и светлыми метасоматитами без видимого графита состоят в следующем. Зоны богатых графитом метасоматических кварцевых пород содержат в себе реликты графитсодержащих метаморфических сланцев. Взаимоотношения этих пород позволяют предполагать, что формирование черных по цвету метасоматитов при окварцевании сопровождалось осаждением графита. В ряде мест графит распределен в них очень неравномерно и сосредоточен в виде скоплений между зонами перекристаллизованного светлого кварца и кианита. Светлые без графита участки и зоны кажутся более поздними.
Регионально распространенные жильно-прожилковые безграфитовые метасоматиты встречаются во всех частях структуры Большие Кейвы. Они пространственно не всегда сосредоточены около крупных кварцевых жил, но по минеральному составу часть из них полностью подобна околожильным метасоматитам. Поэтому формирование регионально распространенных и околожильных метасоматитов может быть единым, а может быть и многостадийным процессом метасоматических преобразований и отражать пути наиболее интенсивного просачивания разделенных во времени флюидных потоков близкого состава.
Для изучения свойств флюидов выбраны следующие типы пород: метаморфические сланцы и гнейсы с графитом (тип-1), метасоматические кварцевые бластомилониты и относительно массивные бластолиты с повышенным содержанием графита (тип-2), а также кварцевые жилы разных генераций (тип-3, тип-4, тип-5).
Тип-1. Метаморфические гнейсы и сланцы с графитом
Наименее измененные поздними преобразованиями гнейсы представляют собой мелкозернистые и среднезернистые породы со слабо или сильно выраженной сланцеватостью по биотиту и мусковиту. ±Ky±Ms-Qz-Pl-Bt11 матрица содержит порфиробласты Grt, St и Ky различного размера и местами обладает пойкилитовой структурой. В сланцах при наличии аналогичных минеральных ассоциаций сильно варьируют содержания одной из слюд и плагиоклаза по отношению к кварцу. Видимый графит в переменных количествах присутствует во всех ассоциациях и, по наблюдениям, в шлифах его содержание достигает 3–5 об. %.
Исследованы образцы сланцев с ассоциациями: Qz + Pl30–48 + St14–17 + Ky + Bt44–5239–40 + Ms15–20 ± ± Grt8–136–12, Qz + Pl22–24 + St22–23 + Ky + Chl64–66 + + Bt58–6338–39 + Ms18–22 ± Grt13–144–5, Qz + Pl39–41 + + Ky + Chl65 + Bt53–5539 ± Grt11–14. Здесь и далее по тексту особенности химического состава минералов отражены в индексах: XMg для граната, биотита, ставролита, хлорита и XNa для мусковита и плагиоклаза указаны в подстрочных индексах; XCa для граната и XAl для биотита указаны в надстрочных индексах.
Тип-2. Метасоматические Qz породы с повышенным содержанием графита
Изученные породы с повышенным содержанием графита (по наблюдениям в шлифах его содержание достигает от 10–15 до 30–40 об. %) представлены среднезернистыми-крупнозернистыми полосчатыми кварцевыми, как правило, с кианитом породами, неоднородными по окраске черного или темно-серого цвета с бластомилонитовой или относительно массивной текстурой (бластолиты). Среди графитсодержащих метаморфических сланцев они присутствуют в виде жил, жилоподобных тел и зон окварцевания. Главными минералами в темно-серых и черных, богатых графитом породах являются кварц и игольчато-призматический кианит (30–80 об. %), местами преобладающий над кварцем. Массивные бластолиты слагают жилообразные зоны и участки разного размера в метасоматических бластомилонитах. В жильных телах кроме кианита могут присутствовать мусковит, ставролит и гранат. В зонах окварцевания также могут присутствовать в небольшом количестве в качестве второстепенных минералы из метаморфических сланцев. Мощность зон с такими черными по цвету, неоднородными по структуре породами варьирует от первых сантиметров до первых метров. Особенности состава минералов: Qz ± ± Ky ± второстепенные минералы (Ms16–21, St12–13, Grt8–116–7, Bt42–5438–39, Pl30–33, Chl48–50).
Тип-3. Ky-Qz жилы с околожильными метасоматитами
Многочисленные кварцевые жилы мощностью от десятков сантиметров до первых метров, содержащие скопления кианита, распространены во всем покрове, но чаще встречаются в его северо-западной части. Жилы пересекают сланцеватость и полосчатость в пластинах окружающих метаморфических и метасоматических пород под различными углами. Их отличительной особенностью от других кварцевых жил является присутствие околожильных метасоматитов с характерной минеральной зональностью. Например, в одном случае (обр. Б880, жила 1–2 м) первой околожильной зоной является крупнозернистая кварц-кианитовая порода, в которой кристаллы голубого кианита шириной не больше 1 см и длиной 7–8 см врастают от контакта вглубь кварцевой жилы. Следующей удаленной зоной от контакта является массивная ±Qz-Pl-Ky порода. Еще дальше от контакта в сторону вмещающего слюдисто-ставролитового метаморфического гнейса в этой ассоциации появляется ставролит как в виде отдельных зерен, так и в виде их скоплений. В ином случае (обр. Б884) жила (всего первые десятки сантиметров) содержит больше кианита и имеет первую околожильную зону шириной 20–30 см, сложенную длиннопризматическими кристаллами кианита длиной от 5 до 10 см, которые растут перпендикулярно контакту вглубь жилы, при этом их ориентировка продолжает направление сланцеватости вмещающей полосчатой бластомилонитовой метасоматической породы. Общей чертой всех околожильных метасоматитов является их массивное, неравномернозернистое строение, присутствие порфиробластов реликтовых минералов. Особенности состава минералов, присутствующих в околожильных метасоматитах: Qz, Ky, Pl21–35, St17–23, Ms21–27, Bt58–6237–41.
Тип-4. Метасоматические кварцсодержащие кианитовые породы
Это среднезернистые-крупнозернистые относительно массивные, богатые кианитом или существенно кианитовые кварцсодержащие породы, в которых могут присутствовать в переменных количествах плагиоклаз и ставролит, а также второстепенные мусковит и хлорит. Они слагают жилы и ветвящиеся прожилковые зоны в метаморфических сланцах и графитсодержащих метасоматических породах. Метасоматические породы этого типа присутствуют повсеместно, но больше тяготеют к верхней и нижней частям тектонического покрова Большие Кейвы.
Состав пород из прожилков разнообразен и подобен всем известным минеральным типам метасоматических пород из более мощных тел и зон. Это разнообразные существенно кианитовые породы, например кварц-кианитовые, плагиоклаз-кианитовые, ставролит-кианитовые и ставролит-хлорит-кианитовые. Особенности состава минералов: Ky + Qz ± Pl13–33, St19–37, Ms18–34, Chl58–73, Bt57–6538–39.
Тип-5. Анхимономинеральные Qz жилы
Протяженные мономинеральные кварцевые жилы мощностью 0.5–1 м, в целом субсогласные со сланцеватостью окружающих пород, располагаются вдоль контактов тектонических пластин и линз, сложенных различными породами покрова Большие Кейвы. Они прослеживаются на расстоянии более одного километра и практически не содержат околожильных метасоматитов. В одном случае наблюдалась кварцевая жила мощностью около 80 см, залегающая в белых мелкозернистых мусковитовых кварцито-сланцах с редким мелким ставролитом. Она была прослежена на расстоянии ~1.5 км, но заметной околожильной метасоматической зональности обнаружено не было. Только фрагментарно наблюдались оторочки (зоны) метасоматической породы небольшой мощности. На самом контакте жилы присутствовала зона шириной не более 3 см среднезернистого Ky кварцита, иногда со St. Следующая зона шириной не более 5 см состояла из Qz-St породы. Составы минералов: St11 + Qz ± Ms9, Chl15.
Флюидные включения в минералах
Методы исследования
В минералах изученных пород выделены первичные, первично-вторичные и вторичные флюидные включения. Первичные включения (p) представлены отдельными, единичными или группами включений, не приуроченных к каким-либо плоскостям и трещинам в зернах минералов. Первично-вторичные (ps) и вторичные (s) включения расположены в плоскостях или вдоль линейных зон. Первично-вторичные включения не выходят за пределы минерального зерна и возникают, как и первичные, в зонах микродефектов во время кристаллизации минерала или возникают за счет первичных включений при их перераспределении в другие дефекты или микроразрывы. Таким образом, они относятся к категории относительно ранних включений, первоначально образовавшихся при кристаллизации минерала. Вторичные включения расположены в плоскостях и зонах пересекающих границы минеральных зерен. Их химический состав может быть аналогичен составу первичных включений в результате, например, миграции включений внутри кристаллов, но может и отличаться от состава первичных включений в результате потери Н2О или СО2 из включений за счет селективной диффузии и дефектов в кристалле (например, Roedder, 1984; Baumgartner et al., 2014 и ссылки в этой работе; Bakker, 2017). В большинстве случаев вторичные включения являются результатом позднего флюидного воздействия, их состав отличается от составов первичных и первично-вторичных включений. Они были исключены из дальнейшего рассмотрения.
По составу выделялись существенно водно-солевые (включения рассолов) и существенно газовые включения. Идентификация твердых и газовых фаз (CO2, N2, CH4, C2H6 и более тяжелые углеводороды, H2) во включениях проводилась методом рамановской спектроскопии (микроскоп Olympus BX43 с рамановским спектральным анализатором РамМикс М532/785, ИГГД РАН, Санкт-Петербург). Определение температур фазовых переходов во флюидных включениях при нагревании после замораживания выполнено методом микротермометрии (микроскоп Olympus BX51 c термокриометрическим модулем Linkam THMSG600, ИГГД РАН). Измерения температур контролировались стандартами включений известного состава (Н2О 0°C; СО2 56.6°C; СН4 82°C; N2 147°C). Когда температуры плавления СО2 включений были занижены, предполагалось присутствие азота либо метана во включениях, что проверялось методом рамановской спектроскопии. Гомогенизация включений СО2 наблюдалась в жидкой и газовой фазах. Плотность включений СО2 определялась по температуре гомогенизации СО2 (ThCO2).
Во включениях рассолов определялись начальные и конечные температуры плавления твердых фаз после замораживания. Когда во включениях присутствовал галит, определение температуры плавления галита (TmH) сопровождалось определением температуры исчезновения газового пузыря (гомогенизация жидкость–газ). В исследованных случаях температура исчезновения газового пузыря была меньше Tm галита. Начальные температуры плавления (Tm1) от –50 до –21°C позволили предполагать систему CaCl2-NaCl-H2O (Борисенко, 1982), конечные температуры плавления (Tmf) позволяли судить о концентрации солей во включении. Во включениях, не содержащих галит, по Tm1 и Tmf определялось соотношений солей NaCl и CaCl2 (мас. %). В случае присутствия галита, соотношение солей NaCl и CaCl2 могло определяться по Tm1, Tmf и TmH галита. Не всегда удавалось определить Tm1. Поэтому содержание солей было определено по Tmf и TmH. Использовалась численная модель для тройной системы CaCl2-NaCl-H2O (Steele-MacInnis et al., 2011, 2016; Chu et al., 2016). При идентификации твердых фаз, возникающих при охлаждении и исчезающих при последующем нагревании, внимание обращалось на относительный рельеф фаз, положительный или отрицательный по отношению к флюиду и окружающему кварцу, а также на температуры их плавления относительно друг друга. Если это не удавалось, особенно в мелких включениях, принималось, что во включениях без галита первым плавится гидрогалит, а последним лед, а во включениях с галитом предпоследней твердой фазой перед плавлением галита является гидрогалит (Steele-MacInnis et al., 2011).
Для включений, не содержащих галит и имевших Тm1 ~ –21°C, предполагалась бинарная система NaCl-H2O. При этом принималась во внимание ассоциация в одних линейных зонах таких ps-включений с включениями, содержащими две соли CaCl2 + NaCl и/или галит. Во включениях с низкой концентрацией соли часто наблюдалось только быстрое (почти мгновенное) полное плавление льда (Tmf). По температуре плавления льда Tmf в таких включениях определялось содержание NaCl.
Нельзя не отметить, что во многих включениях рассолов, не содержащих и содержащих кристаллы галита, были определены очень низкие Tm1 (от –74 до –58°C) и Tmf (от –59°C). Присутствие в них забюйелита (Li2CO3, рамановская спектроскопия) позволило предполагать систему LiCl-NaCl-H2O (например, Dubois et al., 2010; Steele-MacInnis et al., 2016). Включения рассола, содержащие LiCl, были обнаружены во всех типах изученных нами метасоматических и жильных пород среди зон более поздних изменений, в том числе на контактах кварцевых жил. Исследование флюидных включений, содержащих LiCl, выходит за рамки настоящей работы, так как заслуживает отдельного внимания.
Для построения изохор использовалась программа (Bakker, 2003). Для изохор СО2 выбрана градуировка (Duan et al., 1992). Все изученные включения находились в кварце, иногда в кианите, что отмечено нами в тексте.
Тип-1. Включения в метаморфических гнейсах и сланцах с графитом
В этом типе пород включений мало. Редкие включения СО2 и СН4 обнаружены только в двух образцах; преобладают включения рассолов. Состав включений представлен в табл. 1, содержание солей во включениях рассолов продемонстрировано на рис. 2, фотография включений на рис. 3.
Таблица 1. Результаты исследования флюидных включений методом микротермометрии и КР-спектроскопии
Номер образца | CO2 | CH4 | Tm1, °C рассол | Tmf, °C рассол | TmH | S, мас. % | S1, мас. % | xNaCl | xCaCl2 | xsalt | xNaCl/xsalt | msalt |
Тип-1. Метаморфические сланцы и гнейсы с графитом | ||||||||||||
Б878-2 | –44/–28 | –24.5/–10 | 14/22.8 | 0.007/0.021 | 0.016/0.042 | 0.0344/0.0490 | 0.15/0.54 | 1.98/2.86 | ||||
Б878-4 | p, ps + CH4 | –25/–24.5 | –3.5/–3 | 5.4/6.1 | 0.01/0.012 | 0.004 | 0.0139/0.162 | 0.72/0.76 | 0.78/0.91 | |||
–2/1.5 | 2.5/3 | 0.008/0.011 | 0.0078/0.0107 | 0.44/0.60 | ||||||||
Б890-2 | –46/–42 | –22.5/–22 | 21.8/21.9 | 0.006/0.008 | 0.039/0.040 | 0.0463/0.469 | 0.13/0.17 | 2.69/2.73 | ||||
Б892-3 | ps | –26/–25 | –5/–4 | 6.9/8.3 | 0.013/0.014 | 0.005/0.007 | 0.0180/0.0209 | 0.66/0.72 | 1.02/1.19 | |||
–3.5/–2 | 3.4/5.9 | 0.011/0.019 | 0.0107/0.0190 | 0.60/1.07 | ||||||||
K13 | –42/–26.5 | –33.5/–5.5 | 9.1/26.6 | 0.01/0.014 | 0.008/0.050 | 0.0226/0.0597 | 0.17/0.63 | 1.29/3.52 | ||||
Тип-2. Метасоматические Qz породы с повышенным содержанием графита | ||||||||||||
Е3-1 | ps + CH4 | ps + CO2 | –34 | –16 | 110 | 34.2 | 0.046 | 0.052 | 0.0974 | 0.47 | 5.99 | |
E3-1a | ps | –52/–34 | –20.5/–15 | 105/200 | 34.4/40.8 | 0.036/0.076 | 0.048/0.065 | 0.0989/0.1282 | 0.36/0.61 | 6.10/8.16 | ||
–52/–24.5 | –27/–5.5 | 9.3/24 | 0.003/0.033 | 0.009/0.043 | 0.0181/0.0535 | 0.18/0.76 | 1.02/3.14 | |||||
–11.5/–1 | 1.6/5.5 | 0.021/0.054 | 0.0050/0.0535 | 1.21/3.14 | ||||||||
E3-1б | ps + CH4 | –36/–24 | –22/–12.5 | 93/205 | 33.1/41.3 | 0.042/0.075 | 0.043/0.062 | 0.0938/0.1336 | 0.44/0.62 | 5.74/8.56 | ||
–15.5/–2.5 | 16.4/18.9 | 0.057/0.067 | 0.0570/0.0670 | 3.36/3.99 | ||||||||
Е6-9 | ps | –45 | 13 | 400 | 54.6 | 0.207 | 0.207 | 0.2455 | 0.85 | 18.06 | ||
Е5-1 | p, ps +CO2 | |||||||||||
E5-4 | ps + CH4 | ps + CnHm, H2 | –52/–45 | –20/–18 | 270/440 | 44.6/61.3 | 0.108/0.252 | 0.048/0.054 | 0.1607/0.2993 | 0.67/0.84 | 10.63/23.71 | |
K8-a | p, ps + CnHm | –52 | –18.5 | 360 | 52.6 | 0.171 | 0.050 | 0.2213 | 0.77 | 0.19 | ||
K8-д | p, ps | p, ps + C2H6 | –32/–30 | –10/–5.5 | 270/370 | 38.7/49.8 | 0.117/0.18 | 0.026/0.035 | 0.1433/0.2123 | 0.80/0.85 | 9.28/14.96 | |
–2 | 3.4 | 0.011 | 0.0107 | 0.60 | ||||||||
Тип-3. Ky-Qz жилы c околожильными метасоматитами (MS) | ||||||||||||
Б880-5 жила | ps | –11/–3 | 5/15 | 0.016/0.052 | 0.0160/0.0516 | 0.90/3.02 | ||||||
Б880-7 жила | ps + CH4 | ps + CO2 | –48.5/–21.5 | –21.5/–15 | 135/150 | 35.8/39.6 | 0.043/0.051 | 0.054/0.069 | 0.1050/0.1170 | 0.39/0.48 | 6.51/7.36 | |
–2/–1.5 | 2.5/3.4 | 0.008/0.011 | 0.0078/0.0107 | 0.44/0.60 | ||||||||
Б884-2 жила | p, ps, ps в Ky | –39 | –12 | 135 | 34.3 | 0.056 | 0.047 | 0.1023 | 0.54 | 6.33 | ||
Б880-2 MS | p + CH4 |
|
|
|
|
|
|
|
|
|
|
|
Б880-6б MS | ps + N2 CH4 | ps + N2 | –47/–45 | –19/–17.5 |
| 19.4/20.2 |
| 0.004/0.006 | 0.035/0.037 | 0.0401/0.0418 | 0.10/0.14 | 2.32/2.42 |
Б884-1в MS | p, ps, ps в Ky |
| –52 | –30/–23 |
| 22.1/25 |
| 0,005 | 0.042/0.048 | 0.0465/0.0538 | 0.10/0.11 | 2.71/3.15 |
Тип-4. Метасоматические Qz-содержащие Ky породы |
|
|
|
|
|
|
|
|
|
|
|
|
Б891 | p, ps |
| –28 | –26.5 |
| 24.8 |
| 0.037 | 0.031 | 0.0675 | 0.55 | 4.01 |
|
|
|
| –8.5/–4 |
|
| 6.6/12.4 | 0.021/0.042 |
| 0.0213/0.0418 |
| 1.21/2.42 |
Б892-8 | ps в Ky + Cal |
|
|
|
|
|
|
|
|
|
|
|
Б901-1 | p, ps + CH4 |
|
| –27 |
| 25.3 |
| 0.043 | 0.029 | 0.0713 | 0.60 | 4.26 |
Б901-4 | p, ps, ps в Ky |
|
| –29/–26 |
| 25./25.9 |
| 0.034/0.48 | 0.025/0.035 | 0.0692/0.0728 | 0.50/0.66 | 4.12/4.36 |
Б901-5 | p, ps | ps | –25.5/–24.5 | –22,5 |
| 23/23.3 |
| 0.046/0.054 | 0.017/0.21 | 0.0673/0.0711 | 0.69/0.76 | 4.01/4.25 |
|
|
|
| –3/–0.5 |
|
| 0.6/5.1 | 0.002/0.016 |
| 0.0019/0.0163 |
| 0.10/0.92 |
Б901-6 | p, ps + CH4 |
| –42/–39 | –20/–18 | 130/155 | 36.0/38.5 |
| 0.045/0.056 | 0.056/0.062 | 0.1046/0.1151 | 0.42/0.50 | 6.49/7.22 |
|
|
| –40 | –25.5/–20 |
| 20.8/23.4 |
| 0.009/0.01 | 0.036/0.042 | 0.0448/0.0517 | 0,19 | 2.60/3.02 |
Тип-5. Анхимономинеральные Qz жилы |
|
|
|
|
|
|
|
|
|
|
|
|
Б926-1 жила | p, ps |
|
| –5/–3.5 |
|
| 5.9/8.1 | 0.019/0.026 |
| 0.0190/0.0265 |
| 1.07/1.51 |
Б926-3 жила | p, ps |
| –35.5/–29 | –11.5/–4.5 |
| 7.9/15.4 |
| 0.005/0.011 | 0.010/0.023 | 0.0166/0.0337 | 0.27/0.50 | 1.06/1.94 |
|
|
|
| –5/–6 |
|
| 8.1/9.4 | 0.026/0.031 |
| 0.0265/0.0310 |
| 1.51/1.78 |
Б926-3a Qz-St зона | p, ps |
| –46/–22 | –28/–5 |
| 8.1/24.3 |
| 0.005/0.024 | 0.002/0.046 | 0.0228/0.0527 | 0.13/0.94 | 1.43/3.09 |
|
|
|
| –5.5/–5 |
|
| 8/8.8 | 0.026/0.029 |
| 0.0265/0.0289 |
| 1.51/1 .65 |
Примечание. Все включения в Qz, второй минерал указан символом Ky. p – первичные включения, ps – первично-вторичные включения, Тm1 – температура первого плавления, Tmf – температура окончания плавления, TmH – температура плавления галита. Во всех колонках цифры, разделенные косой чертой, означают вариации значений от/до. S – общая соленость (сумма NaCl+CaCl2) во включениях вода–две соли, S1 – соленость во включениях вода–NaCl. Колонки СО2 и CH4 – преобладающий состав включений. + Cal, CO2, CH4, C2H6, CnHm, H2 – присутствие примесей, подтвержденное или определенное рамановской спектроскопией, xNaCl – мольная доля NaCl во включениях вода–две соли, xCaCl2 – мольная доля CaCl2 во включениях вода–две соли, xsalt = xNaCl + xCaCl2, xNaCl/xsalt – отношение мольных долей, msalt = (1000/18.015) xsalt/(1– xsalt) – моляльность суммы солей во включениях вода–две соли (моль/кг Н2О).
Рис. 2. Фото образцов разных типов пород и содержание солей во включениях рассолов. Тип-1: (а) и (б) – гнейсы и сланцы с графитом, Bt1 и Bt2 – биотит ранней и поздней генерации, (в) – содержание солей в гнейсах и сланцах (желтые треугольники – включения только с NaCl). Тип-2: метасоматические Qz породы с повышенным содержанием графита, (г) – черный полосчатый богатый графитом Ky-Qz бластомилонит, (д) – увеличенный участок бластомилонита, (е) – черно-серый массивный богатый графитом кварцевый метасоматит, (ж) – содержание солей в метасоматических Qz породах, богатых Gt (желтые кружки – включения только с NaCl).
Рис. 3. Фото включений в исследованных типах пород. BR – рассол, H – галит, L – жидкая фаза, V – газовая фаза. Тип-1: (а) – р-включение СО2 с Gt и ps-включения рассола, обр. Б878-4; тип-2: (б) – ps-включения рассола с галитом и ps-включения СО2, обр. Е3-1а; (в) и (г) – ps-включения рассола с галитом ±СО2 и ps-включения СО2, обр. Е1-3б; (д) – ps-включения рассола с галитом и ps-включения СО2, обр. Е5-4; (е) – ps-включения рассола с галитом, СО2, Cal и ps-включения СО2, обр. Е5-4; (ж) – ps-включения CH4 с CnHm и Н2, обр. Е5-4; (з) – p-включения СН4 с CnHm и Gt, обр. К8-а; (и) – p-включение C2H6 c CnHm и CH4, обр. К8-д.
В ps-включениях рассолов CaCl2 преобладает над NaCl при широком диапазоне общего содержания солей 5–27 мас. %. Иногда рядом присутствовали редкие ps-включения рассола низкой солености 3–6 мас. % NaCl. Присутствуют редкие p-включения СО2 (Th –32 и –42°C), ps-включения СО2 с примесью СН4 и ps-включения СН4, которые располагались в одних линейных зонах с включениями рассолов. Кальцит обнаружен во включениях СО2 и включениях рассолов низкой солености.
Тип-2. Включения в метасоматических Qz породах с повышенным содержанием графита
В этом типе пород особенно много флюидных включений. Состав включений представлен в табл. 1, содержание солей во включениях рассолов продемонстрировано на рис. 2, фотографии включений на рис. 3. В одной и той же линейной зоне и скоплениях могут присутствовать разные ассоциации сингенетичных p- и ps-включений: СО2, СН4, рассол, рассол + СО2 ± галит ± Cal.
Включения с СО2 и СН4. Включения СН4 заметно преобладают над включениями СО2. Хотя в ряде образцов (Е3-1, Е3-1а, Е3-1б) c относительно меньшим содержанием графита (темно-серые относительно однородные или контрастные по цвету отчетливо полосчатые породы) больше ps-включений СО2 с примесью CH4. В этих включениях Tm занижена до –59°C. Только в одном образце встречены включения СН4 с примесью СО2. Присутствуют ps-включения СО2, содержащие воду.
В образцах Е5, Е6, К8 с высоким содержанием графита (относительно однородные черные или пятнисто-полосчатые темно-серые/черные бластомилонитовые породы) преобладают p- и ps-включения СН4 с примесью СО2. Присутствуют включения СО2 с примесью СН4. Во включениях с СН4 при охлаждении не наблюдалось образование твердых фаз и при нагревании после охлаждения гомогенизация наблюдалась в жидкую и газовую фазы. Также присутствуют чистые включения СН4 без СО2. В ряде образцов с СН4 включениями обнаружены С2Н6 и более тяжелые углеводороды CnHm без конкретизации, а в одном из образцов – H2. В единичных р-включениях СО2 Th в жидкость от –41 до –38°C, во многочисленных ps-включениях СО2 пик Th в жидкость около 0°C, в редких ps-включениях СО2 Th в газ от –25 до –5°C. Во многочисленных и преобладающих по количеству ps-включениях СН4 Th в жидкость от –74 до –56°C, Th в газ от –50 до –28°C. Кальцит обнаружен во включениях СО2, в том числе во включениях рассолов с СО2.
Включения рассолов с NaCl и CaCl2. В образцах с разным содержанием Gt много ps-включений высокой солености с галитом и газовым пузырем, встречаются p-включения. В таких включениях гомогенизация в жидкую фазу наблюдалась при температуре ниже температуры растворения галита. В них обычно присутствуют карбонаты. Часть p- и ps-включений с галитом содержит СО2, также часто присутствуют карбонаты. Полную гомогенизацию включений (растворение углекислоты) не всегда удавалось получить из-за декрепитации включений. Растворение галита наблюдалось при температурах от 93 до 440°C. Наибольшие температуры растворения галита от 270 до 440°C наблюдались во включениях, не содержащих и содержащих углекислоту, в наиболее богатых Gt черных по цвету образцах Е5, Е6, К8. В таких включениях выделяются два кластера с разным соотношением солей: в одном CaCl2 преобладает над NaCl с общей соленостью ~40 мас. %, в другом NaCl преобладает над CaCl2 с общей соленостью ~60 мас. %. Также присутствуют ps-включения с NaCl низкой–средней солености (2–19 мас. %).
Тип-3. Включения в Ky-Qz жилах с околожильными метасоматитами
Много флюидных включений. Состав включений представлен в табл. 1, содержание солей во включениях рассолов продемонтрированы на рис. 4, фотографии включений на рис. 5. В одних и тех же линейных зонах и скоплениях обнаружены ps-включения рассолов (две соли и только NaCl) и p-, ps-включения СО2, как в Qz, так и в Ky (их мало), рассол + СО2 ± галит ± Cb.
Рис. 4. Фото образцов разных типов пород и содержание солей во включениях рассолов. Тип-3: (а) и (б) – Ky-Qz жила с околожильным метасоматитом и содержание солей (желтые кружки – включения только с NaCl). Тип-4: (в) и (г) – метасоматические Ky породы и содержание солей (желтые кружки – включения только с NaCl). Тип-5: (д) – анхимономинеральная Qz жила, (е) – околожильная зона ~0–5 см, (ж) – содержание солей в Qz жилы (желтые кружки – включения только с NaCl).
Рис. 5. Фото включений в исследованных типах пород. BR – рассол, H – галит, L – жидкая фаза, V – газовая фаза. Тип-3: (а) – ассоциация ps-включенй рассола, рассола с Н и Cal, включений СО2 в Ky-Qz жиле, обр. Б880-6а; (б) – ps-включение СН4 среди включений СО2 в околожильном метасоматите, обр. Б880-6б; (в) – ps-включение СО2 в околожильном метасоматите, обр. Б884-1в. Тип-4: (г) – ps-включения рассола с Н, обр. Б901-6; (д) – p- и ps-включения СО2, обр. Б901-6. Тип-5: (е) – ассоциация ps-включений рассола и включений СО2, рядом группа p-включений СО2, обр. Б926-3.
Включения в жилах
Включения с СО2 и СН4. Преобладают чистые ps-включения СО2, реже p-включения СО2 (Tm 57–58°C) с Th в жидкость от –57 до –27°C. В крупных кристаллах кианита единичные ps-включения СО2 также гомогенизируют в жидкость. Присутствуют редкие ps-включения СО2 с примесью СН4 с занижением Th до –62°C и единичные включения СН4 с примесью СО2. Присутствуют включения СО2 с Н2О.
Включения рассолов с NaCl и CaCl2. В редких включениях с двумя солями преобладает CaCl2. В ps-включениях повышенной солености с галитом и газовым пузырем, не содержащих и содержащих СО2, растворение галита происходило при 135 и 150°C. Гомогенизация в жидкость наблюдалась при температуре, ниже температуры растворения галита. В таких включениях повышенной солености CaCl2 преобладает над NaCl при общей солености ~40 мас. %. Присутствуют и ps-включения с одной солью NaCl низкой–средней солености (3–15 мас. %).
Включения в околожильных метасоматитах
Включения с СО2 и СН4. Преобладают включения СО2, меньше включений рассолов. Обычны многочисленные p- и ps-включения СО2 как с примесью СН4, так и чистые СО2. Иногда присутствует примесь N2. Во включениях СО2 с примесью СН4 занижение Tm до –63°C. Первичные включения СО2 с Th в жидкую фазу от –30 до +20°C. Преобладают ps-включения с Th в жидкую фазу от –58 до +15°C. В крупных кристаллах кианита единичные ps-включения СО2 с Th в жидкую фазу от +5 до +30°C. Включения СН4 отсутствуют. Только в одном образце обнаружены ps-включения СО2, содержащие примесь СН4 и N2 и единичные включения СН4 с примесью N2.
Включения рассолов с NaCl и CaCl2. В немногочисленных ps-включениях с двумя солями преобладает CaCl2. Включения рассола и СО2 встречаются в одних линейных зонах включений.
Тип-4. Включения в метасоматических Qz-содержащих Ky породах
Много флюидных включений. Состав включений представлен в табл. 1, содержание солей во включениях рассолов продемонстрировано на рис. 4, фотографии включений на рис. 5. В одних и тех же скоплениях и линейных зонах обычно присутствие p- и ps-включений рассолов и СО2 ± ± галит ± Cb. Также обычно присутствуют ps-включения NaCl низкой солености.
Включения с СО2 и СН4. Во всех образцах обычны многочисленные p- и ps-включения СО2. Включения СО2 практически чистые, без примесей СН4, с Тm около –57°C. Во включениях СО2 в кианите присутствует кальцит. Реже встречаются включения СО2 с примесью СН4. Единичные включения CH4 определены только в одном образце. Во многочисленных р-включениях СО2 Th в жидкую фазу от –16 до +20°C, во многочисленных рs-включениях СО2 Th в жидкость от –10 до +28°C, в редких рs-включениях СО2 Th в газ от +14 до +24°C.
Включения рассолов с NaCl и CaCl2. Много ps-включений с двумя солями с незначительным преобладанием CaCl2. В одном образце присутствуют p- и ps-включения повышенной солености с галитом и включения с галитом и с СО2. Растворение галита происходило при 130 и 155°C. В таких включениях CaCl2 преобладает над NaCl при общей солености ~40 мас. %. Гомогенизация в жидкую фазу наблюдалась при температуре, ниже температуры растворения галита. Также обычно присутствуют ps-включения с NaCl низкой солености.
Кальцит обнаружен во включениях СО2 в кварце и в кианите, а также во включениях рассолов низкой солености (1–12 мас. %).
Тип-5. Включения в анхимономинеральных Qz жилах
Много флюидных включений: p- и ps-включения СО2 и ps-включения рассолов встречаются совместно. Состав включений представлен в табл. 1, содержание солей во включениях рассолов продемонстрированно на рис. 4, фотографии включений на рис. 5.
Включения с СО2. Преобладают p-включения СО2 без примеси СН4 с Th в жидкую фазу от –57 до –41°C. Много и ps-включений такого же состава и с близкой Th. Очень редкие единичные включения с примесью метана. Включений с преобладанием СН4 или чисто СН4 включений не обнаружено.
Включения рассолов с NaCl и CaCl2. Присутствуют ps-включения с двумя солями низкой солености с незначительным преобладанием CaCl2 и средней солености за счет заметного преобладания CaCl2 при общей солености ~25 мас. %. Также обычно присутствуют ps-включения NaCl низкой солености (6–9 мас. %).
Термобарометрия
Методы оценки Р-Т условий
Для оценки P-T условий выбран метод мультиравновесной термобарометрии с оценкой степени неравновесности минеральной ассоциации avPT (Powell, Holland, 1994), реализованный в программе THERMOCALC с базами термодинамических данных для метаморфических пород версии 3.40 (ds622) (Powell, Holland, 1988; Holland, Powell, 1998). Для целей исследования важно то, что база данных программы TERMOCALC содержит модель твердого раствора ставролита, а сам метод позволяет провести реалистичную оценку погрешности P-T определения. Погрешность Р-Т оценок методом avPT определяется параметрами, рассчитываемыми программными средствами (Powell, Holland, 1994): два sd (стандартные отклонения по температуре и давлению) и sigmafit (fit). Параметр fit характеризует степень согласования трех и более линейно независимых реакций. В идеальном случае на P–T плоскости все реакции (равновесия) должны пересечься в одной точке (пучок линий), которая при данном составе равновесных минералов будет соответствовать искомым Р и Т, в этом случае параметр fit будет равен 0. Возможности метода avPT существенно расширены в использованных нами программах TC–Comb (версия 1.1) и TriQuick (Доливо-Добровольский, 2012, 2013). В них применен комбинаторный подход к решению проблемы поиска равновесных составов при наличии большого количества аналитических данных, а также визуализация результатов вычислений на P–T диаграммах.
Мультиравновесная термобарометрия и барометрия по включениям СО2
При выборе образцов для исследования было обращено внимание на то, что большинство метаморфических линзовидно-полосчатых сланцев и гнейсов очень неоднородны по составу и структуре. Микроструктурные наблюдения обнаруживали в них признаки перекристаллизации матричных минералов (укрупнение зерен, реакционные структуры) и присутствие порфиробластов главных минералов разных генераций.
Наибольшие температуры (~650°C) обнаружены в полиминеральных ассоциациях, отвечающих дивариантному равновесию Qz + Ms + St = Ky + Grt + + Bt + Н2О. Сланцы с ассоциацией этих минералов представляют собой полосчатые породы с зонами и участками перекристаллизации первичной более мелкозернистой Qz-Ms-Ky-St-Bt матрицы, в которых появляются порфиробласты биотита новой генерации в ассоциации с Ky и Grt (например, рис. 2а). Локальные участки с новообразованным биотитом и гранатом демонстрировали наиболее высокие температуры.
При этом нельзя не отметить, что ряд исследователей рассматривали сланцы Больших Кейв только в рамках единой метаморфо-метасоматической системы, считая все сланцы или частично или полностью метасоматически и гидротермально переработанными под воздействием флюидов (например, Дуденко, 1981; Жданов и др., 1983). Тем не менее выбранные образцы были исследованы как типичные представители разных групп пород.
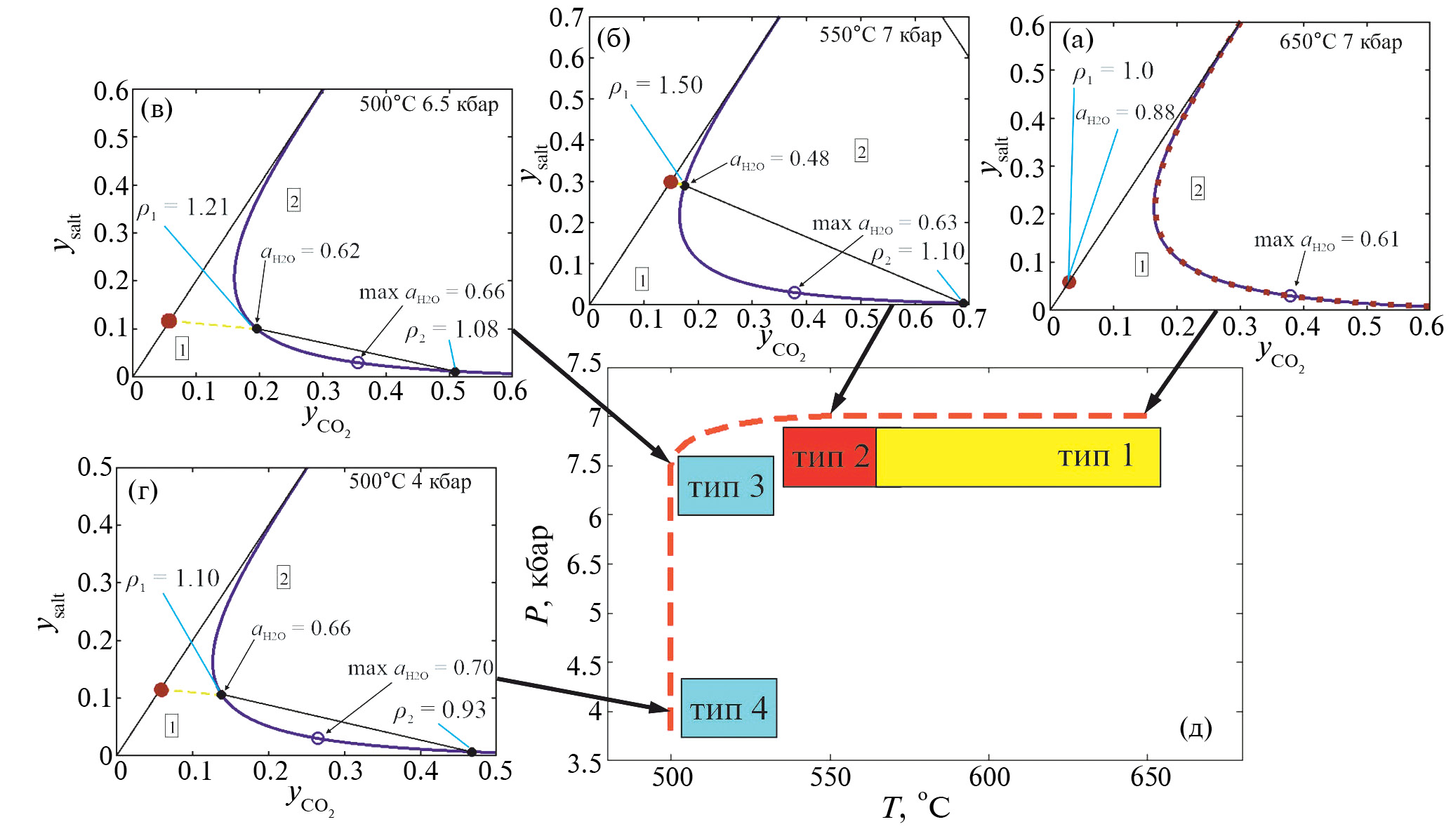
В результате получены следующие интервалы вариаций Р-Т параметров: для метаморфических сланцев и гнейсов с признаками поздней (более высокотемпературной) локальной перекристаллизации 7.7–6.0 кбар и 670–580°C, для метасоматических кварцевых пород, обогащенных графитом (тип-2), 6.5–7.6 кбар и 550°C, для метасоматических кварцевых пород без видимого графита (тип-3 и тип-4) 5.9 кбар и 500°C (табл. 2, рис. 6).
Таблица 2. Р-Т параметры исследованных образцов метаморфических и метасоматических пород Больших Кейв
Номер образца | Порода | Ассоциация | Р, кбар | Т, °C | fit | IR |
Б991-2 | Гнейс | QzPlBtGrtStKyMs | 7.7 | 671 | 0.20 | 5 |
Б992-5 | Гнейс | QzPlBtGrtKyIlmRt | 7.4 | 636 | 0.32 | 4 |
Б983-2 | Сланец | QzPlBtGrtStMsChlIlmRt | 6.0 | 583 | 0.13 | 5 |
Б887-3 | Сланец | QzPlMsBtGrtKy | 6.9 | 580 | 0.27 | 4 |
А348-1 | Амфиболит | QzPlGrtHblIlmRt | 6.9 | 567 | 0.00 | 3 |
Б979-13 | Амфиболит | QzPlGrtHblIlmRt | 6.4 | 559 | 0.00 | 3 |
Е6-2 | Метасоматический Ky-Qz бластомилонит черный (Gt) | QzKy (+StGrtPlMsBtTt) | 7.6 | 551 | 0.09 | 3 |
Е6-2 | То же | То же +Н2О | 7.5 | 560 | 0.05 | 4 |
Б911-2а | Метасоматит массивный черный, богатый Qz и Gt | QzStGrt (+PlMsBt±Ky) | 6.5 | 550 | 0.04 | 4 |
Б911-2а | То же | То же +Н2О | 6.5 | 549 | 0.03 | 5 |
К31-к3 | Метасоматический кварцит без Gt | QzKy (+GrtMsBtPlIlmRt) | 5.9 | 499 | 0.03 | 4 |
Примечание. Подчеркнуты минералы, использованные в расчетах. В скобках второстепенные минералы. fit – степень согласованности линейно независимых реакций, IR – число независимых реакций.
Рис. 6. Р-Т условия образования исследованных метаморфических и метасоматических пород гнейсово-сланцевой толщи тектонического покрова Большие Кейвы. Условные обозначения типов пород как на рис. 1. Метаморфические фации: GS – зеленосланцевая, AM – амфиболитовая, GR – гранулитовая, EC – эклогитовая (Bushmin, Glebovitsky, 2016). Прерывистая красная линия – обобщенный Р-Т тренд ретроградного изменения условий образования пород. 1 – область Р-Т параметров (Р ~ 7–6.5 кбар, Т ~ 525–500°C) Ky-Qz жил с околожильными метасоматитами (тип-3) по (Бушмин и др., 2011б); 2 – область декомпрессии (6.8–3.4 кбар при ~500°C) по данным микротермометрии включений СО2 (табл. 3) в Ky-Qz жилах с околожильными метасоматитами (тип-3), Qz-Ky жилах, прожилках и прожилковых зонах (тип-4) и анхимономинеральных Qz жилах (тип-5).
Поскольку среди гнейсов и сланцев не удалось выбрать разновидности, совсем не затронутые перекристаллизацией и разнообразными метасоматическими изменениями, то для оценки Р-Т неизмененных метаморфических пород были привлечены амфиболиты, залегающие среди гнейсов и сланцев. Для образцов из центральных частей тел амфиболитов, не затронутых наложенными процессами перекристаллизации и метасоматоза, получены Р-Т оценки: 6.4–6.9 кбар и 560–570°C (табл. 2).
Погрешность полученных Р-Т оценок методом avPT (параметры sd) варьировала от 0.7 до 1.2 кбар и от 20 до 96°C. Примеры результатов расчета Р-Т параметров приведены на рис. 7.
Рис. 7. Примеры результатов расчета Р-Т параметров методом avPT типичных образцов исследованных типов пород. (а, б) – метаморфические гнейс и сланец; (в, г, д) – метасоматические кварцевые породы с повышенным содержанием графита; (е) – метасоматический Ky кварцит.
Величины активности воды по равновесным минеральным парагенезисам методом avPT удалось рассчитать только в черных по цвету, богатых графитом метасоматических кварцевых породах (тип-2) по двум образцам: Е6–2 – аН2О = 0.45–0.62, среднее 0.54, и Б911–2а – аН2О = 0.43–0.48, среднее 0.46.
На основании полученных значительных вариаций Р-Т параметров мы предположили, что на более холодную (550–570°C) метаморфическую толщу Больших Кейв в рассматриваемой геологической ситуации изначально воздействовал внешний более горячий флюидный поток (~650°C). В процессе фильтрации и охлаждения потока в широком Р-Т интервале формировались частично перекристаллизованные и метасоматизированные гнейсы и сланцы и, наконец, тела богатых графитом кварцевых метасоматических пород.
Дополнительно оценки давления получены для всех типов метасоматических и жильных пород по p- и ps-включениям СО2, исходя из температуры гомогенизации СО2, измеренной методом микротермометрии и из независимой оценки температуры образования пород, полученной методом мультиравновесной термобарометрии. Давление рассчитывалось в соответствии с линиями постоянной плотности CO2 (изохорами), определенной по температуре гомогенизации включений. Изохоры построены для наиболее плотных первичных включений (как с наибольшей вероятностью сохранивших условия захвата флюида) (табл. 3). В первую очередь, эти оценки оказались необходимой информацией для пород типа-4 и типа-5, представленных моно- и маломинеральными породами. Полученные данные указывают на условия декомпрессии от 6.8 до 3.5 кбар при формировании поздних генераций метасоматитов и кварцевых жил.
Таблица 3. Р-Т условия захвата СО2 включений с Р-Т координатами изохор в разных типах исследованных пород
Номер образца | Генерация включений | Тh, °C | Плотность, см3/гр | 500°C | 550°C |
Тип 2. Включения в метасоматических Qz породах с повышенным содержанием графита | |||||
К8-д | р | –41 | 0.88 | 6.2 | 6.5 |
Тип 3. Включения в Ky-Qz жилах с околожильными метасоматитами (MS) | |||||
Б880-7 (жила) | ps | –57 | 0.85 | 6.8 | 7.3 |
Б880-2 (MS) | p | –27 | 0.94 | 5.1 | 5.5 |
Б884-2 (край жилы) | p | –38 | 0.99 | 5.8 | 6.2 |
Б884-1 (MS) | p | –2 | 1.09 | 3.4 | 3.7 |
Тип 4. Включения в метасоматических Qz-содержащих Ky породах | |||||
Б891 | p | –16 | 0.99 | 4.3 | 4.7 |
Б901-1 | p | 4 | 1.10 | 3.4 | 3.6 |
Б901-4 | p | –2 | 1.07 | 3.6 | 3.9 |
Б901-6 | ps | –7 | 1.04 | 3.8 | 4.1 |
А355-2 | ps | –4 | 1.05 | 3.7 | 4.0 |
Тип 5. Включения в анхимономинеральных Qz жилах | |||||
Б926-1 (жила) | ps | –41 | 0.88 | 6.2 | 6.5 |
Б926-3 (жила) | p | –57 | 0.85 | 6.8 | 7.3 |
Б926-3а (край) Qz-St зона | p | –31 | 0.93 | 5.3 | 5.7 |
Примечание. Р-Т условия захвата включений выделены жирным шрифтом. p – первичные включения, ps – первично-вторичные включения. Th – температура гомогенизации включений СО2.
Таким образом, на основе метода мультиравновесной термобарометрии и плотности включений CO2 был реконструирован ретроградный Р-Т тренд для метаморфических и метасоматических пород Больших Кейв, по-видимому, отражающий историю эволюции пород при их эксгумации в верхнюю кору (рис. 6).
Сравнение данных по аН2О (минеральные равновесия) и содержанию солей (включения) со свойствами модельного флюида
Для пород тип-2 по образцам Е6, Е5, К8 методом avPT был получен набор пучков с высокой сходимостью (параметр fit), в среднем дающих температуру 560°C и давление 7.5 кбар (например, обр. Е6-2 на рис. 6). Среднее значение активности воды для этих образцов (0.45–0.62) составило aH2O = 0.54. Исследования включений рассолов оценили относительное содержание NaCl и CaCl2 (табл. 1). В выбранных образцах присутствует компактная группа водно-солевых включений, содержащих 14.2–45.1 мас. % NaCl и 14.1–25.2 мас. % CaCl2. Соответствующие мольные доли этих солей для флюида H2O-NaCl-CaCl2: NaCl от xNaCl = 0.062 до xNaCl = 0.252, CaCl2 от xCaCl2 = 0.040 до xCaCl2 = 0.064. Суммарная соленость (в мольных долях) для системы H2O-NaCl-CaCl2 колеблется в пределах от xsalt = 0.143 до xsalt = 0.299 (табл. 1) при средней величине xsalt = 0.221. Отношение средней мольной доли NaCl (xNaCl = 0.166) к средней мольной солености составляет xr = 0.75. Помимо включений рассолов в образцах присутствуют включения CO2, не содержащие и содержащие Н2О. Совместное присутствие этих двух типов включений позволяет предположить их образование из гомогенного флюида, испытавшего распад на две фазы при снижении P-T параметров до значений, определенных нами для этих образцов, т. е. T = 560°C, P = 7.5 кбар.
С целью сравнения природных и модельных свойств флюида построена фазовая диаграмма с теоретическим сольвусом (толстая синяя линия) для флюида H2O-CO2-NaCl-CaCl2 при 560°C и 7.5 кбар и соотношении мольных долей NaCl и CaCl2 (общая соленость 75% NaCl и 25% CaCl2, рис. 8). Мольные доли компонентов в четверной системе H2O-NaCl-CaCl2-CO2 здесь и далее будут обозначаться как yH2O, yCO2, yNaCl, yCaCl2. При yCO2 = 0, что графически соответствует левой стороне треугольника составов, yNaCl = xNaCl, yCaCl2 = = xCaCl2, yH2O = xH2O. В противном случае мольные доли четверной системы, соответствующие xNaCl, xCaCl2, xH2O, линейно снижаются с ростом yCO2.
Рис. 8. Сечение фазовой диаграммы флюидной системы H2O-NaCl-CaCl2-CO2 через вершины Н2О-СО2-отношение солей. ysalt – мольные доли общей солености в четверной системе, yCO2 – мольные доли СО2 в четверной системе. Сольвусы и фазовые поля при T = 560°C, P = 7.5 кбар и xr = 0.75 (отношение мольной доли NaCl к суммарной мольной доле соли). Цифры обозначают области (поля) различного фазового состава: 1 – гомогенный флюид, 2 – две сосуществующие флюидные фазы, 3 – две флюидные фазы, сосуществующие с твердой фазой NaCl (границы обозначены для T = 560°C, P = 7.5 кбар, xr = 0.75 – жирные зеленые линии). Тонкие черные линии соединяют точки сольвуса с одинаковыми активностями воды. a – xsalt = 0.299, b – xsalt = 0.143, c – xsalt = 0.221 – точки максимальной, минимальной и средней солености водно-солевого флюида в обр. Е6, Е5, К8.
Красные залитые кружки на левой стороне треугольника составов (рис. 8), обозначенные как a, b и c, соответствуют приведенным выше значениям солености водно-солевой составляющей природного флюида (флюидные включения). Точка a отвечает максимальной солености xsalt = 0.299 (в мольных долях), точка b соответствует минимальной солености xsalt = 0.143, точка c отвечает средней солености xsalt = 0.221. Прерывистые линии соединяют их с точками на сольвусе, отвечающими тем же составам водно-солевой части флюида. Активность воды для этих точек на сольвусе составляет: aH2O = 0.46 для a, aH2O = 0.59 для b и aH2O = 0.53 для c. Тонкие черные линии на рис. 8 соединяют точки, соответствующие составам a, b и c, с точками на нижней ветви сольвуса, где активность воды имеет те же значения, что и в точках a, b и c. Эти точки на нижней ветви сольвуса соответствуют составам богатого СО2 и не содержащего солевую составляющую флюида, равновесного с высокосоленым флюидом a, b и c. Последнее мы отождествляем с углекислотными включениями, найденными в исследованных образцах.
Следует отметить хорошее соответствие природных и модельных данных как в отношении вариаций aH2O, так и для усредненной по солености точки c и aH2O = 0.54.
Обсуждение результатов
Главные типы флюидных включений и их ассоциации
В метаморфических сланцах и гнейсах с графитом (тип-1), по сравнению с другими типами пород, включений мало. В них преобладают водно-солевые включения, а включения СО2 и СН4 редки. Во всех других типах исследованных пород (тип-2–тип-5), имеющих отчетливые геологические и минералогические отличия, включений много и они образуют близкие или одинаковые по фазовому составу ассоциации включений рассолов и газов, более редких первичных и преобладающих первично-вторичных. Эти ассоциации отличаются, главным образом, относительным содержанием СО2, СН4 и главных солей NaCl и CaCl2. Включения в кварце, реже в кианите, представлены почти чистыми включениями СО2 и/или включениями СО2 с примесью СН4, почти чистыми включениями CH4 и/или включениями CH4 с примесью СО2, и включениями рассолов с двумя солями или одной солью NaCl. Во всех типах пород, кроме метаморфических гнейсов и сланцев, встречались углекислотно-водные включения с разным соотношением СО2 и Н2О. Они обычно среди включений СО2 без видимой Н2О и рассолов.
Эти ассоциации включений сосуществуют в одних и тех же генерациях ранних включений: более ранних первичных и преобладающих первично-вторичных в виде скоплений и линейных зон. Поэтому мы считаем их сингенетичными, возникшими (а) при распаде условно первичного гомогенного флюида близко к началу образования породы, и (б) при продолжавшемся дальнейшем распаде в термоградиентном поле захваченных включений. В пользу последнего свидетельствует тенденция к появлению все более “чистых” монофазных включений либо газов, либо рассолов (например, Бушмин и др., 2020 и ссылки в этой работе).
Установленные различия в составе флюидов в разных типах пород, записанные во флюидных включениях, обнаруживают, начиная от пород типа-2, тенденцию к уменьшению содержания метана, вплоть до его отсутствия в типе-5, где в газовых включениях остается только СО2. Также падает общая соленость включений рассолов. Такие изменения состава наблюдаемых водных флюидов от пород типа-2 к породам типа-5 при снижении Р-Т, по-видимому, происходят при поступлении новых внешних флюидов в комплекс пород Большие Кейвы в процессе эксгумации в верхнюю кору (рис. 9). Полученные данные свидетельствуют и о том, что во всех типах пород соотношения двух солей меняются по-разному, не обнаруживая тенденции к последовательному изменению, при этом обращает на себя внимание постоянное присутствие включений рассолов NaCl средней–низкой солености.
Рис. 9. Относительное присутствие в кварце включений газов (СО2 и СН4) и рассолов (Н2О, соли с учетом мас. % солей) в исследованных типах пород: (а) тип-1, (б) тип-2, (в) тип-3, (г) тип-4, (д) тип-5.
Фазовое расслоение флюида при вскрытии захваченных включений рассола во время снижения Р-Т при эксгумации пород
Обобщив все данные, полученные по флюидным включениям, мы обратили внимание на систематическое присутствие во всех типах исследованных пород, наряду с включениями рассолов высокой солености, состоящих из двух солей, и на присутствие включений рассолов с одной солью NaCl средней–низкой солености (рис. 2в, 2ж, 4б, 4г, 4ж). Мы предположили, что включения низкой солености могут быть продуктами фазового расслоения водно-солевых включений на две несмесимые фазы различного состава при их вскрытии и перемещении в новые структурные полости кварца на фоне продолжавшегося стресса в сочетании со снижением Р-Т параметров в процессе эксгумации пород. Вследствие различия в свойствах смачивания этими образовавшимися флюидами стенок микротрещины естественно ожидать пространственное разделение этих флюидных фаз по различным первично-вторичным включениям. В случае же контакта с межзерновым пространством будет происходить дальнейшая модификация состава включений. Еще более сложная картина должна возникать при многократном открытии включений. Подробный анализ событий открытия включений в ходе подъема пород к поверхности требует прецизионного исследования большого числа включений. Однако общие черты разделения флюидных фаз при преобразовании захваченных включений могут быть показаны на примере включений в минералах из пород типа-2 и типа-4.
Этот возможный процесс расслоения рассмотрим на основе численного моделирования в рамках термодинамической модели четверной системы H2O-NaCl-CaCl2-CO2 (Иванов, 2023) на примере пород типа-2 и типа-4. Присутствие СО2 является необходимым условием распада гомогенного флюида на несмесимые фазы в указанной четверной системе. Отсутствие информации о реальном содержании углекислого газа предопределило относительно произвольный выбор мольной доли CO2 по солености исходного флюида во включениях (примеры приведены в подписях к рис. 10 и 11) для перехода в четверную систему с СО2, величина которой ограничена гомогенностью флюида в исходных включениях при P-T условиях захвата.
Рис. 10. Включения в породах типа-2. Серые кружки – водно-солевые составы исследованных флюидных включений в обр. Е3 (а) и Е5, Е6, К8 (б). Цветные символы – составы флюидов исходных включений и соответствующие им составы расслоенных флюидов. Точки, соответствующие составам флюидов исходных включений дополнительно отмечены знаком + того же цвета. Составы модельных флюидов исходных включений (y – мольные доли компонентов в четверной системе H2O-NaCl-CaCl2-CO2), Р-Т параметры, при которых произошло фазовое расслоение:
- yH2O= 0.719, yCO2 = 0.197, yNaCl = 0.049, yCaCl2 = 0.035, T = 320°C, P = 2 кбар;
- yH2O= 0.712, yCO2 = 0.205, yNaCl = 0.043, yCaCl2 = 0.040, T =320°C, P = 2 кбар;
- yH2O= 0.736, yCO2 = 0.184, yNaCl = 0.038, yCaCl2 = 0.042, T = 320°C, P = 2 кбар;
- yH2O= 0.653, yCO2 = 0.237, yNaCl = 0.090, yCaCl2 = 0.020, T = 500°C, P = 4 кбар;
- yH2O= 0.614, yCO2 = 0.222, yNaCl = 0.140, yCaCl2 = 0.024, T = 500°C, P = 4.3 кбар;
- yH2O= 0.522, yCO2 = 0.391, yNaCl = 0.072, yCaCl2 = 0.016, T = 470°C, P = 2 кбар.
Рис. 11. Включения в породах типа-4. Состав модельного флюида исходного включения: yH2O = 0.734, yCO2 = 0.211, yNaCl = 0.028, yCaCl2 = 0.028. T = 390°C, P = 1.4 кбар. См. также подпись к рис. 10.
На рис. 10 в двух разных масштабах серыми кружками показаны составы флюидных включений H2O-NaCl-CaCl2 для пород типа-2, а на рис. 11 – для пород типа-4. Из них выбраны для исследования составы, отмеченные крестами. Исходные параметры: 550°C, 7 кбар для пород типа-2 и 500°C, 4.0 кбар для пород типа-4. Затем производился расчет состава флюида до более низких параметров с выраженным распадом исходного флюида на две флюидные фазы контрастного состава. Состав этих новообразованных фаз обозначен на рис. 10 и 11 теми же цветными символами, верхним и нижним, но без крестов. Примеры состава исходных включений и Р-Т условия их фазового расслоения приведены в подписи к рис. 10 и 11.
Одна из полученных модельных фаз сопоставима по составу с включениями рассола с NaCl низкой солености (рис. 10 и 11), куда переходит основная доля исходного СО2. На рис. 10а и 10б мольная доля СО2 в таких новообразованных малосоленых включениях составляет: 1. yCO2 = 0.532; 2. yCO2 = 0.536; 3. yCO2 = 0.521; 4. yCO2 = 0.541; 5. yCO2 = 0.628; 6. yCO2 = 0.580. На рис. 11 в новообразованном малосоленом включении yCO2 = 0.384.
Вторая модельная фаза сопоставима с включениями рассолов высокой солености с преобладанием CaCl2 над NaCl (рис. 10 и 11) или преобладанием NaCl над CaCl2 (рис. 10б), куда переходит остаток СО2. На рис. 10 мольная доля СО2 в таких новообразованных включениях наибольшей солености составляет: 1. yCO2 = 0.046; 2. yCO2 = 0.042; 3. yCO2 = 0.046; 4. yCO2 = 0.069; 5. yCO2 = 0.046; 6. yCO2 = 0.015. На рис. 11 в новообразованном высокосоленом включении yCO2 = 0.034. Дальнейшее удаление СО2 из включений мы объясняем последующими нарушениями их целостности и распаде при более низких Р-Т параметрах.
В процессе моделирования выяснились две особенности эволюции состава включений. Во-первых, вариации мольной доли CO2 в составе исходного включения существенно влияют на степень разделения флюидных фаз по солености, но оказывают достаточно слабое влияние на соотношение CaCl2 и NaCl в этих фазах. Во-вторых, сходным образом влияет на солевые составы флюидных фаз величина давления, при котором происходит открытие исходного включения.
Таким образом, на основе новой термодинамической модели многокомпонентного флюида показано, что часть из наблюдаемых включений, прежде всего включения Н2О-NaCl низкой солености и включения рассолов с двумя солями с наибольшей соленостью, могут быть продуктами эволюции состава захваченных включений при их вскрытии и гетерогенизации флюида, вызванной снижением Р-Т параметров во время эксгумации породы в верхнюю кору. Такие включения не всегда могут являться свидетельством поступления новых порций NaCl-флюидов низкой солености.
Свойства флюидов вдоль обобщенного ретроградного Р-Т тренда, отражающего Р-Т историю пород при эксгумации: синтез природных и модельных данных.
На рис. 12 представлены фазовые диаграммы для флюидов состава H2O-NaCl-CaCl2-CO2 с их привязкой к P-T параметрам исследованных метаморфических и метасоматических пород вдоль обобщенного Р-Т тренда покрова Большие Кейвы. Все фазовые диаграммы получены для случая равных мольных долей CaCl2 и NaCl во флюиде. Красными кружками в предположении yCO2 = 0 обозначены составы водно-солевых включений с максимальной концентрацией соли, обнаруженные в соответствующем типе пород (табл. 1). В случае, если возможно допустить присутствие в данных включениях умеренной доли CO2, эта точка соединена прерывистой желтой линией с точкой на сольвусе с такой же мольной долей соли в водно-солевой части четырехкомпонентного флюида.
Рис. 12. Фазовые диаграммы флюидов вдоль обобщенного Р-Т тренда ретроградного изменения условий образования исследованных типов метаморфических и метасоматических пород покрова Большие Кейвы. (а) – тип-1, (б) – тип-2, (в) – тип-3, (г) – тип-4, (д) – прерывистая красная линия – обобщенный Р-Т тренд. Жирные синие линии – сольвусы. Обозначения фазовых полей – см. подпись к рис. 8. Незалитые кружки – критические точки сольвусов, в которых активность воды достигает максимального значения, возможного в области гетерогенного флюида. Красные кружки – максимальные мольные доли соли в водно-солевой части флюида для каждого из типов пород. Пунктирная красная линия на рисунке (а) – сольвус для P-T условий пород типа-2. аН2О – активность воды, ρ – плотность флюидных фаз (г/см3).
В качестве примера важнейших параметров, характеризующих свойства флюидов, рассчитаны активность воды и плотность флюидных фаз, влияющие, например, на метаморфические и метасоматические реакции, на перенос и отложение элементов, изменяющие температуры плавления. От плотности зависит растворяющая способность растворов электролитов, а от разницы плотностей несмесимых флюидных фаз зависит степень фракционирования продуктов гидролиза солей (например, HCl и NaOH), что определяет кислотные свойства рассолов и водно-углекислотных флюидов при снижении P-T параметров.
На рис. 12а представлена фазовая диаграмма для пород типа-1. Максимальная величина xsalt в этих породах очень близка к мольной доле соли в водно-солевой части флюида с составом, соответствующим критической точке сольвуса. Однако такого сорта флюиды должны также содержать большое количество углекислого газа (не менее yCO2 = 0.3), но включения СО2 редки. Таким образом, метаморфогенный флюид пород типа-1 был гомогенным, существенно водным и малосоленым.
Концентрация солей в водно-солевых включениях в метасоматических породах типа-2 (рис. 12б) принципиально выше, чем в породах типа-1. Также в породах этого типа имеется значительное число углекислотных включений в ассоциации с включениями рассолов, содержащих и не содержащих углекислоту (рис. 3). Оба эти обстоятельства приводят к сделанному выше выводу о том, что включения в породах типа-2 представляют собой гетерогенный флюид, состоящий из водно-солевой и углекислотно-водной фаз. Для случая наиболее высокой солености, представленного на рис. 12б, разделение фаз является очень контрастным. Водно-солевая фаза содержит малую долю CO2, в то время как углекислотно-водная фаза практически полностью лишена солей, а доля CO2 в ней значительно превосходит долю воды. На рис. 12а, помимо сольвуса для максимальных P-T условий пород типа-1, показан также сольвус, соответствующий Р-Т условиям пород типа-2. Оба эти сольвуса практически совпадают. Как сказано выше, малосоленые включения в породах типа-1 не могли образоваться из гетерогенного флюида при P-T условиях типа-1. Верно и обратное, фазовое расслоение высоко соленых включений, найденных в породах типа-2, не могло привести к образованию низко соленых включений, присутствующих в породах типа-1. Тем самым, отсутствует какая-либо генетическая связь между флюидами, найденными в породах типа-1 и типа-2.
В породах типа-3 и типа-4 (рис. 12в, 12г), так же как в породах типа-2, нами обнаружены как водно-солевые, так и углекислотно-водные включения (рис. 5а–5д). Концентрация солей в водно-солевых включениях здесь заметно ниже, чем в породах типа-2, но вполне достаточна для того, чтобы включения в этих типах пород происходили из гетерогенного флюида. Значительно более низкая соленость флюидов в этих породах делает сомнительной их возможную связь с флюидом пород типа-2. В то же время имеется значительное сходство между флюидами из включений в породах типа-3 и -4.
Таким образом, последовательное снижение P-T условий от пород типа-1 к породам типа-2, далее к типам 3 и 4, (рис. 12) сопровождается контрастной сменой состава и состояния флюидов. Происходит переход от гомогенного существенно водно-солевого средней–низкой солености (тип-1) к гетерогенным метаново-водным высокой солености (тип-2). За этим происходит переход к углекислотно-водным высокой солености (тип-3 и -4) и, наконец, к углекислотно-водным флюидам средней–низкой солености, характерным для наиболее поздних Qz жил (тип-5). Вдоль ретроградного Р-Т тренда, представленного на рис. 12, наблюдается изменение активности воды во флюиде: аН2О = 0.88 – тип-1, аН2О = 0.48 – тип-2, аН2О = 0.62 – тип-3, аН2О = 0.66 тип-4. Максимально возможная активность воды в гетерогенном флюиде также возрастает вдоль Р-Т тренда от аН2О = 0.63 (тип-2) до аН2О = 0.66 (тип-3) и к аН2О = 0.70 для P-T условий пород типа-4. Обращает на себя внимание не только изменение плотности несмесимых флюидных фаз при гетерогенном состоянии флюидов, но и разница между плотностями, которая максимальная для флюида пород типа-2. Синтез природных и модельных данных приводит к выводу, что в указанном ряду (тип-1–тип-5) флюиды в целом не могут рассматриваться как продукты эволюции единого флюида.
Полученные результаты свидетельствуют о том, что в метаморфических и метасоматических процессах, сформировавших породы Больших Кейв, участвовали по мере снижения Р-Т параметров флюиды, различавшиеся по фазовому состоянию (гомогенное или гетерогенное), свойствам гомогенного флюида и свойствам несмесимых фаз гетерогенного флюида, таким как активность воды, соленость, плотность и газовый состав. Время проявление метасоматоза 1762–1721 млн лет (Бушмин и др., 2011а), а значит и тектоно-флюидной переработки пород Больших Кейв при формировании покровно-надвиговой структуры, что свидетельствует о коллизионных процессах, сопровождавшихся эксгумацией тектонического покрова Большие Кейвы в течение относительно длительного интервала ~40 млн лет.
Геологическая информация, полученная в настоящей работе и касающаяся распространенности пород, содержащих графит и значительное содержание СН4 во флюидных включениях, ставит вопросы о происхождении графита и метана, а также дополнительного анализа фазовых соотношений в системе С-О-Н. Эти вопросы требуют расширенного анализа, который и предполагается провести в наших дальнейших исследованиях.
Выводы
Выявленные особенности флюидов Больших Кейв, с нашей точки зрения, имеют не только региональный характер, но и являются примером проявления общих закономерностей в свойствах и эволюции флюидов, сопровождающих эксгумацию пород, по крайней мере с уровня средней коры. Они заключаются в следующем:
- Состав флюидов, записанный в геологической последовательности метасоматических и жильных пород, нельзя объяснить только эволюцией метаморфогенного флюида на ретроградном этапе истории пород при их эксгумации, происходившей, как мы предполагаем, в флюидонасыщенном канале, в котором флюиды разного происхождения играли роль “смазки”, облегчающей выдавливание наверх блока пород.
- Наблюдается контрастная смена состава и состояния флюидов, от гомогенного существенно водно-солевого средней–низкой солености, к гетерогенным метаново-водным высокой солености, далее к углекислотно-водным высокой солености и, наконец, к углекислотно-водным флюидам средней–низкой солености. В указанном ряду флюиды в целом не могут рассматриваться как продукты эволюции единого флюида и, таким образом, кроме первого метаморфогенного флюида представляют собой порции внешних флюидов.
- Проявления дискретных потоков внешних флюидов разного химического состава и фазового состояния, не являющихся продуктами эволюции флюида из одного источника, по-видимому, не являются уникальными событиями на разных уровнях коры. Может происходить и многостадийное поступление в канал локализованных порций внешних углекислотно-водных флюидов разного химического состава, усложняющих общий состав флюида в канале.
- Возможно, закономерной является и обнаруженная в покрове Большие Кейвы тенденция к уменьшению содержания метана и солености в порциях внешних водных флюидов с уменьшением глубины их поступления в канал. Это не может не отражаться на продолжающейся метасоматической и гидротермальной переработке поднимающихся к поверхности пород.
Благодарности. Авторы благодарны рецензентам О.Г. Сафонову и Л.И. Ходоревской за замечания, способствовавшие улучшению работы.
Источники финансирования. Исследование выполнено при поддержке гранта Российского научного фонда № 22-27-00270, https://rscf.ru/project/22-27-00270/.
1 Аббревиатура минералов и другие условные обозначения согласно (Whitney, Evans, 2010), за исключением графита (Gt) и галита (H). Также используются обозначения особенностей химического состава минералов. Для граната: XMgCa = Mg,Ca/(Mg + Fe + Mn + Ca); биотита, ставролита и хлорита: XMg = Mg/(Mg + Fe); биотита: XAl = Al/(Al + Si); плагиоклаза и мусковита: XNa = Na/(Na+Ca).
Об авторах
С. А. Бушмин
Институт геологии и геохронологии докембрия РАН
Автор, ответственный за переписку.
Email: s.a.bushmin@ipgg.ru
Россия, Санкт-Петербург
Е. А. Вапник
Ben-Gurion University of the Negev
Email: s.a.bushmin@ipgg.ru
Department of Geological and Environmental Sciences
Израиль, Беэр-ШеваМ. В. Иванов
Институт геологии и геохронологии докембрия РАН
Email: s.a.bushmin@ipgg.ru
Россия, Санкт-Петербург
А. Б. Кольцов
Институт геологии и геохронологии докембрия РАН
Email: s.a.bushmin@ipgg.ru
Россия, Санкт-Петербург
Ю. М. Лебедева
Институт геологии и геохронологии докембрия РАН
Email: s.a.bushmin@ipgg.ru
Россия, Санкт-Петербург
О. В. Александрович
Институт геологии и геохронологии докембрия РАН
Email: s.a.bushmin@ipgg.ru
Россия, Санкт-Петербург
Е. В. Савва
Институт геологии и геохронологии докембрия РАН
Email: s.a.bushmin@ipgg.ru
Россия, Санкт-Петербург
Список литературы
- Аранович Л.Я. Роль рассолов в высокотемпературном метаморфизме и гранитизации // Петрология. 2017. Т. 25. № 5. С. 491–503.
- Аранович Л.Я., Закиров И.В., Сретенская Н.Г., Геря Т.В. Тройная система H2O-CO2-NaCl при высоких Р-Т параметрах: эмпирическая модель смешения // Геохимия. 2010. № 5. С. 1–10.
- Балаганский В.В. Главные этапы тектонического развития северо-востока Балтийского щита в палеопротерозое: Автореф. дис. … докт. геол.-мин. наук. СПб., 2002, 32 с.
- Балаганский В.В., Раевский А.Б., Мудрук С.В. Комплексные геолого-геофизические модели древних щитов. Апатиты: ГИ КНЦ РАН, 2009. С. 110–117.
- Балаганский В.В., Раевский А.Б., Мудрук С.В. Нижний докембрий Кейвского террейна, Северо-Восток Балтийского щита: стратиграфический разрез или коллаж тектонических пластин // Геотектоника. 2011. № 2. С. 32–48.
- Бельков И.В. Кианитовые сланцы свиты Кейв. М.-Л.: Изд. АН СССР, 1963. 321 с.
- Борисенко А.С. Анализ солевого состава растворов газово-жидких включений в минералах методом криометрии // Использование методов термобарогеохимии при поисках и изучении рудных месторождений. М.: Недра, 1982. С. 37–47.
- Бушмин С.А., Глебовицкий В.А., Савва Е.В. и др. Возраст высокобарического метасоматоза в зонах сдвиговых деформаций при коллизионном метаморфизме в Лапландском гранулитовом поясе: U-Pb SHRIMP-II – датирование цирконов из силлиманит-гиперстеновых пород Порьегубского покрова // Докл. АН. 2009. Т. 428. № 6. С. 792–796.
- Бушмин С.А., Глебовицкий В.А., Пресняков С.Л. и др. Новые данные о возрасте (SHRIMP-II) протолита и палеопротерозойских преобразований архейского Кейвского террейна // Докл. АН. 2011а. Т. 438. № 2. С. 237–241.
- Бушмин С.А., Глебовицкий В.А., Прасолов Э.М. и др. Происхождение и состав флюида, ответственного за метасоматические процессы в зонах сдвиговых деформаций тектонического покрова Большие Кейвы Балтийского щита: изотопный состав углерода графитов // Докл. АН. 2011б. Т. 438. № 3. С. 379–383.
- Бушмин С.А., Вапник Е.А., Иванов М.В. и др. Флюиды гранулитов высоких давлений // Петрология. 2020. Т. 28. № 1. С. 23–54.
- Бушмин С.А., Кольцов А.Б., Лебедева Ю.М., Савва Е.В. Метасоматическое преобразование амфиболитов в корундсодержащие плагиоклазиты: зональность, численная модель процесса (на примере уникального месторождения Хитостров, Фенноскандинавский щит // Петрология. 2023. Т. 31. № 6. С. 602–622.
- Галимов Э.М. Геохимия стабильных изотопов углерода. М.: Недра, 1968. 224 с.
- Доливо-Добровольский Д.В. TriQuick: программа для построения прямоугольных и треугольных точечных диаграмм, а также для отображения, создания и редактирования диаграммной графики. 2012. URL: http://www.dimadd.ru/ru/Programs/triquick
- Доливо-Добровольский Д.В. TC_Comb: оболочка программы THERMOCALC для эффективной мультиравновесной геотермобарометрии методом avPT с визуализацией и анализом результатов. 2013. URL: http://www.dimadd.ru/ru/Programs/tccomb
- Дуденко Л.Н. Геохимические структуры эндогенных систем. Л.: Недра, 1981. 193 с.
- Жданов В.В., Беляев Г.М., Блюман Б.А. и др. Региональные метаморфо-метасоматические формации. Л.: Недра, 1983. 280 с.
- Иванов М.В. Термодинамическая модель флюидной системы H2O-CO2-NaCl-CaCl2 при Р-Т параметрах средней и нижней коры // Петрология. 2023. Т. 31. № 4. С. 408–418.
- Иванов М.В., Бушмин С.А. Уравнение состояния флюидной системы H2O-CO2-CaCl2 и свойства флюидных фаз при P-T параметрах средней и нижней коры // Петрология. 2019. Т. 27. № 4. С. 431–445.
- Иванов М.В., Бушмин С.А. Термодинамическая модель флюидной системы H2O-CO2-NaCl при Р-Т параметрах средней и нижней коры // Петрология. 2021. Т. 29. № 1. С. 90–103.
- Кольцов А.Б., Бушмин С.А. Метасоматоз в термоградиентных условиях: модели сопряженного переноса тепла и взаимодействия флюид–порода // Петрология. 2022. Т. 30. № 3. С. 309–330.
- Файф У., Прайс Н., Томпсон А. Флюиды в земной коре. М.: Мир, 1981. 436 с.
- Фомина Е.Н., Козлов Е.Н., Лохова О.В., Лохов К.И. Графит как индикатор контактового воздействия Западно-Кейвской интрузии щелочных гранитов, Кольский полуостров // Вестник МГТУ. 2017. Т. 20. № 1/1. С. 129–139.
- Харитонов Л.Я. Опыт тектонического районирования восточной части Балтийского щита // Ученые записки ЛГУ. Сер. геол. 1957. Вып. 9. № 225. С. 34–70.
- Щеглова Т.П., Маслов А.Т. Эволюция состава гранатов и амфиболов в породах Кейвского блока // Записки ВМО. 1994. № 5. С. 76–88.
- Щеглова Т.П., Скублов С.Г., Другова Г.М., Бушмин С.А. Особенности химического состава ставролитов высокоглиноземистых пород Кейвского блока // Записки ВМО. 2000. № 2. С. 71–80.
- Шмулович К.И. Двуокись углерода в высокотемпературных процессах минералообразования. М.: Наука, 1988. 183 с.
- Ague JJ. Fluid flow in the deep crust // Treatise on Geochemistry. V. 4: The Crust. Еds. H.D. Holland, K.K. Turekian. Oxford, UK: Elsevier, 2014. 2nd ed. P. 203–247.
- Aranovich L.Y., Safonov O.G. Halogens in high-grade metamorphism // The Role of Halogens in Terrestrial and Extraterrestrial Processes. Eds. D.E. Harlov, L.Y. Aranovich. Springer Geochemistry. 2018. P. 713–757.
- Bakker R.J. Re-equilibration processes in f luid inclusion assemblages // Minerals. 2017. V. 7. № 117. P. 1–19.
- Bakker R.J. Package FLUIDS1. Computer programs for analysis of fluid inclusion data and for modelling bulk fluid properties // Chem. Geol. 2003. V. 194. № 1–3. P. 3–23.
- Baumgartner M., Ronald J., Bakker R.J., Doppler G. Reequilibration of natural H2O-CO2-salt-rich fluid inclusions in quartz. Part 1. Experiments in pure water at constant pressures and differential pressures at 600°C // Contrib. Mineral. Petrol. 2014. V. 167. P. 1017.
- Bridgwater D., Scott D.J., Balagansky V.V. et al. Age and provenance of early Precambrian metasedimentary rocks in the Lapland-Kola Belt, Russia: evidence from Pb and Nd isotopic data // Terra Nova. 2001. V. 13. № 1. P. 32–37.
- Bushmin S.A., Glebovitsky V.A. Scheme of mineral facies of metamorphic rocks and its application to Fennoscandian shield with representative sites of orogenic gold mineralization // Transactions of Karelian Research Centre RAS. Precambr. Geol. Ser. 2016. № 2. P. 3–27.
- Bushmin S., Alexeev N., Dolivo-Dobrovolsky D., Shcheglova T. Metasomatic processes, P-T retrograde evolution and tectonic dynamics in trust structures, Lapland-Kola mobile belt, Eastern Baltic Shield // Eurobridge Workshop. Vilnius. 1997. P. 15–17.
- Chu H., Chi G., Chou I-M. Freezing and melting behaviors of H2O–NaCl–CaCl2 solutions in fused silica capillaries and glass-sandwiched films: implications for fluid inclusion studies // Geofluids. 2016. V. 16. P. 518–532.
- Duan Z., Moller N., Weare J.H. Molecular dynamics simulation of PVT properties of geological fluids and a general equation of state of nonpolar and weakly polar gases up to 2000 K and 20,000 bar // Geochim. Cosmochim. Acta. 1992. V. 56. P. 3839–3845.
- Dubois M., Monnin C., Castelain T. et al. Investigation of the H2O-NaCl-LiCl system: a synthetic fluid inclusion study and thermodynamic modeling from –50° to +100°C and up to 12 mol/kg // Econom. Geol. 2010. V. 105. P. 329–338.
- Holland T.J.B., Powell R. An internally consistent thermodynamic dataset for phases of petrological interest // J. Metamorph. Geol. 1998. V. 16. P. 309–343.
- Manning C.E. Fluids of the lower Crust: Deep is different // Annu. Rev. Earth Planet. Sci. 2018. V. 46. P. 67–97.
- Manning C.E., Aranovich L.Y. Brines at high pressure and temperature: Thermodynamic, petrologic and geochemical effects // Precambr. Res. 2014. V. 253. P. 6–16.
- Mysen B. Fluids and physicochemical properties and processes in the Earth // Progress in Earth and Planetary Science. Carnegie Institution Washington, 5251 Broad Branch Rd., NW, Washington, DC. 2015, USA. 2022. P. 1–39.
- Newton R.C., Aranovich L.Ya., Touret J.L.R. Streaming of saline fluids through Archean crust: Another view of charnockite-granite relations in southern India // Lithos. 2019. V. 346–347. P. 1–10.
- Perchuk L.L., Gerya T.V. Fluid control of charnockitization // Chem. Geol. 1993. V. 108. P. 175–186.
- Powell R., Holland T.J.B. Optimal geothermometry and geobarometry // Amer. Mineral. 1994. V. 79. P. 120–133.
- Powell R., Holland T.J.B. An internally consistent thermodynamic dataset with uncertainties and correlations: 3. Аpplication methods, worked examples and a computer program // J. Metamorph. Geol. 1988. V. 6. P. 173–204.
- Roedder E. Fluid inclusions // Reviews in Mineralogy. V. 12. Mineral. Soc. America. 1984. 644 p.
- Steele-MacInnis M., Bodnar R.J., Naden J. Numerical model to determine the composition of H2O–NaCl–CaCl2 fluid inclusions based on microthermometric and microanalytical data // Geochim. Cosmochim. Acta. 2011. V. 75. P. 21–40.
- Steele-MacInnis M., Manning C.E. Hydrotermal properties of geologic fluids // Elements. 2020. V. 16. P. 375–380.
- Steele-MacInnis M., Ridley J., Lecomberri-Sanchez P. et al. Application of low-temperature microthermometric data for interpreting multicomponent fluid inclusion compositions // Earth Sci. Rev. 2016. V. 159. P. 14–35.
- Whitney D.L., Evans B.W. Abbreviations for names of rock-forming minerals // Amer. Mineral. 2010. V. 95. P. 185–187.
Дополнительные файлы













