Separation of salts NaCl and CaCl2 in aqueous-carbon dioxide deep fluids
- Authors: Ivanov M.V.1, Bushmin S.A.1
-
Affiliations:
- Institute of Precambrian Geology and Geochronology RAS
- Issue: Vol 32, No 2 (2024)
- Pages: 245-254
- Section: Articles
- URL: https://ogarev-online.ru/0869-5903/article/view/259775
- DOI: https://doi.org/10.31857/S0869590324020076
- EDN: https://elibrary.ru/DCGBLX
- ID: 259775
Cite item
Full Text
Abstract
The possibility of changing the ratio of the concentrations of NaCl and CaCl2 salts in fluid phases formed as a result of heterogenization of the H2O–CO2–NaCl–CaCl2 fluid with a decrease in P-T parameters has been studied. A well-known experimental fact regarding the ternary systems H2O–CO2–NaCl and H2O–CO2–CaCl2 is the greater tendency of the H2O–CO2–CaCl2 system to separate into coexisting predominantly aqueous-salt and aqueous-carbon dioxide phases compared to the similar system H2O–CO2–NaCl. This experimental fact can be interpreted as a greater affinity of NaCl for CO2 compared to CaCl2. Using a recently developed numerical thermodynamic model of the H2O–CO2–NaCl–CaCl2 quaternary fluid system, it was possible to identify geologically significant consequences of this difference in the interaction of NaCl and CaCl2 with CO2. Multistage heterogenization of the H2O–CO2–NaCl–CaCl2 fluid with a significant decrease in P-T parameters ultimately leads to the formation of aqueous-carbon dioxide fluid phase f2, the salt component of which is significantly enriched in NaCl and depleted in CaCl2 compared to the initial fluid. The fluid phase f1 formed at each stage of heterogenization has a predominantly water-salt composition with the ratio of the mole fractions of NaCl and CaCl2 salts, differing little from that in the initial fluid. However, the total mole fraction of salt in the f1 phase, as a rule, significantly exceeds that in the original fluid. The density of phase f1 significantly exceeds the density of phase f2. During the process of multistage heterogenization of the fluid phase f1, there is no formation of a fluid with a significant enrichment of CaCl2 compared to the initial ratio of the mole fractions of NaCl and CaCl2. At the same time, successive multiple separation of the f2 phase leads to the enrichment of its salt component in NaCl. Under favorable conditions, this process can lead to the formation of a fluid with almost pure NaCl salt. Changes in the salt composition of the fluid H2O–CO2–NaCl–CaCl2 are considered in application to the evolution of fluid composition along the regressive branch of the P-T trend of HP metamorphism and syngranulite metasomatism in the Lapland granulite belt.
Keywords
Full Text
ВВЕДЕНИЕ
Глубинные водно-солевые флюиды, как правило, содержат смесь нескольких солей. Водно-солевые флюиды, содержащие смесь солей KCl–NaCl, были исследованы в работе (Aranovich, Newton, 1997). Присутствие неполярных газов, в частности CO2, в составе глубинных флюидов также является достаточно типичным. Более того, водные флюиды состава H2O–CO2–соль входят в число наиболее широко распространенных флюидов, участвующих в процессах глубинного метаморфизма и метасоматоза, выноса глубинного рудного вещества в верхние слои земной коры (Trommsdorf et al., 1985; Bischoff et al., 1996; Aranovich et al., 1987; Markl, Bucher, 1998; Heinrich et al., 2004; Manning, Aranovich, 2014; Аранович, 2013, 2017). Состав флюидов является фактором, определяющим способность этих флюидов к выносу глубинного вещества (Manning, 2018). Хорошо известна способность флюидов состава вода–CO2–соль к расслоению на две сосуществующие несмесимые флюидные фазы при изменении P-T параметров (обычно снижении). При P-T параметрах выше критической точки воды такое поведение было исследовано в работах (Аранович и др., 2010; Иванов, Бушмин, 2019, 2021) для трехкомпонентных систем H2O–CO2–NaCl и H2O–CO2–CaCl2. Флюидные фазы, образующиеся при расслоении гомогенного флюида, различаются концентрациями (например, измеренными в мольных долях) воды, углекислого газа и соли. Однако простой состав солевой компоненты в тройных системах не позволяет исследовать возможное относительное изменение концентрации различных солей при гетерогенизации реального флюида. Например, обогащение флюида одной из солей и обеднение другой. Исследование такого рода процессов является целью настоящей работы.
Рис. 1. (а) Сольвусы флюидной системы H2O–CO2–NaCl–CaCl2 при различных соотношениях мольных долей NaCl и CaCl2 в солевой части системы при T = 500°C, P = 1 кбар и T = 1100°C, P = 14 кбар. (б) Влияние диссоциации солей на фазовое состояние флюида. Сплошные жирные линии – сольвусы краевых систем H2O–CO2–NaCl и H2O–CO2–CaCl2. Сплошная тонкая линия – граница поля присутствия твердого NaCl в системе H2O–CO2–NaCl. Пунктирные линии – то же в предположении отсутствия диссоциации молекул NaCl и CaCl2. Поля: 1 – гомогенный флюид, 2 – расслоенный флюид, 3 – расслоенный флюид, сосуществующий с твердым NaCl в системе H2O–CO2–NaCl.
В теоретическом анализе термодинамического поведения глубинного флюида, проводимом в настоящей работе, мы опираемся на численную термодинамическую модель четырехкомпонентной системы H2O–CO2–NaCl–CaCl2 (Иванов, 2023). Данная модель является обобщением основанных на экспериментальных данных численных термодинамических моделей тройных флюидных систем H2O–CO2–NaCl и H2O–CO2–CaCl2 (Иванов, Бушмин, 2019, 2021). Так же как и модели для тройных систем, используемая в настоящей работе термодинамическая модель справедлива при температурах от 500 до 1400°C и давлениях от 1 до 20 кбар.
АНАЛИЗ И ТЕОРЕТИЧЕСКИЕ РЕЗУЛЬТАТЫ
На фазовой диаграмме рис. 1а представлены линии сольвуса флюидной системы H2O–CO2–NaCl–CaCl2 при двух значительно различающихся комбинациях температуры и давления. Поле гомогенного флюида лежит слева от линии сольвуса, т. е. в области сравнительно малых мольных долей углекислого газа при любой фиксированной мольной доли соли. Увеличение мольной доли углекислого газа с одновременным снижением мольной доли воды ведет к расслоению (гетерогенизации) флюида на две сосуществующие несмесимые фазы. Соответствующее поле гетерогенного флюида лежит справа от линии сольвуса. Максимальная мольная доля углекислого газа в поле гомогенного флюида в значительной степени зависит от соотношения мольных долей NaCl (xNaCl) и CaCl2 (xCaCl2) в суммарной мольной доле соли xsalt = xNaCl + xCaCl2 во флюиде. Данное соотношение можно охарактеризовать с помощью величины rNaCl = xNaCl/xsalt. Как для T = 500°C и P = 1 кбар, так и для T = 1100°C и P = 14 кбар мольная доля CO2, необходимая для гетерогенизации флюида при фиксированной мольной доли соли, значительно больше для флюида с преобладанием NaCl, чем с преобладанием CaCl2.
Различие в характере взаимодействия углекислого газа с водными флюидами, содержащими NaCl и CaCl2, может быть отнесено к двум факторам. Одним из них является совокупность энергетических характеристик взаимодействия, традиционно обозначаемая термином сродство. Второй объясняется причинами, вытекающими из статистики участвующих частиц, в связи с тем, что диссоциация молекул CaCl2 во флюиде ведет к образованию большего числа дополнительных частиц, чем диссоциация молекул NaCl. Степень диссоциации молекул соли явным образом присутствует в уравнениях нашей термодинамической модели. Поэтому выяснить влияние диссоциации на поведение флюида можно, сравнив поведение флюида в рамках полной модели с результатами расчета, в котором степень диссоциации искусственно положена равной нулю. Сравнение результатов этих расчетов дано на рис. 1б. На фазовой диаграмме для T = 800°C и P = 9 кбар представлены сольвусы для H2O–CO2–NaCl и H2O–CO2–CaCl2. Прерывистыми линиями показаны сольвусы, которые имели бы место при тех же энергетических параметрах взаимодействия, но при полном отсутствии диссоциации. Видно, что для обеих систем наличие диссоциации является фактором, обеспечивающим расширение поля гомогенного флюида и, соответственно, сокращение области составов, в которой происходит расслоение флюида. Аналогичный результат был получен нами в расчете для системы H2O–CO2–NaCl по термодинамической модели (Аранович и др., 2010). Таким образом, меньшая склонность к гетерогенизации флюида H2O–CO2–NaCl по сравнению с флюидом H2O–CO2–CaCl2 обусловлена энергетическими характеристиками взаимодействия частиц, что может быть обозначено как большее сродство CO2 к NaCl в сверхкритических водных флюидах по сравнению со сродством CO2 к CaCl2.
Увеличение при диссоциации числа частиц в системе ведет к возрастанию энтропии, что, в свою очередь, снижает избыточную свободную энергию Гиббса. Последнее, как правило, является фактором, препятствующим разделению системы на несмесимые фазы. В P-T условиях (рис. 1б) NaCl, в отличие от CaCl2, может существовать в виде твердой фазы. Как видно из фазовой диаграммы, диссоциация, т. е. появление дополнительных частиц во флюиде, не только препятствует расслоению флюида на две несмесимые фазы, но также является препятствием для дальнейшей гетерогенизации системы через образование фазы твердого NaCl.
Из большего сродства NaCl к CO2 может следовать качественное предположение, что при расслоении флюида, содержащего как NaCl, так и CaCl2, фаза, более богатая CO2, может обогащаться NaCl по сравнению с фазой с меньшей мольной долей CO2. Численно данный процесс может быть рассмотрен при помощи нашей термодинамической модели.
В качестве примера рассмотрим эволюцию флюида с составом xH2O = 0.54, xCO2 = 0.38, xNaCl = 0.04, xCaCl2 = 0.04, т. е. с равными мольными долями NaCl и CaCl2, rNaCl = 0.5. Такой флюид является гомогенным при T = 1100°C и P = 14 кбар и при более высоких P-T параметрах. Состав этого флюида обозначен на фазовой диаграмме рис. 2а точкой s = 0. Предположим, что этот флюид претерпевает снижение P-T параметров, в конечном счете до T = 1100°C и P = 2 кбар. Этот процесс мы рассмотрим как состоящий из шести этапов, как это обозначено в табл. 1. Снижение от исходных P-T параметров до T = 1100°C и P = 12 кбар (s = 1) приводит к разделению первичного флюида на две несмесимые флюидные фазы f1 и f2, как это показано на фазовой диаграмме рис. 2а и схеме последовательной гетерогенизации флюида рис. 2б. Жирной синей линией на рис. 2а показан сольвус, отделяющий поле гомогенного флюида от поля двух сосуществующих флюидных фаз, для T = 1100°C, P = 12 кбар и отношения rNaCl = 0.5, соответствующего первичному флюиду. Водно-солевая фаза f1 (квадраты на рис. 2а, 2б), отличается от исходного флюида большей соленостью и меньшим содержанием CO2. Водно-углекислотная фаза f2 (кружки на рис. 2а) имеет меньшую полную соленость и большее содержание CO2. Количественные характеристики фаз f1 и f2 после расслоения в точке s = 1 представлены на рис. 2в, 2г, 2д и 2е. Отношения мольных долей NaCl и CaCl2 в фазах f1 и f2 после прохождения точки s = 1 различаются, как это показано на рис. 2в. Фаза f1 обогащена CaCl2, в то время как фаза f2 несколько обогащена NaCl. Отношения числа молей NaCl в фазах f1 и f2 после расслоения s = 1 к числу молей первичного гомогенного флюида xtotal rest/xtotal 0 также показаны на рис. 2в. Эти отношения определяются составом первичного флюида и могут варьироваться в очень широких пределах. Следует обратить внимание на то, что плотности фаз f1 и f2 заметно различаются, что способствует их пространственному разделению.
Таблица 1. Стадии гетерогенизации (s) изначально гомогенного флюида
s | T, °C | P, кбар |
0 | 1100 | 14 |
1 | 1000 | 12 |
2 | 900 | 10 |
3 | 800 | 8 |
4 | 700 | 6 |
5 | 600 | 4 |
6 | 500 | 2 |
После расслоения флюида в точке s = 1 и при дальнейшем снижении P-T параметров вновь образованные флюиды f1 и f2 приходят в точку s = 2 и снова расслаиваются, как это показано на рис. 2б. В отличие от расслоения первичного флюида, состав которого определяется условиями его образования и может варьировать в очень широких пределах, составы подвергающихся расслоению фаз f1 и f2 жестко определены условиями расслоения в точке s = 1. Вследствие этого при гетерогенизации s = 2 большая часть вещества фазы f1 переходит в сходную водно-солевую фазу, за которой естественно сохранить обозначение f1. Значительно меньшая часть вещества переходит в новую водно-углекислотную фазу f12. Аналогично расслоение фазы f2 приводит в основном к образованию водно-углекислотной фазы, за которой мы сохраняем обозначение f2, и меньшей по количеству вещества водно-солевой фазы f21. При следующем расслоении в точке s = 3, в принципе, возможно образование уже восьми различных флюидных фаз. Аналогичный процесс продолжается в следующих расслоениях. Рассмотрение большей части образовывающихся при этом фаз не имеет смысла ввиду пренебрежимо малого количества вещества, которое может перейти в эти фазы. Разумно ограничиться рассмотрением эволюции фаз f1 и f2 и отделяющихся от них на каждой стадии гетерогенизации флюидов f12 и f21.
Рис. 2. (а) Фазовая диаграмма в координатах H2O–CO2–соль. Кривые линии – сольвусы: T = 1000°C, P = 12 кбар, rNaCl = 0.5 – синяя жирная линия; T = 500°C, P = 2 кбар, rNaCl = 0.99 – зеленая тонкая линия; T = 500°C, P = 2 кбар, rNaCl = 0.79 – оранжевая пунктирная линия. (б) Последовательные ступени гетерогенизации первичного флюида и вторичных флюидных фаз. (в) Эволюция солевого состава фазы f2. Зеленые сплошные линии – относительное содержание NaCl в солевой компоненте фазы f2 и остаточное число молей фазы f2 по отношению к числу молей первичного флюида. Оранжевые пунктирные линии – то же для фаз типа f1, отделяющихся от первичного флюида, и фазы f2 на следующих этапах гетерогенизации. (г) Плотности фазы f2 и отделяющихся фаз типа f1. (д) Отношение rNaCl = xNaCl/ xsalt для фазы f1 и остаточное число молей фазы f1 по отношению к числу молей первичного флюида. (е) Общие солености фаз f1 и f2.
Составы и другие параметры фаз, образованных на стадиях s = 2, …, s = 6, представленные на рис. 2в, 2г, 2е, показывают эволюцию богатой CO2 фазы f2 (s = 1). На этих стадиях от фазы f2 отделяются небольшие количества высокосоленых флюидов с высоким содержанием CaCl2. Так, в точке s = 2 от фазы f2 отделяется высокосоленая фаза f21 с суммарной мольной долей компонентов 0.046 от суммы молей исходных компонентов. В точке s = 3 отделяющаяся высокосоленая фаза имеет суммарную мольную долю 0.023 от исходного флюида, и так далее, рис. 2в. В ходе этих последовательных расслоений солевая часть собственно фазы f2 эволюционирует в направлении чистой соли NaCl. После стадии сепарации s = 6 xNaCl составляет 99% от полной мольной доли соли в фазе f2. Помимо собственно фазы f2, относительное содержание NaCl по сравнению с первичным флюидом может значительно возрастать в отделяющихся от нее водно-солевых фазах f21. В нашем примере (рис. 2в) доля NaCl в фазах f21 возрастает с rNaCl = 0.5 до rNaCl = 0.8.
Полная масса фазы f2 на стадиях s = 2, …,s = 6 уменьшается не слишком значительно, от xtotal rest/xtotal 0 = 0.69 после первой гетерогенизации до xtotal rest/xtotal 0 = 0.57 после s = 6. На каждой стадии расслоения как первичного флюида, так и последовательных расслоений фазы f2 при снижении P-T параметров создаются условия для пространственного разделения образованных флюидных фаз. На рис. 2г приведены плотности проходящей последовательные расслоения фазы f2 и отделяющихся от нее водно-солевых фаз со значительным содержанием CaCl2. На каждой стадии обогащенная NaCl фаза оказывается значительно менее плотной, чем фаза, в которую сбрасывается избыточный CaCl2. Это способствует дальнейшему подъему обогащенной NaCl фазы к поверхности, снижению определяющих ее термодинамическое поведение P-T параметров и переходу к новому событию расслоения, ведущему к дальнейшему возрастанию доли NaCl в солевой компоненте флюида. Более тяжелые, богатые CaCl2, флюидные фазы имеют большие шансы остаться на глубине.
Для стадий сепарации s = 2, …, s = 6 на рис. 2а, 2в, 2г даны характеристики водно-углекислотной, обогащенной NaCl фазы и отделяющихся от нее в последовательных событиях расслоения водно-солевых фаз, богатых CaCl2. Общая масса отделяющихся фаз незначительна, что обусловлено составом фазы f2, образованной при расслоении исходного флюида. Масса фазы f1, образовавшейся из исходного флюида, может быть достаточно велика. В случае снижения P-T параметров эта фаза также будет гетерогенизироваться, аналогично гетерогенизации фазы f2, разделяясь на водно-углекислотную фазу, более богатую NaCl, и обновленную водно-солевую фазу f1. Соотношение мольных долей двух солей в этой фазе на последовательных этапах сепарации приведено на рис. 2д. Видно, что состав солевой компоненты этого водно-солевого флюида практически не меняется после некоторого обогащения CaCl2, имевшего место при расслоении первичного флюида в точке s = 1. На рис. 2д приведено также отношение числа молей фазы f1 к числу молей первичного флюида xtotal rest/xtotal 0. Видно, что эта величина сравнительно мало убывает за счет последовательного отделения легких водно-углекисло-солевых фаз. Таким образом, из рассмотренного выше следует, что в процессе подъема к поверхности глубинного флюида состава H2O–CO2–NaCl–CaCl2 происходит его разделение на водно-солевую фазу f1 с составом солевой компоненты, близким к соотношению солей в первичном флюиде, но с соленостью, превышающей соленость первичного флюида, и на более легкую, имеющую более низкую соленость, водно-углекислотную фазу f2, которая по мере снижения P-T параметров последовательно теряет CaCl2. Состав солевой компоненты этой фазы последовательно приближается к чистому NaCl. В ходе последовательных расслоений фазы f2 из нее выделяются вторичные водно-солевые флюидные фазы f21, в солевой компоненте которых доля NaCl может превышать эту долю в первичном флюиде.
ЧЕТЫРЕХКОМПОНЕНТНЫЙ ФЛЮИД В РЕАЛЬНОЙ ГЕОЛОГИЧЕСКОЙ СИСТЕМЕ
В предшествующем разделе была представлена теоретическая картина эволюции состава четырехкомпонентного флюида с солями NaCl и CaCl2 при снижении P-T параметров. В данном разделе мы приводим примеры флюидов, захваченных во флюидных включениях, и рассматриваем эволюцию состава таких флюидов на регрессивной ветви P-T тренда.
Таблица 2. Стадии гетерогенизации (s) флюида в регрессивной ветви P-T тренда эволюции пород Порьегубского покрова
s | T, °C | P, кбар |
0 | 930 | 11.8 |
1 | 960 | 11 |
2 | 920 | 10 |
3 | 830 | 9 |
4 | 700 | 8 |
5 | 700 | 7 |
6 | 700 | 6 |
7 | 710 | 5 |
В нашем распоряжении имеются данные по составу флюидных включений в пироксеновых НР гранулитах и сингранулитовых инфильтрационных метасоматитах Порьегубского тектонического покрова Лапландского гранулитового пояса Фенноскандинавского щита (Бушмин и др., 2007; Лебедева и др., 2012; Лебедева, 2015; Бушмин и др., 2020). В этих исследованиях был надежно определен тренд P-T эволюции условий инфильтрационного метасоматоза. На основе данных по составу флюидных включений (Бушмин и др., 2020) были обнаружены тенденции в изменении состава гетерогенного, состоявшего из двух несмесимых фаз флюида, которые связывались с нисходящей от пиковых P-T условий частью этого тренда. Для целей настоящей работы представляет интерес именно регрессивная ветвь тренда, вдоль которой снижение P-T параметров вызывает многократную гетерогенизацию поднимающихся к поверхности флюидов. Этот процесс ведет к сепарации солей между флюидными фазами. Набор температур и давлений, соответствующий регрессивной ветви P-T тренда, представлен в табл. 2. Для рассмотрения эволюции состава флюидов мы использовали, в качестве исходных, составы наиболее ранних генераций флюидных включений в минералах.
Методом микротермометрии во флюидных включениях были определены мольные доли солей в водной части расслоенного флюида, содержащегося во включениях (Бушмин и др., 2020), т. е. величины xNaCl/(xH2O + xsalt), и xCaCl2/(xH2O + xsalt). Помимо водно-солевой фазы большинство из этих включений содержит некоторое, не определенное в измерениях, количество CO2. В качестве примера составов мы рассмотрим два включения, которые будут обозначены как A и B. Для включения A мольная доля NaCl в общем составе соли rNaCl = 0.14 и степень солености водно-солевой части флюида sH2O = xsalt/(xH2O + xsalt) = 0.057. Для включения B rNaCl = 0.91 и sH2O = 0.138. Для определения мольной доли CO2 и, соответственно, мольных долей всех четырех компонентов мы предположили, что гомогенный в момент захвата минералом флюид был одной из фаз более глубинного флюида, расслоенного в исходной точке регрессивного P-T тренда, т. е. при P = 11.8 и T = 930°C. В этом случае точка, соответствующая полному составу флюида, должна лежать на сольвусе, соответствующем температуре и давлению в момент захвата, а также rNaCl захваченной флюидной фазы. В графической форме нахождение полного состава флюидов A и B иллюстрируется фазовой диаграммой на рис. 3. В мольных долях полученные нами составы флюидов A: xH2O = 0.479, xCO2 = 0.492, xNaCl = 0.004, xCaCl2 = 0.025 и B: xH2O = 0.543, xCO2 = = 0.370, xNaCl = 0.079, xCaCl2 = 0.008.
Рис. 3. Восстановление полного состава флюида по составу его водно-солевой компоненты. Жирные линии – сольвусы для составов солевой компоненты в природных включениях A и B в верхней точке регрессивного P-T тренда. Пунктирные линии – линии постоянной солености водно-солевой части sH2O = xsalt/(xH2O + xsalt), соответствующие составу включений A и B. Кружки соответствуют полным составам флюида на сольвусе с соответствующими измеренными sH2O и rNaCl.
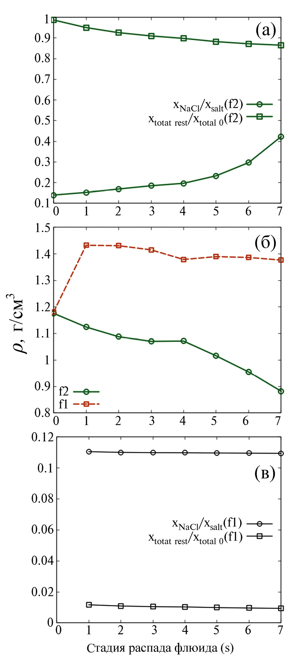
Эволюция составов обоих флюидов при изменении внешних условий согласно регрессивной ветви P-T тренда (табл. 2) представлена на рис. 4 (для флюида A) и рис. 5 (для флюида B). Суммарная мольная доля солей для флюида A значительно меньше, чем в теоретическом примере, рассмотренном в предыдущем разделе. Поэтому гетерогенизация флюида A ведет к образованию сравнительно небольших количеств высокосоленой фазы f1 на каждом этапе расслоения (около 1% для флюида A). Несмотря на то, что на каждой стадии гетерогенизации от преобладающей фазы f2 отделяется сравнительно малое количество фазы f1, это оказывается достаточным для значительного снижения доли CaCl2 в фазе f2 и повышения доли NaCl в этой фазе. Для случая A доля NaCl в составе соли увеличивается с rNaCl = 0.14 до rNaCl = 0.43.
Рис. 4. Эволюция физико-химических свойств флюида H2O–CO2–NaCl–CaCl2 при движении вдоль регрессивной ветви P-T тренда эволюции НР гранулитов и сингранулитовых инфильтрационных метасоматитов Лапландского гранулитового пояса (на примере Порьегубского тектонического покрова). Исходный флюид с преобладанием CaCl2. (а) – эволюция фазы f2, (б) – плотности фазы f2 и отделяющихся фаз типа f1, (в) – эволюция фазы f1.
Рис. 5. Эволюция физико-химических свойств флюида H2O–CO2–NaCl–CaCl2 при движении вдоль регрессивной ветви P-T тренда эволюции НР гранулитов и сингранулитовых инфильтрационных метасоматитов Лапландского гранулитового пояса (на примере Порьегубского тектонического покрова). Исходный флюид с преобладанием NaCl. (а) – эволюция фазы f2, (б) – плотности фазы f2 и отделяющихся фаз типа f1, (в) – эволюция фазы f1.
В случае флюида B высокая мольная доля NaCl в испытывающем расслоение флюиде ведет к значительному содержанию NaCl в фазе f1 – rNaCl ≈ 0.90. На каждой стадии гетерогенизации от преобладающей фазы f2 отделяется значительное количество фазы f1. В результате после прохождения всех стадий гетерогенизации фаза f2 теряет более 50% исходного вещества (рис. 5а). Доля NaCl при этом возрастает с rNaCl = 0.91 до rNaCl = 0.98, т. е. почти чистой соли NaCl. В обоих рассмотренных в данном разделе примерах плотность фазы f2 значительно превышает плотность фазы f1, что в случае флюидных потоков соответствующего состава благоприятствует пространственному разделению этих фаз.
ЗАКЛЮЧЕНИЕ
В работе рассмотрена эволюция состава солевой компоненты глубинного флюида H2O–CO2–NaCl–CaCl2 при его подъеме к поверхности, сопровождающемся снижением P-T параметров. Использование численной термодинамической модели четверной флюидной системы H2O–CO2–NaCl–CaCl2 (Иванов, 2023) позволило обнаружить и исследовать явление разделения солей NaCl и CaCl2 между флюидными фазами, возникающими при многократном расслоении флюида на несмесимые фазы вследствие снижения P-T параметров. Расслоение исходного гомогенного глубинного флюида ведет к образованию двух несмесимых флюидных фаз разной плотности и состава. Более плотная фаза f1 содержит меньшую долю углекислого газа, имеет большую соленость и несколько обогащена CaCl2 по сравнению с исходным флюидом. Менее плотная фаза f2 содержит больше углекислого газа, имеет меньшую соленость, и ее солевая компонента обогащена NaCl по сравнению с солевой компонентой исходного флюида. Различная плотность фаз f1 и f2 способствует их пространственному разделению. Соотношение масс фаз f1 и f2 определяется составом исходного флюида. В то же время состав этих фаз в большей степени определяется P-T параметрами этого (первого) события гетерогенизации. При дальнейшем снижении P-T параметров каждая из фаз f1 и f2 испытывает повторное расслоение на плотную водно-солевую фазу типа f1 и менее плотную водно-углекислотную фазу типа f2. В результате второго и возможных последующих актов расслоения фазы f1 и f2 теряют некоторые, обычно незначительные количества вещества на образование фаз с контрастными по отношению к ним свойствами. Фаза f1 содержит малую долю CO2, что ведет к слабой сепарации NaCl и CaCl2 на последующих стадиях гетерогенизации. В то же время последовательные расслоения фазы f2 ведут к обогащению ее солевой компоненты NaCl, при благоприятных условиях вплоть до солевой компоненты, близкой к чистому NaCl. На качественном уровне такое, обусловленное наличием CO2, обогащение флюида NaCl объясняется большим сродством NaCl к CO2 по сравнению с CaCl2. Последнее заключение закономерно следует из результатов экспериментальных работ по тройным системам H2O–CO2–NaCl и H2O–CO2–CaCl2 (Zhang, Frantz, 1989; Котельников, Котельникова, 1990; Johnson, 1991; Frantz et al., 1992; Aranovich, Newton, 1996; Shmulovich, Graham, 1999, 2004), показывающих значительно большую склонность к расслоению для системы H2O–CO2–CaCl2 по сравнению с системой H2O–CO2–NaCl.
Основной результат проведенного в настоящей работе исследования состоит в том, что в процессе подъема к поверхности глубинного флюида состава H2O–CO2–NaCl–CaCl2 происходит его разделение на водно-солевую фазу f1 с составом солевой компоненты, близким к соотношению солей в первичном флюиде, но с соленостью, превышающей соленость первичного флюида, и на более легкую, имеющую более низкую соленость, водно-углекислотную фазу f2, которая по мере снижения P-T параметров последовательно теряет CaCl2. Состав солевой компоненты этой фазы последовательно приближается к чистому NaCl. В ходе последовательных расслоений фазы f2 из нее выделяются вторичные водно-солевые флюидные фазы f21, в солевой компоненте которых доля NaCl может превышать эту долю в первичном флюиде. Результаты проведенного нами исследования дают возможное объяснение многократно отмеченного в геологической литературе факта, что глубинные флюиды с наиболее высокой соленостью характеризуются значительно более высоким значением Ca/Na, чем менее соленые флюиды с преимущественным содержанием NaCl (Bischoff et al., 1996 и многочисленные ссылки в этой работе). В соответствии с нашим анализом высокосоленые флюиды с высоким значением Ca/Na могут представлять фазу f1, а слабосоленые флюиды с преимущественным содержанием натрия либо фазу f2, либо отделяемые от нее водно-солевые фазы f21. Значительные изменения в солевом составе флюида H2O–CO2–NaCl–CaCl2 в реальной геологической системе продемонстрированы в приложении к эволюции состава флюидов при HP метаморфизме и сингранулитовом метасоматозе в Лапландском гранулитовом поясе.
Благодарности. Геологический материал был отобран на территории Кандалакшского заповедника при большой помощи его руководства и сотрудников. Затронутые в статье проблемы состава и эволюции флюидов при гранулитовом метаморфизме плодотворно обсуждались с Е.А. Вапником. Авторы выражают благодарность Л.Я. Арановичу за конструктивные замечания при рецензировании, позволившие улучшить первоначальный вариант рукописи.
Источники финансирования. Работа выполнена при поддержке гранта РНФ № 22-27-00270.
About the authors
Mikhail V. Ivanov
Institute of Precambrian Geology and Geochronology RAS
Author for correspondence.
Email: m.v.ivanov@ipgg.ru
Russian Federation, Sankt-Peterburg
Sergei A. Bushmin
Institute of Precambrian Geology and Geochronology RAS
Email: s.a.bushmin@ipgg.ru
Russian Federation, Sankt-Peterburg
References
- Aranovich L.Y., Newton R.C. H2O activity in concentrated NaCl solutions at high pressures and temperatures measured by the brucite – periclase equilibrium // Contrib. Mineral. Petrol. 1996. V. 125. P. 200–212.
- Aranovich L.Y., Newton R.C. H2O activity in concentrated KCl and KCl-NaCl solutions at high temperatures and pressures measured by the brucite-periclase equilibrium // Contrib. Mineral. Petrol. 1997. V. 127. P. 261–271.
- Aranovich L.Y., Shmulovich K.I., Fed’kin V.V. The H2O and CO2 regime in regional metamorphism // Int. Geol. Rev. 1987. V. 29. P. 1379–1401.
- Bischoff J.L., Rosenbauer R.J., Fournier R.O. The generation of HCl in the system CaCl2-H2O: Vapor-liquid relations from 380–500°C // Geochim. Cosmochim. Acta. 1996. V. 60. P. 7–16.
- Frantz J.D., Popp R.K., Hoering T.C. The compositional limits of fluid immiscibility in the system H2O–CO2–NaCl as determined with the use of synthetic fluid inclusions in conjunction with mass spectrometry // Chem. Geol. 1992. V. 98. P. 237–255.
- Heinrich W., Churakov S.S., Gottschalk M. Mineral-fluid equilibria in the system CaO-MgO-SiO2-H2O-CO2-NaCl and the record of reactive fluid flow in contact metamorphic aureoles // Contrib. Mineral. Petrol. 2004. V. 148. P. 131–149.
- Johnson E.L. Experimentally determined limits for H2O–CO2–NaCl immiscibility in granulites // Geology. 1991. V. 19. P. 925–928.
- Manning C.E. Fluids of the lower crust: deep is different // Annu. Rev. Earth Planet. Sci. 2018. V. 46. P. 67–97.
- Manning C.E., Aranovich L.Y. Brines at high pressure and temperature: thermodynamic, petrologic and geochemical effects // Precambr. Res. 2014. V. 253. P. 6–16.
- Markl G., Bucher K. Composition of fluids in the lower crust inferred from metamorphic salt in lower crustal rocks // Nature. 1998. V. 391. P. 781–783.
- Shmulovich K.I., Graham C.M. An experimental study of phase equilibria in the system H2O–CO2–NaCl at 800°C and 9 kbar // Contrib. Mineral. Petrol. 1999. V. 136. P. 247–257.
- Shmulovich K.I., Graham C.M. An experimental study of phase equilibria in the systems H2O–CO2–CaCl2 and H2O–CO2–NaCl at high pressures and temperatures (500–800°C, 0.5–0.9 GPa): geological and geophysical applications // Contrib. Mineral. Petrol. 2004. V. 146. P. 450–462.
- Trommsdorff V., Skippen G., Ulmer P. Halite and sylvite as solid inclusions in high-grade metamorphic rocks // Contrib. Mineral. Petrol. 1985. V. 89. P. 24–29.
- Zhang Y.-G., Frantz J.D. Experimental determination of the compositional limits of immiscibility in the system CaCl2-H2O-CO2 at high temperatures and pressures using synthetic fluid inclusions // Chem. Geol. 1989. V. 74. P. 289–308.
Supplementary files






