Experimental Investigation of the Interaction of Amphibole with Highly Salted H2O-NaCl-KCl Fluid at 750°C, 700 MPa: Application to Alkaline Metasomatism of Amphibole Rocks
- Authors: Khodorevskaya L.I.1, Varlamov D.A.1, Safonov O.G.1
-
Affiliations:
- Korzhinskii Institute of Experimental Mineralogy, Russian Academy of Sciences
- Issue: Vol 31, No 4 (2023)
- Pages: 388-407
- Section: Articles
- URL: https://ogarev-online.ru/0869-5903/article/view/137154
- DOI: https://doi.org/10.31857/S0869590323040052
- EDN: https://elibrary.ru/RBZDYL
- ID: 137154
Cite item
Full Text
Abstract
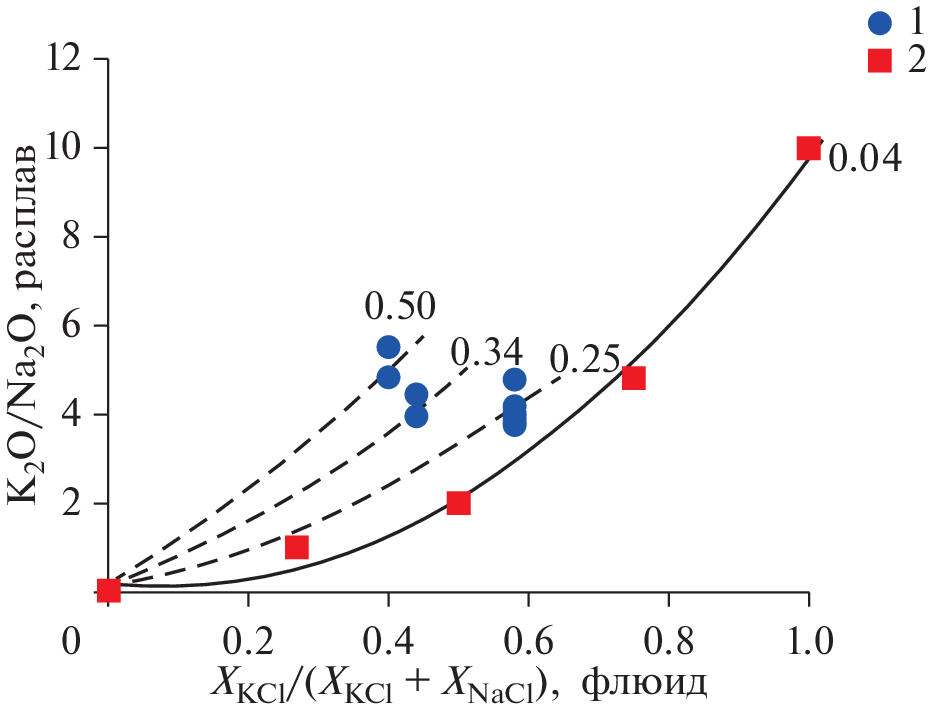
The article presents experimental data on the interaction of amphibole with NaCl-H2O and (K, Na)Cl-H2O solutions at varying salt content. When interacting with the H2O-NaCl fluid, amphibole remains the predominant mineral in all experiments. In addition to it, Na-phlogopite, plagioclase, and nepheline/sodalite are formed. At \({{a}_{{{{{\text{H}}}_{{\text{2}}}}{\text{O}}}}}\) > 0.6, amphibole melts. When amphibole interacts with the H2O-NaCl-KCl fluid at \({{X}_{{{{{\text{H}}}_{{\text{2}}}}{\text{O}}}}}\) < 0.40 and ХKCl/(ХKCl + ХNaCl) in the fluid, defined as ХNaCl = 0.506 – 0.84ХKCl, the amphibole is replaced by an association of nepheline with acid plagioclase, sodalite, and biotite. At ХKCl/(ХKCl + ХNaCl) > 0.3, nepheline, sodalite, and plagioclase become unstable, K-feldspar appears, and biotite, clinopyroxene, and amphibole remain. At ХKCl/(ХKCl + ХNaCl) > 0.5, the association Cpx + Bt + Kfs + Grt (grossular–andradite) is stable. Thus, the grossular–andradite garnet is an indicator of high potassium activity in fluids, while nepheline is an indicator of high sodium activity. Na → K isomorphism is observed in amphibole and biotite, and Ca → Na isomorphism in clinopyroxene, but in general these minerals (unlike nepheline and garnet) remain stable in the range of wide K/Na variations in the fluid. Clinopyroxene in experiments corresponds to Ca-Fe-Mg compositions with varying, sometimes high aluminium content, amphiboles belong to the pargasite-hastingsite composition. With an increase in \({{a}_{{{{{\text{H}}}_{{\text{2}}}}{\text{O}}}}}\) (\({{X}_{{{{{\text{H}}}_{{\text{2}}}}{\text{O}}}}}\) > 0.57), i.e. a decrease in the gross salinity of the fluid, melts appear, the composition of which varies from trachyte to phonolitic. As ХKCl/(ХKCl + ХNaCl) increases in fluids, the alumina content of melts decreases. An increase in the total salinity of the fluid leads to an increase in the content of potassium in the melt and a decrease in the content of chlorine in it. Experiments have shown that the interaction of amphibole with fluids containing high concentrations of NaCl and KCl leads to the formation of mineral associations typical of alkaline metasomatism of amphibole rocks and concomitant HCl enrichment of the fluid phase. The replacement of fluids with a high saline component by highly acid ones leads to the leaching of Ca, Mg, Fe from metamorphic rocks, their transport and redeposition. Thus, in some cases, a significant removal of FeO, MgO, CaO is a consequence of the interaction of host rocks with water-salt solutions.
Keywords
About the authors
L. I. Khodorevskaya
Korzhinskii Institute of Experimental Mineralogy, Russian Academy of Sciences
Author for correspondence.
Email: khodorevskaya@mail.ru
Russia, Moscow Region, Chernogolovka
D. A. Varlamov
Korzhinskii Institute of Experimental Mineralogy, Russian Academy of Sciences
Email: khodorevskaya@mail.ru
Russia, Moscow Region, Chernogolovka
O. G. Safonov
Korzhinskii Institute of Experimental Mineralogy, Russian Academy of Sciences
Email: khodorevskaya@mail.ru
Russia, Moscow Region, Chernogolovka
References
- Азимов П.Я., Бушмин С.А. Растворимость минералов метаморфических и метасоматических пород в гидротермальных растворах разной кислотности: термодинамическое моделирование при 400–800°C и 1–5 кбар // Геохимия. 2007. № 12. С. 1305–1330.
- Аранович Л.Я. Роль рассолов в высокотемпературном метаморфизме и гранитизации // Петрология. 2017. Т. 25. № 5. С. 491–503.
- Архангельская В.В., Рябцев В.В., Шурига Т.Н. Геологическое строение и минералогия месторождений тантала России // Минеральное сырье. М.: ВИМС, 2012. № 25. 318 с.
- Бушмин С.А., Вапник Е.А., Ивановa М.В. и др. Флюиды гранулитов высоких давлений // Петрология. 2020. Т. 28. № 1. С. 23–54.
- Быков Ю.В. Архангельская В.В. Катугинское редкометальное месторождение // Месторождения Забайкалья. Гл. ред. Н.П. Лаверов. М.: Геоинформмарк, 1995. Т. 1(2). С. 76–85.
- Вольф М.Б., Уайли П.Дж. Некоторые результаты экспериментального исследования дегидратационного плавления амфиболита при 10 кбар // Геология и геофизика 1993. Т. 34. № 12. С. 100–115.
- Жариков В.А. Зависимость парагенезисов магматических пород от режима щелочей // Петрология. 1999. Т. 7. № 4. С. 340–355.
- Избродин И.А., Дорошкевич А.Г., Рампилов М.О. и др. Возраст, минералогическая и геохимическая характеристики пород Чининского щелочного массива (Западное Забайкалье) // Геология и геофизика. 2017. Т. 58. № 8. С. 1135–1156.
- Козлов Е.Н., Арзамасцев А.А. Петрогенезис метасоматитов зон фенитизации щелочно-ультраосновного комплекса Озерная Варака (Кольский п-ов) // Петрология. 2015. Т. 23. № 1. С. 50–74.
- Коржинский Д.С. Принцип подвижности щелочей при магматических явлениях // Академику Д.С. Белянкину к 70-летию. М.: изд-во АН СССР, 1946. С. 242–261.
- Кориковский С.П., Аранович Л.Я. Чарнокитизация и эндербитизация основных гранулитов Лапландского гранулитового пояса (южная часть Кольского полуострова, район Порьей губы): I. Петрология и термобарометрия // Петрология. 2010. Т. 18. № 4. С. 340–368.
- Кориковский С.П., Ходоревская Л.И. Гранитизация палеопротерозойских высокобарических метагаббро-норитов в беломорской серии Балтийского щита (район Кандалакшского залива, о. Горелый) // Петрология. 2006. Т. 14. № 4. С. 453–481.
- Котов А.Б., Владыкин Н.В., Ларин А.М. и др. Новые данные о возрасте оруденения уникального Катугинского редкометального месторождения (Аляданский щит) // Докл. АН. 2015. Т. 463. № 2. С. 187–191.
- Левин В.Я. Щелочная провинция Ильменских Вишневых гор (формации нефелиновых сиенитов Урала). М.: Наука, 1974. 221 с.
- Левицкий В.И., Резницкий Л.З., Скляров Е.В. и др. Святоноситы Восточной Сибири – продукты корово-мантийного взаимодействия// Материалы докл. Всероссийского совещания “Современные проблемы геохимии”. Иркутск: ИГ СО РАН, 2012. Т. 2. С. 150–152.
- Литвиновский Б.А. Новые данные об условиях формирования святоноситов (на примере гранатовых сиенитов Бамбуйской интрузии, Витимское плоскогорье) // Геология и геофизика. 1973. № 1. С. 42–51.
- Макрыгина В.А., Петрова З.И., Конева А.А., Суворова Л.Ф. Состав, Р-Т параметры и метасоматические преобразования основных сланцев п-ва Святой Нос (Прибайкалье) // Геохимия. 2008. № 2. С. 167–182.
- Немов А.Б. Гранат-амфиболовые миаскиты Ильменогорского миаскитового массива (Южный Урал): минералогия и геохимия // Литосфера. 2020. Т. 20. № 5. С. 652–667.
- Рябчиков И.Д. Термодинамика флюидной фазы гранитоидных магм. М.: Наука, 1975. 232 с.
- Савельева В.Б., Базарова Е.П., Шарыгин В.В. и др. Метасоматиты Онгуренского карбонатитового комплекса (Западное Прибайкалье): геохимия и состав акцессорных минералов // Геология рудн. месторождений. 2017. Т. 59. № 4. С. 319–346.
- Сафонов О.Г., Косова С.А. Флюидно-минеральные реакции и плавление ортопироксен-кордиерит-биотитового гнейса в присутствии флюидов H2O-СО2-NaCl и H2O-СО2-KCl в условиях гранулитового метаморфизма // Петрология. 2017. Т. 25. № 5. С. 461–490.
- Скляров Е.В., Гладкочуб Д.П., Котов А.Б. и др. Генезис Катугинского редкометального месторождения: магматизм против метасоматоза // Тихоокеанская геология. 2016. Т. 35. № 3. С. 9–22.
- Старикова А.Е. Минералогия метасоматических пород Тажеранского массива (Западное Прибайкалье). Автореф. дисс. … канд. геол.-мин. наук, Новосибирск: ИГМ СО РАН, 2013. 21 с.
- Туре Ж.Л.Р. Перенос флюда/расплава из мантии в нижнюю кору при гранулитовом метаморфизме // Геология и геофизика. 2009. Т. 50. № 12. С. 1357–1370.
- Ходоревская Л.И. Флюидный режим и закономерности поведении рудных, редких и редкоземельных элементов при гранитизации метагаббро-норитов Беломорской серии (о. Горелый, Кондалакшская губа // Петрология. 2009. Т. 17. № 4. С. 397–414.
- Ходоревская Л.И. Экспериментальное моделирование щелочного метасоматоза в условиях градиента давления при 750°С // Тр. Всероссийского ежегодного семинара по экспериментальной минералогии, петрологии и геохимии (ВЕСЭМПГ-2020). М.: ГЕОХИ РАН, 2020. С. 119–122.
- Ходоревская Л.И., Аранович Л.Я. Экспериментальное исследование взаимодействия амфибола с флюидом H2O-NaCl при 900°С, 500 МПа: к процессам плавления и массопереноса в гранулитовой фации // Петрология. 2016. Т. 24. № 3. С. 235–254.
- Ходоревская Л.И. Варламов Д.А. Высокотемпературный метасоматоз в Кийостровском базит-ультрабазитовом расслоенном массиве Беломорского подвижного пояса // Геохимия. 2018. № 6. С. 541–558.
- Acosta-Vigil A., London D., Morgan G.B., Dewers T.A. Solubility of excess alumina in hydrous granitic melts in equilibrium with peraluminous minerals at 700–800°C and 200 MPa, and applications of the aluminum saturation index // Contrib. Mineral. Petrol. 2003. V. 146. P. 100–119.
- Aranovich L.Y., Newton R.C. H2O activity in concentrated NaCl solutions at high temperatures and pressures measured by the brucite-periclase equilibrium // Contrib. Mineral. Petrol. 1996. V. 125. P. 200–212.
- Aranovich L.Y., Newton R.C. H2O activity in concentrated KCl and KCl-NaCl solutions at high temperatures and pressures measured by the brucite-periclase equilibrium // Contrib. Mineral. Petrol. 1997. V. 127. P. 261–271.
- Aranovich L.Y., Newton R.C. Reversed determination of the reaction: phlogopite + quartz = enstatite + potassium feldspar + H2O in the ranges 750–875°C and 2–12 kbar at low H2O activity with concentrated KCl solutions // Amer. Mineral. 1998. V. 83. P. 193–204.
- Aranovich L.Y., Safonov O.G. Halogens in High-Grade Metamorphism // The role of halogens in terrestrial and extraterrestrial geochemical processes. Eds. D. Harlov, L.Y. Aranovich. N.Y.: Springer, 2018. Ch. 11. P. 713–757.
- Aranovich L.Y., Newton R.C., Manning C.E. Brine-assisted anatexis: experimental melting in the system haplogranite–H2O–NaC–KCl at deep-crustal conditions // Earth Planet. Sci. Lett. 2013. V. 374. P. 111–120.
- Beard J.S., Lofgren G.E. Dehydration melting and water-saturated melting of basaltic and andesitic greenstones and amphibolites at 1, 3 and 6.9 kb // J. Petrol. 1991. V. 32. № 2. P. 365–402.
- Buerger M.J. The stuffed derivatives of the silica structures // Amer. Mineral. 1954. V. 39. № 7–8. P. 600–614.
- Cawthorn R.G., Collerson K.D. The recalculation of pyroxene end-member parameters and the estimation of ferrous and ferric iron content from electron microprobe analyses // Ibid. 1974. V. 59. P. 1203–1208.
- Chappell B.W. Aluminum saturation in I- and S-type granites and the characterization of fractionated haplogranites // Lithos. 1999. V. 46. P. 535–551.
- Frost B.R., Barnes C.G., Collins W.J. et al. A geochemical classification for granitic rocks // J. Petrol. 2001. V. 42. P. 2033–2048.
- Graham C.M., Harmon R.S. Experimental hydrogen isotope studies: hydrogen isotope exchange between amphibole and water // Amer. Mineral. 1984. № 1–2. P. 128–138.
- Harlov D.E., Melzer S. Experimental partitioning of Rb and K between phlogopite and concentrated (K, Rb)Cl brine: implication for the role of concentrated KCl brines in the depletion of Rb in phlogopite and the stability of phlogopite during charnockite genesis // Lithos. 2002. V. 64. P. 15–28.
- Helz R.T. Phase relations of basalts in their melting ranges at P = 5 kb as a function of oxygen fugacity. Part I. Mafic phases // J. Petrol. 1973. V. 14. P. 249–302.
- Holloway J.R. The system pargasite–H2O–CO2: A model for melting of a hydrous mineral with a mixed-volatile fluid. I. Experimental results to 8 kbar // Geochim. Cosmochim. Acta. 1973. V. 37. P. 651–666.
- Koritnig S. Geochemistry of phosphorus-I. The replacement of Si4+ by P5+ in rock-forming silicate minerals // Geochim. Cosmochim. Acta. 1965. V. 29. № 5. P. 361–371.
- Leake B.E., Woolley A.R., Birch W.D. et al. Nomenclature of amphiboles. Report of the Subcommittee on Amphiboles of the International Mineralogical Association Commission on New Minerals and Mineral Names // Eur. J. Mineral. 1997. V. 9. P. 623–651.
- Le Bas M.J., Le Maitre R.W., Streckeisen A., Zanettin B. A chemical classification of volcanic rocks based on the total alkali-silica diagram // J. Petrol. 1986. V. 27. P. 745–750.
- Markl G., Bucher K. Composition of fluids in the lower crust inferred from metamorphic salt in lower crustal rocks // Nature. 1998. V. 391. C. 781–783.
- Markl G., Piazolo S. Halogen-bearing minerals in syenites and high-grade marbles of Dronning Maud Land, Antarctica: monitors of fluid compositional changes during late-magmatic fluid-rock interaction processes // Contrib. Mineral. Petrol. 1998. V. 132. № 3. P. 246–268.
- McMillan P.F. Water solubility // Rev. Mineral. 1994. V. 30. P. 131–156.
- Mora C.I., Valley J.W. Halogen-rich scapolite and biotite: implication for metamorphic fluid-rock interaction // Amer. Mineral. 1989. V. 74. P. 721–737.
- Morimoto N., Fabries J., Ferguson A.K. et al. Nomenclature of pyroxenes // Amer. Mineral. 1988. V. 73. P. 1123–1133.
- Niedermeier D.R.D., Putnis A., Geisler Th. et al. The mechanism of cation and oxygen isotope exchange in alkali feldspars under hydrothermal conditions // Contrib. Mineral. Petrol. 2009. V. 157. P. 65–76.
- Newton R.C., Manning C.E. Solubility of corundum in the system Al2O3–SiO2–H2O–NaCl at 800°C and 10 kbar // Chem. Geol. 2008. V. 249. P. 250–261.
- Newton R.C., Manning C.E. Role of saline fluids in deep crustal and upper-mantle metasomatism: insights from experimental studies // Geofluids. 2010. V. 10. P. 58–72.
- Newton R.C., Aranovich L.Y., Hansen E.C., Vandenheuvel B.A. Hypersaline fluids in Precambrian deep-crustal metamorphism // Precambr. Res. 1998. V. 91. P. 41–63.
- Nijland T.G., Jansen J.B., Maijer C. Halogen geochemistry of fluid during amphibolite–granulite metamorphism as indicated by apatite and hydrous silicates in basic rocks from the Bamble sector, South Norway // Lithos. 1993. V. 30. P. 167–189.
- Orville P.M. Alkali ion exchange between vapor and feldspar phases // Amer. J. Sci. 1963. V. 261. P. 201–237.
- Ridolfi F., Renzulli A. Calcic amphiboles in calc-alkaline and alkaline magmas: thermobarometric and chemometric empirical equations valid up to 1.130°C and 2.2 GPa // Contrib. Mineral. Petrol. 2012. V. 163. № 5. P. 877–895.
- Safonov O.G., Kosova S.A., van Reenen D.D. Interaction of biotite-amphibole gneiss with the H2O–CO2–(K, Na)Cl fluids at 5.5 kbar and 750 and 800°C: experimental study and applications to dehydration and partial melting in the middle crust // J. Petrol. 2014. V. 55. P. 2419–2456.
- Safonov O.G., Aranovich L.Ya. Alkali control of high-grade metamorphism and granitization // Geosci. Frontiers. 2014. V. 5. P. 711–727.
- Sack R.O., Ghiorso M.S. Thermodynamics of feldspathoid solutions // Contrib. Mineral. Petrol. 1998. V. 130. P. 256–274.
- Schneider J.B., Jenkins D.M. Stability of sodalite relative to nepheline in NaCl–H2O brines at 750°C: implications for hydrothermal formation of sodalite // Canad. Mineral. 2020. V. 58. № 1. P. 3–18.
- Schumacher J.C. The estimation of ferric iron in electron microprobe analysis of amphiboles // Eur. J. Mineral. 1997. V. 9. P. 643–651.
- Shand S.J. Eruptive rocks: their genesis, composition, classification, and their relation to ore deposits with a chaper on meteorites. 1943. 2nd edn. New York: John Wiley, 444 p.
- Sharp Z.D., Helefrich G.R., Bohlen S.R., Essene E.J. The stability of sodalite in the system NaAlSiO4–NaCl // Geochim. Cosmochim. Acta. 1989. V. 53. P. 1943–1954.
- Spear F.S., Hazen R.M., Rumble D. Wonesite: a new rock forming silicate from the Post Pond volcanics, Vermont // Amer. Mineral. 1981. V. 66. P. 100–105.
- Webster J.D. Exsolution of magmatic volatile phases from Cl-enriched mineralizing granitic magmas and applications for ore metal transport // Geochim. Cosmochim. Acta. 1997. V. 61. P. 1017–1029.
- Wellman T.R. The stability of sodalite in a synthetic syenite plus aqueous chloride fluid system // J. Petrol. 1970. V. 11. P. 49–71.
- Zyryanov V.N., Perchuk L.L., Podlesskii K.K. Nepheline-alkali feldspar equilibria: I. Experimental data and thermodynamic calculations // J. Petrol. 1978. V. 19. № I. P. 1–44.
Supplementary files

















