Carboxyalkyl derivatives of chitosan as promising growth and development regulators of medical plants
- Authors: Khamidullina L.A.1,2, Tobysheva P.D.1,2, Cherepanova O.E.3, Puzyrev I.S.1, Pestov A.V.1,2
-
Affiliations:
- Postovsky Institute of Organic Synthesis (IOS), Ural Branch, Russian Academy of Sciences
- Ural Federal University named after the first President of Russia B.N. Yeltsin (UrFU)
- Botanical Garden, Ural Branch, Russian Academy of Sciences
- Issue: Vol 93, No 7 (2023)
- Pages: 684-691
- Section: ИЗ РАБОЧЕЙ ТЕТРАДИ ИССЛЕДОВАТЕЛЯ
- URL: https://ogarev-online.ru/0869-5873/article/view/140575
- DOI: https://doi.org/10.31857/S0869587323070046
- EDN: https://elibrary.ru/ZLMNTO
- ID: 140575
Cite item
Full Text
Abstract
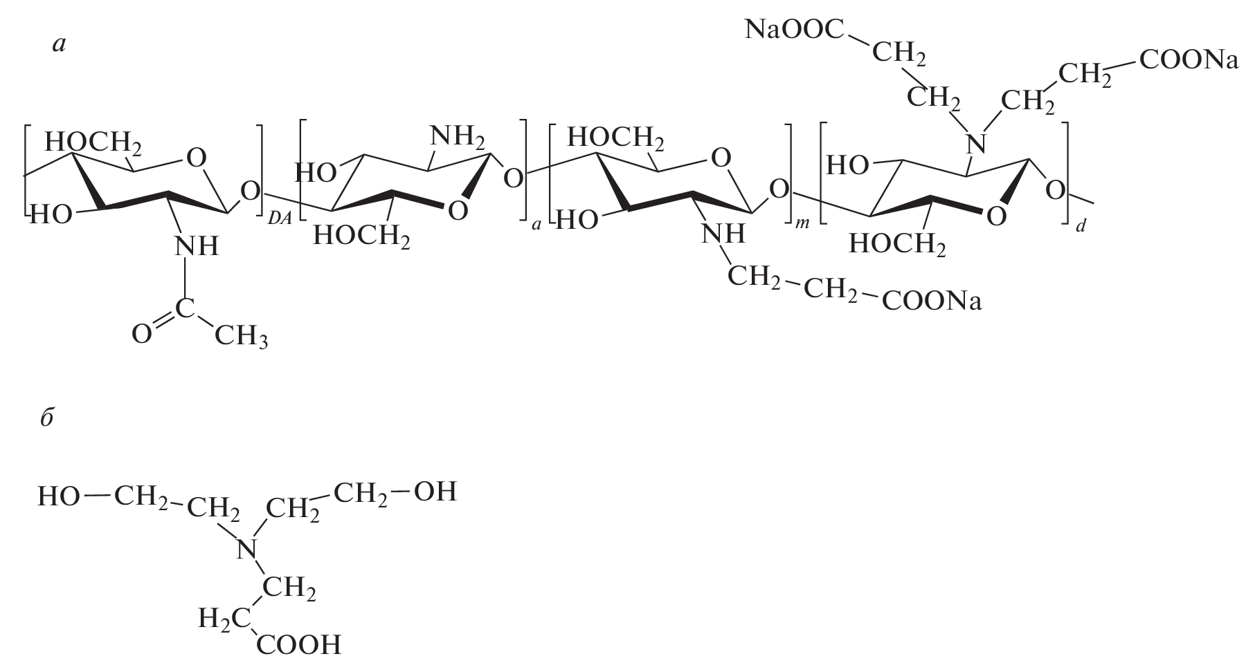
Science-based biotechnologies serve as the foundation for the development of modern highly productive environmentally friendly horticulture. The natural polymer chitosan, due to its high availability, biosafety, and synthetic flexibility, is an excellent basis to construct new agrobiotechnological agents that meet the requirements of the pharmaceutical and food industries. The results of studies of the growth-regulating action of N-(2-carboxyethyl)chitosan (CEC) in relation to seeds and young plants of Echinacea purpurea are presented. It is shown that chitosan alkyl derivatives are safe preparations that can be used successfully for the cultivation of food and medicinal plants, including rare and endangered species.
About the authors
L. A. Khamidullina
Postovsky Institute of Organic Synthesis (IOS), Ural Branch, Russian Academy of Sciences; Ural Federal University named after the first President of Russia B.N. Yeltsin (UrFU)
Email: vestnik.ran@yandex.ru
Yekaterinburg, Russia; Yekaterinburg, Russia
P. D. Tobysheva
Postovsky Institute of Organic Synthesis (IOS), Ural Branch, Russian Academy of Sciences; Ural Federal University named after the first President of Russia B.N. Yeltsin (UrFU)
Email: vestnik.ran@yandex.ru
Yekaterinburg, Russia; Yekaterinburg, Russia
O. E. Cherepanova
Botanical Garden, Ural Branch, Russian Academy of Sciences
Email: vestnik.ran@yandex.ru
Yekaterinburg, Russia
I. S. Puzyrev
Postovsky Institute of Organic Synthesis (IOS), Ural Branch, Russian Academy of Sciences
Email: vestnik.ran@yandex.ru
Yekaterinburg, Russia
A. V. Pestov
Postovsky Institute of Organic Synthesis (IOS), Ural Branch, Russian Academy of Sciences; Ural Federal University named after the first President of Russia B.N. Yeltsin (UrFU)
Author for correspondence.
Email: vestnik.ran@yandex.ru
Yekaterinburg, Russia; Yekaterinburg, Russia
References
- Qu J., Zhao X., Liang Y. et al. Degradable conductive injectable hydrogels as novel antibacterial, anti-oxidant wound dressings for wound healing // Chem. Eng. J. 2019. V. 362. P. 548–560.
- Maluin F.N., Hussein M.Z. Chitosan-based agronanochemicals as a sustainable alternative in crop protection // Molecules. 2020. № 7. P. 1611–1633.
- Das S.N., Madhuprakash J., Sarma P.V.S.R.N. et al. Biotechnological approaches for field applications of chitooligosaccharides (COS) to induce innate immunity in plants // Crit. Rev. Biotechnol. 2015. № 1. P. 29–43.
- Kolesnikov L.E., Novikova I.I., Popova E.V. et al. The effectiveness of biopreparations in soft wheat cultivation and the quality assessment of the grain by the digital x-ray imaging // Agron. Res. 2020. № 4. P. 2436–2448.
- Malerba M., Cerana R. Chitosan Effects on Plant Systems // Int. J. Mol. Sci. 2016. № 7. 996.
- du Jardin P. Plant biostimulants: Definition, concept, main categories and regulation // Sci. Hortic. (Amsterdam). 2015. V. 196. P. 3–14.
- Faoro F., Gozzo F. Is modulating virus virulence by induced systemic resistance realistic? // Plant Sci. 2015. V. 234. P. 1–13.
- Chang L., Xu L., Liu Y. et al. Superabsorbent polymers used for agricultural water retention // Polym. Test. 2021. V. 94. 107021.
- Zhang M., Zhang F., Li C. et al. Application of Chitosan and Its Derivative Polymers in Clinical Medicine and Agriculture // Polymers. 2022. V. 14 (5). 958.
- Rabêlo V.M., Magalhães P.C., Bressanin L.A. et al. The foliar application of a mixture of semisynthetic chitosan derivatives induces tolerance to water deficit in maize, improving the antioxidant system and increasing photosynthesis and grain yield // Sci. Rep. 2019. № 1. 8164.
- Chakraborty M., Hasanuzzaman M., Rahman M. et al. Mechanism of plant growth promotion and disease suppression by chitosan biopolymer // Agric. 2020. № 12. P. 1–30.
- Malerba M., Cerana R. Recent advances of chitosan applications in plants // Polymers. 2018. № 2. 118.
- Xing K., Zhu X., Peng X. et al. Chitosan antimicrobial and eliciting properties for pest control in agriculture: a review // Agron. Sustain. Dev. 2015. № 2. P. 569–588.
- Li K., Xing R., Liu S. et al. Chitin and Chitosan Fragments Responsible for Plant Elicitor and Growth Stimulator // J. Agric. Food Chem. 2020. № 44. P. 12203–12211.
- Orzali L., Corsi B., Forni C. et al. Chitosan in Agriculture: A New Challenge for Managing Plant Disease // Biol. Act. Appl. Mar. Polysaccharides. 2017. P. 17–36.
- Lopez-Moya F., Suarez-Fernandez M., Lopez-Llorca L.V. Molecular mechanisms of chitosan interactions with fungi and plants // Int. J. Mol. Sci. 2019. № 2. 332.
- Zhang X., Li K., Xing R. et al. Metabolite profiling of wheat seedlings induced by chitosan: Revelation of the enhanced carbon and nitrogen metabolism // Front. Plant Sci. 2017. V. 8. P. 2017.
- El Hadrami A., Adam L.R., El Hadrami I. et al. Chitosan in plant protection // Mar. Drugs. 2010. № 4. P. 968–987.
- Hidangmayum A., Dwivedi P., Katiyar D. et al. Application of chitosan on plant responses with special refe-rence to abiotic stress // Physiol. Mol. Biol. Plants. 2019. № 2. P. 313–326.
- Iriti M., Picchi V., Rossoni M. et al. Chitosan antitranspirant activity is due to abscisic acid-dependent stomatal closure // Environ. Exp. Bot. 2009. № 3. P. 493–500.
- Ivanova D.G., Yaneva Z.L. Antioxidant Properties and Redox-Modulating Activity of Chitosan and Its Deri-vatives: Biomaterials with Application in Cancer The-rapy // Biores. Open Access. 2020. № 1. P. 64–72.
- Babaoglu Aydaş S., Ozturk S., Aslim B. Phenylalanine ammonia lyase (PAL) enzyme activity and antioxidant properties of some cyanobacteria isolates // Food Chem. 2013. № 1. P. 164–169.
- Sayed M., Khodary S.E.A., Ahmed E.S. et al. Elicitation of flavonoids by chitosan and salicylic acid in callus of Rumex vesicarius L. // Acta Hortic. 2017. V. 1187. P. 165–176.
- El-Tantawy E.M. Behavior of tomato plants as affected by spraying with chitosan and aminofort as natural stimulator substances under application of soil organic amendments // Pakistan J. Biol. Sci. 2009. № 17. P. 1164–1173.
- Khan W.M., Prithiviraj B., Smith D.L. Effect of foliar application of chitin and chitosan oligosaccharides on photosynthesis of maize and soybean // Photosynthe-tica. 2002. № 4. P. 621–624.
- Phothi R., Theerakarunwong C.D. Effect of chitosan on physiology, photosynthesis and biomass of rice (Oryza sativa L.) under elevated ozone // Aust. J. Crop Sci. 2017. № 5. P. 624–630.
- El-Sayed I.M., Salim R.G., El-Haggar E.F. et al. Mole-cular characterization and positive impact of brassinosteroids and chitosan on Solidago canadensis cv. Tara characteristics // Horticulturae. 2020. № 4. P. 1–18.
- Bratskaya S.Y., Pestov A.V., Yatluk Y.G. et al. Heavy metals removal by flocculation/precipitation using N-(2-carboxyethyl)chitosans // Colloids and Surfaces A: Physicochem. Eng. Asp. 2009. № 1–3. P. 140–144.
- Sokovnin S.Y., Balezin M.E., Puzyrev I.S. et al. Sorbents based on N-(2-carboxyethyl)chitosan cross-linked by nanosecond electron beams // Russ. Chem. Bull. 2009. № 6. P. 1172–1179.
- Khamidullina L.A., Cherepanova O.E., Tobysheva P.D. et al. Activation effect of β-alanine and chitosan deri-vative on A. glycyphyllos and A. membranaceus seed germination and seedling growth and development // Agron. Res. 2021. № 2. P. 484–495.
- Xu D., Li H., Lin L. et al. Effects of carboxymethyl chitosan on the growth and nutrient uptake in Prunus davidiana seedlings // Physiol. Mol. Biol. Plants. 2020. № 4. P. 661–668.
- Khamidullina L.A., Tobysheva P.D., Rybina E.A. et al. Plant growth biostimulants based on synthetic polyami-nosaccharides // 2nd International Scientific Confe-rence “Plants and Microbes: The Future of Biotechnology”. Saratov, 2020.
- Acemi A., Polat E.G., Çakir M. et al. Molecular Weight and Concentration of Chitosan Affect Plant Development and Phenolic Substance Pattern in Arugula // Not. Bot. Horti Agrobot. Cluj-Napoca. 2021. № 2. P. 1–12.
- Dzung N.A., Khanh V.T.P., Dzung T.T. Research on impact of chitosan oligomers on biophysical characteristics, growth, development and drought resistance of coffee // Carbohydr. Polym. 2011. № 2. P. 751–755.
- Majda M., Robert S. The role of auxin in cell wall expansion // Int. J. Mol. Sci. 2018. № 4. 951.
- Lopez-Moya F., Escudero N., Zavala-Gonzalez E.A. et al. Induction of auxin biosynthesis and WOX5 repression mediate changes in root development in Arabidopsis exposed to chitosan // Sci. Rep. 2017. № 1. 16813.
- Kolesnikova T., Puzyrev I., Khamidullina L. et al. Chitosan derivatives: between nutrition and drug // 4th Russian Conference on Medicinal Chemistry with international participants “MedChem Russia 2019”. Ekaterinburg, 2019.
Supplementary files






