Aerosol pollution of the Moscow megacity by polyaromatic hydrocarbons: Seasonal variability and toxicological risks
- Authors: Semenova A.V.1, Popovicheva O.B.2, Zavgorodnyaya Y.A.1, Chichaeva M.A.1, Kovach R.G.1, Kosheleva N.E.1, Minkina T.M.1,3, Kasimov N.S.1
-
Affiliations:
- Moscow State University
- Skobel’tsyn Institute of Nuclear Physics, Moscow State University
- Southern Federal University
- Issue: Vol 93, No 7 (2023)
- Pages: 669-683
- Section: ПРОБЛЕМЫ ЭКОЛОГИИ
- URL: https://ogarev-online.ru/0869-5873/article/view/140574
- DOI: https://doi.org/10.31857/S0869587323070071
- EDN: https://elibrary.ru/RQONHB
- ID: 140574
Cite item
Full Text
Abstract
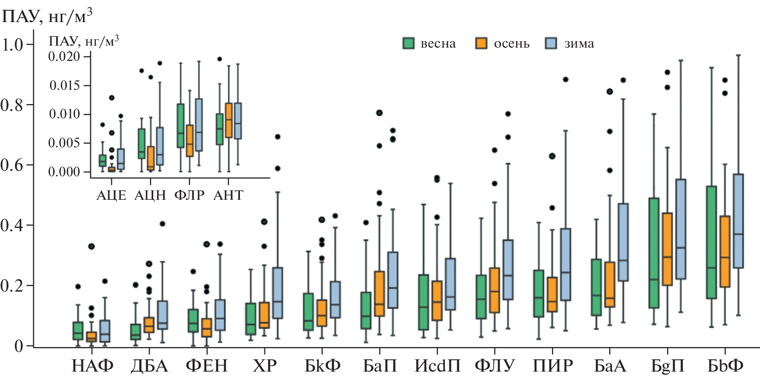
Research on air pollution in large cities by polycyclic aromatic hydrocarbons (PAHs) is one of the priority tasks for assessing air quality and environmental risks to public health. The chemical composition of aerosols sampled in spring (2018), 2019, and winter (2019–2020) at the Aerosol Complex of Moscow State University, located on the background territory of the Moscow Megacity, is analyzed. Sixteen priority PAH compounds were identified using gas chromatography, mass spectrometry, and high-performance liquid chromatography. The median value of the total concentration of the 16 PAHs (Σ16PAH) increases from the spring season (1.43 ng/m3) to the fall season (1.68 ng/m3) and then to the winter season (2.47 ng/m3). Based on the diagnostic relationships of PAHs, the dominant contribution of transport, industrial enterprises, and the heating system to the total emissions was determined. Pollution roses indicate the location of sources of maximum concentrations of low-, medium-, and high-molecular PAHs. Pollution episodes are distinguished: in the spring of 2018 under the influence of the transport of smoke plumes of agricultural fires and in the fall of 2019 as a result of petrogenic emissions and an increase in biomass burning in the residential sector around Moscow. In the winter and fall seasons, the highest values of carcinogenic (0.45 and 0.42) and mutagenic (0.58 and 0.55) equivalents for benzo(a)pyrene were recorded in comparison with the spring season (0.26 and 0.38). The lifetime risk of developing lung cancer, calculated from the data for three seasons, is 0.5 cases per one million people.
About the authors
A. V. Semenova
Moscow State University
Email: vestnik.ran@yandex.ru
Moscow, Russia
O. B. Popovicheva
Skobel’tsyn Institute of Nuclear Physics, Moscow State University
Email: vestnik.ran@yandex.ru
Moscow, Russia
Yu. A. Zavgorodnyaya
Moscow State University
Email: vestnik.ran@yandex.ru
Moscow, Russia
M. A. Chichaeva
Moscow State University
Email: vestnik.ran@yandex.ru
Moscow, Russia
R. G. Kovach
Moscow State University
Email: vestnik.ran@yandex.ru
Moscow, Russia
N. E. Kosheleva
Moscow State University
Email: vestnik.ran@yandex.ru
Moscow, Russia
T. M. Minkina
Moscow State University; Southern Federal University
Email: vestnik.ran@yandex.ru
Moscow, Russia; Rostov-on-Don, Russia
N. S. Kasimov
Moscow State University
Author for correspondence.
Email: vestnik.ran@yandex.ru
Moscow, Russia
References
- Ali-Taleshi M.S., Bakhtiari A.R., Moeinaddini M. et al. Single-site source apportionment modeling of PM2.5-bound PAHs in the Tehran metropolitan area, Iran: Implications for source-specific multi-pathway cancer risk assessment // Urban Climate. 2021. V. 39. 100928.
- Yang L., Zhang H., Zhang X. et al. Exposure to atmospheric particulate matter-bound polycyclic aromatic hydrocarbons and their health effects: A review // International journal of environmental research and public health. 2021. № 4. 2177.
- IARC Working Group on the Evaluation of Carcinogenic Risks to Humans et al. Some non-heterocyclic polycyclic aromatic hydrocarbons and some related exposures // IARC Monographs on the evaluation of carcinogenic risks to humans. 2010. V. 92. P. 1–853.
- List, Priority Pollutant. United States environmental protection agency, 2014.
- USEPA. Provisional Guidance for Quantitative Risk Assessment of Polycyclic Aromatic Hydrocarbons, 1993.
- Byambaa B., Yang L., Matsuki A. et al. Sources and characteristics of polycyclic aromatic hydrocarbons in ambient total suspended particles in Ulaanbaatar City, Mongolia // International journal of environmental research and public health. 2019. № 3. 442.
- Abdel-Shafy H.I., Mansour M.S. A review on polycyclic aromatic hydrocarbons: source, environmental impact, effect on human health and remediation // Egyptian journal of petroleum. 2016. № 1. P. 107–123.
- Tsiodra I., Grivas G., Tavernaraki K. et al. Annual exposure to PAHs in urban environments linked to wintertime wood-burning episodes // Atmospheric Chemistry & Physics Discussions. 2021. P. 1–24.
- Nelson J., Chalbot M.C.G., Tsiodra I. et al. Physicochemical characterization of personal exposures to smoke aerosol and PAHs of wildland firefighters in prescribed fires // Exposure and Health. 2021 V. 13. P. 105–118.
- Tobiszewski M., Namieśnik J. PAH diagnostic ratios for the identification of pollution emission sources // Environmental pollution. 2012. V. 162. P. 110–119.
- Wang R., Huang Q., Cai J., Wang J. Seasonal variations of atmospheric polycyclic aromatic hydrocarbons (PAHs) surrounding Chaohu Lake, China: Source, partitioning behavior, and lung cancer risk // Atmospheric Pollution Research. 2021. № 5. 101056.
- Alves C.A., Vicente A.M., Custódio D. et al. Polycyclic aromatic hydrocarbons and their derivatives (nitro-PAHs, oxygenated PAHs, and azaarenes) in PM2.5 from Southern European cities // Science of the total environment. 2017. V. 595. P. 494–504.
- Маринайте И.И., Горшков А.Г., Тараненко Е.Н. и др. Распределение полициклических ароматических углеводородов в природных объектах на территории рассеивания выбросов Иркутского алюминиевого завода (г. Шелехов, Иркутская обл.) // Химия в интересах устойчивого развития. 2013. № 2. С. 143–154.
- Wang Y., Zhang H., Zhang X. et al. PM-Bound Polycyclic Aromatic Hydrocarbons and Nitro-Polycyclic Aromatic Hydrocarbons in the Ambient Air of Vladivostok: Seasonal Variation, Sources, Health Risk Assessment and Long-Term Variability // International Journal of Environmental Research and Public Health. 2022. № 5. 2878.
- Lammel G., Dvorská A., Klánová J. et al. Long-range atmospheric transport of polycyclic aromatic hydrocarbons is worldwide problem-results from measurements at remote sites and modelling // Acta Chimica Slove-nica. 2015. № 3. P. 729–735.
- Hrdina A.I., Kohale I.N., Kaushal S. et al. The Parallel Transformations of Polycyclic Aromatic Hydrocarbons in the Body and in the Atmosphere // Environmental Health Perspectives. 2022. № 2. 025004.
- Saarnio K., Sillanpää M., Hillamo R. et al. Polycyclic aromatic hydrocarbons in size-segregated particulate matter from six urban sites in Europe // Atmospheric Environment. 2008. № 40. P. 9087–9097.
- Eiguren-Fernandez A., Miguel A.H., Froines D. et al. Seasonal and spatial variation of polycyclic aromatic hydrocarbons in vapor-phase and PM2.5 in Southern California urban and rural communities // Aerosol Science and Technology. 2004. № 5. P. 447–455.
- Elansky N.F., Ponomarev N.A., Verevkin Y.M. Air quality and pollutant emissions in the Moscow megacity in 2005–2014 // Atmospheric Environment. 2018. V. 175. P. 54–64.
- Доклад “О состоянии окружающей среды в городе Москве в 2018 году” // Под ред. А.О. Кульбачевского. М., 2019.
- Доклад “О состоянии окружающей среды в городе Москве в 2019 году” // Под ред. А.О. Кульбачевского. М., 2020.
- СанПиН 1.2.3685-21 “Гигиенические нормативы и требования к обеспечению безопасности и (или) безвредности для человека факторов среды обитания”, 2021.
- Popovicheva O., Padoan S., Schnelle-Kreis J. et al. Spring aerosol in urban atmosphere of megacity: Analytical and statistical assessment for source impact // Aerosol and Air Quality Research. 2020. № 4. P. 702–717.
- Popovicheva O.B., Volpert E., Sitnikov N.M. et al. Black carbon in spring aerosols of Moscow urban background // Geography, environment, sustainability. 2020. № 1. P. 233–243.
- Zappi A., Popovicheva O., Tositti L. et al. Factors influencing aerosol and precipitation ion chemistry in urban background of Moscow megacity // Atmospheric Environment. 2023. V. 294. 119458.
- Поповичева О.Б., Чичаева М.А., Касимов Н.С. Влияние ограничительных мер во время пандемии COVID-19 на аэрозольное загрязнение атмосферы московского мегаполиса // Вестник Российской академии наук. 2021. № 4. P. 351–361; Popovicheva O.B., Chichaeva M.A., Kasimov N.S. Impact of Restrictive Measures during the COVID-19 Pandemic on Aerosol Pollution of the Atmosphere of the Moscow Megalopolis // Herald of the Russian Academy of Sciences. 2021. № 2. P. 213–222.
- Kosheleva N.E., Vlasov D.V., Timofeev I.V. et al. Benzo[a]pyrene in Moscow road dust: pollution levels and health risks // Environmental Geochemistry and Health. 2022. V. 45. P. 1–26.
- Чубарова Н.Е., Незваль Е.И., Беликов И.Б. и др. Климатические и экологические характеристики московского мегаполиса за 60 лет по данным Метеорологической обсерватории МГУ // Метеорология и гидрология. 2014. № 9. С. 49–64.
- Bityukova V.R., Mozgunov N.A. Spatial features transformation of emission from motor vehicles in Moscow // Geography, environment, sustainability. 2019. № 4. P. 57–73.
- Битюкова В.Р., Саульская Т.Д. Изменение антропогенного воздействия производственных зон Москвы за последние десятилетия // Вестник Московского университета. Серия 5. География. 2017. № 3. С. 24–33.
- Cheng Z., Luo L., Wang S. et al. Status and characteristics of ambient PM2.5 pollution in global megacities // Environment international. 2016. V. 89. P. 212–221.
- Diapouli E., Kalogridis A.C., Markantonaki C. et al. Annual variability of black carbon concentrations originating from biomass and fossil fuel combustion for the suburban aerosol in Athens, Greece // Atmosphere. 2017. № 12. 234.
- Shukurov K., Postylyakov O., Borovski A. et al. Study of transport of atmospheric admixtures and temperature anomalies using trajectory methods at the AM Obukhov Institute of Atmospheric Physics // In Proceedings of IOP Conference Series: Earth and Environmental Science. 2019. № 1. 012048.
- Stein A.F., Draxler R.R, Rolph G.D. et al. NOAA’s HYSPLIT atmospheric transport and dispersion mo-deling system // Bulletin of the American Meteorolo-gical Society. 2015. V. 96. P. 2059–2077
- Lim H., Sadiktsis I., de Oliveira Galvão M. et al. Polycyclic aromatic compounds in particulate matter and indoor dust at preschools in Stockholm, Sweden: Occurrence, sources and genotoxic potential in vitro // Science of the Total Environment. 2021. V. 755. 142709.
- Gusev A., Batrakova N. Assessment of PAH pollution levels, key sources and trends: contribution to analysis of the effectiveness of the POPs Protocol. Progress report. MSC-E Technical Report 2/2020. June 2020.
- Nisbet I.C.T., Lagoy P.K. Toxic equivalency factors (TEFs) for polycyclic aromatic hydrocarbons (PAHs) // Regulatory toxicology and pharmacology. 1992. № 3. P. 290–300.
- WHO guidelines for indoor air quality: selected pollutants. World Health Organization. Regional Office for Europe, 2010.
- OEHHA, 2003. Air Toxics Hot Spots Risk Assessment Guidelines: The Air Toxics Hot Spots Program Guidance Manual for Preparation of Health Risk Assessments in urban aerosol of Augsburg, Germany // Environmental Pollution. V. 159. P. 1861–1868.
- Bandowe B.A.M., Meusel H., Huang R.J. et al. PM2.5-bound oxygenated PAHs, nitro-PAHs and parent-PAHs from the atmosphere of a Chinese megacity: Seasonal variation, sources and cancer risk assessment // Science of the Total Environment. 2014. V. 473. P. 77–87.
- Lin Y., Ma Y., Lammel Qiu X. et al. Sources, transformation, and health implications of PAHs and their nitrated, hydroxylated, and oxygenated derivatives in PM2.5 in Beijing // Journal of Geophysical Research: Atmospheres. 2015. № 14. P. 7219–7228.
- Marinaite I., Penner I., Molozhnikova E. et al. Polycyclic Aromatic Hydrocarbons in the Atmosphere of the Southern Baikal Region (Russia): Sources and Relationship with Meteorological Conditions // Atmosphere. 2022. № 3. 420.
- Pietrogrande M.C., Abbaszade G., Schnelle-Kreis J. et al. Seasonal variation and source estimation of organic compounds in urban aerosol of Augsburg, Germany // Environmental Pollution. 2011. № 7. P. 1861–1868.
- Rogula-Kozłowska W., Kozielska B., Klejnowski K. Hazardous compounds in urban PM in the central part of Upper Silesia (Poland) in winter // Archives of Environmental Protection. 2013. № 1. P. 53–65.
- Jariyasopit N., Tung P., Su K. et al. Polycyclic aromatic compounds in urban air and associated inhalation cancer risks: A case study targeting distinct source sectors // Environmental pollution. 2019. V. 252. P. 1882–1891.
- Mirante F., Alves C., Pio C. et al. Organic composition of size segregated atmospheric particulate matter, during summer and winter sampling campaigns at representative sites in Madrid, Spain // Atmospheric Research. 2013. V. 132. P. 345–361.
- Martellini T., Giannoni M., Lepri L. et al. One year intensive PM2.5 bound polycyclic aromatic hydrocarbons monitoring in the area of Tuscany, Italy. Concentrations, source understanding and implications // Environmental Pollution. 2012. V. 164. P. 252–258.
- Katsoyiannis A., Sweetman A.J., Jones K.C. PAH molecular diagnostic ratios applied to atmospheric sources: a critical evaluation using two decades of source inventory and air concentration data from the UK // Environmental science & technology. 2011. № 20. P. 8897–8906.
- Akyüz M., Çabuk H. Gas-particle partitioning and seasonal variation of polycyclic aromatic hydrocarbons in the atmosphere of Zonguldak, Turkey // Science of the total environment. 2010. № 22. P. 5550–5558.
- Yunker M.B., Macdonald R.W., Vingarzan R. et al. PAHs in the Fraser River basin: a critical appraisal of PAH ratios as indicators of PAH source and composition // Organic geochemistry. 2002. № 4. P. 489–515.
- Ravindra K., Sokhi R., van Grieken R. Atmospheric polycyclic aromatic hydrocarbons: source attribution, emission factors and regulation // Atmospheric environment. 2008. № 13. P. 2895–2921.
- Pies C., Hoffmann B., Petrowsky J. et al. Characterization and source identification of polycyclic aromatic hydrocarbons (PAHs) in river bank soils // Chemosphere. 2008. № 10. P. 1594–1601.
Supplementary files












