Биосинтез метионина в микроорганизмах: о-ацетилгомосерин-сульфгидрилаза – основной фермент пути прямого сульфгидрилирования (обзор)
- Авторы: Куликова В.В.1, Морозова Е.А.1, Лыфенко А.Д.1, Коваль В.С.1, Ануфриева Н.В.1, Сольев П.Н.1, Ревтович С.В.1
-
Учреждения:
- Институт молекулярной биологии им. В.А. Энгельгардта РАН
- Выпуск: Том 60, № 3 (2024)
- Страницы: 221-233
- Раздел: Статьи
- URL: https://ogarev-online.ru/0555-1099/article/view/271412
- DOI: https://doi.org/10.31857/S0555109924030017
- EDN: https://elibrary.ru/EXEKTZ
- ID: 271412
Цитировать
Полный текст
Аннотация
Биосинтез метионина в большинстве микроорганизмов осуществляется двумя альтернативными путями. Каждый путь катализируется независимыми ферментами и регулируется по механизму обратной связи метионином. Путь транссульфурилирования включает образование промежуточного продукта цистатионина, а в качестве источника серы выступает цистеин. Ферменты этого метаболического пути подробно охарактеризованы. Путь прямого сульфгидрилирования подразумевает синтез гомоцистеина с участием неорганического источника серы напрямую из О-ацетилгомосерина и является преобладающим в большинстве классов бактерий. Предметом настоящего обзора являются свойства и функционирование одного из наименее изученных ферментов пути прямого сульфгидрилирования – О-ацетилгомосерин-сульфгидрилазы. Глубокое понимание механизмов, контролирующих субстратную и реакционную специфичность О-ацетилгомосерин-сульфгидрилазы, является необходимым шагом рационального редизайна фермента с целью создания перспективного катализатора для синтеза метионина и его производных, а также, в комплексе с кристаллографическими данными, для разработки новых антимикробных соединений на основе эффективных ингибиторов фермента.
Полный текст
Метионин является незаменимой протеиногенной аминокислотой, уникальные функции которой заключаются в биосинтезе серосодержащих соединений, инициации трансляции [1]. Большинство микроорганизмов могут синтезировать метионин, в то время как животные, включая людей, зависят от внешних источников метионина [2]. Как основная серосодержащая аминокислота, метионин является предшественником всех других серосодержащих аминокислот и их производных, таких как гомоцистеин и глутатион [3]. Метионин является ключевым компонентом одноуглеродного метаболизма, а в форме своего производного S-аденозилметионина является метильным донором в эпигенетической регуляции и процессах детоксикации [4].
В современном обществе метионин стал массовым товаром в мировой экономике – ежегодно производится более 1 млн тонн метионина из нефти для обогащения кормов для скота, что является третьим показателем в мире после глутаминовой кислоты и лизина. Синтетическое производство способствует производству дешевого животного белка и оказывает прямое влияние на здоровье человека и экосистемы [5]. Однако 95% такого синтетически получаемого метионина образуется в виде D, L-смеси изомеров. Для решения проблемы рацемического синтеза перспективно изучение ферментов, участвующих в метаболизме метионина, для разработки биотехнологических методов синтеза метионина путём рационального редизайна ферментов и потенциального получения суперпродуцента [6].
Метаболический путь биосинтеза метионина в бактериях наиболее подробно охарактеризован у Escherichia coli [7, 8]. В клетках E. coli предшественник метионина гомоцистеин синтезируется по пути транссульфурилирования из О-сукцинил-L-гомосерина в две стадии (рис. 1), катализируемые цистатионин γ-синтазой (CGS, КФ 2.5.1.48) и цистатионин β-лиазой (CBL, в настоящее время включена в КФ 4.4.1.13, цистеин-S-конъюгат β-лиаза). В большинстве классов бактерий, в отличие от E. coli, преобладающим является путь прямого сульфгидрилирования (рис. 1), либо используются оба пути [9], что обеспечивает метаболическую гибкость и адаптивность микроорганизмов. Функциональность обоих путей подробно исследована у таких бактерий как Pseudomonas aeruginosa [10], P. putida [11], Corynebacterium glutamicum [12–14], Leptospira meyeri [15, 16], Thermus thermophilus [17, 18], Streptococcus anginosus [19]. Анализ геномов выявил, что транссульфурилирование, как единственный путь биосинтеза метионина, присутствует в основном в протеобактериях [9].
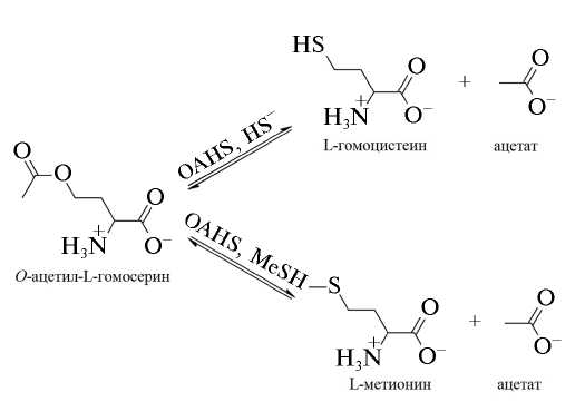
Рис. 1. Биосинтез метионина в микроорганизмах.
О-ацетилгомосерин-аминокарбоксипропилтрансфераза катализирует прямое сульфгидрилирование О-ацетил-L-гомосерина (OAH). Предшествующее название – О-ацетилгомосерин(тиол)-лиаза – было основано на ее первоначальной классификации (КФ 4.2.99.10). Позднее Комиссия по ферментам определила его в класс трансфераз (КФ 2.5.1.49) [20]. В настоящее время общепринятыми названиями являются О-ацетилгомосерин-аминокарбоксипропилтрансфераза и О-ацетилгомосерин-сульфгидрилаза [21]. Микроорганизмы используют О-ацетилгомосерин-сульфгидрилазу (OAHS) для катализа образования предшественника L-метионина – L-гомоцистеина из О-ацетил-L-гомосерина и бисульфида или для прямого синтеза L-метионина с использованием метантиола (рис. 2). В некоторых микроорганизмах, например у Bacillus subtilis и E. coli, CGS может действовать как сульфгидрилаза с использованием в качестве субстрата как О-ацетилL-гомосерина, так и О-сукцинил-L-гомосерина [22, 23]. Данные о разнообразии бактериальных путей биосинтеза метионина важны для понимания жизнедеятельности и эволюции бактерий, а также могут быть использованы в микробной биотехнологии. За последние годы возросла активность исследований в области ферментативного получения аминокислот [6]. На сегодняшний день является актуальным получение L-метионина в промышленных масштабах методом ферментативного синтеза с применением ферментов, участвующих в метаболизме серы [24].
В настоящем обзоре собраны данные о каталитических свойствах OAHS из различных микробных источников, обсуждается механизм ферментативной реакции и роль отдельных аминокислотных остатков активного центра с учетом анализа имеющихся в международных базах кристаллографических структур фермента и данных мутагенеза.
КАТАЛИТИЧЕСКИЕ СВОЙСТВА
OAHS является пиридоксаль-5'-фосфат (ПЛФ)-зависимым ферментом, который катализирует реакцию γ-замещения О-ацетилL-гомосерина с использованием сульфидиона с образованием L-гомоцистеина и ацетата (рис. 2). Один из ферментов альтернативного пути транссульфурилирования, CGS, катализирует сходную реакцию γ-замещения, используя в качестве субстрата О-сукцинил-L-гомосерин или, в условиях отсутствия О-сукцинил-Lгомосерина, О-ацетил-L-гомосерин, и L-цистеин в качестве источника серы [25]. OAHS из большинства микробных источников являются строго специфичными к О-ацетил-L-гомосерину и не катализируют реакцию γ-замещения О-сукцинилL-гомосерина [26, 27], либо катализируют со скоростями, на несколько порядков ниже, чем скорость основной реакции [10, 18, 28]. Также фермент не может использовать в качестве источника серы L-цистеин [29]. Источник серы, используемый OAHS в процессе биосинтеза метионина, может отличаться у разных организмов. Например, у OAHS из Wolinella succinogenes источником серы является тиокарбоксилат белка, так что атом серы метионина включается OHSS с использованием белка-переносчика серы, а не сульфида, как это имеет место у других OAHS [30]. В качестве источника серы фермент может использовать так же меркаптоэтанол, метилмеркаптан, этилмеркаптан [26, 31, 32]. Кроме того, в реакции γ-замещения О-ацетил-L-гомосерина, катализируемой OAHS, в качестве присоединяемого нуклеофила может выступать азид, как в OAHS из C. glutamicum [33] или диселенид, как в ферменте из дрожжей [34]. В литературе имеются ограниченное количество данных о каталитических параметрах реакции γ-замещения О-ацетил-L-гомосерина, катализируемой OAHS из различных источников (табл. 1). Сродство к субстрату у разных ферментов варьируется в широком диапазоне в зависимости от микроорганизма (0.004–8.0 мМ). Кинетические параметры реакции (kкат и kкат/KM) были определены только для четырех очищенных ферментов, наибольшую скорость реакции проявлял фермент из термофильной бактерии Termotoga maritima (табл. 1), при этом эффективность катализа была в 1.6 раз выше у OAHS из Сlostridium difficile за счет меньшей величины Km. Ферменты из другой термофильной бактерии T. thermophilus также обладали высокой активностью (табл. 1). Сульфгидрилазная активность с О-ацетил-L-гомосерином и О-сукцинил-L-гомосерином была обнаружена в клеточных экстрактах P. putida и P. aeruginosa [10, 11]. Поскольку в данных бактериях присутствуют ферменты обоих путей биосинтеза метионина, активность с О-сукцинил-L-гомосерином может быть связана с наличием CGS, которая, как было отмечено выше, способна катализировать данную реакцию.
Рис. 2. Схема реакции γ-замещения, катализируемой OAHS.
Таблица 1. Кинетические параметры реакции γ-замещения О-ацетил-L-гомосерина, катализируемой OAHS из различных источников
Микроорганизм | Удельная активность*, мкмоль/мин мг | kкат, с–1 | KM, мM | kкат/KM, M–1 с–1 | Ссылка |
T. thermophilius HB8 oah1 | 49.8 (рН 7.8, 70°C) | н.о. | 6.8 | н.о. | [18] |
T. thermophilius HB8 oah2 | 67.7 (рН 7.8, 70°C) | н.о. | 2.0 | н.о. | [35] |
B. stearothermophilus CN3 | 17.2 (рН 7.5, 45°C) | н.о. | 1.9 | н.о. | [26] |
S. cerevisiae | 10.5 (рН 7.8, 30°C) | н.о. | 4.5 × 10–3 | н.о. | [36] |
N. crassa | 4.2 (рН 8.0, 30°C) | н.о. | 7.0 × 10–3 | н.о. | [40] |
Aspergillus nidulans | 4.4 (рН 8.0, 30°C) | н.о. | н.о. | н.о. | [31] |
L. meyeri | 15.0 (рН 7.5, 30°C) | н.о. | н.о. | н.о. | [15] |
C. glutamicum | 6.0 (рН 7.5, 30°C) | 28.0 | 6.4 | 4.4 × 103 | [41] |
T. maritima | 1521.0 (рН 7.0, 70°C) | 900.0 | 8.0 | 1.0 × 105 | [28] |
C. difficile | 50.0 (рН 7.5, 25°C) | 94.1 | 0.6 | 1.6 × 105 | [27] |
C. novyi | 0.9 (рН 7.5, 25°C) | 1.3 | 0.1 | 1.3 × 104 | [37] |
* Условия, при которых определяли активность, указаны в скобках; н. о. – не определяли.
Температурный оптимум OAHS из термофильных бактерий T. thermophilus и T. maritimа составил 70°C, B. stearothermophilus – 60°C [18, 26, 28, 35]. рН оптимум ферментов из различных источников находился в диапазоне 7.0–8.0 [18, 25, 28, 36–39].
МЕХАНИЗМ РЕАКЦИИ
ПЛФ-зависимые ферменты используют один и тот же кофактор для катализа различных реакций, поэтому промежуточные стадии катализа имеют много общего [42], при этом белковая матрица обеспечивает реакционную и субстратную специфичность этих ферментов. Механизмы, посредством которых ПЛФ-зависимые ферменты контролируют переходные состояния кофактора в процессе катализа, исследуются при помощи рентгеноструктурного анализа и сайт-направленного мутагенеза. Для ряда ПЛФ-зависимых ферментов, участвующих в биосинтезе L-метионина, были получены мутантные формы [23, 38, 43–45], исследование которых позволило сделать предположения о роли отдельных аминокислотных остатков в катализе. Анализ кинетических и спектральных свойств, а также имеющихся кристаллических структур ферментов и комплексов фермент-ингибитор позволяет сделать предположение о механизме реакций, катализируемых этими ферментами [42, 39, 46–50].
Предполагаемый механизм реакции γ-замещения, катализируемой OAHS, включает несколько стадий (рис. 4). В активном центре фермента ПЛФ, связанный с остатком лизина, образует внутренний альдимин (1). При связывании О-ацетил-L-гомосерина происходит образование внешнего альдимина (2). Последующий отрыв Сα-протона субстрата приводит к образованию хиноидного интермедиата (3), следствием протонирования С4′ˈ-атома кофактора является образование кетимина (4). Дальнейший отрыв Сβ-протона приводит к отщеплению ацетильной группы субстрата и образованию ключевого интермедиата ферментативной реакции – β,γ-ненасыщенного кетимина (6). Присоединение сульфид-иона к β,γ-ненасыщенному кетимину и последующий перенос протонов приводят к образованию второго хиноидного интермедиата (9), дальнейшее протонирование Сα-положения которого приводит к образованию внешнего альдимина (10) и высвобождению продукта реакции – гомоцистеина. Для протекания реакции необходимо участие каталитического основания фермента на стадии отрыва Cα- и Cβ-протонов субстрата и кислотный катализ на стадии элиминирования γ-заместителя. Для ряда ПЛФ-зависимых ферментов было сделано предположение, что каталитическим основанием является аминогруппа ПЛФ-связывающего остатка лизина [42]. Исследование мутантных форм OAHS из С. difficile c заменами остатков Y52 и Y107 на аланин и фенилаланин позволило сделать предположение, что Y107 может выполнять функцию общего кислотного катализатора на стадии элиминирования ацетата [45].
Рис. 3. Выравнивание аминокислотных последовательностей OAHS из Campylobacter jejuni (Cje; 4OC9), Mycobacterium marinum (Mma; B2HDS7), T. maritima (Tma; Q9WZY4), T. thermophilus (Tth1; Q5SK88 и Tth2; Q5SJ58), W. succinogenes (Wsu; Q7M9C8), Clostridium novyi (Cno; A0A5B8NEI4), Clostridium difficile (Cdi; A0A1L7H895), L. meyeri (Lme; P94890), M. tuberculosis (Mtu; L7N4M1), Saccharomyces cerevisiae (Sce; P06106). Консервативные остатки отмечены черным. Последовательности ферментов с известными 3D структурами отмечены вертикальной линией; треугольниками отмечены функциональные остатки активного центра.
Рис. 4. Предполагаемый механизм реакции γ-замещения, катализируемой OAHS.
ПРОСТРАНСТВЕННАЯ СТРУКТУРА И РОЛЬ ОТДЕЛЬНЫХ АМИНОКИСЛОТНЫХ ОСТАТКОВ
OAHS принадлежит к первому структурному классу ПЛФ-зависимых ферментов, подклассу CBL [42]. В настоящее время определены семь пространственных структур OAHS из пяти источников: T. thermophilus (pdb 2CTZ, 2CB1) [18], W. succinogenes (pdb 3RI6) [51], M. marinum (pdb 4KAM) [52], T. maritima (pdb 7KB0, 7KB1) [28] и C. jejuni (pdb 4OC9). Функциональной единицей фермента является димер (рис. 5), однако, как и многие ПЛФ-зависимые ферменты, OAHS существует в растворе в виде тетрамера или гексамера, что подтверждается как биохимическими, так и структурными данными [18, 27, 31, 36, 37, 51, 52]. Отдельный мономер представляет собой α/β белок, состоящий из 421–453 аминокислот, уложенных в 11–14 α-спиралей, несколько 310-спиралей и 11, 12 или 14 β-слоев (рис. 5). Мономер состоит из трех доменов, что характерно для всех ПЛФ-зависимых ферментов первого типа укладки, включая ферменты сульфурилирования, участвующие в биосинтезе метионина [42, 53]. Небольшой N-концевой домен состоит из двух α-спиралей, соединенных длинной петлей, способствует образованию тетрамера, а также совместно с аминокислотными остатками большого ПЛФ-связывающего домена соседней субъединицы формирует активный центр фермента. Большой ПЛФ-связывающий домен состоит из β-слоя, окруженного α-спиралями, и содержит большинство каталитических остатков активного центра (рис. 5, табл. 2), в том числе ковалентно связанный с ПЛФ остаток лизина, образующий внутренний альдимин. С-концевой домен содержит четырехслойную β-структуру, которая образует субстрат-связывающий карман в активном центре, закрытый α-спиралями. Активный центр OAHS, расположенный на границе раздела димеров, образован аминокислотными остатками обеих субъединиц, таким образом, молекула гомотетрамера содержит четыре активных центра (рис. 5).
Таблица 2. Роль остатков активного центра OAHS с известными 3D структурами
Функциональная роль | Микроорганизм* | |||||
Cje | Mma | Tma | Tth1 | Tth2 | Wsu | |
PDB код | ||||||
4OC9 | 4KAM | 7KB1 | 2CTZ | 2CB1 | 3RI6 | |
Образует водородную связь с фосфатной группой ПЛФ. Предположительно участвует в обеспечении оптимального положения каталитического кофермент-связывающего остатка лизина на стадиях элиминирования C-α-протона и боковой группы субстрата | Y53 | Y67 | Y58 | Y52 | Y50 | Y53 |
Образует водородную связь с фосфатной группой ПЛФ | R55 | R69 | R60 | R54 | R52 | R55 |
Взаимодействуют с фосфатной группой ПЛФ атомами азота главной цепи | G83 | G97 | G88 | G82 | G80 | G83 |
M84 | Q98 | Q89 | H83 | Q81 | M84 | |
Фенольное кольцо копланарно кольцу ПЛФ. Стабилизирует пиридиновое кольцо ПЛФ через π-стэкинговое взаимодействие. Увеличивает электронно-акцепторный характер кофактора | Y108 | Y122 | Y113 | Y107 | F105 | F108 |
Ориентирует положение Tyr108 (нумерация С. jejuni) в активном центре фермента | E151 | E166 | E157 | E151 | E147 | E151 |
Образует солевой мостик с N1H атомом ПЛФ. Играет ключевую роль в стабилизации положительного заряда атома пиридина N1, тем самым повышая электрофильный характер кофактора | D180 | D195 | D186 | D180 | D176 | D180 |
Ограничивает подвижность кольца ПЛФ (π-сигма взаимодействие с электронным кольцом кофактора). Азот амидной группы фиксирует положение боковой цепи Asp180 (нумерация С. jejuni), обеспечивая оптимальное расположение Asp180 для взаимодействия с N1H атомом пиридина | T182 | T197 | T188 | T182 | T178 | T182 |
π-алкил взаимодействие с гидрофобной частью кольца ПЛФ, ограничивает подвижность кольца кофактора | V183 | I198 | V189 | F183 | F179 | M183 |
Образуют водородные связи с фосфатной группой ПЛФ | S202 | S217 | S207 | S203 | S199 | S202 |
S204 | T219 | T209 | T205 | T201 | T204 | |
Образует внутренний альдимин с ПЛФ | K205 | K220 | K210 | K206 | K202 | K205 |
Участвует в обеспечении оптимального положения каталитического кофермент-связывающего остатка лизина на стадиях элиминирования C-α-протона и боковой группы субстрата | N367 | N379 | N370 | N366 | N355 | N352 |
Гуанидиновая группа аргинина взаимодействует с карбоксилатной группой субстрата | R402 | R414 | R405 | R401 | R390 | R387 |
* Cje – C. jejuni, Mma – M. marinum, Tma – T. maritima, Tth – T. thermophilus, Wsu – W. succinogenes.
Рис. 5. Тетрамерная организация OAHS на примере структуры фермента из T. thermophilus (pdb код 2ctz).
Пространственные укладки известных структур OAHS схожи как между собой (рис. 6а), так и с пространственными укладками других ферментов подкласса CBL (рис. 6б), однако отличаются от последних уникальным фрагментом, состоящим из примерно 30 аминокислотных остатков [54], следующих после последнего β–листа ПЛФ-связывающего домена.
Рис. 6. Наложение полипептидных цепей (а) пространственных структур OASH из разных микроорганизмов: C. jejuni OAHS (pdb код 4OC9) – темно-синий, M. marinum OASH (pdb код 4KAM) – голубой, T. maritima OASH (pdb код 7KB1) – пурпурный, T. thermophilus OASH (pdb код 2CTZ) – зеленый, T. thermophilus OASH (pdb код 2CB1) – темно-зеленый, W. succinogenes OASH (pdb код 3RI6) – оранжевый; (б) пространственных структур ферментов подкласса CBL: T. maritima OASH (pdb код 7KB1) – оранжевый, Citrobacter freundii метионин γ-лиаза МГЛ (pdb код 2RFV) – темно-синий, Arabidopsis thaliana CBL (pdb код 1IBJ) – голубой, Nicotiana tabacum CGS (pdb код 1I41) – зеленый, S. cerevisiae цистатионин γ-лиаза (pdb код 1N8P) – пурпурный. Овалом выделен уникальный фрагмент, характерный для фермента OASH.
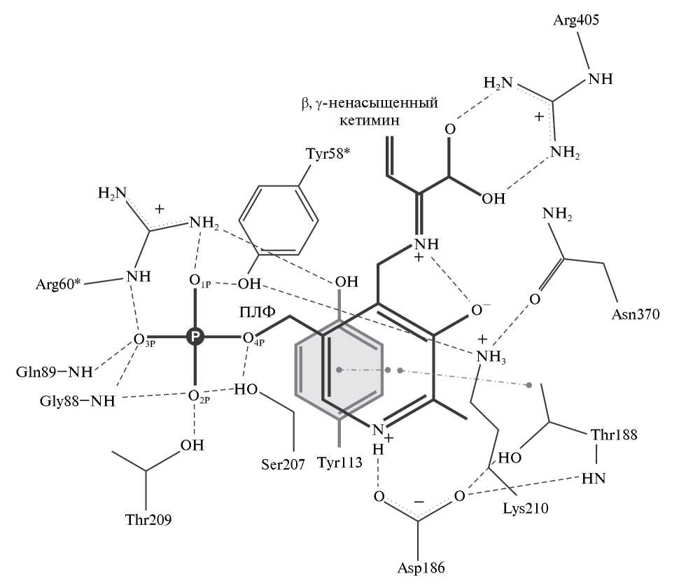
Вымачивание кристаллов OAHS из Thermotoga maritima в растворе О-ацетил-L-гомосерина приводило к образованию стабильного промежуточного продукта в активном центре фермента (6 на рис. 4), то есть в отсутствие сульфид-иона реакция не могла дойти до завершения и протекала до стадии образования β, γ-ненасыщенного кетимина [28]. В пространственной структуре комплекса OAHS с О-ацетил-L-гомосерином карбоксилат этого промежуточного интермедиата образует солевой мостик с боковой группой остатка R405 (рис. 7), Cβ- и Cγ-атомы располагаются в относительно просторном кармане на расстоянии около 3 Å от боковых цепей остатков K210 и Y58*. Для OAHS из Сlostridioides difficile было сделано предположение, что гомологичный остаток Y52* обеспечивает оптимальное положение ПЛФ-связывающего остатка K205 на стадиях отрыва Сα-протона и ацетата [45]. В структурно похожем ферменте CGS в отсутствие второго субстрата (L-цистеина) β, γ-ненасыщенный кетимин таутомеризуется в винилглициновый хиноидный интермедиат и далее в α-аминокротонат с последующим его гидролизом до α-кетобутирата и аммиака [25, 38, 39]. Согласно биохимическим данным, полученным для OAHS из нескольких источников, фермент не катализирует побочную реакцию γ-элиминирования О-ацетил-L-гомосерина [26, 27, 37, 40], что подтверждается и кристаллографическими данными о наличии стабильного β,γ-ненасыщенного кетимина (6 на рис. 4) в комплексе фермента с субстратом [28]. Метионин γ-лиаза является структурным гомологом OAHS и также принадлежит к структурному подклассу CBL [42]. Для метионин γ-лиазы из Citrobacter freundii было показано, что остаток S339 необходим для эффективного катализа реакции γ-элиминирования [55]. Гомологичный остаток серина является консервативным для ферментов подкласса CBL, за исключением OAHS [54]. В последовательностях OAHS из различных источников положение остатка S339 занимают остатки аспарагина или гистидина, возможно, из-за отсутствия именно этого остатка OAHS может катализировать только реакцию γ-замещения.
Рис. 7. Схема взаимодействий α,β–ненасыщенного кетимина с аминокислотными остатками активного центра OAHS (нумерация T. maritima). Аминокислотные остатки соседнего мономера обозначены звёздочкой. Штриховыми линиями показаны водородные связи, штрих-пунктирными – π-взаимодействия.
Анализ пространственной структуры OAHS из T. maritima и CGS из Xanthomonas oryzae [56] позволил идентифицировать R270 активного центра как остаток, который препятствует связыванию О-сукцинил-L-гомосерина, а также обеспечивает строгую специфичность к бисульфиду в качестве второго субстрата за счет перекрывания доступа к активному центру более крупного субстрата – L-цистеина как источника серы [28]. Однако для OAHS с доказанной функцией и определенными пространственными структурами из T. thermophilus и W. succinogenes в данной позиции находятся S258 и Q254 соответственно (рис. 3).
ИНГИБИТОРЫ И СПЕКТРАЛЬНЫЕ СВОЙСТВА ФЕРМЕНТА
Транссульфурилирование и сульфгидрилирование регулируются метионином, ингибирующим ферменты обоих биосинтетических путей [57]. Ингибирование реакции γ-замещения OAH различными аминокислотами было исследовано для OAHS из С. difficile и C. novyi [27, 37]. Конечный продукт биосинтетического пути L-метионин оказался конкурентным ингибитором фермента с величиной Ki = 9 мM. Nγ-ацетил-L-2,4-диаминомасляная кислота, которая является структурным аналогом субстрата, может останавливать каталитическую реакцию на стадии образования енамина (5 на рис. 4) из-за отсутствия уходящей группы в γ-положении. Nγ-ацетил-L-2,4-диаминомасляная кислота обратимо ингибировала реакцию γ-замещения OAH с величиной Ki = 0.04 мM. Пропаргилглицин, являющийся суицидальным ингибитором пиридоксалевых ферментов, участвующих в метаболизме серосодержащих аминокислот (цистатионин γ-лиазы, CGS и CBL), приводил к полной необратимой инактивации OAHS из С. difficile [27]. Благодаря наличию ПЛФ в активном центре холофермент и его комплексы с аминокислотами обладают характерными спектрами поглощения, которые отражают состояние внутреннего альдимина и позволяют идентифицировать интермедиаты ферментативной реакции. Спектры поглощения OAHS из С. difficile и C. novyi при рН 7.5 в области 300–550 нм имеют вид, типичный для внутренних альдиминов ПЛФ-зависимых ферментов, с основной полосой в области 415 нм и минорной в области 320 нм (рис. 8). Фермент из T. thermophilus имел похожий спектр поглощения с максимумом при 425 нм [18].
Рис. 8. Спектры поглощения OAHS из C. difficile (а) и C. novyi (б) при рН 7.5.
В спектрах поглощения комплексов OAHS из C. difficile и C. novyi с L-метионином и Nγ-ацетил-L-2,4-диаминомасляной кислотой интенсивность полосы в области 420 нм уменьшалась, а поглощение в области 320–360 нм увеличивалось, что может быть связано с изменением ионного состояния внешних альдиминов и их таутомеризацией, а также с поглощением интермедиатов, имитирующих промежуточные продукты реакции (рис. 4).
Для фермента из T. thermophilus было показано, что L-метионин и D, L-пропаргилглицин также ингибировали реакцию γ-замещения с OAH [18, 35]. L-метионин являлся конкурентным ингибитором OAHS из S. cerevisiae (Ki = 0.9 мM) [36] и C. glutamicum [41]. Кроме того, O-ацетил-Lсерин (Ki = 21.8 мM), O-сукцинил-D, L-гомосерин (Ki = 19.0 мM) и L-гомосерин (Ki = 16.0 мM) ингибировали OAHS дрожжей по конкурентному типу [36].
ЭВОЛЮЦИЯ ПУТИ БИОСИНТЕЗА МЕТИОНИНА В МИКРООРГАНИЗМАХ
Поскольку в некоторых микроорганизмах присутствует бифункциональная CGS, которая может участвовать в пути прямого сульфгидрилирования, а также в присущем ей пути транссульфурилирования, возникает вопрос эволюционного обоснования выбора микроорганизмами различных путей биосинтеза метионина. Для выяснения этого были проведены тесты на комплементацию in vivo и филогенетический анализ ферментов, участвующих в биосинтезе метионина в микроорганизмах [58, 59]. Полученные данные, в комплексе с анализом субстратной специфичности, позволили сделать предположение, что общий предковый ген этих ферментов был способен действовать как сульфгидрилаза О-ацетил-L-гомосерина или О-сукцинил-L-гомосерина. У некоторых бактерий этот древний фермент, скорее всего, эволюционировал в CGS, тем самым сохранив способность использовать различные гомосеринэтерифицированные субстраты, а также различные источники серы, и, таким образом, сохранил мультисубстратную специфичность своего предка. В некоторых организмах этот предковый ген, вероятно, подвергся дупликации, в результате которой образовались отдельно CGS и сульфгидрилаза. Это привело к развитию двух параллельных путей получения метионина, транссульфурилированию и прямому сульфгидрилированию в этих организмах. Хотя оба пути существуют у нескольких организмов, большинство из них, по-видимому, используют один специфический путь биосинтеза метионина. Скорее всего, выбор микроорганизмами того или иного пути биосинтеза метионина связан с особенностями их внутреннего метаболизма и зависит от их естественной среды обитания.
ПРИМЕНЕНИЕ OAHS ДЛЯ СИНТЕЗА АМИНОКИСЛОТ И ИХ ПРОИЗВОДНЫХ
Метионин применяется главным образом при производстве современных комплексных кормов для сельского хозяйства. Выявлено положительное влияние метионина на показатели продуктивности в животноводстве [60, 61]. Кроме того, метионин используется в фармацевтике и спортивном питании [62]. Промышленное получение L-метионина путем микробиологической ферментации является затруднительным ввиду строгой клеточной регуляции его биосинтеза, поэтому он производится преимущественно синтетическим путем, в результате чего образуется рацемическая смесь D, L-метионина [63]. Во многих живых организмах может усваиваться только L-форма, и именно она используется для синтеза гормонов, ферментов и других белков. Биологически активный L-метионин может быть получен ферментативным синтезом с использованием биоконверсии предшественников [64].
К настоящему времени многочисленные протеиногенные аминокислоты и некоторые специальные аминокислоты, важные для фармацевтики, производятся путем ферментации [24, 65]. В связи с этим является актуальным получение аминокислот и их производных при помощи изолированных ферментов. Такие бактерии как E. coli, C. glutamicum широко используются в промышленности для микробного синтеза аминокислот. Ферментативный способ с применением определенных штаммов бактерий или дрожжей достаточно прост, но с другой стороны, микроорганизмы могут быть чувствительны к изменениям условий процесса, в частности pH, температуре.
В живых организмах ПЛФ-зависимые ферменты способны катализировать широкий спектр биохимических реакций с участием субстратов – аминокислот и их аналогов [66, 67]. По этой причине ПЛФ-зависимые ферменты вызывают интерес как инструмент в биотехнологии для производства ряда специфических аминокислот и их производных [68, 69]. Кроме того, тонкое регулирование метаболических путей, опосредуемых ПЛФ-зависимыми ферментами, является многообещающим подходом к продуцированию клетками неканонических аминокислот из простых источников углерода или предшественников [70]. Методами генной инженерии был создан метионин-штамм E. coli ауксотрофный по метионину, позволяющий получить L-азидогомоаланин из O-ацетил-L-гомосерина и азида натрия и включить его в рекомбинантные белки-мишени [33]. В данной системе путь биосинтеза метионина у E. coli сначала был перенаправлен в сторону получения желаемой неканонической аминокислоты, используя широкую субстратную специфичность рекомбинантной OAHS из C. glutamicum, а затем была достигнута экспрессия целевого белка барстар, которая сопровождалась эффективным включением L-азидогомоаланина вместо L-метионина [33].
В последние годы исследуются новые пути получения L-метионина с использованием свойств OAHS. Биосинтез метионина подробно исследовался в C. glutamicum с целью использования этой бактерии как промышленного продуцента. В результате были созданы новые штаммы с повышенным производством L-метионина и S-аденозил-L-метионина [24, 32, 63, 71–74]. Замена естественного пути транссульфурилирования в E. coli более распространенным путем прямого сульфгидрилирования, используемым другими бактериями, привела к увеличению по сравнению с штаммом дикого типа выработки L-метионина у ауксотрофного штамма E. coli (MG1655) [75]. Для получения такого метионинового штамма из генома кишечной палочки были удалены гены CGS и CBL и добавлен ген OAHS. OAHS дрожжей, полученная из рекомбинантного штамма E. coli BL-21, была использована для получения L-метионина из O-ацетил-L-гомосерина и 3-метилтиопропиональдегида in vitro [76]. Известны примеры улучшения каталитических свойств OAHS по сравнению с природным ферментом в реакции О-ацетил-L-гомосерина с метилмеркаптаном [77]. С целью получения эффективного продуцента L-метионина была получена мутантная форма OAHS из Rhodobacter sphaeroides при помощи сайт-направленного мутагенеза: ген OAHS из R. sphaeroides c заменами трех аминокислотных остатков был клонирован в клетках E. coli K-12. В результате активность мутантной формы с заменами I3N, F65Y и V104A оказалась в 1.75 раз выше по сравнению с ферментом дикого типа [77].
Таким образом, представленные в настоящем обзоре данные позволяют рассматривать OAHS как перспективный объект для использования ее в ферментативном синтезе L-метионина, других аминокислот, а также их производных.
Об авторах
В. В. Куликова
Институт молекулярной биологии им. В.А. Энгельгардта РАН
Автор, ответственный за переписку.
Email: vitviku@yandex.ru
Россия, Москва
Е. А. Морозова
Институт молекулярной биологии им. В.А. Энгельгардта РАН
Email: vitviku@yandex.ru
Россия, Москва
А. Д. Лыфенко
Институт молекулярной биологии им. В.А. Энгельгардта РАН
Email: vitviku@yandex.ru
Россия, Москва
В. С. Коваль
Институт молекулярной биологии им. В.А. Энгельгардта РАН
Email: vitviku@yandex.ru
Россия, Москва
Н. В. Ануфриева
Институт молекулярной биологии им. В.А. Энгельгардта РАН
Email: vitviku@yandex.ru
Россия, Москва
П. Н. Сольев
Институт молекулярной биологии им. В.А. Энгельгардта РАН
Email: vitviku@yandex.ru
Россия, Москва
С. В. Ревтович
Институт молекулярной биологии им. В.А. Энгельгардта РАН
Email: vitviku@yandex.ru
Россия, Москва
Список литературы
- Cavuoto P., Fenech M.F. // Cancer Treat. Rev. 2012. V. 38. P. 726–736.
- Finkelstein J.D. // J. Nutr. Biochem. 1990. V. 1. P. 228–237.
- Stipanuk M.H. // Annu. Rev. Nutr. 2004. V. 24. P. 539–577.
- Locasale J.W. // Nat. Rev. Cancer. 2013. V. 13. P. 572–583.
- Neubauer C., Landecker H. // Lancet Planet Health. 2021. V. 5. P. 560–569.
- François J.M. // Biotechnol. Adv. 2023. V. 19. P. 108259. https://doi.org/10.1016/j.biotechadv.2023.108259
- Born T.L., Blanchard J.S. // Biochemistry. 1999. V. 38. P. 14416–14423.
- Clausen T., Huber R., Laber B., Pohlenz H.D., Messerschmidt A. // J. Mol. Biol. 1996.V. 262. P. 202–224.
- Ferla M.P., Patrick W.M. // Microbiology. 2014. V. 160. P. 1571–1584.
- Foglino M., Borne F., Bally M., Ball G., Patte J. // Microbiology. 1995. V. 141. P. 431–439.
- Vermeij P., Kertesz M.A. // J. Bacteriol. 1999. V. 181. P. 5833–5837.
- Hwang B.J., Kim Y., Kim H.B., Hwang H.J., Kim J.H., Lee H.S. // Mol. Cells. 1999. V. 9. P. 300–308.
- Hwang B.J., Yeom H.J., Kim Y., Lee H.S. // J. Bacteriol. 2002. V. 184. P. 1277–1286.
- Lee H., Hwang B. // Appl. Microbiol. Biotechnol. 2003. V. 62. P. 459–467.
- Belfaiza J., Martel A., Margarita D., Saint Girons I. // J. Bacteriol. 1998. V. 180. P. 250–255.
- Picardeau M., Bauby H., Saint Girons I. // FEMS Microbiol. Lett. 2003. V. 225. P. 257–262.
- Yamagata S., Ichioka K., Goto K., Mizuno Y., Iwama T. // J. Bacteriol. 2001. V. 183. P. 2086–2092.
- Shimizu H., Yamagata S., Masui R., Inoue Y., Shibata T., Yokoyama S. et al. // Biochim. Biophys. Acta. 2001. V. 1549. P. 61–72.
- Yoshida Y., Negishi M., Nakano Y. // FEMS Microbiol. Lett. 2003. V. 221. P. 277–284.
- Bairoch A. // Nucleic Acids Res. 2000. V. 28. P. 304–305.
- UniProt Consortium // Nucleic Acids Res. 2023. V. 51 (D1). D523–D531.
- Auger S., Yuen W.H., Danchin A., Martin-Verstraete I. // Microbiology. 2002. V. 148. P. 507–518.
- Farsi A., Lodha P.H., Skanes J.E., Los H., Kalidindi N., Aitken S.M. // Biochem. Cell Biol. 2009. V. 87. P. 445–457.
- Shim J., Shin Y., Lee I., Kim S.Y. // Adv. Biochem. Eng. Biotechnol. 2017. V. 159. P. 153–177.
- Aitken S.M., Kim D.H., Kirsch J.F. // Biochemistry. 2003. V. 42. P. 11297–11306.
- Omura H., Ikemoto M., Kobayashi M., Shimizu S., Yoshida T., Nagasawa T. // J. Biosci. Bioeng. 2003. V. 96. P. 53–58.
- Kulikova V.V., Revtovich S.V., Bazhulina N.P., Anufrieva N.V., Kotlov M.I., Koval V.S. et al. // IUBMB Life. 2019. V. 71. P. 1815–1823.
- Brewster J.L., Pachl P., McKellar J.L., Selmer M., Squire C.J., Patrick W.M. // J. Biol. Chem. 2021. V. 296. P. 100797.
- Ferla M.P., Brewster J.L., Hall K.R., Evans G.B., Patrick W.M. // Mol. Microbiol. 2017. V. 105. P. 508–524.
- Krishnamoorthy K., Begley T.P. // J. Am. Chem. Soc. 2011. V.133. P. 379–386.
- Brzywczy J., Yamagata S., Paszewski A. // Acta Biochim. Pol. 1993. V. 40. P. 421–428.
- Bolten C.J., Schröder H., Dickschat J., Wittmann C.J. // Microbiol. Biotechnol. 2010. V. 20. P. 1196–1203.
- Ma Y., Biava H., Contestabile R., Budisa N., di Salvo M.L. // Molecules. 2014. V. 19. P. 1004–1022.
- Dauplais M., Bierla K., Maizeray C., Lestini R., Lobinski R., Pierre Plateau P. et al. // Int. J. Mol. Sci. 2021. V. 22: 2241. https://doi.org/10.3390/ijms22052241.
- Iwama T., Hosokawa H., Lin W., Shimizu H., Kawai K., Yamagata S. // Biosci. Biotechnol. Biochem. 2004. V. 68. P. 1357–1361.
- Yamagata S. // J. Biochem. 1971. V. 70. P. 1035–1045.
- Kulikova V.V., Anufrieva N.V., Kotlov M.I., Morozova E.A., Koval V.S., Belyi Y.F. et al. // Protein Expr. Purif. 2021. V. 180. P. 105810.
- Aitken S.M., Kirsch J.F. // Arch. Biochem. Biophys. 2005. V. 433. P. 166–175.
- Brzovic P., Holbrook E.L., Greene R.C., Dunn M. // Biochemistry. 1990. V. 29. P. 442–451.
- Kerr D.S. // J. Biol. Chem. 1971. V. 246. P. 95–102.
- Hwang B.J., Park S.D, Kim Y., Kim P., Lee H.S. // J. Microbiol. Biotechnol. 2007. V. 17. P. 1010–1017.
- Messerschmidt A., Worbs M., Steegborn C., Wahl M. C., Huber R., Laber B., Clausen T. // Biol. Chem. 2003. V. 384. P. 373–386.
- Aitken S.M., Lodha P.H., Morneau, D.J.K. // Biochim. Biophys. Acta. 2011. V. 814. P. 1511–1517.
- Lodha P.H., Jaworski A.F., Aitken S.M. // Protein Sci. 2010. V. 19. P. 383–391.
- Куликова В.В., Ревтович C.В., Лыфенко А.Д., Морозова Е.А., Коваль В.С., Бажулина Н.П. и др. // Биохимия. 2023. T. 88. C. 737–747.
- Clausen T., Huber R., Laber B., Pohlenz H.-D., Messerschmidt A. // J. Mol. Biol. 1996. V. 262. P. 202–224.
- Clausen T., Huber R., Messerschmidt A., Pohlenz H.D., Laber B. // Biochemistry. 1997. V. 36. P. 12633–12643.
- Clausen T., Huber R., Prade L., Wahl M.C., Messerschmidt A. // EMBO J. 1998. V. 23. P. 6827–6838.
- Steegborn C., Messerschmidt A., Laber B., Streber W., Huber R., Clausen T. // J. Mol. Biol. 1999. V. 290. P. 983–996.
- Breitinger U., Clausen T., Ehlert S., Huber R., Laber B., Schmidt F. et al. // Plant Physiol. 2001. V. 126. P. 631–642.
- Tran T.., Krishnamoorthy K., Begley T.P., Ealick S.E. // ActaCryst. 2011. V. D67. P. 831–838.
- Baugh L., Phan I., Begley D.W., Clifton M.C., Armour B. et al. // Tuberculosis (Edinb). 2015. V. 95. P. 142–148.
- Wahl M.C., Huber R., Prade L., Marinkovic S., Messerschmidt A., Clausen T. // FEBS Lett. 1997. V. 414. P. 492–496.
- Ревтович С.В., Морозова Е.А., Ануфриева Н.В., Котлов М.И., Белый Ю.Ф., Демидкина Т.В. // Докл. АН. 2012. Т. 445. № 2. С. 214–220.
- Ануфриева Н.В., Морозова Е.А., Ревтович С.В., Бажулина Н.П., Тимофеев В.П., Ткачев Я.В. и др. // Acta Naturae. 2022. T. 14. C. 4–15.
- Ngo H.-P.-T., Kim J.-K., Kim S.-H., Pham T.-V., Tran T.-H., Nguyen D.-D., Kim J.-G., Chung S., Ahn Y.-J., Kang L.-W. // Acta Crystallogr. Sect. F. 2012. V. 68. P. 1515–1517.
- Mondal S., Das Y.B., Chatterjee S.P. // Folia Microbiol (Praha). 1996. V. 41. P. 465–472.
- Hacham Y., Gophna, U., Amir, R. // Mol. Biol. Evol. 2003. V. 20. P. 1513–1520.
- Gophna U., Bapteste E., Doolittle W.F., Biran D., Ron E.Z. // Gene. 2005. V. 1. P. 48–57.
- Jankowski J., Ognik K., Konieczka P., Dariusz Mikulski D. // Poult. Sci. 2020. V. 99. P. 4730–4740.
- Konieczka P., Tykałowski B., Ognik K., Kinsner M., Szkopek D., Wójcik et al. // Vet. Res. 2022. V. 26 P. 59. https://doi.org/10.1186/s13567-022-01080-7.
- Navik U., Sheth V.G., Khurana A., Jawalekar S.S., Allawadhi P., Gaddam R.R., Bhatti J.S., Tikoo K. // Ageing Res. Rev. 2021. V. 72. P. 101500.
- Li Y., Cong H., Liu B., Song J., Sun X., Zhang J., Yang Q. // Antonie Van Leeuwenhoek. 2016. V. 109. P. 1185–1197.
- Kumar D., Gomes J. // Biotechnol Adv. 2005. V. 23. P. 41–61.
- Hashimoto S.-I. // Adv. Biochem. Eng. Biotechnol. 2017. V. 159. P. 15–34.
- Eliot A. C., Kirsch J. F. // Annu. Rev. Biochem. 2004. V. 73. P. 383–415.
- Paiardini A., Contestabile R., Buckle A.M., Cellini B. // Biomed. Res. Int. 2014. Article ID856076. https://doi.org/10.1155/2014/856076.
- Omura H., Ikemoto M., Kobayashi M., Shimizu S., Yoshida T., Nagasawa T. // J. Biosci. Bioeng. 2003. V. 96. P. 53–58.
- Di Salvo M.L., Fesko K., Phillips R.S., Contestabile R. // Front. Bioeng. Biotechnol. 2020. V. 8. Article ID52.https://doi.org/10.3389/fbioe.2020.00052.
- Ravikumar Y., Nadarajan S.P., Yoo T.H., Lee C.-S., Yun H. // Biotechnol. J. 2015. V. 10. P. 1862–1876.
- Ковалева Г.Ю., Гельфанд М.С. // Молекулярная биология. 2007. Т. 41. № 1. C. 139–150.
- Park S.D., Lee J.Y., Sim S.Y., Kim Y., Lee H.S. // Metab. Eng. 2007. V. 9. P. 327–336.
- Han G., Hu X., Qin T., Li Y., Wang X. // Enzyme Microb. Technol. 2016. V. 83. P. 14–21.
- Qin T., Hu X., Hu J., Wang X. // Biotechnol. Appl. Biochem. 2015. V. 62. P. 563–573.
- Gruzdev N., Hacham Y., Haviv H., Stern I., Gabay M., Bloch I. et al. // Microbial Cell Factories. 2023. V. 22:151 https://doi.org/10.1186/s12934-023-02150-x
- Wang H., Li Y., Che Y., Yang D., Wang Q., Yang H. et al. // J. Agric. Food Chem. 2021. V. 69. P. 7932–7937.
- Ким С.Й., Син Й.Ю., Сео Ч.И., Сон С.К., Хео И.К., Ли Х.Д., Ким Д.Е., Ким Х.А., Бае Д.Й., На К.Х. Патент РФ 2011. № 2 573 928 C2.
Дополнительные файлы










