Влияние штаммов Bacillus subtilis в сочетании с салицилатом хитозана на активность пероксидазы и каталазы в листьях пшеницы при инфицировании возбудителем темно-бурой пятнистости B. sorokiniana
- Авторы: Новикова И.И.1, Попова Э.В.1, Коваленко Н.М.1, Краснобаева И.Л.1
-
Учреждения:
- Всероссийский научно-исследовательский институт защиты растений
- Выпуск: Том 60, № 2 (2024)
- Страницы: 193-204
- Раздел: Статьи
- URL: https://ogarev-online.ru/0555-1099/article/view/261455
- DOI: https://doi.org/10.31857/S0555109924020093
- EDN: https://elibrary.ru/FZVMOE
- ID: 261455
Цитировать
Полный текст
Аннотация
Изучено влияние штаммов Bacillus subtilis ВКМ В‑2604D и ВКМ В‑2605D, составляющих основу биопрепарата Витаплан, и их сочетаний с салицилатом хитозана на ферменты антиоксидантной защиты в процессе формирования устойчивости растений пшеницы, инфицированной возбудителем темнобурой пятнистости Bipolaris sorokiniana. В растениях пшеницы, обработанных штаммами B. subtilis и их сочетаниями с салицилатом хитозана, при последующем заражении происходила активация каталазы и пероксидазы, регулирующих интенсивность окислительного стресса, индуцированного внедрением патогена. При этом также происходило включение защитных реакций, ведущих к развитию индуцированной устойчивости в растениях пшеницы к темнобурой пятнистости, что проявлялось в снижении развития болезни на 25–45% по отношению к зараженному контролю в обработанных растениях. Полученные результаты свидетельствовали о перспективности сочетания активных штаммов микроорганизмовантагонистов возбудителей болезней растений и салицилата хитозана для повышения биологической эффективности и расширения спектра действия разрабатываемых рецептурных форм биопрепаратов.
Полный текст
Производство зерновых культур — главная отрасль сельского хозяйства России, играющая важнейшую роль в обеспечении продовольственной безопасности страны. При этом повышение урожайности зерновых культур — основная проблема современного земледелия, которая во многом определяется фитосанитарным состоянием посевов [1]. Современная технология возделывания зерновых культур предусматривает проведение комплекса мероприятий по защите от болезней разной этиологии, в частности химическое протравливание семян и обработка посевов фунгицидами в течение вегетации. Однако применение химических пестицидов не всегда экологически безопасно и может приводить к формированию устойчивых популяций фитопатогенных видов — возбудителей болезней растений. На современном этапе необходимо шире использовать альтернативные экологически малоопасные средства защиты растений. Один из факторов, существенно улучшающих фитосанитарное состояние посевов зерновых культур — использование полифункциональных биопрепаратов на основе живых культур микроорганизмов и комплексов их биологически активных веществ ростостимулирующего и защитного действия [2].
В настоящее время как в России, так и за рубежом наиболее широко применяют биопрепараты на основе штаммов Bacillus subtilis Cohn. [2–4]. Природные особенности штаммов B. subtilis, таких как: широкое биоразнообразие в пределах вида, способность к устойчивому росту на различных субстратах, симбиотические свойства, высокая антагонистическая активность, продукция целого ряда гидролитических ферментов и антибиотиков разных химических классов, устойчивость к неблагоприятным факторам среды и экологическая пластичность, обусловило их перспективность для получения новых биопрепаратов для защиты растений от болезней.
Биологическая активность таких биопрепаратов обусловлена способностью синтезировать биологически активные вещества, различающиеся по химической природе и механизму действия [2, 5, 6]. Активные вещества бацилл могут проявлять антивирусные, антибактериальные, антифунгальные свойства и элиситорную активность. Они обеспечивают как прямой антагонизм по отношению фитопатогенов, так и индукцию системной устойчивости растений [2, 7–12].
Во Всероссийском институте защиты растений (ВИЗР, Россия) разработан целый ряд полифункциональных биопрепаратов: Алирин-Б, Гамаир, Витаплан на основе штаммов бацилл этой группы, которые обладают по сравнению с химическими средствами защиты целым рядом преимуществ: отсутствием формирования резистентности у фитопатогенных видов, безопасностью для полезной энтомофауны, низкой токсичностью в отношении теплокровных и человека, а также способностью длительно контролировать численность фитопатогенов после интродукции в агробиоценоз.
Эффективность разработанных ВИЗР биопрепаратов в отношении распространенности и развития основных вредоносных заболеваний сельскохозяйственных культур достигает 60–90%, что обеспечивает повышение продуктивности на 20–25% и улучшение качества растениеводческой продукции [13]. С перспективами и проблемами применения биопрепаратов на основе штаммов B. subtilis в сельском хозяйстве для борьбы с болезнями растений можно ознакомиться в недавно опубликованных обзорах [2, 14, 11].
В настоящее время усилия многих исследователей направлены на разработку методов повышения биологической эффективности биопрепаратов и обеспечения стабильного защитного эффекта. Для достижения этой цели применяется подход, позволяющий увеличивать способность штаммов-продуцентов запускать каскад защитных реакций и повышать системную устойчивость растений путем включения в состав препаратов природных или синтетических активаторов болезнеустойчивости. Для реализации этого направления в ВИЗР разработан ряд препаративных форм на основе сочетания штаммов микроорганизмов — антагонистов возбудителей болезней и активаторов болезнеустойчивости растений — хитозана и его производных. Высокий защитный эффект таких комплексных биопрепаратов обусловлен сочетанием антагонистических свойств штаммов микроорганизмов и способности хитозана совместно с биологически активными веществами активизировать механизмы естественной устойчивости растений к патогенам [13, 15–17], поскольку хитозан и хитоолигосахариды — эффективные элиситоры индуцированной устойчивости в растениях [18, 19].
В России широко известен разработанный в ВИЗР биопрепарат Витаплан, СП на основе отселектированных высокоактивных штаммов B. subtilis ВКМ В‑2604D и ВКМ В‑2605D для защиты сельскохозяйственных культур от грибных и бактериальных болезней [2]. В лаборатории микробиологической защиты разработаны образцы препаратов на основе сочетания этих штаммов и салицилата хитозана. В полевых условиях в течение ряда лет была показана их высокая эффективность в защите яровой мягкой пшеницы от корневой гнили и листовых инфекций [17, 20]. Например, наибольшее снижение интенсивности развития желтой ржавчины пшеницы по сравнению с контролем (на 26.4–40.1%) было зарегистрировано в вариантах опыта, в которых сочетали штаммы бацилл и 0.1%-ный салицилат хитозана [17, 20] (рис. 1).
Рис. 1. Интенсивность развития (%) желтой ржавчины по сравнению с контролем (1) при применении КЖ штаммов B. subtilis ВКМ В 2604D и ВКМ В 2605D (2), Витаплана СП (3), 0.1 СХ (4), КЖ штаммов B. subtilis ВКМ В 2604D и ВКМ В 2605D + 0.1 СХ (5) и композиции КЖ штаммов B. subtilis ВКМ В 2604D и ВКМ В 2605D + 0.1 СХ (6) (2020 г.).
Бациллы способны индуцировать системную устойчивость благодаря наличию у них бактериальных детерминантов (microbe-associated molecular patterns, MAMPs), таких как флагеллин, липополисахариды (ЛПС) и другие соединения, ассоциированные с клеточной стенкой B. subtilis [21–23], а также летучие органические соединения [24, 25]. Растение распознает их благодаря своей эффективной иммунной системе, включающей белковые рецепторы (receptor recognition patterns, PRR). PRR-опосредованное микробное взаимодействие запускает различные защитные реакции, в том числе образование активных форм кислорода, фосфорилирование белков, запуск базовых механизмов фитоиммунитета, которые приводят к развитию системной устойчивости [26–28], включая активацию антиоксидантной защитной системы [29, 30].
В последние годы получила распространение гипотеза о том, что эффективное функционирование антиоксидантной защитной системы — основа адаптации растений к биотическим стрессам [31]. Повышение активности ключевых ферментов этой системы — каталазы и пероксидазы обеспечивает болезнеустойчивость растений к широкому кругу фитопатогенов. Эти ферменты играют определяющую роль в обезвреживании активных форм кислорода, являющихся неотъемлемой частью биотического стресса [32].
В ряде работ установлено, что бактерии-антагонисты способны повышать активность антиоксидантных ферментов, снижающих токсическое действие АФК, и индуцировать устойчивость к болезням у инфицированных растений [33, 34]. Так, сообщалось об увеличении синтеза ферментов антиоксидантной защиты: пероксидазы (ПО), полифенолоксидазы (ПФО), фенилаланин-аммиак-лиазы (ФАЛ) и супероксиддисмутазы (СОД), что приводило к развитию индуцированной системной устойчивости (ISR) против ранней фитофторозной гнили у рассады томата [35]. Показано, что штамм Bacillus sp. повышал активность СОД, ПО, ПФО и ФАЛ в инфицированном рисе, тем самым снижая индуцированное Pyricularia oryzae окислительное повреждение и подавляя заболеваемость пирикуляриозом [36]. Антагонист Bacillus sp. подавлял антракноз чили за счет активации защитных ферментов и накопления фенольных соединений [37]. Аналогично штамм Bacillus sp. повышал устойчивость сои к Rhizoctonia solani и Fusarium oxysporum, индуцируя синтез ферментов, связанных с антиоксидантной защитой (ФАЛ, ПО, ПФО) [38]. Показано, что штамм B. subtilis был способен снижать заболеваемость фузариозом, повышая активность антиоксидантных ферментов (ПО, ПФО, ФАЛ) в растениях огурца [39]. Индукция устойчивости штаммом Bacillus sp. к Plasmopara halstedii сопровождалась накоплением в подсолнечнике защитных ферментов (ФАЛ, ПО, ПФО) [40].
Таким образом, многочисленными исследованиями показана важность изучения особенностей функционирования антиоксидантных систем для понимания механизмов формирования защитного ответа растений к биотическим стрессам. В этой связи очевидна актуальность изучения роли антиоксидантных ферментов в индукции системной устойчивости растений пшеницы в ответ на обработку штаммами Bacillus spр. и их сочетаниями с салицилатом хитозана при заражении возбудителем темно-бурой пятнистости. Эти исследования представляют как теоретический, так и практический интерес.
Среди опасных возбудителей, поражающих пшеницу, можно назвать Bipolaris sorokiniana (Sacc. em Sorok) (Shoemaker, 1959) — телеоморфа Cochliobolus sativus (Ito & Kuribayashi) Drechsl ex Dastur — распространенный во всем мире фитопатогенный гриб, вызывающий заболевание пшеницы и других зерновых. Заболевание, вызываемое этим микромицетом, имеет несколько названий, например бурая пятнистость, обыкновенная корневая гниль и черная пятнистость зерна [41].
Цель работы — изучение действия штаммов B. subtilis ВКМ В‑2604D и ВКМ В‑2605D и их сочетаний с салицилатом хитозана (СХ) на ферменты антиоксидантной защиты при формировании устойчивости растений пшеницы к темно-бурой пятнистости.
Методика
В работе использовали яровую пшеницу Triticum aestivum L. сорта Саратовская 29, которую заражали возбудителем темно-бурой пятнистости
B. sorokiniana (Sacc.) Shoemaker. Штамм фитопатогенного микромицета был получен из Государственной коллекции микроорганизмов, патогенных для растений и их вредителей Центра коллективного пользования научным оборудованием “Инновационные технологии защиты растений” ФГБНУ ВИЗР.
Глубинное культивирование штаммов B. subtilis ВКМ В‑2604D и ВКМ В‑2605D проводили при 28C в течение 72 ч на питательной среде следующего состава (г/л): кукурузный экстракт — 30, меласса — 15, pH 7.2 в колбах объемом 750 мл со 100 мл среды на круговой качалке при 220 об./мин. Титр жизнеспособных клеток в полученной культуральной жидкости (КЖ ) составлял 1010 КОЕ/мл.
Схема опыта предусматривала следующие варианты.
- Контроль (вода).
- КЖ штаммов B. subtilis ВКМ В‑2604D и ВКМ В‑2605D в соотношении 1 : 1.
- КЖ штаммов B. subtilis ВКМ В‑2604D и ВКМ В‑2605D + 0.1% СХ. При получении образца в питательную среду для глубинного культивирования добавляли 0.1% СХ.
- Композиция КЖ штаммов B. subtilis ВКМ В‑2604D и ВКМ В‑2605D + 0.1% СХ. К 72-часовой КЖ (титр 109 КОЕ/мл) добавляли СХ до концентрации 0.1%.
- СХ — 0.1%.
СХ получали из хитозана с молекулярной массой 60 кДа со степенью деацетилирования 85% (ООО “Биопрогресс”, Россия) согласно методу [42].
Титр жизнеспособных клеток в образцах определяли стандартным методом десятикратных серийных разведений с высевом на сухой питательный агар для культивирования микроорганизмов (СПА, НПО “Микроген”) и последующим подсчетом числа выросших колоний (ОФС.1.7.2.0008.15).
Образцы на основе сочетания штаммов B. subtilis ВКМ В‑2604D и ВКМ В‑2605D и СХ были включены в работу на основании их высокой биологической эффективности в отношении комплекса болезней разной этиологии в полевых опытах на яровой мягкой пшенице, проведенных ранее (данные не опубликованы). Например, наибольшее снижение интенсивности развития желтой ржавчины (на 40.1%) было зарегистрировано в варианте опыта с сочетанием КЖ + 0.1% СХ (композиция). В вариантах опыта 0.1% салицилат хитозана и КЖ + 0.1% СХ (глубинное культивирование) развитие болезни снижалось на 26.4% (t = 2.6) и 22.5% (t = 2.1) (рис. 1).
Опыты по оценке иммуномодулирующей активности исследуемых образцов проводили методом отделенных листьев. Семисуточные проростки мягкой пшеницы восприимчивого сорта Саратовская 29 опрыскивали растворами лабораторных образцов (из расчета 30 мл на 100 растений), согласно схеме опыта, за 24 ч до инокуляции патогеном — листовой формой гемибиотрофа B. sorokiniana (титр 4 × 103 спор/мл). Концентрация клеток (титр) штаммов B. subtilis ВКМ В‑2604D и ВКМ В‑2605D в образцах составляла 109 КОЕ/мл. На следующий день готовили газоны, нарезая и укладывая листья плотным слоем в кювете (30 × 30 см) на стеклянной пластине, покрытой фильтровальной бумагой. Затем кювету опрыскивали взвесью спор по 10 мл и оставляли в темноте на сутки. Время заражения считали началом опыта. На следующий день аккуратно добавляли раствор бензимидазола (0.004%), который поддерживает метаболизм в отрезках листьев пшеницы на уровне, при котором тип реакции к возбудителю соответствует таковому для интактных растений. Пораженность листьев оценивали на 4 сут после заражения B. sorokiniana в % площади листа. В контроле растения обрабатывали водой.
Влияние штаммов B. subtilis ВКМ В‑2604D и ВКМ В‑2605D и их сочетаний с СХ на активность ферментов оценивали при анализе проб листьев пшеницы, отобранных до заражения и на 1, 2, 3 и 4-е сутки после заражения B. sorokiniana. Варианты включали растения без заражения и обработок (контроль), растения, обработанные за 24 ч до заражения B. sorokiniana, и растения, обработанные штаммами B. subtilis ВКМ В‑2604D и ВКМ В‑2605D и их сочетаниями с СХ и 0.1% СХ без заражения.
Для определения активности ферментов навеску из 20 листьев растирали в 0.05 М фосфатном буфере (pH 6.2) в соотношении 1 : 5, экстрагировали 30 мин при 4C, затем центрифугировали 10 мин при 8000 g на микроцентрифуге Eppendorf 5415R (“Eppendorf”, США).
Активность каталазы (КАТ) в листьях пшеницы определяли по методу Баха [43] на 1, 2, 3 и 4-е сутки после заражения B. sorokiniana, активность ПО — колориметрически по Бояркину [44].
Все опыты выполняли в 3 биологических и 3 химических повторностях.
Для обработки данных использовали дисперсионный анализ программы Statistica 6.0 (“StatSoft, Inc.”, США) и Excel 2016. При расчетах применили методы параметрической статистки на основе средних М и их стандартных ошибок ±SEM (95% доверительных интервалов, наименьшей существенной разности НСР при p < 0.05).
Результаты и их обсуждение
Результаты оценки влияния штаммов B. subtilis ВКМ В‑2604D и ВКМ В‑2605D, СХ и их сочетаний на устойчивость растений пшеницы к инфицированию B. sorokiniana представлены в табл. 1.
Таблица 1. Влияние предварительной обработки листьев штаммами B. subtilis ВКМ В‑2604D и ВКМ В‑2605D и их сочетаний с салицилатом хитозана (СХ) на пораженность листьев пшеницы B.sorokiniana
Вариант опыта | Титр клеток | Пораженность листьев пшеницы, % (НСР05 = 4.5) |
Контроль (вода) | – | 60 |
КЖ штаммов B. subtilis ВКМ В‑2604D и ВКМ В‑2605D | 109 | 40 |
КЖ штаммов B. subtilis ВКМ В‑2604D и ВКМ В‑2605D + 0.1% СХa | 109 | 20 |
Композиция: КЖ штаммов B. subtilis ВКМ В‑2604D | 109 | 15 |
СХ 0.1% | – | 5 |
Примечание.a СХ добавляли в питательную среду для культивирования микроорганизмов; b СХ вводили в состав после окончания культивирования штаммов, при этом к 72-часовой КЖ (титр 109 КОЕ/мл) добавляли СХ до концентрации 0.1%.
Анализ развития темно-бурой пятнистости на листьях пшеницы показал, что в контрольных зараженных растениях признаки болезни наблюдались в виде бурых пятен, занимающих 60% площади листа (табл. 1). Предварительное опрыскивание растений КЖ штаммов B. subtilis ВКМ В‑2604D и ВКМ В‑2605D с последующим заражением возбудителем темно-бурой пятнистости снижало площадь поражения листьев до 40%.
Включение в среду для культивирования штаммов-продуцентов СХ в концентрации 0.1% сокращало пораженность листьев в 3 раза, что свидетельствовало о более высокой иммуномодулирующей активности этого образца. Добавление СХ к КЖ штаммов в концентрации 0.1% также положительно повлияло на индуцирующую способность антагониста, повышая его биологическую активность в 4 раза (площадь поражения листьев составила 15%) (табл. 1). Салицилат хитозана показал себя эффективным индуктором болезнеустойчивости, снизив пораженность растений более чем в 10 раз (5%).
Следует отметить, что при глубинной ферментации штаммов B. subtilis в среде с СХ происходило его расщепление хитиназами бактерий и утилизация в качестве питательного субстрата с образованием олигомеров хитозана [32], а также выход в ферментативную среду салициловой кислоты (СК), связанной с хитозаном ионной связью, вследствие диссоциации соли. Наличие в КЖ хитоолигосахаридов, которые, как известно, являются эффективными элиситорами индуцированной устойчивости в растениях [19, 45] и СК как сигнальной молекулы, включающей каскад защитных реакций в растениях, можно объяснить усиление индуцирующей активности штаммов в этом варианте опыта. Поскольку сам СХ обладает хорошей иммуномодулирующей активностью, то включение СХ в культуральную жидкость штаммов приводило к повышению индуцирующей активности композиции B. subtilis ВКМ В‑2604D и ВКМ В‑2605D+0.1% СХ.
Механизм индуцирующего действия хитоолигосахаридов включает активацию генов защитных белков [46], усиление генерации активных форм кислорода, прежде всего Н2О2, которая, в свою очередь, может также выполнять сигнальную функцию, активируя гены белков через редокс-контроль транскрипционных факторов или с помощью взаимодействия с другими сигнальными компонентами [27].
Одной из самых ранних защитных реакций, активируемых в тканях растений в ответ на атаку патогенов, является окислительный взрыв, характеризующийся быстрым и кратковременным высвобождением активных форм кислорода (АФК), представленных супероксидным анион-радикалом, гидроксильным радикалом, пероксидом водорода (Н2О2), которые включают цепь последующих защитных реакций [47, 48]. Н2О2 — наиболее химически стабильная АФК [49]. Показано, что пероксид водорода оказывает прямое противомикробное действие и участвует в перекрестном связывании клеточных стенок, а также в передаче сигналов, индукции экспрессии генов, гибели гиперчувствительных клеток и индуцированной системной приобретенной устойчивости [50]. Хотя АФК играют важную роль в устойчивости растений, их повышенный синтез приводит к значительному повреждению растительных клеток [51–53].
Процесс регуляции количества АФК в клетках инфицированных патогеном растений принадлежит антиоксидантным ферментам, среди них особое значение имеют ПО и КАТ [54–56].
С целью оценки участия антиоксидантных ферментов в формировании индуцированной устойчивости пшеницы к темно-бурой пятнистости предварительно было изучено действие штаммов бацилл и их сочетаний с СХ на активность антиоксидантных ферментов (КАТ и ПО) в незараженных проростках пшеницы.
Согласно полученным результатам, бактериальные штаммы оказывали значительное влияние на активность ферментов (табл. 2, 3)
Таблица 2. Влияние инокуляции штаммами B. subtilis ВКМ В‑2604D и ВКМ В‑2605D и сочетаниями с СХ на активность КАТ в листьях пшеницы
Вариант опыта | Активность КАТ, мкМоль Н2О2/мин/г сырой массы листьев | |||||
до обработки | после обработки | |||||
1 сут | 2 сут | 3 сут | 4 сут | 5 сут | ||
Контроль (вода) | 170 | 170 | 175 | 170 | 170 | 185 |
B. subtilis | 170 | 210 | 200 | 185 | 180 | 190 |
B. subtilis ВКМ В‑2604D + ВКМ В‑2605D + 0.1% СХ | 170 | 230 | 225 | 220 | 230 | 215 |
Композиция: B. subtilis | 170 | 200 | 205 | 210 | 215 | 210 |
СХ 0.1% | 170 | 160 | 190 | 180 | 190 | 200 |
НСР 0.05 | 8.5 | 9.7 | 9.9 | 9.7 | 9.8 | 10.0 |
Как видно из табл. 2, активность КАТ возрастала через 1 сут после обработки растений пшеницы штаммами B. subtilis и их комбинациями с СХ по отношению к контрольным необработанным растениям. Повышенная ативность КАТ в этих вариантах сохранялась в течение всего опыта. Наиболее высокий уровень активности КАТ отмечен у растений, обработанных комбинациями штаммов B. subtilis с СХ. В отличие от штаммов бактерий, СХ снижал активность КАТ на 1 сутки, однако в дальнейшем наблюдалось постепенное повышение активности этого фермента.
Изменение активности ПО в растениях пшеницы в различных вариантах опыта представлены в табл. 3. Выявлено значительное увеличение активности ПО, начиная с 3 сут после инокуляции штаммами B. subtilis и их сочетаниями с СХ. В обработанных растениях пшеницы наблюдался рост активности ПО в течение всего опыта с максимумом на 5 сут после обработки по отношению к необработанному контролю.
Таблица 3. Влияние инокуляции штаммами B. subtilis ВКМ В‑2604D и ВКМ В‑2605D и сочетаниями с СХ на активность ПО в листьях пшеницы
Вариант опыта | Активность ПО, усл. ед./г сырой массы листьев | |||||
до обработки | сутки после обработки | |||||
0 | 1 | 2 | 3 | 4 | 5 | |
Контроль (вода) | 12 | 11 | 12 | 13 | 12 | 13 |
КЖ штаммов B. subtilis ВКМ В‑2604D + ВКМ В‑2605D | 11 | 14 | 14 | 16 | 21 | 22 |
КЖ штаммов B. subtilis ВКМ В‑2604D + ВКМ В‑2605D + 0.1% СХ | 12 | 12 | 16 | 25 | 30 | 34 |
Композиция КЖ штаммов B. subtilis ВКМ В‑2604D + ВКМ В‑2605D + 0.1% СХ | 11 | 11 | 13 | 20 | 24 | 29 |
СХ 0.1% | 10 | 9 | 12 | 15 | 18 | 20 |
НСР 0.05 | 1.3 | 1.4 | 1.2 | 1.4 | 1.5 | 1.5 |
Наиболее высокий уровень активности фермента был отмечен у растений, обработанных B. subtilis ВКМ В‑2604D + ВКМ В‑2605D + 0.1% СХ, который превышал активность ПО в контрольных растениях в 2.5 раза. Следует отметить, что, в отличие от остальных вариантов опыта, снижение активности ПО под действием СХ в 1 сут после обработки сменялось положительным влиянием этого полимера на активность фермента.
Таким образом, экспериментально установлено стимулирующее влияние штаммов B. subtilis и их сочетаний с СХ на активность КАТ и ПО, что свидетельствовало об активации антиоксидантной системы у растений пшеницы в ответ на обработку антагонистами.
Эти результаты согласуются с работами ряда авторов, в которых сообщалось о способности бактерий-антагонистов усиливать активность антиоксидантных ферментов в растениях томата и сои [57, 58].
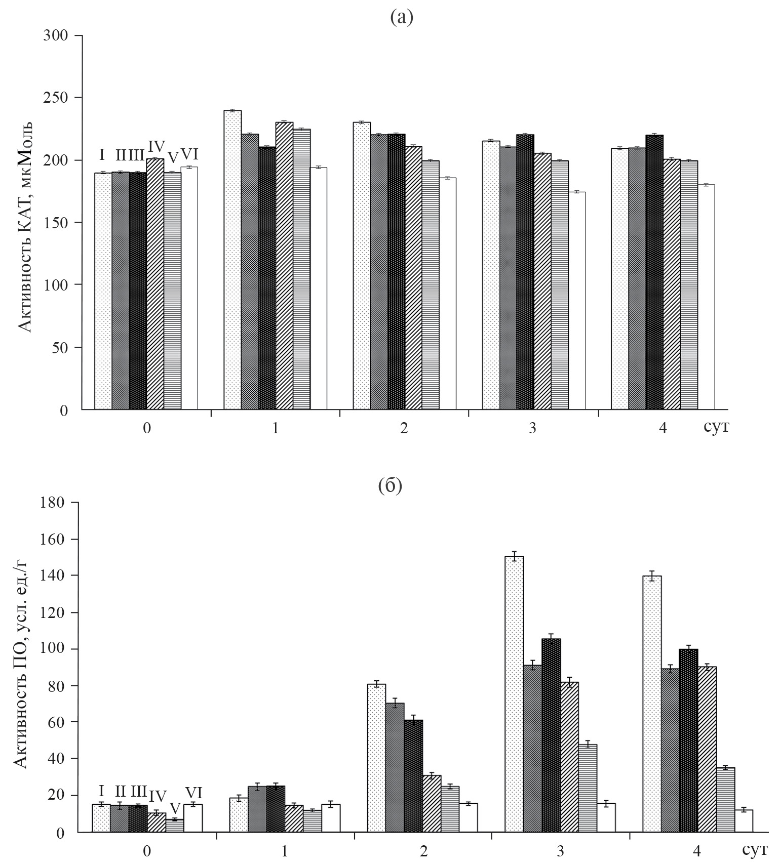
Результаты изучения влияния штаммов B. subtilis и их комбинациями с СХ на активность антиоксидантных ферментов (КАТ и ПО) в зараженных растениях пшеницы представлены на рис. 2.
Рис. 2. Влияние заражения B. sorokiniana листьев пшеницы, обработанных штаммами B. subtilis и их сочетаниями с СХ, на активность КАТ (мкмоль Н2О2/мин/г сырой массы листьев) (а) и ПО (усл. ед./г сырой массы листьев) (б): I — контроль за-раженный; II — КЖ штаммов B. subtilis ВКМ В 2604D + ВКМ В 2605D; III — КЖ штаммов B. subtilis ВКМ В 2604D + ВКМ В 2605D + 0.1% СХ; IV — композиция: КЖ штаммов B. subtilis ВКМ В 2604D + ВКМ В 2605D + 0.1% СХ; V — 0.1% СХ; VI — незараженный контроль.
Анализ динамики изменения активности указанных ферментов в зараженных проростках пшеницы показал, что процесс заражения растений пшеницы возбудителем темно-бурой пятнистости сопровождался увеличением их активности относительно контрольных незараженных растений на всем протяжении опыта. Ко времени наибольшего развития болезни (4 сут после заражения), когда вся ткань листа была некротизирована, активность ферментов постепенно снижалась (рис. 2).
Полученные результаты экспериментов выявили временные различия в повышении активности антиоксидантных ферментов в процессе развития болезни (рис. 2). На 1 сутки в зараженных патогеном листьях пшеницы наблюдался резкий подъем активности КАТ с постепенным понижением ее активности на 4 сутки. Максимальное увеличение активности ПО наблюдалось на 3 сутки после заражения, когда проявлялись четкие признаки заболевания в виде коричневых пятен. Как известно, начальный этап инфицирования растений сопровождается активацией системы генерации АФК с накоплением пероксида водорода. Пероксид водорода, будучи субстратом КАТ, в свою очередь, индуцирует рост активности этого фермента, что способствует ее увеличению в 1 сутки после заражения. Активность ПО постепенно возрастала в зараженных проростках, достигнув на 3 сутки после заражения 10-кратного превышения по сравнению с незараженным контролем.
Дальнейшее развитие болезни сопровождалось повышенным уровнем активности ПО, которая, наряду с КАТ, включалась в контроль количества образующегося пероксида водорода.
Исследования показали, что начальный период (1–3 сут после заражения растений пшеницы) сопровождался повышением активности КАТ и ПО, что свидетельствовало о вовлечении антиоксидантных ферментов в инфекционный процесс. Постепенное снижение активности антиоксидантных ферментов по мере развития болезни (4 сут) и переход патогена из биотрофной в некротрофную фазу приводило к возрастанию окислительных процессов, которые по интенсивности превосходили уровень активности антиоксидантной системы растения. В результате у растений инициировалось интенсивное некрозообразование, что создавало благоприятную среду обитания для патогена. Развитие болезни в этот период визуально проявлялось в виде коричневых пятен на листьях. Следствием этого становился рост восприимчивости растений к темно-бурой пятнистости, что соответствовало данным литературы [59].
Листья, обработанные штаммами бацилл и их сочетаниями с СХ и инокулированные патогеном, продемонстрировали также повышенную активность ферментов, но уровень их активности был ниже, чем в зараженном контроле. Так, активность КАТ в обработанных штаммами бацилл и их сочетаниями с СХ в зараженных проростках возрастала на 7–18% в 1-е сутки после заражения по сравнению с незараженным контролем, но была ниже, чем в зараженных контрольных растениях (рис. 2) в зависимости от варианта опыта. Отмечено, что на 3 сутки опыта активность КАТ в растениях, обработанных штаммами бацилл и их сочетаниями с СХ и инокулированных патогеном, была выше по сравнению с зараженным контролем.
Обнаружено, что обработка только СХ снижала активность фермента на 24% в 1-е сутки у зараженных растений, причем активность КАТ в этом варианте опыта оставалась ниже зараженного контроля в течение всего опыта.
Активность ПО в обработанных и инфицированных растениях на всем протяжении опыта также росла по отношению к незараженному контролю, достигая максимума на 3-и сутки, хотя уровень активности фермента был ниже, чем у контрольных зараженных растений. Так, обработка штаммами бацилл и их сочетаниями с СХ в 5.0–6.6 раз повышала активность ПО на 3-и сутки опыта, но при этом динамика изменения активности фермента оставалась такой же, как в зараженных контрольных растениях.
В обработанных СХ и зараженных растениях активность фермента на 3-и сутки в 3 раза превысила незараженный контроль, но уровень активности фермента оставался ниже по сравнению с другими вариантами опыта.
Полученные результаты согласовывались с более ранними сообщениями [37–40], в которых была показана способность бактерий-антагонистов усиливать активность антиоксидантных ферментов в качестве защитного механизма. Так, снижение развития пирикуляриоза в растениях риса, обработанных штаммами Bacillus spp., коррелировало с резким увеличением активности антиоксидантных ферментов, связанных с механизмами защиты: СОД (в 1.7 раза), ПО (в 3.5 раза), ПФО (в 3 раза) и др. Активность ферментов достигала максимума на 4-е сутки после инокуляции Pyricularia oryzae, что свидетельствовало о запуске ISR [36]. В растениях пшеницы, обработанных продуцирующим сурфактин штаммом B. subtilis 24Д и инфицированных грибом Parastagonospora nodorum, уже через 24 ч уровень анионной пероксидазы был в 3 раза выше по сравнению с контрольными растениями [7]. По данным Омара с соавт. [60], предобработка растений пшеницы B. subtilis за 24 ч до инокуляции патогеном повышала активность антиоксидантных ферментов (КАТ, ПО и ПФО), участвующих в ответной защитной реакции путем индукции устойчивости пшеницы к бурой ржавчине.
Штамм Bacillus sp. повышал устойчивость сои к Rhizoctonia solani и Fusarium oxysporum, индуцируя синтез ферментов, связанных с антиоксидантной защитой (ФАЛ, ПО, ПФО) [38]. Как упоминалось выше, антиоксидантные ферменты регулируют в клетках растений количество активных форм кислорода (АФК) и, в частности, Н2О2, являющегося источником окислительного стресса при заражении патогенами [54].
Существенное значение в регуляции содержания Н2О2 в тканях растений имеет КАТ. Установлено, что при возрастании ее активности содержание Н2О2 уменьшается, что не позволяет развиться устойчивости, вследствие чего возрастает восприимчивость растений к патогенам. Напротив, уменьшение каталазной активности в клетках растений на начальной стадии патогенеза — необходимое условие сохранения высокого количества Н2О2, требующегося для обезвреживания фитопатогена в тканях и формирования устойчивости [8, 28, 61]. ПО вовлечена как в генерацию, так и в утилизацию Н2О2. Основная функция ПО — защита растительного организма от окислительного стресса, а также непосредственное участие в синтезе антимикробных соединений и укреплении клеточной стенки растения путем формирования лигнина, что коррелирует с устойчивостью [30] растений к болезням.
Полученные нами данные показали, что процесс заражения растений пшеницы возбудителем темно-бурой пятнистости сопровождался увеличением активности КАТ и ПО относительно контрольных незараженных растений. Выявлено, что активность КАТ и ПО, регулирующих количество Н2О2 в предварительно обработанных штаммами Bacillus spp. и в сочетании с СХ и зараженных растениях, хотя и возрастала, но была ниже, чем в контрольных зараженных растениях.
Ингибирующее действие штаммов бацилл и их сочетаний с СХ на активность КАТ обусловлено наличием в культуральной жидкости легко отщепляющейся от хитозана СК. Как известно из литературы и показано в предыдущих работах, индуцирующий эффект экзогенной СК при повышении устойчивости растений к фитопатогенам обусловлен ее способностью ингибировать каталазу — фермент, детоксицирующий пероксид водорода, что приводит к ее накоплению [42, 56, 62–64].
Экспериментально уставновлено, что активность КАТ и ПО в обработанных СХ растениях пшеницы после инокуляции патогеном на 1-е сутки понижалась, а затем возрастала до уровня, который был ниже, чем в зараженном контроле и всех других вариантах опыта. Отсюда следует, что более низкая активность КАТ и ПО в листьях растений обработанных композицией штаммов B. subtilis ВКМ В‑2604D и ВКМ В‑2605D + 0.1% CХ обусловлена ингибирующем действием содержащегося в ней СХ на ферменты.
Таким образом, в растениях пшеницы, обработанных штаммами B. subtilis и их сочетаниями с СХ при последующем заражении, происходит активация каталазы и пероксидазы, регулирующих интенсивность окислительного стресса, индуцированного внедрением патогена. Учитывая полученные данные, можно допустить, что повышение устойчивости растений к патогену реализуется через контроль активности антиоксидантных ферментов (в частности, КАТ, ПО), которые поддерживают концентрацию Н2О2 на уровне, необходимом для обезвреживания и уничтожения фитопатогена в тканях, включая активацию сшивания и лигнификации. Эти процессы укрепляют клеточную стенку и помогают сдерживать распространение патогена в растении. При этом также происходит включение защитных реакций, ведущих к развитию индуцированной устойчивости в растениях пшеницы к темно-бурой пятнистости, что проявляется в снижении развития болезни на 25–45% по отношению к зараженному контролю в обработанных растениях (табл. 1).
Это предположение подтвердили исследования Яруллиной с соавт. [65], которые показали, что обработка растений картофеля штаммом B. subtilis совместно с хитоолигосахаридами сопровождалась активацией КАТ, ПО, накоплением Н2О2 и транскриптов генов, кодирующих PR-белки, что приводило к развитию защитных реакций в растениях картофеля к возбудителю фитофтороза по пути индуцированной устойчивости. Причем в регуляцию содержания Н2О2 в растениях картофеля на ранних этапах инфекционного процесса в этом случае вовлечены и КАТ, и ПО.
Полученные результаты свидетельствовали о перспективности сочетания штаммов — антагонистов возбудителей болезней растений и СХ для повышения биологической эффективности разрабатываемых биопрепаратов.
Финансирование работы. Данная работа финансировалась за счет государственного задания в соответствии с тематическим планом ВИЗР по проекту по FGEU‑2023–0006 “Разработка эколого-генетических основ отбора штаммов микробов-антагонистов, энтомопатогенных грибов и нематод; разработка технологий получения и применения новых полифункциональных препаратов для контроля численности вредных организмов (вредители, возбудители болезней) и повышения супрессивности почвы” из средств бюджета института (ВИЗР). Никаких дополнительных грантов на проведение или руководство данным конкретным исследованием получено не было.
Соблюдение этических стандартов. В данной работе отсутствуют исследования человека или животных.
Об авторах
И. И. Новикова
Всероссийский научно-исследовательский институт защиты растений
Email: krasnobaeva08@mail.ru
Россия, 196608, Санкт-Петербург, Пушкин
Э. В. Попова
Всероссийский научно-исследовательский институт защиты растений
Email: krasnobaeva08@mail.ru
Россия, 196608, Санкт-Петербург, Пушкин
Н. М. Коваленко
Всероссийский научно-исследовательский институт защиты растений
Email: krasnobaeva08@mail.ru
Россия, 196608, Санкт-Петербург, Пушкин
И. Л. Краснобаева
Всероссийский научно-исследовательский институт защиты растений
Автор, ответственный за переписку.
Email: krasnobaeva08@mail.ru
Россия, 196608, Санкт-Петербург, Пушкин
Список литературы
- Павлюшин В. А., Лысов А. К. // Современные проблемы дистанционного зондирования Земли из космоса. 2019. Т. 16. № 3. С. 69–78. https://doi.org/10.21046/2070-7401-2019-16-3-69-78
- Павлюшин В. А., Новикова И. И., Бойкова И. В. // Сельскохозяйственная биология. 2020. Т. 55. № 3. С. 421–438. https://doi.org/10.15389/agrobiology.2020.3.421rus
- Штерншис М. В., Беляев А. А., Цветкова В. П., Шпатова Т. В., Леляк А. А., Бахвалов С. А. Биопрепараты на ос-нове бактерий рода Bacillus для управления здоровьем растений. Новосибирск: Изд-во Сибирского отделения Российской академии наук, 2016. 284 с.
- Новикова И. И., Бойкова И. В., Павлюшин В. А., Зейрук В. Н., Васильева С. В., Азизбекян Р. Р., Кузнецова Н. И. // Вестник защиты растений. 2013. № 4. С. 12–21.
- Сидорова Т. М., Асатурова А. М., Хомяк А. И. // Сельскохозяйственная биология. 2018. Т. 53. № 1. С. 29–37. https://doi.org/10.15389/agrobiology.2018.1.29rus
- Максимов И. В., Сингх Б. П., Черепанова Е. А., Бурханова Г. Ф. // Прикл. биохимия и микробиология. 2020. Т. 56. № 1. С. 19–34. https://doi.org/10.31857/S055510 9920010134
- Черепанова Е. А., Благова Д. К., Бурханова Г. Ф., Сарварова Е. С. // Экобиотех. 2019. Т. 2. № 3. С. 339–346. https://doi.org/10.31163/2618-964X 2019-2-3-339-346
- Vlot A. C., Sales J. H., Lenk M., Bauer K., Brambilla A. et al. // New Phytol. 2020. V. 229. № 3. P. 1234–1250. https://doi.org/10.1111/nph.1695.3
- Jiao X., Takishita Y., Zhou G., Smith D. L. // Front. Plant. Sci. 2021. № 12. P. 1–8. https://doi.org/10.3389/fpls.2021.634796
- Zehra A., Raytekar N. A., Meena M., Swapnil P. // Cur. Res. Microb. Sci. 2021. № 2. P. 1–14. https://doi.org/10.1016/j.crmicr.2021.100054
- Wang X. Q., Zhao D. L., Shen L. L., Jing C. L. Application and Mechanisms of Bacillus subtilis in Biological Control of Plant Disease / Ed. V. S. Meena. Springer Singapore, 2018. P. 225–250. https://doi.org/10.1007/978–981–10–8402–7–9
- Максимов И. В., Веселова С. В., Нужная Т. В., Сарварова Е. Р., Хайрулин Р. М. // Физиология растений. 2015. Т. 62. № 6. С. 763–775. https://doi.org/10.7868/s0015330315060111
- Новикова И. И. // Вестник защиты растений. 2016. Т. 83. № 3. С. 120–122.
- Chowdhury S. P., Hartmann A., Gao X. W., Borriss R. // Front Microbiol. 2015. № 6. P. 780. https://doi.org/10.3389/fmicb.2015.00780
- Павлюшин В. А., Тютерев С. Л., Новикова И. И., Попова Э. В. и др. // Доклады РАСХН. 2004. № 6. С. 17–21.
- Павлюшин В. А., Тютерев С. Л., Попова Э. В., Новикова И. И., Быкова Г. А., Домнина Н. С. // Биотехнология. 2010. № 4. С. 69–80.
- Колесников Л.Е., Новикова И. И., Сурин В. Г., Попова Э. В., Прияткин Н. С., Колесникова Ю. Р. // Прикл. биохимия и микробиология 2018. Т. 54. № 5. С. 546–552. https://doi.org/10.1134/S0555109918050082
- Yin H., Li Y., Zhang H. Y., Wang W. X., Lu H., Grevsen K. et al. // Int. J. Plant Sci. 2013. V. 174. № 4. P. 722–732. https://doi.org/org/10.1086/669721
- Deepmala K., Hemantaranjan A., Bharti S., Nishant Bhanu A. //Advances in Plants & Agriculture Research. 2014. V. 1. № 1. P. 23–30 https://doi.org/10.15406/apar.2014.01.00006
- Колесников Л. Е., Попова Э. В., Новикова И. И., Прияткин Н. С., Архипов М. В., Колесникова Ю. Р. и др. // Сельско-хозяйственная биология. 2019. Т. 54. № 5. С. 1024–1040. https://doi.org/10.15389/agrobiology.2019.5.1024rus
- Van Loon L. C. // Eur. J. Plant Pathol. 2007. V. 119. № 3. P. 243–254. https://doi.org/10.1007/s10658-007-9165-1
- De Vleesschauwer D., Höfte M. // Advances in Botanical Research. 2009. № 51. P. 223–281. https://doi.org/10.1016/S0065-2296(09)51006-3
- Veselova S. V., Nuzhnaya T. V., Maksimov I. V. In: Jasmonic Acid: Biosynthesis, Functions and Role in Plant Development / Еd. L. Morrison, N.Y.: Nova Sciense, 2015. P. 33–66.
- Ryu C. M., Farag M. A., Hu C. H., Reddé M. S., Kloepper J. W., Paré P. W. // Plant Physiology. 2004. V. 134. № 3. P. 1017–1026. https://doi.org/10.1104/pp.103.026583
- Farag M. A., Zhang H., Ryu C. M. // J. Chem. Ecol. 2013. V. 39. P. 1007‒1018. https://doi.org/10.1007/s10886-013-0317-9.
- Kavitha K., Nakkeeran S., Chandrasekar G. // Arch. Phytopathol. Plant Protect. 2012. V. 45. P. 199–219.
- Torres M. A. // Physiologia Plantarum. 2010. V. 138. № 4. P. 414–429. https://doi.org/10.1111/j.1399-3054.2009.01326.x
- Yarullina L. G., Kasimova R. I., Ibragimov R. I., Akhatova A. R., Umarov I. A., Maksimov I. V. // Appl. Biochem. Microbiol. 2016. V. 52. № 1. P. 71–78. https://doi.org/10.1134/S0003683816010154
- Choi H. W., Klessig D. F. // BMC Plant Biol. 2016. V. 16. № 1. P. 232.https://doi.org/10.1186/s12870–016–0921–2
- Максимов И. В., Абизгильдина Р. Р., Сорокань А. В., Бурханова Г. Ф. // Прикл. биохимия и микробиология. 2014. Т. 50. № 2. С. 197–202.
- Радюкина Н. Л., Михеева Л. Е., Карбышева Е. А. // Успехи современной биологии. 2019. Т. 139. № 3. С. 254–266. https://doi.org/10.1134/S0042132419030062
- Тютерев С. Л. Научные основы индуцированной устойчивости растений. СПб: Наука, 2002. 328 с.
- Radhakrishnan R., Shim K. B., Lee B. W., Hwang C. D., Pae S. B., Park C. H. et al. // J. Microbiol. Biotechnol. 2013. V. 23. № 6. P. 856–863. https://doi.org/10.4014/jmb.1209.09045
- Kang S. M, Radhakrishnan R., Lee I. J. // World J. Microbiol. Biotechnol. 2015. V. 31. № 10. P. 1517–1527. https://doi.org/10.1007/s11274-015-1896-0
- Chowdappa P., Kumar S. M., Lakshmi M. J., Mohan S. P., Upreti K. K. // Biol. Control. 2013. № 65. P. 109–117.
- Rais A., Jabeen Z., Shair F., Hafeez F. Y., Hassan M. N. // PLoS One. 2017. V. 12. № 11. P. e0187412. https://doi.org/10.1371/journal.pone.0187412
- Jayapala N., Mallikarjunaiah N., Puttaswamy H., Gavirangappa H., Ramachandrappa N. S. // J. Biol. Pest Control. 2019. № 29. P. 45.
- Jain S., Vaishnav A., Kumari S., Varma T., Tuteja N., Kumar Choudhary D. // J. Plant Growth Regul. 2017. № 36. P. 200–214.
- Fang Chen, Min Wang, Yu Zheng, Jianmei Luo, Xiurong Yang, Xuelian Wang. // World J. Microbiol. Biotechnol. 2010. V. 26. № 4. P. 675–684. https://doi.org/10.1007/s11274-009-0222-0222-0
- Nandeeshkumar P., Ramachandrakini K., Prakash H. S., Niranjana S. R., Shekar Shetty H. // J. Plant Interact. 2008. № 3. P. 255–262.
- Duveiller E., Chand R., Singh H. V., Joshi A. K. // Plant Pathology Journal. 2002. V. 18. № 6. P. 328–332. https://doi.org/10.5423/PPJ.2002.18.6.328
- Попова Э. В., Домнина Н. С., Сокорнова C. В., Коваленко Н. М., Тютерев С. Л. // Сельскохозяйственная биология. 2021. Т. 56. № 1. С. 158–170. https://doi.org/10.15389/agrobiology.2021.1.158rus
- Новиков Н. Н., Таразанова Т. В. Лабораторный практикум по биохимии растений: Учебное пособие. М.: Издатель-ство РГАУ-МСХА им. К. А. Тимирязева, 2012. 97 с.
- Ермаков А. И., Арасимович В. В., Ярош Н. П., Перуанский Ю. В., Луковникова Г. А., Иконникова М. И. Методы биохимического исследования растений. Л.: Агропромиздат, 1987. 429 с.
- Yin H., Li Y., Zhang H. Y., Wang W. X., Lu H., Grevsen K., Zhao X., Du Y. // Int. J. Plant Sci. 2013. V. 174. № 4. P. 722–732. https://doi.org/10.1086/669721
- Yafei C., Yong Z., Xiaoming Z., Peng G., Hailong A., Yuguang D., Yingrong H., Hui L., Yuhong Z. // Plant Physiol. Biochem. 2010. V. 47. P. 724–731.
- Zurbriggen M.D., Carrillo N., Hajirezael M. R. // Plant Signaling and Behavior. 2010. № 5. P. 393–396. https://doi.org/10.4161/psb.5.4.10793
- Ahanger R. A., Bhat H. A., Ganie S. A., Lone A. A., Bhat T. A., Wani I. A. et al. // Inter. J. Pharmacy Review & Research. 2014. V. 4. № 1. P. 68–74.
- Ali M., Cheng Z., Ahmad H., Hayat S. // J. Plant Interactions. 2018 V. 13. № 1. P. 353–363. https://doi.org/10.1080/17429145.2018.1484188
- Quan L-J., Zhang B., Shi W.-W., Li H.-Y. // J. Integr. Plant Biol. 2008. V. 50. № 1. P. 2–18. https://doi.org/10.1111/j.1744–7909.2007.00599.x
- Gupta D., Pena L., Romero-Puertas M., Hernandez A., Inouhe M, Sandalio L. // Plant Cell Environ. 2017. V. 40. № 4. P. 509–526. https://doi.org/10.1111/pce.12711
- Schmitt F.-J., Renger G., Friedrich T., Kreslavski V. D., Zharmukhamedov S. K., Los D. A. et al. // Biochim. Biophysю Acta. 2014. V. 1837. № 6. P. 835–848. https://doi.org/10.1016/j.bbabio.2014.02.005
- Vellosillo T., Vicente J., Kulasekaran S., Hamberg M., Castresana C. // Plant Physiology. 2010. V.154. № 2. P. 444–448. https://doi.org/10.1104/pp.110.161273
- Jindrichova B., Fodor J., Šindelářová M., Burketova L., Valentova O. // Environ. Exper. Bot. 2011. V. 72. № 2. P. 149–156. https://doi.org/10.1016/j.envexpbot.2011.02.018
- Gill S. S., Tuteja N. // Plant Physiol. Biochem. 2010. V. 48. № 12. P 909–930. https://doi.org/10.1016/j.plaphy.2010.08.016
- Максимов И. В., Черепанова Е. А. // Успехи современной биологии. 2006. № 126. С. 250–261.
- Rashad Y. M., Abdalla S. A., Sleem M. M. // Plants. 2022. V.11. № 15. P. 2051. https://doi.org/10.3390/plants11152051
- Roohallah S.-R., Fariba F., Mojtaba M.-E. // J. Crop. Prot. 2020. V. 9. № 1. P. 1–16.
- Озерецковская О. Л., Васюкова Н. И. // Физиология растений. 2006. Т. 53. № 4. С. 546–553.
- Omara R., Essa T., Khalil A., Elsharkawy M. // Egyptian Journal of Biological Pest Control. 2020. V. 30. P. 83. https://doi.org/10.1186/s41938-020-00284-3
- Hung K. T., Hsu Y. T., Kao C. H. // Physiol. Plant. 2006. V. 127. № 2. P. 293–303. https://doi.org/1399-3054.2006.00662.xhttps://doi.org/10.1111/j
- Dieryckx C., Gaudin V., Dupuy J.-W., Bonneu M., Girard V., Job D. // Frontier in Plant Science. 2015. № 6. P. 859–867. https://doi.org/10.3389/fpls.2015.00859
- Zakariyya F., Wahyu Susilo A., Iman Santoso T., Susilo Addy H., Pancaningtyas S. // Pelita Perkebunan (a Coffee and Cocoa Research Journal). 2018. V. 34. № 1. P. 33–39. https://doi.org/10.22302/iccri.jur.pelitaperkebunan.v34i1.305
- Васюкова Н. И., Озерецковская О. Л., Чаленко Г. И., Герасимова Н. Г., Львова A. А., Ильина А. В. и др. // Прикл. биохимия и микробиология. 2010. Т. 46. № 3. С. 379–384.
- Яруллина Л. Г., Бурханова Г. Ф., Цветков В. О., Черепанова Е. А., Заикина Е. А., Сорокань А. В. и др. // Прикл. био-химия и микробиология. 2022. Т. 58. № 2. С. 185–194. https://doi.org/10.31857/S0555109922020179
Дополнительные файлы




