Действие пероксинитрита и гидропероксида трет-бутила на тиоловые лиганды динитрозильных комплексов железа
- Авторы: Пугаченко И.С.1, Насыбуллина Э.И.1, Космачевская О.В.1, Шумаев К.Б.1, Топунов А.Ф.1
-
Учреждения:
- Институт биохимии им. А.Н. Баха, Федеральный исследовательский центр “Фундаментальные основы биотехнологии” Российской академии наук
- Выпуск: Том 59, № 5 (2023)
- Страницы: 440-449
- Раздел: Статьи
- URL: https://ogarev-online.ru/0555-1099/article/view/138810
- DOI: https://doi.org/10.31857/S0555109923050148
- EDN: https://elibrary.ru/NSHBED
- ID: 138810
Цитировать
Полный текст
Аннотация
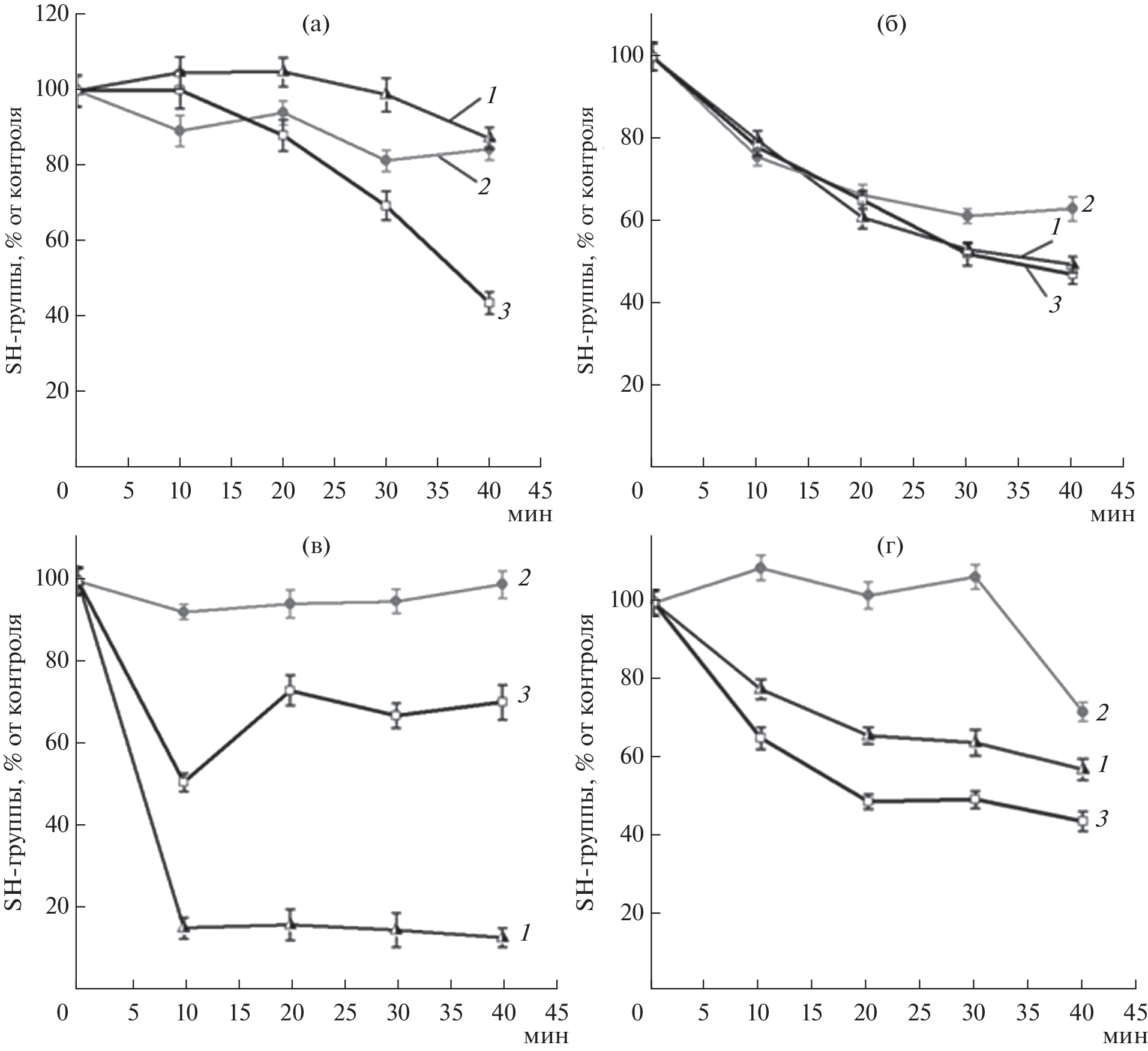
Низкомолекулярные динитрозильные комплексы железа (ДНКЖ) с тиолсодержащими лигандами являются физиологической формой депонирования и транспорта оксида азота (NO) в организме, при этом ДНКЖ могут проявлять антиоксидантные и антирадикальные свойства. Показано, что ДНКЖ, содержащие в качестве лигандов цистеин, глутатион и липоевую кислоту, снижали скорость окисления дигидрородамина пероксинитритом, образующимся при декомпозиции 3-морфолиносиднонимина. Тиоловые (сульфгидрильные) лиганды входят в состав ДНКЖ в форме тиолат-анионов (R-S−), что защищает эти группы от окисления пероксинитритом. При использовании в качестве окислителя гидропероксида трет-бутила в низкой концентрации, защитное действие ДНКЖ на SH-группы в их составе наблюдалось для комплексов с липоевой кислотой (LA-ДНКЖ) и с глутатионом (GS-ДНКЖ). LA-ДНКЖ были более устойчивы к действию окислителей и более эффективными “ловушками” пероксинитрита, чем другие ДНКЖ. ДНКЖ, связанные с бычьим сывороточным альбумином, оказывали незначительное защитное действие на остаток цистеина при окислении пероксинитритом и гидропероксидом трет-бутила. Полученные результаты позволяют считать низкомолекулярные ДНКЖ с тиоловыми лигандами ловушками пероксинитрита и протекторами цистеиновых остатков в белках.
Ключевые слова
Об авторах
И. С. Пугаченко
Институт биохимии им. А.Н. Баха, Федеральный исследовательский центр“Фундаментальные основы биотехнологии” Российской академии наук
Email: aftopunov@yandex.ru
Россия, 119071, Москва
Э. И. Насыбуллина
Институт биохимии им. А.Н. Баха, Федеральный исследовательский центр“Фундаментальные основы биотехнологии” Российской академии наук
Email: aftopunov@yandex.ru
Россия, 119071, Москва
О. В. Космачевская
Институт биохимии им. А.Н. Баха, Федеральный исследовательский центр“Фундаментальные основы биотехнологии” Российской академии наук
Email: aftopunov@yandex.ru
Россия, 119071, Москва
К. Б. Шумаев
Институт биохимии им. А.Н. Баха, Федеральный исследовательский центр“Фундаментальные основы биотехнологии” Российской академии наук
Email: aftopunov@yandex.ru
Россия, 119071, Москва
А. Ф. Топунов
Институт биохимии им. А.Н. Баха, Федеральный исследовательский центр“Фундаментальные основы биотехнологии” Российской академии наук
Автор, ответственный за переписку.
Email: aftopunov@yandex.ru
Россия, 119071, Москва
Список литературы
- Hsiao H.-Y., Chung C.-W., Santos J.H., Villaflores O.B., Lu T.-T. // Dalton Transactions. 2019. V. 48. № 26. P. 9431–9453.
- Vanin A.F. // Nitric Oxide. 2016. V. 54. P. 15–29.
- Vanin A.F., Mokh V.P., Serezhenkov V.A., Chazov E.I. // Nitric Oxide. 2007. V. 16. № 3. P. 322–330.
- Kapelko V.I., Lakomkin V.L., Abramov A.A., Lukoshkova E.V., Undrovinas N.A., Khapchaev A.Y., Shirinsky V.P. // Oxid. Med. Cell. Longev. 2017. V. 2017. e9456163. https://doi.org/10.1155/2017/9456163
- Remizova M.I., Kochetygov N.I., Gerbout K.A., Lakomkin V.L., Timoshin A.A., Burgova E.N., Vanin A.F. // Eur. J. Pharmacol. 2011. V. 662. № 1–3. P. 40–46.
- Bor-Kucukatay M., Wenby R.B., Meiselman H.J., Baskurt O.K. // Am. J. Physiol. Heart Circ. Physiol. 2003. V. 284. P. 1577–1584.
- Shamova E.V., Bichan O.D., Drozd E.S., Gorudko I.V., Chizhik S.A., Shumaev K.B. et al. // Biophysics. 2011. V. 56. № 2. P. 237–242.
- Igrunkova A., Fayzullin A., Serejnikova N., Lipina T., Pekshev A., Vanin A. et al. // Int. J. Mol. Sci. 2023. V. 24. № 5. e4439. https://doi.org/10.3390/ijms24054439
- Чазов Е.И., Родненков О.В., Зорин А.В., Лакомкин В.Л., Грамович В.В., Выборов О.Н. и др. // Кардиология. 2011. Т. 51. № 11. С. 28–37.
- Родненков О.В., Зорин А.В., Гостеев А.Ю., Драгнев А.Г., Чазов Е.И. // Евразийский Кардиологический Журнал. 2016. № 3. С. 186–187.
- Shumaev K.B., Petrova N.E., Zabbarova I.V., Vanin A.F., Topunov A.F., Lankin V.Z., Ruuge E.K. // Biochemistry (Moscow). 2004. V. 69. № 5. P. 569–574.
- Shumaev K.B., Gubkin A.A., Serezhenkov V.A., Lobysheva I.I., Kosmachevskaya O.V., Ruuge E.K. et al. // Nitric Oxide. 2008. V. 18. № 1. P. 37–46.
- Shumaev K.B., Kosmachevskaya O.V., Grachev D.I., Timoshin A.A., Topunov A.F., Lankin V.Z., Ruuge E.K. // Biochemistry (Moscow), Supplement Series B: Biomedical Chemistry. 2021. V. 15. № 4. P. 313–319.
- Kosmachevskaya O.V., Nasybullina E.I., Shumaev K.B., Chumikina L.V., Arabova L.I., Yaglova N.V. et al. // Appl. Biochem. Microbiol. 2021. V. 57. № 4. P. 411–420.
- Kosmachevskaya O.V., Nasybullina E.I., Shumaev K.B., Novikova N.N., Topunov A.F. // Int. J. Mol. Sci. 2021. V. 22. № 24. e13649. https://doi.org/10.3390/ijms222413649
- Martusevich A.K., Soloveva A.G., Dmitrochenkov A.V., Ezhevskaya A.A., Razumovsky A.V. // Annual Research & Review in Biology. 2018. V. 26. № 6. P. 1–11.
- Martusevich A.K., Soloveva A.G., Peretyagin S.P., Davyduk A.V. // Biophysics. 2014. V. 59. № 6. P. 954–959.
- Dungel P., Perlinge M., Weidinger A., Redl H., Kozlov A.V. // Free Radic. Biol. Med. 2015. V. 89. P. 300–310.
- Shumaev K.B., Dudylina A.L., Ivanova M.V., Pugachenko I.S., Ruuge E.K. // BioFactors. 2018. V. 44. № 3. P. 237–244.
- Shumaev K.B., Gorudko I.V., Kosmachevskaya O.V., Grigoryeva D.V., Panasenko O.M., Vanin A.F., Topunov A.F. et al. // Oxid. Med. Cell. Longev. 2019. V. 2019. e2798154. https://doi.org/10.1155/2019/2798154
- Vanin A.F., Pekshev A.V., Vagapov A.B., Sharapov N.A., Lakomkin V.L., Abramov A.A. et al. // Biophysics (Oxf). 2021. V. 66. № 1. P. 155–163.
- Vanin A.F., Tronov V.A., Borodulin R.R. // Cell Biochem. Biophys. 2021. V. 79. № 1. P. 93–102.
- Vanin A.F. // Biochemistry (Moscow). 2022. V. 87. № 11. P. 1367–1386.
- Bosworth C.A., Toledo J.C. Jr., Zmijewski J.W., Lancaster J.R. // Proc. Natl. Acad. Sci. USA. 2009. V. 106. № 12. P. 4671–4676.
- Karoui H., Hogg N., Kalyanaraman B. // Arch. Biochem. Biophys. 1996. V. 330. № 1. P. 115–124.
- Shumaev K.B., Kosmachevskaya O.V., Timoshin A.A., Vanin A.F., Topunov A.F. // Methods Enzymol. 2008. V. 436. P. 445–461.
- Singh R.J., Hogg N., Joseph J., Konorev E., Kalyanaraman B. // Arch. Biochem. Biophys. 1999. V. 361. № 2. P. 331–339.
- Hoff S., Larsen F.H, Andersen M.L., Lund M.N. // Analyst. 2013. V. 138. № 7. P. 2096–2103.
- Laemmli U.K. // Nature. 1970. V. 227. № 5259. P. 680–685.
- Vanin A.F., Poltorakov A.P., Mikoyan V.D., Kubrina L.K., Burbaev D.S. // Nitric Oxide. 2011. V. 23. № 2. P. 136–149.
- Flinck M., Kramer S.H., Pedersen S.F. // Acta Physiol. (Oxf). 2018. V. 223. № 3. e13068. https://doi.org/10.1111/apha.13068
- Лобышева И.И., Сереженков В.А., Ванин А.Ф. // Биохимия. 1999. V. 64. № 2. P. 194–200.
- Tien M., Bucher J.R., Aust S.D. // Biochem. Biophys. Res. Commun. 1982. V. 107. № 1. P. 279–285.
- Younes M., Strubelt O. // J. Appl. Toxicol. 1990. V. 10. № 5. P. 319–324.
- Olson A.S., Jameson A.J., Kyasa S.K., Evans B.W., Dussault P.H. // ACS Omega. 2018. V. 3. № 10. P. 14054–14063.
- Daiber A., Daub S., Bachschmid M., Schildknecht S., Oelze M., Steven S. et al. // Int. J. Mol. Sci. 2013. V. 14. № 4. P. 7542–7570.
- Fabisiak J.P., Sedlov A., Kagan V.E. // Antioxid. Redox Signal. 2002. V. 4. № 5. P. 855–865.
- Tran N.G., Kalyvas H., Skodje K.M., Hayashi T., Moënne-Loccoz P., Callan P.E. et al. // J. Am. Chem. Soc. 2011. V. 133. № 5. P. 1184–1187.
- Kosmachevskaya O.V., Nasybullina E.I., Shumaev K.B., Novikova N.N., Topunov A.F. // Appl. Biochem. Microbiol. 2020. V. 56. № 5. P. 512–520.
- Akentieva N., Gizatullin A., Sanina N., Shkondina N., Abramova K., Tikhonov V. et al. // Biointerface Res. Appl. Chem. 2023. V. 13. № 4. e344. https://doi.org/10.33263/BRIAC134.344
Дополнительные файлы









