Influence of Manufacture Imperfections and Electrical Noise on Evolution of a Charge Qubit under Optical Control
- Authors: Tsukanov A.V.1, Kateev I.Y.1
-
Affiliations:
- NRC “Kurchatov Institute”
- Issue: Vol 53, No 6 (2024)
- Pages: 469-482
- Section: QUANTUM TECHNOLOGIES
- URL: https://ogarev-online.ru/0544-1269/article/view/282102
- DOI: https://doi.org/10.31857/S0544126924060022
- ID: 282102
Cite item
Full Text
Abstract
Semiconductor charge qubits based on a double quantum dot in an optical microcavity (a photonic crystal defect) are considered taking into account deviations of parameters from preset ones. Influence of topological disorder of a photonic crystal structure on microcavity spectrum and effect of a stochastic field of external charges on the qubit state are analyzed. Ways to attenuate these effects and to optimize the qubit state storage are indicated.
Full Text
ВВЕДЕНИЕ
Современная нанофотоника, возникшая на рубеже XX и XXI вв. и успешно развивавшаяся в течение последних двадцати лет, обеспечила миниатюризацию и рост производительности многих высокотехнологичных устройств, используемых в квантовой оптике, сенсорике и информатике [1]. К настоящему времени уже созданы квантовые сети [2], чипы [3–5] и фотонные процессоры [6]. Их основными компонентами являются микрорезонаторы (МР) и квантовые точки (КТ). Главные достоинства этих объектов – относительная простота изготовления, хорошая совместимость с другими квантовыми системами, возможность оперировать с коррелированными многофотонными состояниями при комнатной температуре. Вместе с тем, существуют и серьезные технологические задачи, которые должны быть решены в ходе разработки полномасштабных (то есть содержащих большое количество таких элементов) устройств. К их числу относятся разброс параметров, связанный с несовершенством изготовления КТ и МР, и потеря когерентности, обусловленная флуктуирующим окружением (свободными зарядами).
Причины отклонения геометрических размеров и формы от заданных значений зависят от типа МР и технологии его изготовления. Они приводят к разбросу частот собственных мод МР, искажению пространственной зависимости напряженности полей этих мод, а также к росту скорости диссипации (спонтанного ухода фотонов из моды в континуум). Чтобы устранить эти проблемы, разрабатываются способы, позволяющие настраивать (как обратимо, так и необратимо) параметры уже изготовленных МР. Приоритетной величиной, которую необходимо контролировать, является частота моды МР [7, 8]. Оригинальная схема настройки частот КТ и транспортной моды в волноводной структуре путем стимулируемой лазером кристаллизации тонкого слоя оксида гафния, вызывающей локальное механическое напряжение, реализована авторами работы [9]. Электромеханический модуль позволил авторам работ [10] и [11] регулировать частоты МР, образованного двумя мембранами – фотонными кристаллами с КТ. Применимость упомянутых методов, как правило, имеет ограничение по технологическому разбросу частот, который не должен превышать несколько мэВ. Чтобы определить, какой из корректирующих подходов следует использовать, необходимо знать статистические характеристики конкретной технологии. В нашей работе мы рассмотрим полупроводниковые МР на основе дефектов в двумерном фотонном кристалле.
Неупорядоченные системы могут быть сформированы введением в решетку обычного атомного кристалла топологического и композиционного беспорядка [12]. Композиционный беспорядок в кристаллах, состоящих из нескольких видов атомов (в частности, в полупроводниках А3В5), связан с тем, что атомы одного вещества случайным образом занимают узлы решетки, «предназначенные» для атомов другого вещества. Топологический беспорядок в периодической структуре возникает при нарушении трансляционной симметрии, например, в аморфных кристаллах. В оптических структурах, таких как одно- и двумерные ФК, топологический беспорядок появляется из-за технологических погрешностей изготовления, которые приводят как к нарушению периодичности решетки ФК (разное расстояние между соседними отверстиями), так и тому, что радиус отверстий имеет случайную величину [13]. Еще один тип структурного беспорядка связан со случайным отклонением формы стенок отверстий в ФК от идеальной окружности [14].
В настоящей работе методом Монте-Карло мы исследовали влияние топологического беспорядка на оптические свойства МР на основе двумерных GaAs-ФК с дефектами S1 и S3. Оптическая структура ФК с дефектом S1 характеризуется одним пропущенным отверстием в центре его квадратной решетки, а дефект типа S3 представляет собой область пропущенных отверстий размером 3×3. Оптический спектр и распределение электромагнитного поля МР вычислялись с помощью решения уравнений Максвелла методом конечных разностей во временной области. Были получены зависимости собственных частот одной из собственных мод МР и амплитуды электрического поля в ее пучности от степени беспорядка.
Не менее важным следует считать вопрос о шумах, создаваемых флуктуирующими и блуждающими зарядами, которые находятся в смачивающем слое в непосредственной близости от КТ [15]. Перемещаясь по кристаллу, эти заряды могут захватываться КТ, меняя ее состояние и частоту перехода, что выражается в резком ослаблении (кулоновской блокаде) резонансной фотоэмиссии [16]. Кроме того, они создают стохастическое поле, воздействующее неконтролируемым образом на экситон (электрон) КТ, что приводит к дефазировке его квантового состояния. Ширина линии перехода при заданных температуре и глубине КТ также зависит от электростатического окружения и акустических фононов [17—19], а точнее, от перекрытия спектров КТ и двумерного электронного газа, находящегося в смачивающем слое. Экспериментально установлено, что при малых отстройках частот КТ и МР на фотонную эмиссию влияют акустические фононы, а при больших (порядка 10 мэВ) – Оже-процессы, связанные с флуктуациями электронного газа [20—22]. Кроме того, выяснилось, что внутризонная релаксация преобладает над межзонной.
Наиболее простая и эффективная стратегия минимизировать стохастическое кулоновское взаимодействие КТ-кубита и свободных зарядов состоит в нейтрализации окружения кубита. Для этого следует переместить заряды (как свободные, так и локализованные) в удаленный резервуар, используя внешние поля (см. раздел 4). Мы рассмотрим подавление кулоновских флуктуаций за счет направленного дрейфа электронов во внешнем электрическом поле порядка нескольких кВ/см от кубита. Зависимость усредненной точности воспроизведения от времени для тождественной операции демонстрирует замедление дефазировки кубита с ростом амплитуды поля в случае границы чипа «полупроводник/диэлектрик» и полное ее подавление в случае границы «полупроводник/металл». Также получены зависимости точности воспроизведения от концентрации носителей и расстояния между кубитом и смачивающим слоем.
МОДЕЛЬ ЗАРЯДОВОГО КУБИТА В МИКРОРЕЗОНАТОРЕ С УЧЕТОМ ТЕХНОЛОГИЧЕСКОГО РАЗБРОСА ПАРАМЕТРОВ
Начнем с описания электрон-фотонной структуры, состоящей из МР (дефект ФК), в который интегрирована двойная квантовая точка (ДКТ), рис. 1. Полупроводниковый МР поддерживает фотонную моду с частотой ωc. Зарядовый кубит на основе ДКТ, состоящей из КТ А и КТ В, содержит один электрон. Одиночные КТ А и КТ В обмениваются квантом энергии с модой МР, электрическое поле Ec(r) которой имеет пучность в области нахождения ДКТ. Будем предполагать, что каждая из КТ содержит два одноэлектронных состояния (основное и возбужденное с энергиями и ). Между ними возможны оптические переходы с частотой равной разности энергий. Введем обозначения для отстроек энергий основных и возбужденных состояний данных КТ, и , тогда разность частот КТ будет равна . Возбужденные состояния КТ, лежащие вблизи края потенциального барьера с профилем U(r), гибридизируются за счет электронного туннелирования, а основные состояния, расположенные вблизи дна КТ, изолированы друг от друга. Электрон-фотонный гамильтониан в системе отсчета, связанной с лазером, имеет вид:
(1)
где – оператор уничтожения фотона в моде МР, и – отстройки частот КТ А и КТ В от частоты моды; – энергия (скорость) одноэлектронного туннелирования между возбужденными состояниями КТ, – энергия (скорость) обмена квантом между КТ А (В) и модой. Введем также скорости некогерентных процессов, таких, как релаксация и дефазировка. Уход (релаксация) фотона из моды МР в континуум происходит со скоростью k, безызлучательный распад возбужденного электронного состояния КТ А (В), обусловленного неконтролируемым взаимодействием с фононами, характеризуется скоростью γr,A(В), а дефазировка, связанная со стохастическими флуктуациями частот переходов в КТ – скоростью γd,A(В). Все параметры гамильтониана (1) могут быть рассчитаны в рамках микроскопической модели или найдены экспериментально.
Рис. 1. Вверху: вертикальный разрез чипа в области МР вдоль горизонтальной оси x, соединяющей центры КТ А и КТ В кубита. Кубит расположен в высокоочищенном собственном (нейтральном) полупроводнике, который отделен от слоя с электронным резервуаром барьером-спейсером. Резервуар контактирует с металлическим электродом. Внизу: горизонтальный разрез чипа в плоскости x-y в области МР на основе двумерного ФК с дефектом S3.
Динамика электрон-фотонной системы описывается уравнением Линдблада, решение которого дает зависимость ее матрицы плотности ρ(t) от времени, для заданного начального состояния ρ(0):
(2)
Диссипативные фотонные и электронные процессы моделируются супероператорами Линдблада.
Рассмотрим следующую модель электронного окружения для зарядового кубита на двойной квантовой точке. Будем считать, что кубит формируется в слое собственного полупроводника, где концентрация электронов при низкой температуре близка к нулю. Данный слой располагается на подложке, содержащей некоторое количество Ne электронов и Ncap ловушек, способных захватывать и удерживать в течение времени τion по одному электрону, если тот приближается к ловушке на расстояние, меньшее, чем критический радиус Rcap. Подложка представляет собой параллелепипед с размерами bx, by и bz вдоль декартовых осей, а начало отсчета координат помещено в его центр. Расстояние между центрами КТ А и КТ В кубита равно LAB, а расстояние от центров КТ до подложки составляет Lz. Ниже подложки находится металлический электрод, который выполняет функции затвора, создающего постоянное электрическое поле в области подложки, которое направлено вдоль вертикальной оси z. Если электрод отделяется от подложки изолирующим (диэлектрическим) слоем, то электроны, налетающие на него, упруго отражаются и уходят в назад подложку. Если такой слой отсутствует, то электрод превращается в сток, поглощающий электроны.
При включении электрического поля электроны баллистически ускоряются в течение времени свободного пробега τ0, проходя расстояние L0, а затем испытывают упругое рассеяние за счет взаимодействия с дефектами решетки и акустическими фононами. Это приводит к случайному изменению их направления движения в момент времени t. Проекция скорости i-ого электрона vi,ξ = αi,ξL0/τ0 на декартову ось ξ = x, y, z после столкновения задается случайной величиной αi,ξ, причем αi,x2 + αi,y2 + αi,z2 = 1. На интервале ∆T между актами рассеяния его координата Eξ равна
,
где 0 ≤ ∆t ≤ ∆T и Eξ — компонента электрического поля вдоль соответствующей оси, а m* и e — эффективная масса и заряд электрона. Кроме того, он взаимодействует с другими электронами, которые также оказывают влияние на его траекторию. Расстояние между i-ым и j-ым электронами задается величиной , а вектор определяется направляющими косинусами .
Уравнение движения для координаты ξi i-ого электрона в полях, создаваемых другими электронами, можно представить в виде
.
Здесь ε — диэлектрическая проницаемость материала подложки. Принимая во внимание низкую концентрацию свободных электронов в подложке, и, следовательно, малую величину межэлектронного взаимодействия, данное уравнение в отсутствие внешнего поля можно приближенно переписать как
.
Удобно выразить все величины, входящие в уравнения (1) – (3), в эффективных атомных единицах. В качестве единицы длины принимается эффективный радиус Бора , а энергия выражается через эффективную энергию Ридберга , где — радиус Бора и — энергия Ридберга. Время измеряется в единицах Для арсенида галлия (m* = 0.067me, ε = 12) имеем нм и 6 мэВ. Объединяя уравнения (1) и (2), получаем
, (4)
где напряженность поля Eξ выражена в В/см.
Будем считать, что в основном состоянии КТ А (В) электрон кубита локализован в центре КТ с координатой rA(B). Энергия взаимодействия электрона кубита в КТ А(В) с i-ым электроном окружения равна
.
Здесь координаты электрона окружения удовлетворяют уравнению (1), а энергии Ui,A(B) представляют собой стохастические функции времени. Суммируя по всем электронам, мы получаем энергетические сдвиги основных состояний ДКТ (логических состояний кубита). Следовательно, в отсутствие взаимодействия с полем моды и фононами вектор состояния кубита может быть представлен в виде
, (5)
где ∆U = UB – UA – относительный сдвиг уровней ДКТ и ∆g = 0. В этом случае идеальное хранение квантовой информации, записанной в амплитуды вероятностей cA и cB логических состояний кубита (тождественная операция I), подразумевает выполнение условия ∆U = 0, когда в любой момент времени . Если оно не выполнено, то кубит подвергается дефазировке из-за наличия флуктуирующего параметра ∆U. Количественно данный процесс описывается с помощью функции точности воспроизведения
, (6)
где усреднение производится как по набору коэффициентов cA и cB, так и по процессам случайного перемещения электронов окружения. В разделе 4 мы приведем результаты моделирования влияния окружения на кубит для разных параметров системы.
ЗАВИСИМОСТЬ СПЕКТРАЛЬНЫХ ХАРАКТЕРИСТИК МИКРОРЕЗОНАТОРА ОТ СТЕПЕНИ ТОПОЛОГИЧЕСКОГО БЕСПОРЯДКА В РЕШЕТКЕ ОТВЕРСТИЙ ФОТОННОГО КРИСТАЛЛА
Влияние топологического беспорядка на излучательные моды двумерного ФК в оптическом диапазоне частот было теоретически изучено в работе [13]. Расчеты проводились путем решения уравнений Максвелла методом конечных разностей во временной области. Было показано, что увеличение степени беспорядка, связанного со случайным расстоянием между отверстиями (постоянной решетки) ФК и/или случайной величиной их радиуса, приводит к сдвигу длин волн собственных мод (до 50 нм) от края запрещенной фотонной зоны к ее центру, причем величина сдвига для разных мод отличалась из-за различного распределения электромагнитного поля. Кроме того, еще один нежелательный эффект, обусловленный беспорядком, связан с ростом скорости ухода фотонов из МР. В частности, это следует из результатов работы [23], где были теоретически изучены структуры ФК с различными типами дефектов, добротность которых различалась на несколько порядков. Показано, что с увеличением случайного отклонения постоянной решетки и радиуса ее отверстий от регулярных величин наблюдалось монотонное увеличение скорости ухода фотонов для всех ФК. При этом, структуры с бóльшей добротностью оказывались устойчивее к беспорядку. Следовательно, результатом технологических погрешностей изготовления МР на основе ФК, вызывающих беспорядок, может являться нарушение резонанса между МР и КТ, помещенную в пучность его собственной моды, а также падение добротности дефектных мод. Эти эффекты неизбежно ведут к снижению точности выполнения квантовых операций в подобных гибридных системах.
Сравнение влияния различных видов беспорядка на оптические свойства ФК было проведено в работе [24]. Там были измерены спектры пропускания света, перпендикулярно налетающего на поверхность двумерных ФК с различными видами топологического беспорядка, вызванного как неидеальностью формы поверхности стенок отверстий, так и случайным распределением их радиусов и постоянной решетки. При слабом беспорядке наблюдались небольшие сдвиги спектральных пиков (на 0.04 ТГц), однако характерная форма спектра сохранялась. В то же время беспорядок, вызванный случайной величиной постоянной решетки, влиял на спектр значительно сильнее, чем отклонение формы стенок отверстий от окружности и беспорядок в радиусе отверстий.
Отметим, что беспорядок может играть положительную роль для практического применения ФК для разработки квантовых устройств. Это связано с тем, что благодаря беспорядку внутри структуры возникает отражение электромагнитного поля, что приводит к локализации света и появлению дополнительных мод в оптической запрещенной зоне ФК [14]. В работе [25] удалось разработать лазер на основе двумерного ФК, отверстия периодической решетки которого имели случайный радиус. Экспериментально показано, что при небольшой степени беспорядка возрастает мощность лазерного излучения, а также уменьшается порог.
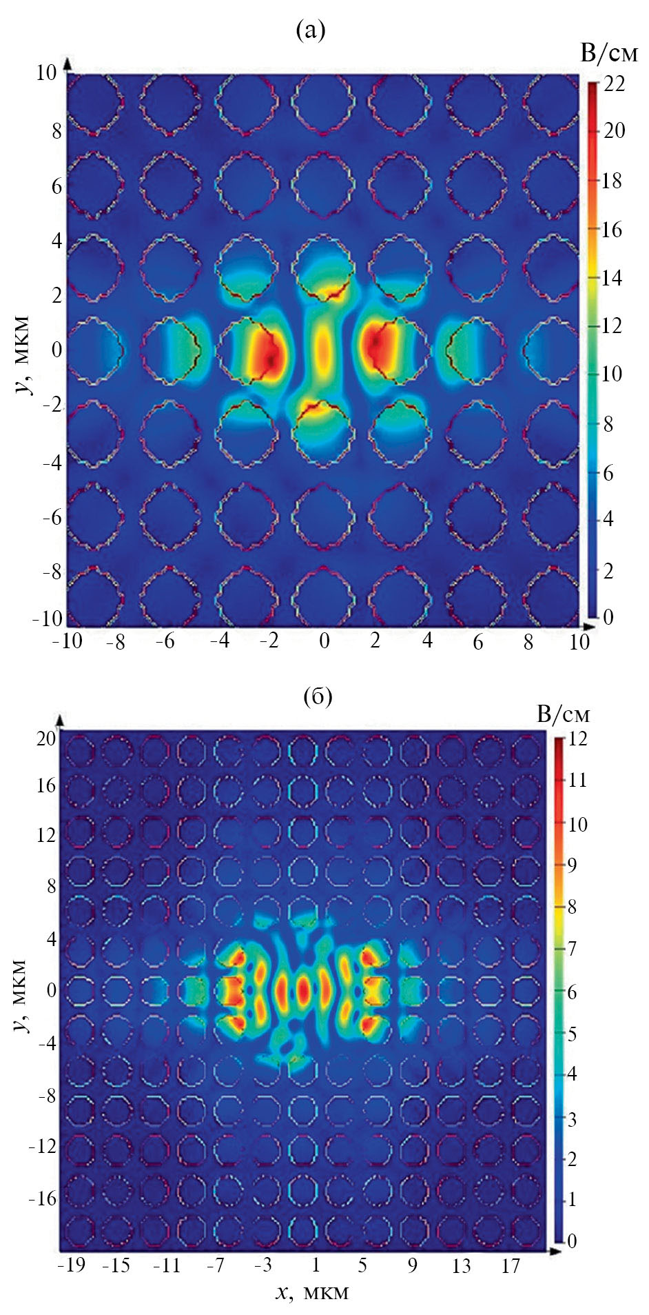
Как показано в обзорах [3—5] КТ, сформированные в МР на основе дефектов в двумерных ФК, позволяют использовать их в качестве элементной базы для квантовых устройств, в частности, для создания полномасштабного твердотельного квантового компьютера. Одна из особенностей МР такого типа связана с тем, что они могут быть легко сформированы на одном кристалле совместно с оптическими волноводами, которые обеспечивают накачку фотонов в МР и их вывод. Для того, чтобы МР эффективно взаимодействовал с ДКТ, расположенной в пучности МР, необходимо, чтобы частота одной из его собственных мод была близка к частотам ωА и ωВ электронных переходов КТ А и КТ В, которые при характерных размерах КТ ~ 10 нм примерно составляют 0.1 эВ с соответствующей длиной волны λс = 12 мкм. Кроме того, основной величиной, определяющей скорость квантовых операций в системе «КТ+МР» является частота Раби , которая должна быть больше скоростей диссипации γr,A(В), γd,A(В) и k. Для этого, с учетом того, что размер пучности моды МР значительно превосходит размер ДКТ, необходимо, чтобы максимальная амплитуда однофотонного электрического поля в пучности была не менее 10 В/см. В работе [26] было показано, что двумерный ФК с дефектом S1 (далее ФК 1), у которого число отверстий по горизонтали и вертикали Np = 7, постоянная решетки a0 = 3 мкм и радиус всех отверстий R0 = 0.37a0 поддерживает ТЕ-моду с длиной волны λс1 = 12.33 мкм. У данной моды проекция электрического поля на ось z, ортогональную плоскости ФК, равна нулю, как и проекции магнитного поля на оси x и y. Кроме того, ФК с дефектом S3 при a0 = 3.06 мкм и Np = 13 (ФК 2) также поддерживает ТЕ-моду с близкой длиной волны λс2 = 12.09 мкм с несколько бóльшим числом пучностей по сравнению с модой ФК 1. При этом пучности мод обоих ФК располагается в дефектной области, а максимальная амплитуда электрического поля в ней при толщине пластины 10 мкм составляет Ес1 = 21 В/см для ФК 1 и Ес2 = 11 В/см для ФК 2 (рис. 2).
Рис. 2. Двумерное распределение электрического поля ТЕ-моды для ФК 1 (а) и ФК 2 (б), параметры которых приведены в тексте.
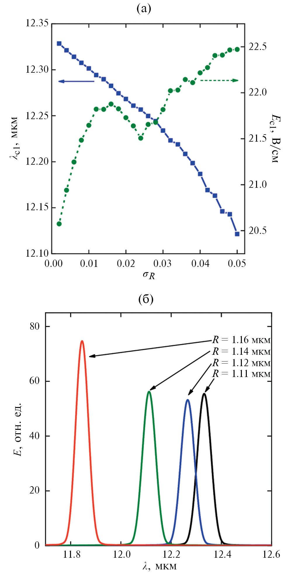
Опираясь на результаты работы [26], в данном разделе с помощью метода Монте-Карло мы исследовали влияние топологического беспорядка на спектральные характеристики ФК 1 и ФК 2, изготовленные из GaAs (показатель преломления nc = 3.4). Собственная частота мод и распределение электромагнитного поля в ФК вычислялись путем решения уравнений Максвелла методом конечных разностей во временной области. Сначала рассмотрим случай, когда постоянная решетки а = a0 фиксирована для всех испытаний, но радиус всех отверстий R отличается от значения R0. Пусть R является случайной величиной, имеющей нормальное распределение со средним значением R0 и среднеквадратичным отклонением σR. Усреднение результатов здесь и далее производилось по 1000 статистических испытаний. Зависимость длины волны λс1 собственной моды ФК 1 от величины σR изображена на рис. 3а. Видно, что с ростом σR значение λс1 линейно убывает из-за возрастающего вклада оптических спектров ФК 1 с бóльшим R, длина волны моды которых меньше, в усредненную величину λс1 (рис. 3б). Следует отметить, что при увеличении разброса σR максимальная амплитуда однофотонного электрического поля Ес1 в пучности моды немного возрастает, а, следовательно, увеличивается и скорость выполнения квантовых операций. Аналогичные результаты получаются и для ФК 2 (рис. 4). Основная разница по сравнению в ФК 1 состоит в том, что здесь величина λс2 меняется вдвое медленнее. Это связано с несколько иным распределением электромагнитного поля в дефектной области ФК 2 (рис. 2), а также с тем, что, поскольку число отверстий, вытравленных в его пластине, в 3.5 раза больше числа отверстий ФК 1, излучательная добротность моды ФК 2 на порядок превосходит добротность моды ФК 1. Таким образом, оптический спектр ФК 2, у которого добротность больше, оказывается более устойчивым к беспорядку, а, значит, и к технологическим погрешностям, как и предсказано в работе [23], поэтому его использование в качестве основы чипа для квантовых вычислений оказывается предпочтительнее.
Рис. 3. Зависимость собственной длины волны λс1 моды и максимальной амплитуды однофотонного электрического поля Ес1 от среднеквадратичного отклонения σR радиуса R отверстий ФК 1 (а), а также зависимость усредненного по времени электрического поля Е от длины волны λ фотона (оптический спектр) при различных значениях R (б).
Рис. 4. Зависимость собственной длины волны λс2 моды и максимальной амплитуды однофотонного электрического поля Ес2 от среднеквадратичного отклонения σR радиуса R отверстий ФК 2.
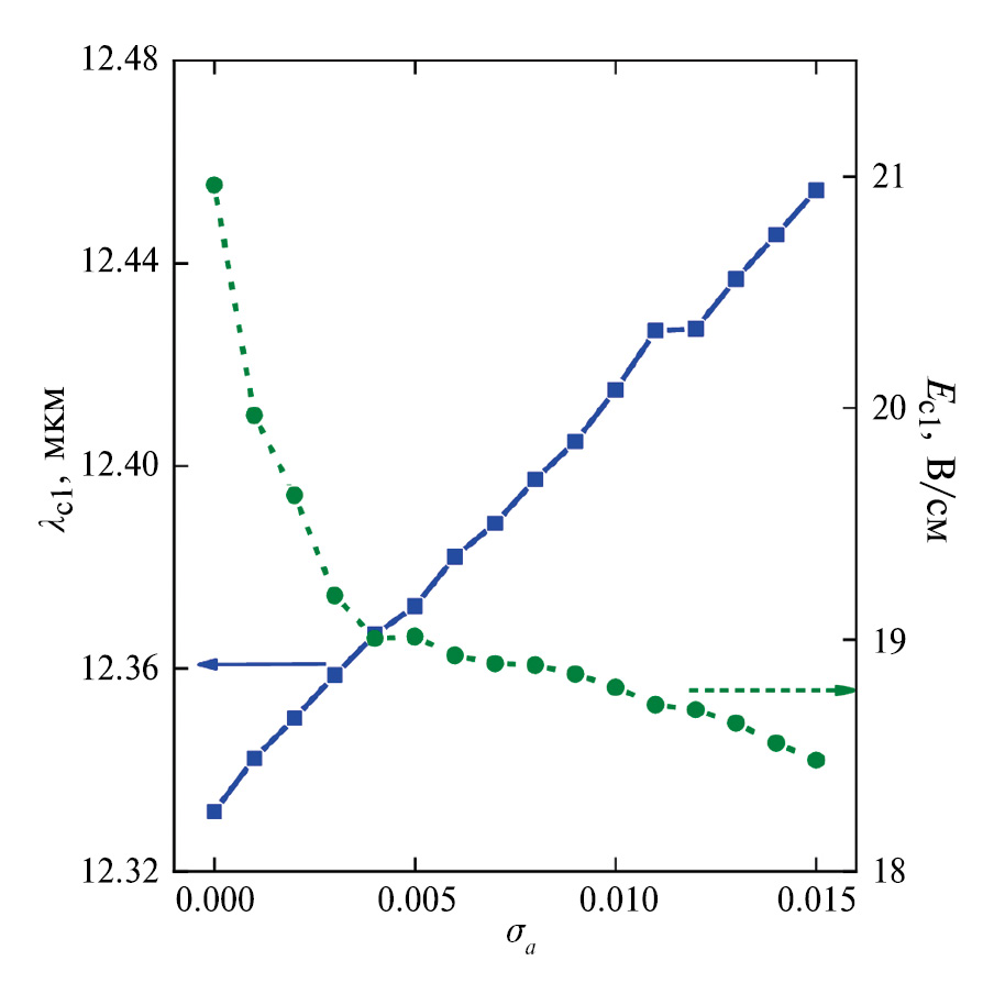
Теперь допустим, что структурный беспорядок в оптической системе вызван нарушением периодичности решетки отверстий ФК, то есть параметр a является случайной величиной, имеющей нормальное распределение со средним значением a0 и среднеквадратичным отклонением σa, а радиус отверстий R = R0 для всех статистических испытаний. В отличие от предыдущего случая (рис. 3), рост величины σa вызывает обратную картину, а именно линейный рост длины волны λс1 моды ФК 1 и, как следствие, его отстройку от ДКТ, а также одновременное монотонное падение максимальной амплитуды электрического поля Ес1 (рис. 5), сопровождающееся уменьшением скорости выполнения квантовых операций на чипе. При этом изменение величин λс1 и Ес1 здесь сильнее по сравнению со случаем, когда технологические погрешности приводят к отклонению радиуса R отверстий ФК от заданного значения, что хорошо согласуется с результатами работы [24].
Рис. 5. Зависимость собственной длины волны λс1 моды и максимальной амплитуды однофотонного электрического поля Ес1 от среднеквадратичного отклонения σa постоянной решетки a отверстий ФК 1.
Как и ожидалось, увеличение структурного беспорядка ФК приводит к нежелательному сдвигу собственной частоты его оптической моды и выводу ДКТ из резонанса с ФК. Существует ряд способов компенсации данного эффекта за счет дополнительной настройки оптического спектра МР. К ним, в частности, относятся: нагрев образца, который меняет показатель преломления материала [8, 27, 28], осаждение на поверхность МР полупроводникового слоя, увеличивающее объем образца [29] или использование подвижной пластины, которая может совершать вертикальные перемещения над поверхностью МР и влиять на спектр оптических мод [30].
ТОЧНОСТЬ ВОСПРОИЗВЕДЕНИЯ ОПЕРАЦИИ I НА ЗАРЯДОВОМ КУБИТЕ В СТОХАСТИЧЕСКОМ ПОЛЕ БЛУЖДАЮЩИХ ЭЛЕКТРОНОВ
Опираясь на физические модели взаимодействия КТ с модой МР и электрон-фононным окружением [31, 32], на анализ многочастичного спектра КТ [33—35] и на технологии синтеза высококачественных кристаллических КТ [36], были разработаны различные способы подавления нежелательных эффектов, связанных с резервуаром. Для восстановления эмиссионных свойств КТ успешно применяется метод фотонейтрализации. Он заключается в нерезонансном воздействии на КТ слабого лазерного излучения. При правильно подобранных параметрах лазера в установившемся режиме сторонние заряды не захватываются КТ и не меняют частоту перехода, оставаясь в смачивающем слое [37—39]. Это приводит к восстановлению резонансной эмиссии без ухудшения когерентности испускаемых фотонов. Другой подход базируется на управлении плотностью носителей заряда в смачивающем слое (локализации тяжелых дырок и делокализации электронов) путем изменения концентрации индия в покрывающем слое GaAs/InGaAs-структуры [40, 41]. Это также открывает возможность отвода свободных носителей от КТ и уменьшения кулоновского взаимодействия между ними. О подавлении зарядового шума в слоистой Si/SiGe/SiO2-структуре, содержащей КТ-кубит, за счет улучшения качества изготовления интерфейса (понижения шероховатости и плотности ловушек) и кристаллической решетки в целом сообщается в работе [42]. Наконец, естественным выглядит принцип инженерии плотности носителей при помощи внешнего поля, вызывающего ионизацию ловушек и дрейф зарядов к границам чипа. В работе [43] авторы применили электрическое поле для искажения потенциала центров локализации (ловушек) с целью понизить энергетический барьер, разделяющий уровни центра и континуума. При достижении определенного значения напряженности поля (энергии туннелирования) электроны покидают ловушки и перемещаются в направлении положительно заряженного электрода (стока). Этот процесс приводит к резкому падению их плотности вблизи КТ и подавлению мультиэкситонных переходов, стимулируемых взаимодействием КТ и электронами смачивающего слоя. Комбинируя подходы управления спектрами КТ и МР с подходящими методами подавления шумов, можно создать чип, удовлетворяющий заданным техническим условиям.
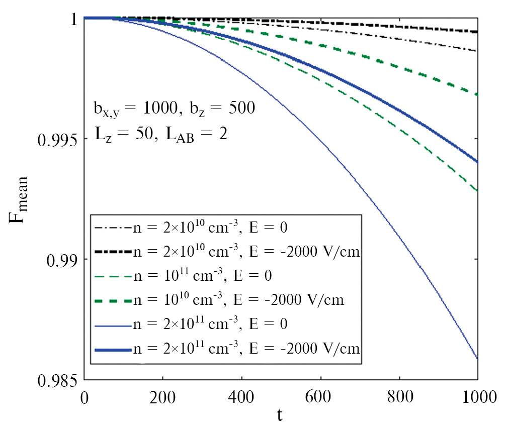
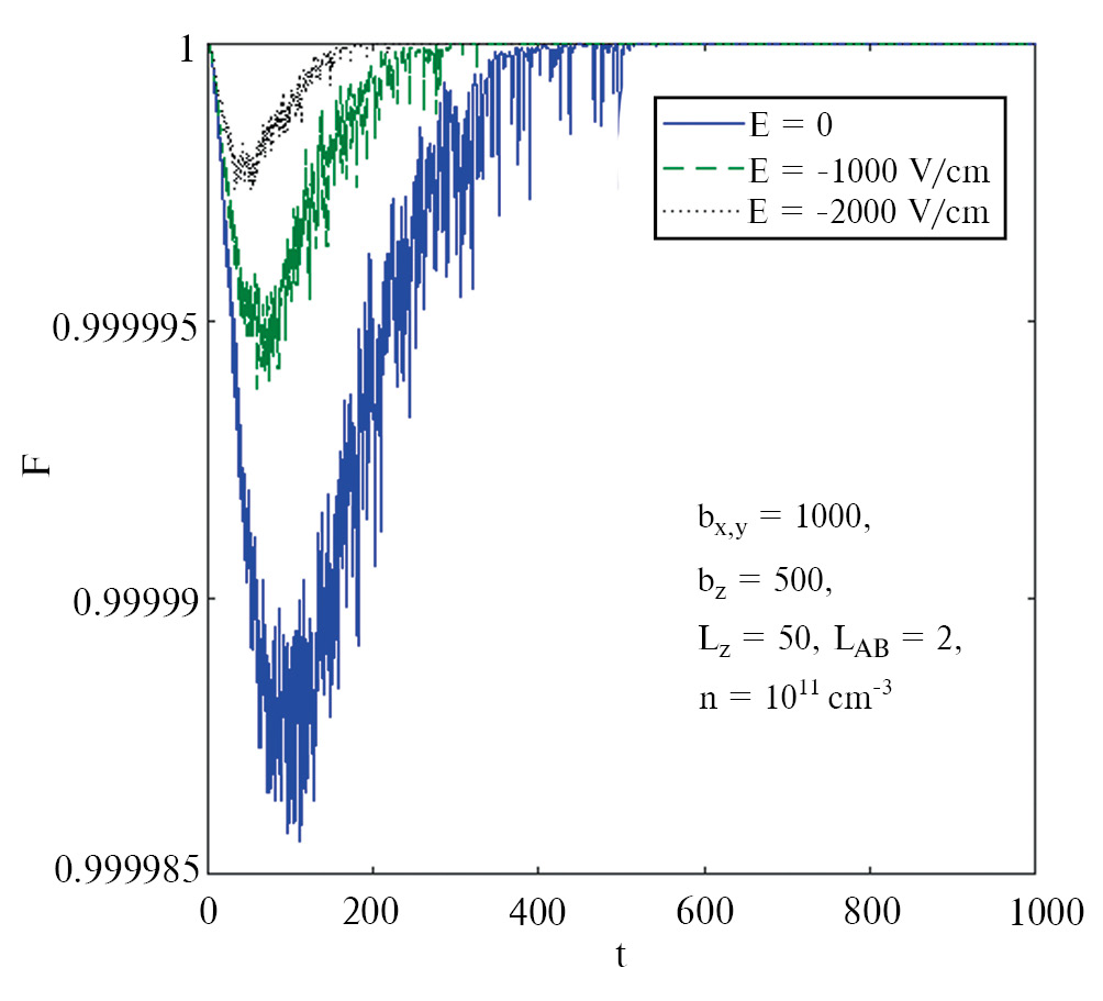
Наложение электрического поля, которое ориентировано вдоль оси z, на структуру, показанную на рис. 1, вызывает дрейф электронов к металлическому контакту. Стохастический характер движения носителей при этом сохраняется, но постепенно все они оказываются у спейсера, разделяющего контакт и полупроводник. Это приводит к формированию квазидвумерного электронного газа, толщина которого в вертикальном направлении зависит от тепловой энергии (скорости) электронов. Рост напряженности поля приводит к более быстрому уходу электронов из верхней части структуры. При этом влияние флуктуирующего поля, создаваемого ими, на электрон зарядового кубита уменьшается, и время хранения квантовой информации увеличивается. Результаты расчета усредненной точности воспроизведения как функции времени хранения приведены на рис. 6. Здесь и далее выбраны следующие параметры: bx,y = 1000, bz = 500, LAB = 2, L0 = 8, τ0 = 2, Ncap = 1, τion = 5, Rcap = 5. Мы предполагаем, что центры захвата (ловушки) отсутствуют в объеме резервуара. Количество независимых стохастических блужданий M = 5000. Каждая траектория содержит 500 актов рассеяния. Графики зависимостей Fmean(t), построенные для трех значений напряженности поля, демонстрируют квадратичный спад, в полном соответствии с теорией дефазировки для коротких промежутков времени. Видно, что сравнительно невысокая концентрация электронов n = = Ne/(bxbybz) = 1011 см–3 даже на значительном удалении резервуара от кубита (500 нм) вызывает определенное (до 0.2%) снижение точности воспроизведения на интервале 100 пс.
Рис. 6. Графики зависимостей среднего значения точности воспроизведения от времени для трех значений напряженности электрического поля. Параметры системы в эффективных единицах приведены на вставке.
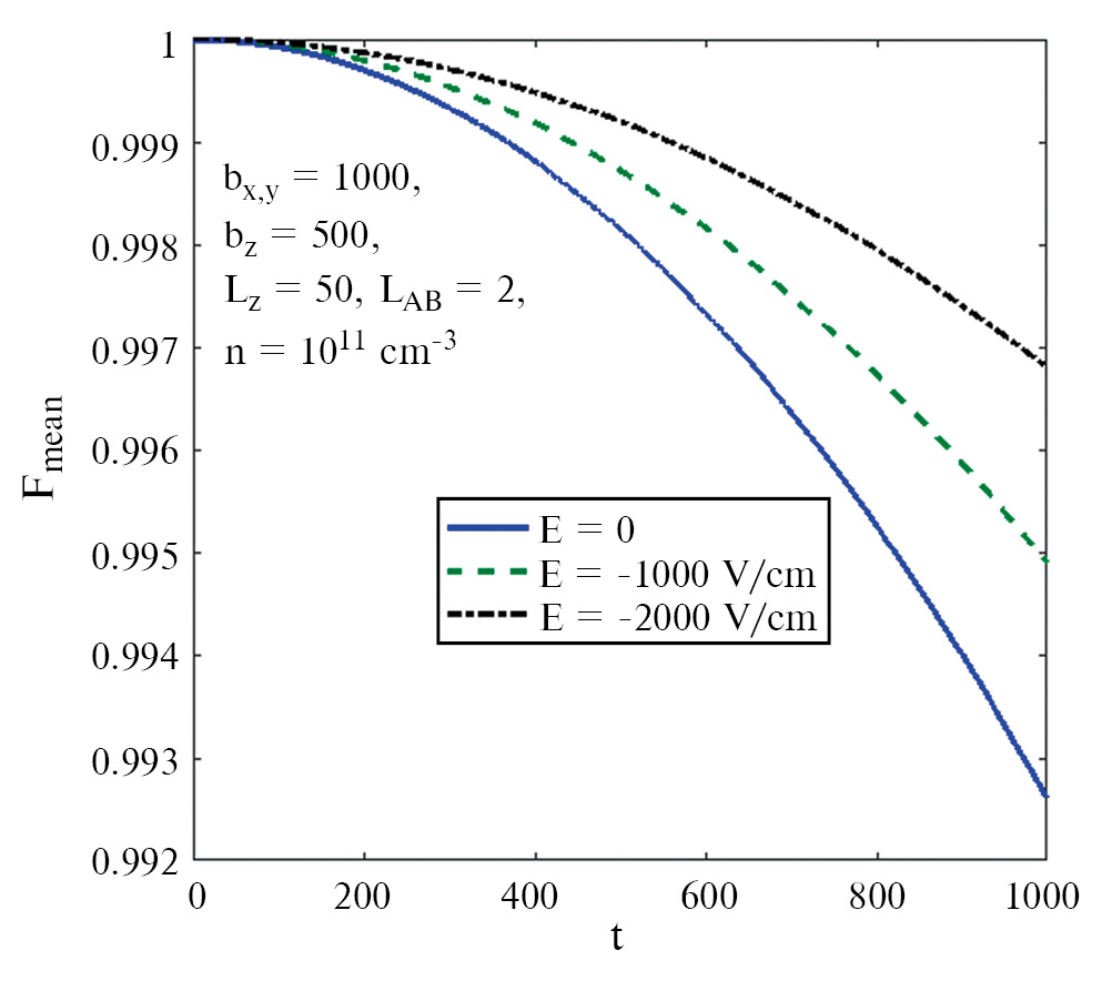
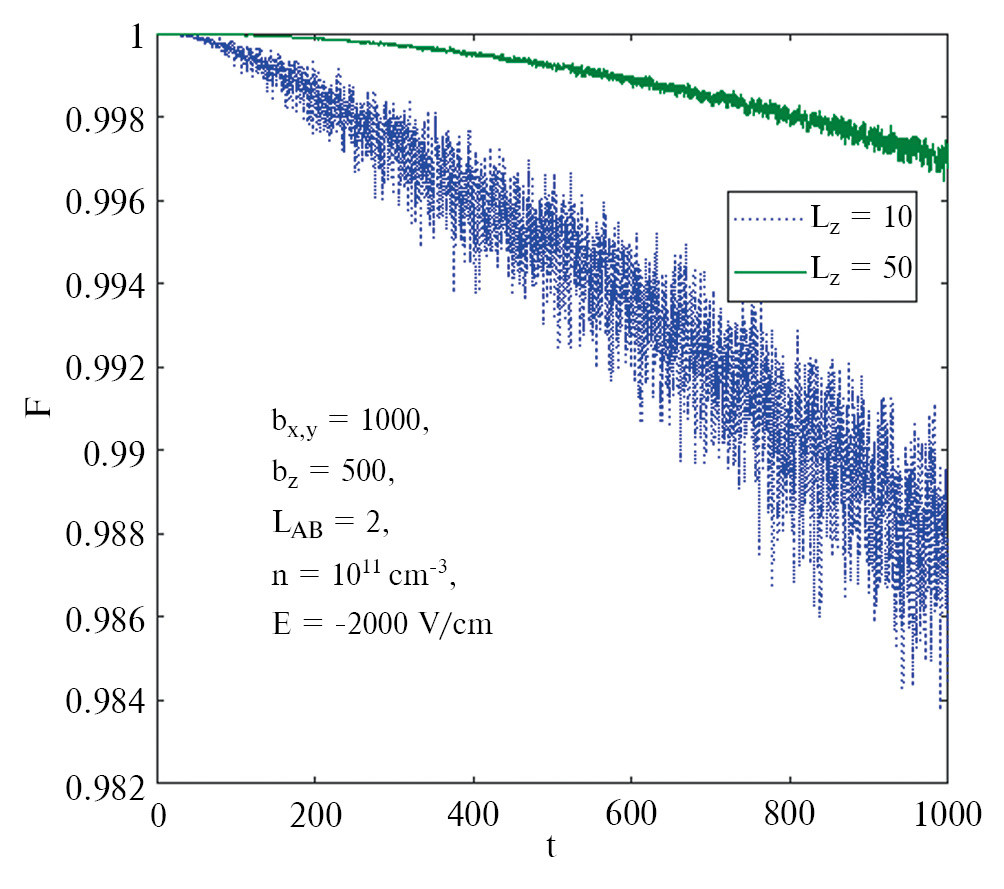
Рис. 7 иллюстрирует поведение функции Fmean(t) для трех значений концентраций электронов резервуара, когда поле отсутствует и когда оно включено. Легко видеть, что рост концентрации в 10 раз при фиксированном поле приводит к резкому ухудшению надежности хранения квантового состояния кубита. Таким образом, понижение исходной концентрации и включение сильного поля существенно замедляют дефазировку. Вместе с тем, существуют и другие варианты повышения устойчивости состояния кубита к внешнему воздействию. Самый очевидный из них – расположить кубит как можно дальше от резервуара. На рис. 8 показаны зависимости функции F (без усреднения по разбросу значений) для двух расстояний от кубита до слоя с электронами. Можно заметить не только резкое падение точности воспроизведения при сближении кубита и резервуара, но и качественное изменение поведения ее среднего значения, которое меняется с квадратичного на экспоненциальное.
Рис. 7. Графики зависимостей среднего значения точности воспроизведения от времени для трех значений концентрации электронов в резервуаре при включенном/выключенном электрическом поле. Параметры системы в эффективных единицах приведены на вставке.
Рис. 8. Графики зависимостей точности воспроизведения от времени для двух значений расстояния от кубита до резервуара в сильном электрическом поле. Параметры системы в эффективных единицах приведены на вставке.
Если вернуться к результатам работы [43], то видно, что гораздо эффективнее транспортировать электроны из резервуара через сток (металлический контакт), чем оставлять его в двумерной треугольной яме, формируемой электрическим полем на границе раздела «полупроводник/спейсер». Удаляя диэлектрический слой между контактом и резервуаром, мы отводим электроны из системы, минимизируя электрический шум. Этот процесс не требует включения поля, так как электрон в ходе случайного (ненаправленного) дрейфа все равно оказывается через некоторое время у границы «металл/полупроводник» и необратимо переходит в незанятое состояние зоны проводимости металла. Однако наложение поля ускоряет данный переход, в результате чего точность воспроизведения, проходя резкий минимум, восстанавливается до значения 1 (рис. 9). Можно заключить, что именно этот подход является наиболее предпочтительным, так как от позволяет практически полностью подавить дефазировку. Данный результат находится в полном соответствии с оптическими измерениями, проведенными в работе [43].
Рис. 9. Графики зависимостей точности воспроизведения от времени с открытым стоком. Параметры системы в эффективных единицах приведены на вставке.
ЗАКЛЮЧЕНИЕ
Требования к качеству изготовления нанофотонных чипов зависят от того, для каких целей они предназначены. Если речь идет о генерации одиночных фотонов или коррелированных фотонных пар, то на первое место выходит соблюдение условий резонанса в каскадной схеме переходов в одной КТ или резонанса частот двух разных КТ. Эти условия обеспечивают неразличимость испускаемых фотонов. При этом эффекты, связанные с влиянием фононного и электронного резервуаров, не представляют значительного препятствия, поскольку сам процесс спонтанной эмиссии в КТ является некогерентным. Более того, дополнительное уширение уровней КТ за счет стохастического движения зарядов и длинноволновых акустических продольных колебаний в кристалле может способствовать усилению эмиссии. Если же испускаемые фотоны рассматриваются в качестве транспортных кубитов в квантовом алгоритме, то, помимо резонанса частот КТ-кубитов необходимо увеличить скорость их когерентного обмена квантом энергии с модой МР, одновременно подавляя взаимодействие с резервуаром.
В данной работе для анализа и учета эффектов, связанных с несовершенством изготовления зарядового кубита на двойной КТ в МР, была рассмотрена модель чипа с учетом флуктуаций геометрических размеров МР и стохастического движения свободных зарядов в объеме полупроводника, окружающего кубит. Было установлено, что точность воспроизведения для тождественной операции (хранение записанной информации) квадратично убывает со временем вследствие стохастического кулоновского взаимодействия электрона кубита с электронами резервуара, приводящего к дефазировке квантового состояния кубита. Скорость этого убывания растет с увеличением концентрации электронов в резервуаре и с сокращением расстояния между кубитом и резервуаром. Активным методом подавления дефазировки является наложение электрического поля, которое отводит электроны от кубита на границу раздела спейсера и полупроводника. Если удалить диэлектрический спейсерный слой, то полупроводник будет контактировать непосредственно с металлическим контактом (стоком), поглощающим электроны. Это приводит к практически полному удалению электронов в сток и подавлению их взаимодействия с кубитом. Эффективность данного метода подтверждена экспериментально [43].
Методом Монте-Карло было изучено влияние топологического беспорядка на спектральные характеристики ФК с дефектами S1 и S3 и различным числом отверстий. Собственная частота мод и распределение электромагнитного поля в ФК вычислялись путем решения уравнений Максвелла методом конечных разностей во временной области. Было показано, что случайное отклонение постоянной решетки и/или радиусов отверстий от заданных значений вызывает сдвиг частоты собственной моды ФК и меняет амплитуду электрического поля в пучности его моды, что влияет на точность и скорость квантовых операций. При этом оптический спектр ФК с бóльшей добротностью оказывается более устойчивым к технологическим погрешностям.
ФИНАНСИРОВАНИЕ
Работа проведена в рамках выполнения государственного задания НИЦ «Курчатовский институт» Минобрнауки РФ по теме № FFNN-2022-0016 «Фундаментальные и прикладные исследования в области разработки методов высокоточного моделирования и контроля элементной базы квантовых компьютеров».
About the authors
A. V. Tsukanov
NRC “Kurchatov Institute”
Author for correspondence.
Email: tsukanov@ftian.ru
Russian Federation, Moscow
I. Yu. Kateev
NRC “Kurchatov Institute”
Email: ikateyev@mail.ru
Russian Federation, Moscow
References
- Dietrich C.P., Fiore A., Thompson M.G., Kamp M., Höfling S. GaAs integrated quantum photonics: Towards compact and multi-functional quantum photonic integrated circuits // Las. Photon. Rev. 2016. V. 10. P. 870, https://doi.org/10.1002/lpor.201500321
- Kim J.-H., Aghaeimeibodi S., Carolan J., Englund D., Waks E. Hybrid integration methods for on-chip quantum photonics // Optica. 2020. V. 7. P. 291, https://doi.org/10.1364/OPTICA.384118
- Tsukanov A.V., Kateev I.Yu. Quantum calculations on quantum dots in semiconductor microcavities. Part I // Russian Microelectronics. V. 43. P. 315, https://doi.org/10.1134/S1063739714050060
- Tsukanov A.V., Kateev I.Yu. Quantum calculations on quantum dots in semiconductor microcavities. Part II // Russian Microelectronics. 2014. V. 43. P. 377, https://doi.org/10.1134/S1063739714060092
- Tsukanov A.V., Kateev I.Yu. Quantum calculations on quantum dots in semiconductor microcavities. Part III // Russian Microelectronics. 2015. V. 44. P. 61, https://doi.org/10.1134/S1063739715020079
- Arrazola J.M., Bergholm V., Brádler K., Bromley T.R., Collins M.J., Dhand I., Fumagalli A., Gerrits T., Goussev A., Helt L.G., Hundal J., Isacsson T., Israel R.B., Izaac J., Jahangiri S., Janik R., Killoran N., Kumar S.P., Lavoie J., Lita A.E., Mahler D.H., Menotti M., Morrison B., Nam S.W., Neuhaus L., Qi H.Y., Quesada N., Repingon A., Sabapathy K.K., Schuld M., D. Su, Swinarton J., Száva A., Tan K., Tan P., Vaidya V.D., Vernon Z., Zabaneh Z., Zhang Y. Quantum circuits with many photons on a programmable nanophotonic chip // Nature. 2021. V. 591. P. 54, https://doi.org/10.1038/s41586-021-03202-1
- Strauf S., Rakher M.T., Carmeli I., Hennessy K., Meier C., Badolato A., DeDood M.J.A., Petroff P.M., Hu E.L., Gwinn E.G., Bouwmeester D. Frequency control of photonic crystal membrane resonators by monolayer deposition // Appl. Phys. Lett. 2006. V. 88. P. 043116, https://doi.org/10.1063/1.2164922
- Faraon A., Englund D., Fushman I., Vučković J. Local quantum dot tuning on photonic crystal chips // Appl. Phys. Lett. 2007. V. 90. P. 213110, https://doi.org/10.1063/1.2742789
- Grim J.Q., Bracker A.S., Zalalutdinov M., Carter S.G., Kozen A.C., Kim M., Kim C.S., Mlack J.T., Yakes M., Lee B., Gammon D. Scalable in operando strain tuning in nanophotonic waveguides enabling three-quantum-dot superradiance // Nat. Mater. 2019. V. 18. P. 963, https://doi.org/10.1038/s41563-019-0418-0
- Midolo L., Pagliano F., Hoang T.B., Xia T., van Otten F.W.M., Li L.H., Linfield E.H., Lermer M., Höfling S., Fiore A. Spontaneous emission control of single quantum dots by electromechanical tuning of a photonic crystal cavity // Appl. Phys. Lett. 2012. V. 101. P. 091106, https://doi.org/10.1063/1.4748302
- Petruzzella M., Birindelli S., Pagliano F.M., Pellegrino D., Zobenica Z., Li L.H., Linfield E.H., Fiore A. Quantum photonic integrated circuits based on tunable dots and tunable cavities // APL Photonics. 2018. V. 3. P. 106103, https://doi.org/10.1063/1.5039961
- Kim S., Lee J., Jeon H., Callard S., Seassal C., Song K.-D., Park H.-G. Simultaneous observation of extended and localized modes in compositional disordered photonic crystals // Phys. Rev. A. 2013. V. 88. P. 023804, https://doi.org/10.1103/PhysRevA.88.023804
- Kwan K.C., Tao X.M., Peng G.D. Transition of lasing modes in disordered active photonic crystals // Opt. Lett. 2007. V. 32. P. 2720, https://doi.org/10.1364/OL.32.002720
- Topolancik J., Vollmer F., Ilic B. Random high-Q cavities in disordered photonic crystal waveguides // Appl. Phys. Lett. 2007. V. 91. P. 201102, https://doi.org/10.1063/1.2809614
- Borri P., Langbein W., Woggon U. Exciton dephasing via phonon interactions in InAs quantum dots: Dependence on quantum confinement // Phys. Rev. B. 2005. V. 71. P. 115328, https://doi.org/10.1103/PhysRevB.71.115328
- Johnsson M., Góngora D.R., Martinez-Pastor J.P., Volz T., Seravalli L., Trevisi G., Frigeri P., Muñoz-Matutano G. Ultrafast carrier redistribution in single InAs quantum dots mediated by wetting-layer dynamics // Phys. Rev. Appl. 2019. V. 11. P. 054043, https://doi.org/10.1103/PhysRevApplied.11.054043
- Kammerer C., Voisin C., Cassabois G., Delalande C., Roussignol Ph., Klopf F., Reithmaier J.P., Forchel A., Gérard J.M. Line narrowing in single semiconductor quantum dots: Toward the control of environment effects // Phys. Rev. B. 2002. V. 66. P. 041306(R), https://doi.org/10.1103/PhysRevB.66.041306
- Urbaszek B., McGhee E.J., Krüger M., Warburton R.J., Karrai K., Amand T., Gerardot B.D., Petroff P.M., Garcia J.M. Temperature-dependent linewidth of charged excitons in semiconductor quantum dots: Strongly broadened ground state transitions due to acoustic phonon scattering // Phys. Rev. B. 2004. V. 69. P. 035304, https://doi.org/10.1103/PhysRevB.69.035304
- An C.S., Jang Y.D., Lee H., Lee D., Song J.D., Choi W.J. Delayed emission from InGaAs/GaAs quantum dots grown by migration-enhanced epitaxy due to carrier localization in a wetting layer // J. Appl. Phys. 2013. V. 113. P. 173503, https://doi.org/10.1063/1.4803493
- Florian M., Gartner P., Steinhoff A., Gies C., Jahnke F. Coulomb-assisted cavity feeding in nonresonant optical emission from a quantum dot // Phys. Rev. B. 2014. V. 89. P. 161392(R), https://doi.org/10.1103/PhysRevB.89.161302
- Echeverri-Arteaga S., Vinck-Posada H., Gómez E.A. Explanation of the quantum phenomenon of off-resonant cavity-mode emission // Phys. Rev. A. 2018. V. 97. P. 043815, https://doi.org/10.1103/PhysRevA.97.043815
- Settnes M., Kaer P., Moelbjerg A., Mork J. Auger processes mediating the nonresonant optical emission from a semiconductor quantum dot embedded inside an optical cavity // Phys. Rev. Lett. 2013. V. 111. P. 067403, https://doi.org/10.1103/PhysRevLett.111.067403
- Minkov M., Dharanipathy U.P., Houdré R., Savona V. Statistics of the disorder-induced losses of high-Q photonic crystal cavities // Opt. Expr. 2013. V. 21. P. 28233, https://doi.org/10.1364/OE.21.028233
- Prasad T., Colvin V.L., Mittleman D.M. The effect of structural disorder on guided resonances in photonic crystal slabs studied with terahertz time-domain spectroscopy // Opt. Expr. 2007. V. 15. P. 16955, https://doi.org/10.1364/OE.15.016954
- Guo X.J., Wang Y.F., Jia Y.F., Zheng W.H. Electrically-driven spectrally-broadened random lasing based on disordered photonic crystal structures // Appl. Phys. Let. 2017. V. 111. P. 031113, https://doi.org/10.1063/1.4994325
- Tsukanov A.V., Kateev I.Y. Polarization converter of single photons on a two-dimensional quantum dot in an optical microresonator // Laser Phys. Lett. 2020. V. 17. P. 115204, https://doi.org/10.1088/1612-202X/abbf46
- Fushman I., Waks E., Englund D., Stoltz N., Petroff P., Vučković J. Ultrafast nonlinear optical tuning of photonic crystal cavities // Appl. Phys. Lett. 2007. V. 90. P. 091118, https://doi.org/10.1063/1.2710080
- Tsukanov A.V., Kateev I.Y. Generation of spatially entangled states in a photonic molecule containing a quantum dot // Laser Phys. Lett. 2023. V. 20. P. 116201, https://doi.org/10.1088/1612-202X/acf4ea
- Tsukanov A.V., Kateev I.Yu. Quantum memory node based on a semiconductor double quantum dot in a laser-controlled optical resonator // Quantum Electronics. 2017. V. 47. P. 748, https://doi.org/10.1070/QEL16319
- Tsukanov A.V., Kateev I.Yu. Photonic molecule with mechanical frequency tuning for the optical measurements of a semiconductor charge qubit // Russian Microelectronics. 2021. V. 50. P. 75, https://doi.org/10.1134/S1063739721020098
- Madsen K.H., Kaer P., Kreiner-Møller A., Stobbe S., Nysteen A., Mørk J., Lodahl P. Measuring the effective phonon density of states of a quantum dot in cavity quantum electrodynamics // Phys. Rev. B. 2013. V. 88. P. 045316, https://doi.org/10.1103/PhysRevB.88.045316
- Mickelsen D.L., Carruzzo H.M., Coppersmith S.N., Yu C.C. Effects of temperature fluctuations on charge noise in quantum dot qubits // Phys. Rev. B. 2023. V. 108. P. 075303, https://doi.org/10.1103/PhysRevB.108.075303
- Dalgarno P.A., Smith J.M., McFarlane J., Gerardot B.D., Karrai K., Badolato A., Petroff P.M., Warburton R.J. Coulomb interactions in single charged self-assembled quantum dots: Radiative lifetime and recombination energy // Phys. Rev. B. 2008. V. 77. P. 245311, https://doi.org/10.1103/PhysRevB.77.245311
- Ediger M., Bester G., Gerardot B.D., Badolato A., Petroff P.M., Karrai K., Zunger A., Warburton R.J. Fine structure of negatively and positively charged excitons in semiconductor quantum dots: electron-hole asymmetry // Phys. Rev. Lett. 2007. V. 98. P. 036808, https://doi.org/10.1103/PhysRevLett.98.036808
- Winger M., Volz T., Tarel G., Portolan S., Badolato A., Hennessy K.J., Hu E.L., Beveratos A., Finley J., Savona V., Imamoğlu A. Explanation of photon correlations in the far-off-resonance optical emission from a quantum-dot–cavity system // Phys. Rev. Lett. 2009. V. 103. P. 207403, https://doi.org/10.1103/PhysRevLett.103.207403
- Seravalli L., Trevisi G., Mũnoz-Matutano G., Rivas D., Martinez-Pastor J., Frigeri P. Sub-critical InAs layers on metamorphic InGaAs for single quantum dot emission at telecom wavelengths // Cryst. Res. Technol. 2014. V. 49. P. 540, https://doi.org/10.1002/crat.201300395
- Nguyen H.S., Sallen G., Abbarchi M., Ferreira R., Voisin C., Roussignol P., Cassabois G., Diederichs C. Photoneutralization and slow capture of carriers in quantum dots probed by resonant excitation spectroscopy // Phys. Rev. B. 2013. V. 87. P. 115305, https://doi.org/10.1103/PhysRevB.87.115305
- Nguyen H.S., Sallen G., Voisin C., Roussignol Ph., Diederichs C., Cassabois G. Optically gated resonant emission of single quantum dots // Phys. Rev. Lett. 2012. V. 108. P. 057401, https://doi.org/10.1103/PhysRevLett.108.057401
- Huber T., Predojević A., Solomon G.S., Weihs G. Effects of photo-neutralization on the emission properties of quantum dots // Opt .Expr. 2016. V. 24. P. 21794, https://doi.org/10.1364/OE.24.021794
- Seravalli L., Bocchi C., Trevisi G., Frigeri P. Properties of wetting layer states in low density InAs quantum dot nanostructures emitting at 1.3 μm: Effects of InGaAs capping // J. Appl. Phys. 2010. V. 108. P. 114313, https://doi.org/10.1063/1.3518049
- Seravalli L., Trevisi G., Frigeri P., Royce R.J., Mowbray D.J. Energy states and carrier transport processes in metamorphic InAs quantum dots // J. Appl. Phys. 2012. V. 112. P. 034309, https://doi.org/10.1063/1.4744981
- Wuetz B.P., Esposti D.D., Zwerver A.-M.J., Amitonov S.V., Botifoll M., Arbiol J., Sammak A., Vandersypen L.M.K., Russ M., Scappucci G. Reducing charge noise in quantum dots by using thin silicon quantum wells // Nat. Commun. 2023. V. 14. P. 1385, https://doi.org/10.1038/s41467-023-36951-w
- Chauvin N., Zinoni C., Francardi M., Gerardino A., Balet L., Alloing B., Li L.H., Fiore A. Controlling the charge environment of single quantum dots in a photonic-crystal cavity // Phys. Rev. B. 2009. V. 89. P. 241306(R), https://doi.org/10.1103/PhysRevB.80.241306
Supplementary files











