Анализ неоднородностей DpHEMT-структуры на основе GaAs/In0.53Ga0.47As после нейтронного воздействия
- Авторы: Голиков О.Л.1, Кодочигов Н.Е.2, Оболенский С.В.1, Пузанов А.С.1, Тарасова Е.А.1, Хазанова C.В.1
-
Учреждения:
- Нижегородский государственный университет им. Н.И. Лобачевского
- аНижегородский государственный университет им. Н.И. Лобачевского
- Выпуск: Том 53, № 1 (2024)
- Страницы: 3-7
- Раздел: ДИАГНОСТИКА
- URL: https://ogarev-online.ru/0544-1269/article/view/259575
- DOI: https://doi.org/10.31857/S0544126924010017
- ID: 259575
Цитировать
Полный текст
Аннотация
В работе приведены результаты исследований вольт-фарадных характеристик GaAs/In0.53Ga0.47As HEMT до и после нейтронного облучения флюенсом (6.3 ± 1.3) × 1014 у. е. На основании экспериментально полученных характеристик проведены расчеты эффективных профилей распределения электронов исследуемой структуры до и после облучения. Проведен анализ влияния радиационных дефектов на δ-слои исследуемой структуры.
Полный текст
ВВЕДЕНИЕ
Известно, что при нейтронном воздействии в полупроводниковых материалах и приборах на их основе возникают различные дефекты кристаллической структуры и их комплексы [1]. Размеры дефектов могут достигать несколько десятков нанометров, что становится сравнимо с активными областями современных диодов и транзисторов, и поэтому они могут влиять на протекание тока в структуре. В связи с этим необходимым становится детальный анализ параметров полупроводниковых HEMT-структур как до [2], так и после нейтронного воздействия.
Для определения профилей распределения электронов в полупроводниковых структурах обычно применяют метод вольт-фарадного профилирования [3–5]. Однако стандартный метод, основанный на дифференцировании экспериментально полученных вольт-фарадных характеристик (ВФХ) для гетероструктур с размерами слоев порядка 10 нм, не позволяет определять положение δ-слоя и квантовой ямы с достаточной точностью [6–9]. Последнее, в свою очередь, затрудняет анализ радиационных эффектов в наноразмерных гетероструктурах. В связи с этим требуется разработка дополнительных численных методов, позволяющих проводить анализ деградации параметров структур после радиационного воздействия.
ОБЪЕКТ ИССЛЕДОВАНИЯ
В работе исследовался DpHEMT на основе соединения GaAs/In0.53Ga0.47As с двумя δ-слоями со слоевой концентрацией примеси 2.4 × 1012 и 0.7 × 1012 см–2, изготовленный в МИЭТ, г. Зеленоград. Состав слоев приведен в табл. 1.
Таблица 1. Состав исследуемой структуры GaAs/In0.53Ga0.47As DpHEMT структуры
Состав структуры | H, нм | Nd, м–3 |
Слой, легированный кремнием Al0.23Ga0.77As | 13.0 | 5 × 1022 |
Спейсерный слой GaAs | 0.4 | |
δ-слой GaAs | 3.0 | 1.2 × 1025 |
Спейсерный слой GaAs | 0.4 | |
Спейсерный слой Al0.23Ga0.77As | 2.0 | |
Спейсерный слой GaAs | 15.0 | |
Канальный слой In0.53Ga0.47As | 12.0 | |
Спейсерный слой GaAs | 3.0 | |
Спейсерный слой Al0.23Ga0.77As | 2.0 | |
Спейсерный слой GaAs | 0.4 | |
δ-слой GaAs | 3.0 | 0.7 × 1025 |
Спейсерный слой GaAs | 0.4 | |
Спейсерный слой Al0.23Ga0.77As | 100.0 | |
Буферная гетероструктура GaAs | 440.0 | |
Подложка | 1000.0 |
ЭКСПЕРИМЕНТ
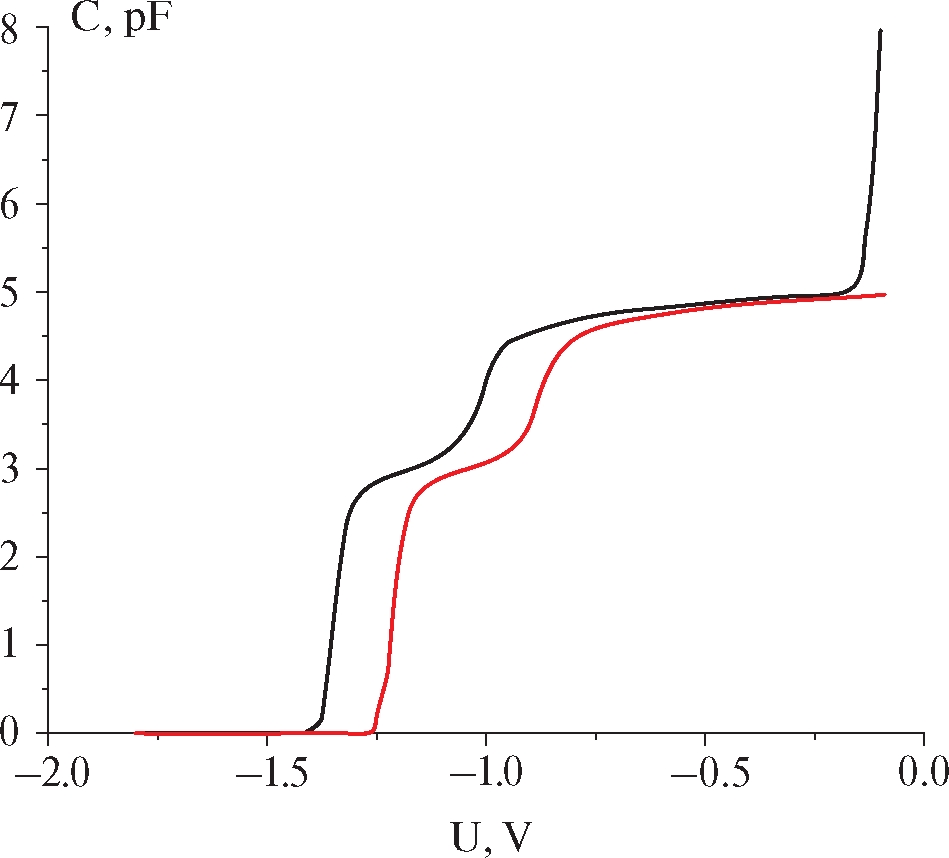
В работе проводились измерения сток-затворных и исток-затворных ВФХ исследуемого HEMT по методике, описанной в работе [10]. Измерения проводились как до, так и после облучения быстрыми нейтронами спектра деления со следующими характеристиками излучения: колоколообразный спектр, изотропность, средняя энергия — 1.26 МэВ, флюенс воздействия — (6.3 ± 1.3) × 1014 у. е. Проводились измерения шести различных образцов. Характерное поведение ВФХ до и после облучения показано на рис. 1.
Рис. 1. Сток-затворные ВФХ исследуемой структуры GaAs/In0.53Ga0.47As:
— до облучения;
— после нейтронного облучения;
○ экспериментальные данные;
○ численный расчет.
МЕТОДИКА РАСЧЕТОВ ПАРАМЕТРОВ ИССЛЕДУЕМОЙ СТРУКТУРЫ
На втором этапе работы проводилось моделирование энергетического спектра и ВФХ исследуемой структуры. Результаты расчетов ВФХ сравнивались с экспериментально полученными данными. Схема расчета основана на численном решении стационарного одноэлектронного уравнения Шрёдингера, согласованного с уравнением Пуассона:
, (1)
где — плавная огибающая волновой функции; V (z) — потенциальная энергия, определяемая разрывом зон и распределением электростатического потенциала, V (z) = ΔEC (z)− qΦ (z);
, (2)
где n, — концентрации электронов и ионизованных примесей соответственно.
Выражение для концентрации носителей n(z) = n3D(z) + n2D(z) определяется размерностью квантования:
, (3)
, (4)
где NC — эффективная плотность состояний в зоне проводимости; F1/2 — интеграл Ферми—Дирака порядка 1/2; EC — энергия дна зоны проводимости; EF — энергия уровня Ферми; Ei — энергия уровня квантования; k — постоянная Больцмана; T — температура.
Концентрация ионизованных примесей определяется выражением
, (5)
где gd — фактор вырождения донорного уровня; Ed — энергия донорного уровня.
Применяемая численная схема решения позволяет находить профили потенциала, уровни размерного квантования и концентрацию электронов в квантовой яме, используя как однородную, так и неоднородную координатную сетку. При этом можно плавно менять приложенное к затвору транзистора напряжение, концентрацию легирующей примеси и ряд других технологических параметров.
Методика расчета ВФХ и профилей наблюдаемой (эффективной) концентрации состоит в получении вольт-кулоновской характеристики Q(Vi). После численного дифференцирования данной зависимости Q (Vi), по данным первой и второй производных в соответствии с работой [4], рассчитываются ВФХ и профиль наблюдаемой концентрации:
. (6)
РЕЗУЛЬТАТЫ РАСЧЕТОВ И ИХ ОБСУЖДЕНИЕ
Вольт-фарадные характеристики рассчитывались для двух температур — 77 и 300 К как до, так и после нейтронного облучения. Результаты моделирования ВФХ для комнатной температуры приведены на рис. 1, для температуры 77 К — на рис. 2. С ростом напряжения обратного смещения происходит последовательное опустошение квантовой ямы от электронов. Так как изменение ширины области пространственного заряда барьера Шоттки блокируется ближайшей квантовой ямой, на ВФХ появляется ступенька, где емкость структуры не зависит от напряжения. Величину квазипостоянной емкости определяет изменение двумерного заряда в квантовой яме в соответствии с выражением (4). Следовательно, ВФХ, а вместе с ней и эффективная концентрация электронов, крайне чувствительна к температуре, так как определяется тепловым уширением края фермиевского распределения. При низких температурах происходит обеднение квантовой ямы, что приводит к появлению более резкой “полочки” на вольт-фарадной характеристике структуры [11].
Рис. 2. Результаты моделирования сток-затворных ВФХ исследуемой структуры GaAs/In0.53Ga0.47As для температуры 77 К: 1 — до облучения; 2 — после нейтронного облучения.
— до облучения
— после нейтронного облучения
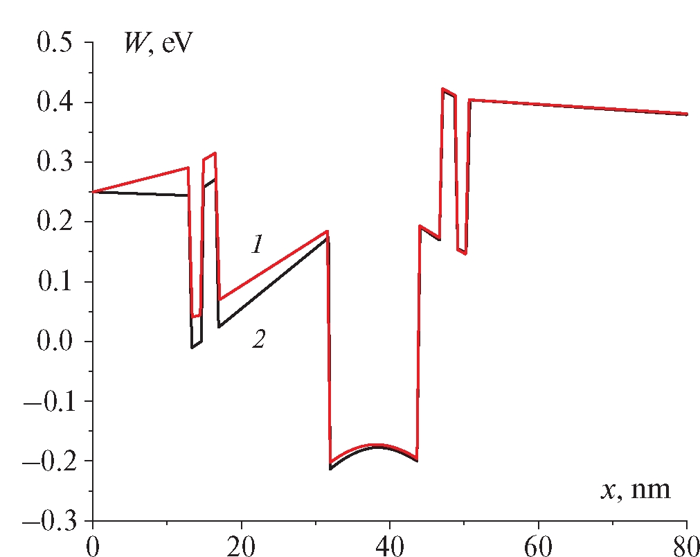
Далее рассчитывались зонные диаграммы структуры и эффективный профиль распределения электронов до и после нейтронного воздействия. Результаты расчетов приведены на рис. 3 и 4 соответственно.
Рис. 3. Результаты моделирования зонной диаграммы исследуемой структуры GaAs/In0.53Ga0.47As: 1 — до облучения; 2 — после нейтронного облучения.
— до облучения
— после нейтронного облучения
Рис. 4. Эффективный профиль концентрации исследуемой структуры GaAs/In0.53Ga0.47As: 1 — до облучения; 2 — после нейтронного облучения.
— до облучения
— после нейтронного облучения
На графике зависимости эффективной концентрации от координаты наблюдаются характерные максимумы, соответствующие основному и подлегирующему δ-слоям. Видно, что после облучения один из подлегирующих слоев частично “размывается”.
Для оценки влияния нейтронного облучения на характеристики δ-слоя была привлечена модель, изложенная в работе [12]. Вероятность обнаружения m кластеров радиационных дефектов Pm в δ-слое толщиной l подчиняется распределению Пуассона [13]:
, (7)
где Fn — флюенс нейтронов; S — площадь исследуемой структуры; N — концентрация атомов вещества; σ — усредненное по спектру нейтронов сечение взаимодействия.
Расчетная оценка показывает, что для флюенса нейтронов, реализованного в эксперименте, в среднем один кластер радиационных дефектов возникает на площади 1–2 мкм2 δ-слоя, в то время как эффективная проекция площади кластера радиационных дефектов составляет порядка 10–4 мкм2. Это позволяет применять одномерное приближение при расчетах, так как на макромасштабе электрическое поле однородно. Так как в области кластера радиационных дефектов кристаллическая структура полупроводника локально повреждается, в запрещенной зоне образуются глубокие уровни, которые заполняются основными носителями заряда. Это приводит к снижению концентрации электронов в δ-слое в области кластера радиационных дефектов и его “размыванию”, изменению концентрации носителей заряда в квантовой яме и к уменьшению тока, протекающего в исследуемом HEMT. Подобный эффект “размытия” был описан в [14].
ЗАКЛЮЧЕНИЕ
В работе проведены исследования GaAs/In0.53Ga0.47As DpHEMT структуры до и после нейтронного облучения. С помощью решения самосогласованного уравнения Шредингера и Пуассона рассчитаны зонные диаграммы структуры и ВФХ на основании экспериментально полученных данных. Моделирование ВФХ позволило интерпретировать изменения в квантоворазмерных слоях исследуемой структуры под действием ионизирующего излучения. Показано, что поведение эффективного профиля концентрации значительно зависит от уровня легирования и положения δ-слоев в структуре.
ФИНАНСИРОВАНИЕ
Работа профинансирована Министерством науки и высшего образования РФ в рамках государственного задания Нижегородского государственного университета им. Н.И. Лобачевского (FSWR-2021–011).
КОНФЛИКТ ИНТЕРЕСОВ
Авторы заявляют, что у них нет конфликта интересов.
Об авторах
О. Л. Голиков
Нижегородский государственный университет им. Н.И. Лобачевского
Email: tarasova@rf.unn.ru
Россия, Нижний Новгород
Н. Е. Кодочигов
аНижегородский государственный университет им. Н.И. Лобачевского
Email: tarasova@rf.unn.ru
Россия, Нижний Новгород
С. В. Оболенский
Нижегородский государственный университет им. Н.И. Лобачевского
Email: tarasova@rf.unn.ru
Россия, Нижний Новгород
А. С. Пузанов
Нижегородский государственный университет им. Н.И. Лобачевского
Email: tarasova@rf.unn.ru
Россия, Нижний Новгород
Е. А. Тарасова
Нижегородский государственный университет им. Н.И. Лобачевского
Автор, ответственный за переписку.
Email: tarasova@rf.unn.ru
Россия, Нижний Новгород
C. В. Хазанова
Нижегородский государственный университет им. Н.И. Лобачевского
Email: tarasova@rf.unn.ru
Россия, Нижний Новгород
Список литературы
- Агаханян Т.М., Аствацатурьян Е.Р., Скоробогатов П.К. Радиационные эффекты в интегральных микросхемах. М.: Энергоатомиздат, 1989. 256 с.
- Тарасова Е.А., Оболенский С.В., Хазанова С.В., Григорьева Н.Н., Голиков О.Л., Иванов А.Б., Пузанов А.С. Компенсация нелинейности сток-затворной вольт-амперной характеристики в полевых транзисторах с длиной затвора ~100 нм // Физика и техника полупроводников. Т. 54. № 9. С. 968–973.
- Петровская А.Н., Зубков В.И. Вольт-фарадные измерения гетероструктур с квантовыми ямами InGaAs/GaAs в диапазоне температур от 10 до 320 K // Физика и техника полупроводников. 2009. Т. 43. № 10. С. 1368–1373.
- Фролов Д.С., Яковлев Г.Е., Зубков В.И. Техника электрохимического вольт-фарадного профилирования сильно легированных структур с резким профилем распределения примеси // Физика и техника полупроводников. 2019. Т. 53. № 2. С. 281–286.
- Енишерлова К.Л., Колковский Ю.В., Бобров Е.А., Темпер Э.М., Капилин С.А. Влияние дефектов с глубокими уровнями на C–V-характеристики мощных AlGaN/GaN/SiC HEMT // Микроэлектроника. 2019. Т. 48. № 1. С. 47–55.
- Хазанова С.В., Дегтярев В.Е., Тихов С.В., Байдусь Н.В. Моделирование эффективного профиля концентрации в гетероструктурах InGaAs/GaAs с delta-легированными слоями // Физика и техника полупроводников. 2015. Т. 49. № 1. С. 53–57.
- Яковлев Г.Е., Дорохин М.В., Зубков В.И., Дудин А.Л. и др. Особенности электрохимического вольт-фарадного профилирования арсенид-галлиевых светоизлучающих и pHEMT-структур с квантово-размерными областями // Физика и техника полупроводников. 2018. Т. 52. № 8. С. 873–880.
- Солтанович О.А., Якимов Е.Б. Анализ температурных зависимостей вольт-фарадных характеристик светоизлучающих структур InGaN/GaN с множественными квантовыми ямами // Физика и техника полупроводников. 2012. Т. 46. № 12. С. 1597–1603.
- Lei W., Offer M., Lorke A. et al. Probing the band structure of InAs/GaAs quantum dots by capacitance-voltage and photoluminescence spectroscopy // APPLIED PHYSICS LETTERS. 2008. V. 92. P. 193111-1–193111-3.
- Тарасова Е.А., Оболенская Е.С., Хананова А.В., Оболенский С.В. и др. Теоретические и экспериментальные исследования вольт-амперных и вольт-фарадных характеристик HEMT-структур и полевых транзисторов // Физика и техника полупроводников. 2016. Т. 50. № 12. С. 1599–1604.
- Brounkov P.N., Benyattou T., Guillotb G. Simulation of the capacitance-voltage characteristics of a single‐quantum‐well structure based on the self‐consistent solution of the Schrödinger and Poisson equations // J. Appl. Phys. 80 (2), 15 July 1996.
- Оболенский С.В., Волкова Е.В., Логинов А.Б. и др. Комплексное исследование кластеров радиационных дефектов в GaAs-структурах после нейтронного воздействия // Письма в журнал технической физики. 2021. Т. 47. № 5. С. 38–41.
- Вентцель Е.С. Теория вероятностей. М.: Наука, 1969. 576 с.
- Кривулин Д.О., Пашенькин И.Ю., Горев Р.В., Юнин П.А., Сапожников M.В., Грунин А.В., Захарова С.А., Леонтьев В.Н. Влияние радиационного воздействия на магнитные свойства пленок ферромагнетик/IrMn с обменным сдвигом // Физика и техника полупроводников. 2023. Т. 93. № 7. С. 907–912.
Дополнительные файлы






