Electrophysical parameters of p-i-n photodiodes, irradiated with 60Co γ-quanta
- Authors: Kovalchuk N.S.1, Lastovsky S.B.2, Odzhaev V.B.3, Petlitsky A.N.1, Prosolovich V.S.3, Shestovsky D.V.1, Yavid V.Y.3, Yankovsky Y.N.3
-
Affiliations:
- Open Joint Stock Company "INTEGRAL" - management company of the holding "INTEGRAL"
- Scientific and Practical Center of the National Academy of Sciences of Belarus for Materials Science
- Belarusian State University
- Issue: Vol 52, No 6 (2023)
- Pages: 481-488
- Section: ПРИБОРЫ
- URL: https://ogarev-online.ru/0544-1269/article/view/231912
- DOI: https://doi.org/10.31857/S0544126923600264
- EDN: https://elibrary.ru/CKNJSW
- ID: 231912
Cite item
Full Text
Abstract
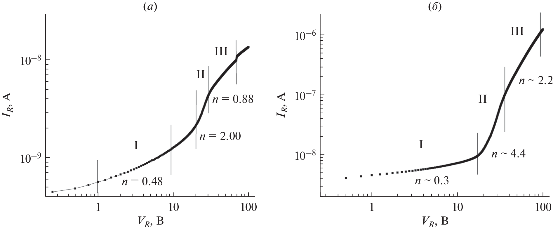
The results of studies of changes in the electrical parameters of p-i-n photodiodes manufactured on monocrystalline silicon wafers of p-type conductivity orientation (100) with ρ = 1000 Ohm cm, when irradiated with γ-quanta from a 60Co source, are presented. It has been established that as a result of irradiation of p-i-n photodiodes with doses up to 2·1015 quanta/cm2, the reverse dark current increases by more than an order of magnitude. However, the shape of the curve of the dependence of the current on the applied reverse voltage of irradiated p-i-n photodiodes does not change qualitatively, as for the original devices there are three regions with different dependences of current on voltage: sublinear, superlinear and linear, due to different mechanisms of generation-recombination processes in the depletion region of the p-n junction. The main reason for the increase in the reverse current of p-i-n photodiodes as a result of irradiation with γ-quanta is the formation of generation-recombination centers of radiation origin due to the condensation of primary radiation defects (vacancies and/or self-interstitial atoms) on technological residual structural defects formed during the growth of silicon single crystals, and during subsequent high-temperature treatments during the formation of devices.
About the authors
N. S. Kovalchuk
Open Joint Stock Company "INTEGRAL" - management company of the holding "INTEGRAL"
Email: prosolovich@bsu.by
st. Kazintsa, 121A, Minsk, 220108, Republic of Belarus
S. B. Lastovsky
Scientific and Practical Center of the National Academy of Sciences of Belarus for Materials Science
Email: prosolovich@bsu.by
st. Petrusya Brovki, 19, Minsk, 220072, Republic of Belarus
V. B. Odzhaev
Belarusian State University
Email: prosolovich@bsu.by
Independence Ave., 4, Minsk, 220050, Republic of Belarus
A. N. Petlitsky
Open Joint Stock Company "INTEGRAL" - management company of the holding "INTEGRAL"
Email: prosolovich@bsu.by
st. Kazintsa, 121A, Minsk, 220108, Republic of Belarus
V. S. Prosolovich
Belarusian State University
Email: prosolovich@bsu.by
Independence Ave., 4, Minsk, 220050, Republic of Belarus
D. V. Shestovsky
Open Joint Stock Company "INTEGRAL" - management company of the holding "INTEGRAL"
Email: prosolovich@bsu.by
st. Kazintsa, 121A, Minsk, 220108, Republic of Belarus
V. Yu. Yavid
Belarusian State University
Email: prosolovich@bsu.by
Independence Ave., 4, Minsk, 220050, Republic of Belarus
Yu. N. Yankovsky
Belarusian State University
Author for correspondence.
Email: prosolovich@bsu.by
Independence Ave., 4, Minsk, 220050, Republic of Belarus
References
- Pereira do Carmo J., Moebius B., Pfennigbauer M., Bond R., Bakalski I., Foster M., Bellis S., Humphries M., Fisackerly R., Houdou B. Imaging lidars for space applications // Novel Optical Systems Design and Optimization XI.2008. V. 7061. P. 70610J-01‒70610J-12.
- De Carlo P.M., Roberto L., Marano G., L’Abbate M., Oricchio D., Venditti P. // Intersatellite link for earth observation satellites constellation // SPACEOPS, Roma, Italy. 2006. P. 19–23.
- Оджаев В.Б., Петлицкий А.Н., Просолович В.С., Филипеня В.А., Шестовский Д.В., Явид В.Ю., Янковский Ю.Н., Мавланов Г.Х., Исмайлов Б.К., Кенжаев З.Т. Электрофизические параметры p-i-n-фотодиодов // Сборник научных трудов II международной научной конференции “Наноструктурные полупроводниковые материалы в фотоэнергетике”, Ташкент, Узбекистан, 19–20 ноября 2021. Ташкент: ТашГТУ, 2021. С. 24–29.
- Sze S.M., Lee M.K. Semiconductor Devices: Physics and Technology. Pub. 3. John Wiley & Sons Singapore Pte. Limited, 2012. 582 p.
- Вопросы радиационной технологии полупроводников / Под ред. Смирнова Л.С. Новосибирск: Изд-во “Наука”, Сибирское отделение, 1980. 296 с.
- Макаренко Л.Ф., Ластовский С.Б., Гаубас Э., Павлов Е., Молл М., Якушевич А.С., Мурин Л.И. Инжекционный отжиг комплекса собственное димеждоузлие–кислород в кремнии p-типа // Весці Нацыянальнай акадэміі навук Беларусі. Серыя фізіка-матэматычных навук. 2018. Т. 54. № 2. С. 220–228.
Supplementary files









