Study of the Sensitive Region of a MOS Transistor to the Effects of Secondary Particles Arising from Ionizing Radiation
- Authors: Glushko A.A.1, Morozov S.A.1, Chistyakov M.G.2
-
Affiliations:
- Scientific Research Institute for System Analysis, Russian Academy of Sciences
- Bauman Moscow State Technical University
- Issue: Vol 52, No 4 (2023)
- Pages: 282-289
- Section: НАДЕЖНОСТЬ
- URL: https://ogarev-online.ru/0544-1269/article/view/138563
- DOI: https://doi.org/10.31857/S0544126923700448
- EDN: https://elibrary.ru/NXDJBB
- ID: 138563
Cite item
Full Text
Abstract
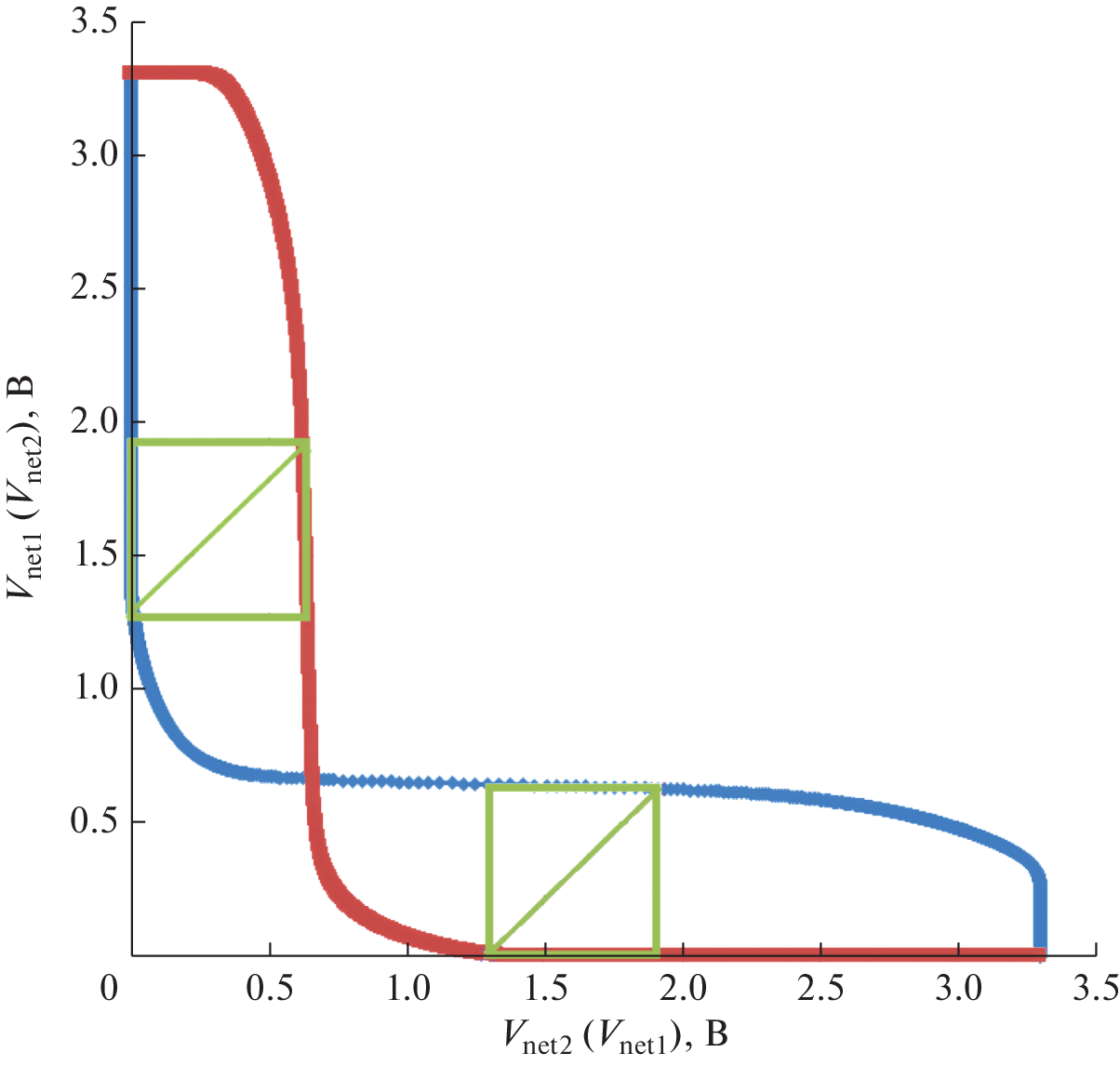
It was shown in [1, 2] that the dependence of the fault tolerance of a static RAM cell on the energy of secondary particles resulting from the action of a neutron flux does not take into account another signifi-cant factor—the part of the transistor in which these secondary particles are generated. In order to determine the area of the memory cell in which the impact of secondary particles can lead to a failure, the probability of a failure depending on the location of the occurrence of the secondary particle is studied. A method for ana-lyzing the accumulated charge is proposed for assessing the fault tolerance of a static random access memory cell depending on the place of occurrence of the secondary particle and the charge corresponding to the mar-gin of static noise immunity. The analysis is carried out based on the results of the instrumental-technological simulation of a single MOS transistor, which is part of a static RAM cell, and the integration of the obtained values of the current responses from the regions of the transistor.
Keywords
About the authors
A. A. Glushko
Scientific Research Institute for System Analysis, Russian Academy of Sciences
Email: andrei19386@mail.ru
Moscow, 117218 Russia
S. A. Morozov
Scientific Research Institute for System Analysis, Russian Academy of Sciences
Email: Sergey_Morozov@srisa.ru
Moscow, 117218 Russia
M. G. Chistyakov
Bauman Moscow State Technical University
Author for correspondence.
Email: chistyakov.mikhail.g@gmail.com
Moscow, 105005 Russia
References
- Глушко А.А., Чистяков М.Г., Кудинов И.В., Морозов С.А., Яшин Г.А., Амирханов А.В., Макарчук В.В., Зинченко Л.А. Методика сопряжения Монте-Карло моделирования радиационного транспорта и приборно-технологического моделирования для исследования одиночных сбоев / В сборнике докладов Международного форума “Микроэлектроника 2018” 4-й научной конференции “Электронная компонентная база и электронные модули”, Республика Крым, г. Алушта, 1–6 октября 2018 г., М., Изд-во “Техносфера”. С. 292–293.
- Чистяков М.Г. Исследование и оптимизация по критерию сбоеустойчивости ячейки памяти для технологии КНИ КМОП 0.25 мкм при облучении быстрыми нейтронами В сборнике докладов Международного форума “Микроэлектроника 2017” 3‑й научной конференции “Электронная компонентная база и электронные модули”, Республика Крым, г. Алушта, 2–7 октября 2017 г., М., Изд-во “Техносфера”. С. 351–358.
- Gordon M.S., Goldhagen P., Rodbell K.P., Zabel T.H., Tang H.H.K., Clem J.M., Bailey P. Measurement of the flux and energy spectrum of cosmic-ray induced neutrons on the ground / IEEE Transactions on Nuclear Science. 2004. V. 51. Issue 6.
- Batista A.J.N., Leong C., Santos B., Fernandes A., Ramos A.R., Santos J.P., Marques J.G., Teixeira J.P., Gonçalves B. Test results of an ITER relevant FPGA when irradiated with neutrons / 4th International Conference on Advancements in Nuclear Instrumentation Measurement Methods and their Applications (ANIMMA), Lisbon, Portugal, 20–24 April 2015, IEEE.
- Dodd P.E., Sexton F.W. Critical Charge Concepts for CMOS SRAMs / IEEE Transactions on Nuclear Science. 1995. V. 42. № 6.
- Seevinck E., List F.J., Lohstroh J. Static-Noise Margin Analysis of MOS SRAM Cells / IEEE J. Solid-State Circuits. 1987. V. Sc-22. № 5.
Supplementary files











