Запись поляризационного состояния фотона в коррелированные электронные состояния массива квантовых точек
- Авторы: Цуканов А.В.1, Катеев И.Ю.1
-
Учреждения:
- Физико-технологический институт им. К.А. Валиева РАН
- Выпуск: Том 52, № 3 (2023)
- Страницы: 183-199
- Раздел: КВАНТОВЫЕ ТЕХНОЛОГИИ
- URL: https://ogarev-online.ru/0544-1269/article/view/138556
- DOI: https://doi.org/10.31857/S054412692370028X
- EDN: https://elibrary.ru/UCJOGB
- ID: 138556
Цитировать
Полный текст
Аннотация
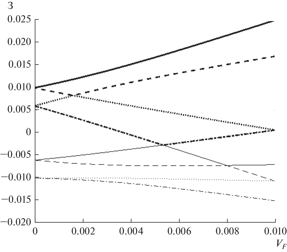
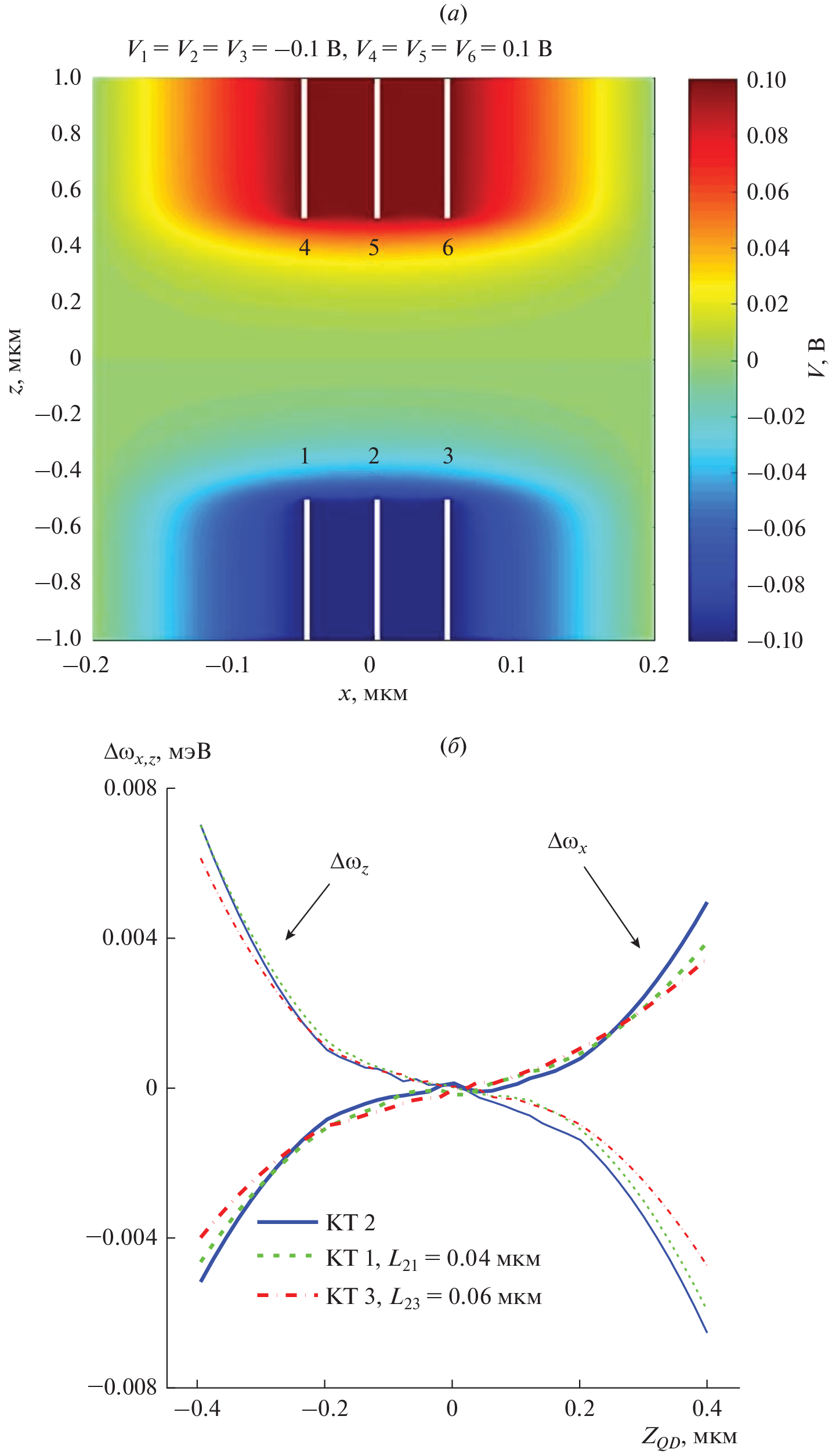
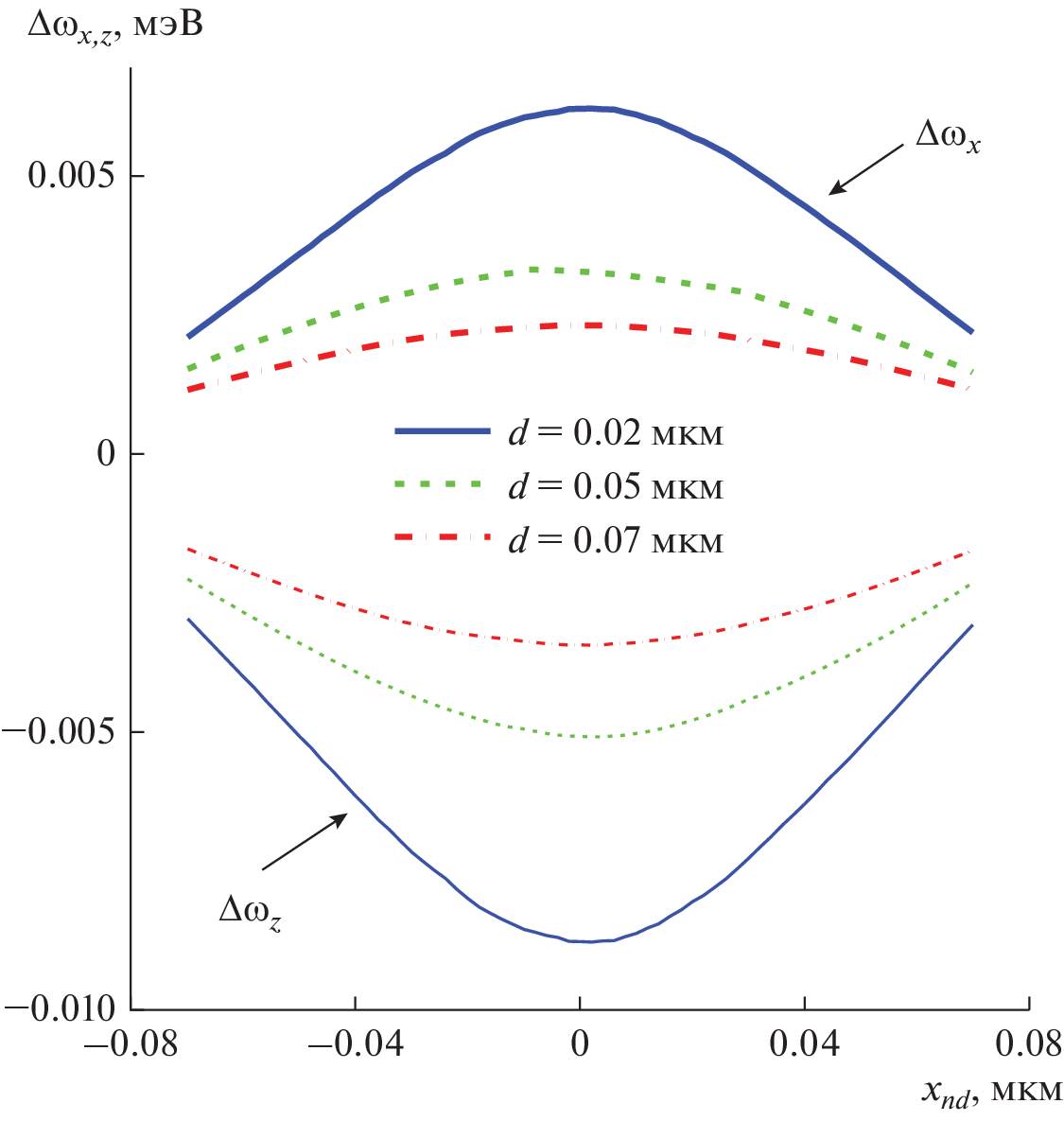
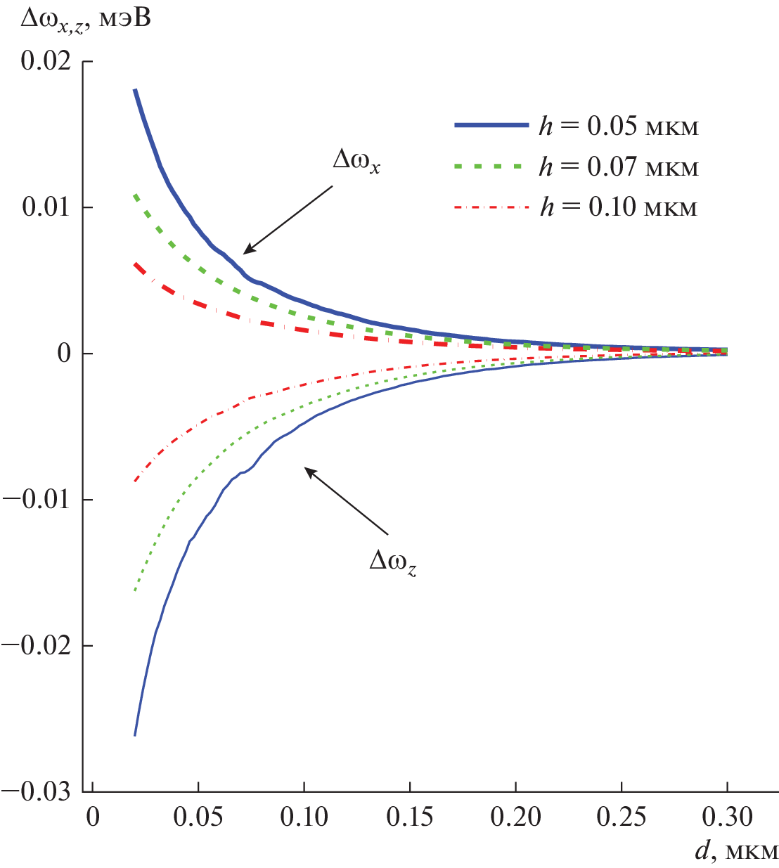
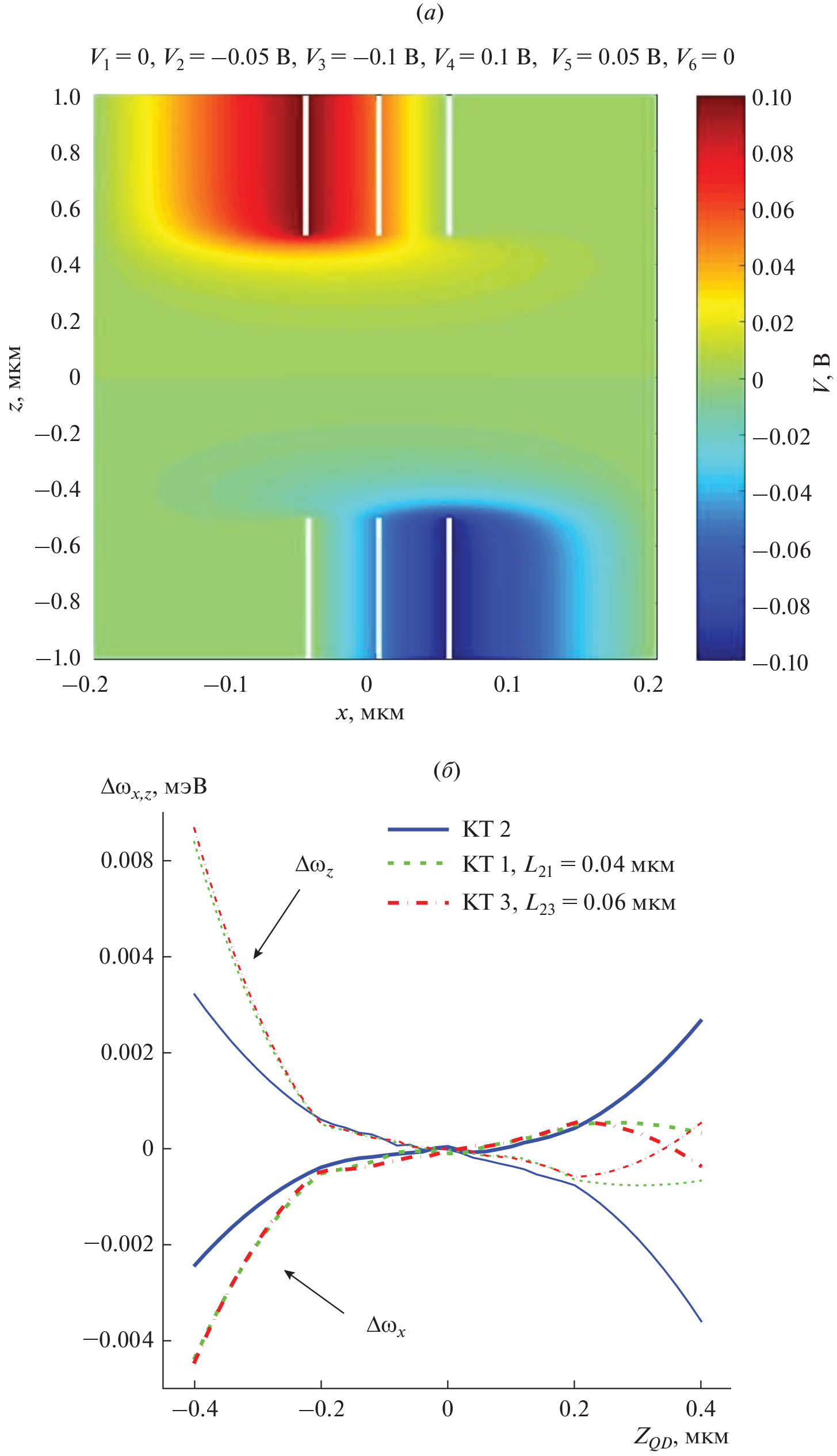
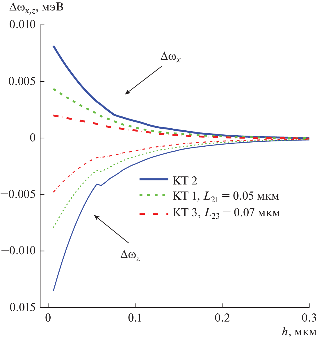
Предложена схема преобразования транспортного фотонного кубита в стационарный кубит, представленный электронными состояниями квантовых точек. Выбор базисных состояний кубита в виде антисимметричных комбинаций возбужденных состояний массива квантовых точек обеспечивает их устойчивость по отношению к процессам фотонной/фононной релаксации. Формирование данных состояний обусловлено взаимодействиями Штарка и Ферстера между электронами, локализованными в квантовых точках. Рассмотрен алгоритм контролируемой трансформации (записи) фотонного состояния в электронные состояния квантовых точек с использованием оптических и электростатических полей. Исследована возможность подстройки частоты электронных переходов в квантовых точках в арсенид-галлиевой наноструктуре с помощью металлических затворов и заряженной иглы кантилевера.
Ключевые слова
Об авторах
А. В. Цуканов
Физико-технологический институт им. К.А. Валиева РАН
Email: tsukanov@ftian.ru
Россия, 117218, Москва, Нахимовский проспект, 34
И. Ю. Катеев
Физико-технологический институт им. К.А. Валиева РАН
Автор, ответственный за переписку.
Email: ikateyev@mail.ru
Россия, 117218, Москва, Нахимовский проспект, 34
Список литературы
- Нильсен М., Чанг Н. Квантовые вычисления и квантовая информатика. Пер. с англ. М.: Мир, 2006.
- Валиев К.А. Квантовые компьютеры и квантовые вычисления // УФН. 2005. Т. 175. С. 3.
- Plenio M.B., Vedral V., Knight P.L. Quantum error correction in the presence of spontaneous emission // Phys. Rev. A. 1997. V. 55. Р. 67.
- Lidar D.A., Whaley K.B. Decoherence-free subspaces and subsystems. Springer Lecture Notes in Physics. Springer, 2003. V. 622. P. 83.
- Цуканов А.В., Катеев И.Ю. Квантовые операции на зарядовых кубитах с электростатическим управлением в полупроводниковых резонаторах // Микроэлектроника. 2013. Т. 42. С. 246.
- Цуканов А.В., Катеев И.Ю. Квантовые вычисления на квантовых точках в полупроводниковых микрорезонаторах. Часть I // Микроэлектроника. 2014. Т. 43. С. 323.
- Цуканов А.В., Катеев И.Ю. Квантовые вычисления на квантовых точках в полупроводниковых микрорезонаторах. Часть II // Микроэлектроника. 2014. Т. 43. С. 403.
- Цуканов А.В., Катеев И.Ю. Квантовые вычисления на квантовых точках в полупроводниковых микрорезонаторах. Часть III // Микроэлектроника. 2015. Т. 44. С. 79.
- Головинский П.А. Влияние эффекта Штарка на резонансный перенос возбуждения между квантовыми точками // ФТП. 2014. Т. 48. С. 781.
- Krause P., Tremblay J.C., Bande A. Atomistic simulations of laser-controlled exciton transfer and stabilization in symmetric double quantum dots // J. Phys. Chem. A. 2021. V. 125. P. 4793.
- Nazir A., Lovett B.W., Barrett S.D., Reina J.H., Briggs G.A.D. Anticrossings in Förster coupled quantum dots // Phys. Rev. B. 2005. V. 71. P. 045334.
- Цуканов А.В., Катеев И.Ю. Взаимодействие массива одноэлектронных квантовых точек с полем микрорезонатора с учетом кулоновских корреляций // Квант. электрон. 2022. Т. 52. С. 474.
- Liu H., Fujisawa T., Inokawa H., Ono Y., Fujiwara A., and Hirayama Y. A gate-defined silicon quantum dot molecule // Appl. Phys. Lett. 2008. V. 92. P. 222104.
- Prabhakar S., Raynolds J.E. Gate control of a quantum dot single-electron spin in realistic confining potentials: Anisotropy effects // Phys. Rev. B. 2009. V. 79. P. 195307.
- Bednarek S., Szafran B., Adamowski J. Theoretical description of electronic properties of vertical gated quantum dots // Phys. Rev. B. 2001. V. 64. P. 195303.
- Rahman S., Gorman J., Barnes C.H.W., Williams D.A., and Langtangen H.P. Finite-element analysis of a silicon-based double quantum dot structure // Phys. Rev. B. 2006. V. 73. P. 233307.
- Larionov A.A., Fedichkin L.E., Kokin A.A., Valiev K.A. The nuclear magnetic resonance spectrum of 31P donors in a silicon quantum computer // Nanotechnology. 2000. V. 11. P. 392.
- Цуканов А.В. Принцип измерения электронной населенности квантовой точки с помощью однофотонного транзистора на основе массива квантовых точек // Квант. электрон. 2021. Т. 51. С. 718.
- Tsukanov A.V., Kateev I.Yu. Optical measurement of a quantum dot state in a microdisk by a Stark transducer // Laser Phys. Lett. 2022. V. 19. P. 086201.
- Lovett B.W., Reina J.H., Nazir A., Briggs G.A.D. Optical schemes for quantum computation in quantum dot molecules // Phys. Rev. B. 2003. V. 68. P. 205319.
Дополнительные файлы












