Контактно-транспортные и автоэмиссионные свойства низкоразмерных 2D углеродных гетероструктур
- Authors: 1, 2
-
Affiliations:
- Саратовский филиал Института радиотехники и электроники имени В.А. Котельникова РАН
- Саратовский национальный исследовательский государственный университет имени Н.Г. Чернышевского
- Issue: Vol 52, No 1 (2023)
- Pages: 71-76
- Section: ПРИБОРЫ
- URL: https://ogarev-online.ru/0544-1269/article/view/138495
- DOI: https://doi.org/10.31857/S0544126922700168
- EDN: https://elibrary.ru/CXVITG
- ID: 138495
Cite item
Full Text
Abstract
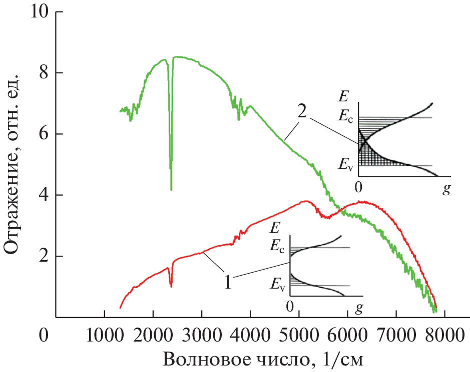
Приведены результаты электрических при комнатной температуре и автоэмиссионных измерений низкоразмерных 2D углеродных гетероструктур с различным электронным обогащением слоев. Установлено, что с уменьшением толщины обедненного электронами углеродного слоя до величины сравнимой с длиной волны де Бройля за счет размерного квантования увеличивается прозрачность потенциальных барьеров, которые приводят к усилению выпрямляющих свойств низкоразмерных углеродных гетероструктур и, более чем на порядок увеличивают максимальные полевые токи катодных матриц на их основе.
About the authors
Саратовский филиал Института радиотехники и электроники
имени В.А. Котельникова РАН
Author for correspondence.
Email: pirpc@yandex.ru
Россия, Саратов
Саратовский национальный исследовательский государственный
университет имени Н.Г. Чернышевского
Email: pirpc@yandex.ru
Россия, Саратов
References
- Фурсей Г.Н., Поляков М.А., Кантонистов А.А., Яфясов А.М., Павлов Б.С., Божевольнов В.Б. Автоэлектронная и взрывная эмиссия из графеноподобных структур // ЖТФ. 2013. Т. 83. Вып. 6. С. 71‒77.
- Усанов Д.А., Яфаров Р.К. Методы получения и исследования самоорганизующихся наноструктур на основе кремния и углерода // Учеб.-метод. пособие для студентов фак. нано- и биомед. технологий. Саратов: Изд-во Сарат. ун-та, 2011. 124 с.
- Давидович М.В., Яфаров Р.К. Автоэмиссионная шахматная структура на основе алмазографитовых кластеров // ЖТФ. 2018. Т. 88. Вып. 6. С. 283–293.
- Яфаров Р.К., Нефедов Д.В. Влияние электропроводности углеродных пленочных нанокомпозитов на автоэмиссионные характеристики планарно-торцевых источников электронов // Радиотехника. 2019 № 7(10). С. 45–51.
- Яфаров Р.К., Нефедов Д.В., Сторублев А.В. Вакуумно-плазменные процессы при экстремальной полевой эмиссии в алмазографитовых источниках электронов. // Изв. Сарат. ун-та. Нов. сер. Сер. Физика. 2021. Т. 20. Вып. 1. С. 69–89.
- Mori T., Hamaguchi C., Shibatomi A. Hot electron effect in short n+ – n – n+ GaAs structures // Jap. J. Appl. Phys. 1984. V. 23. № 2. P. 212–215.
- Яфаров Р.К. Влияние плазмохимической модификации поверхности на электронный транспорт и работу выхода в кремниевых кристаллах // ФТП. 53 (1). 18 (2019).
- Яфаров Р.К. Автоэмиссия многоострийных катодных матриц на кремнии p-типа в сильных импульсных электрических полях // Письма в ЖТФ. 45 (9). 3 (2019).
- Бонч-Бруевич В.Л., Калашников С.Г. Физика полупроводников. М.: Наука, 1977. 672 с.
- Блохинцев Д. И. Основы квантовой механики. М.: Наука, 1983. 664 с.
Supplementary files








