Моделирование дефектной структуры суперъячейки и явления переноса в TlInTe2
- Авторы: Асадов М.М.1,2, Мустафаева С.Н.3, Гусейнова С.С.3, Лукичев В.Ф.4
-
Учреждения:
- Институт катализа и неорганической химии им. М.Ф. Hагиева, Министерство науки и образования Азербайджана
- Научно-исследовательский институт “Геотехнологические проблемы нефти, газа и химии” АГУНП
- Институт физики, Министерство науки и образования Азербайджана
- Физико-технологический институт им. К.А. Валиева РАН
- Выпуск: Том 52, № 1 (2023)
- Страницы: 46-57
- Раздел: МОДЕЛИРОВАНИЕ ТЕХНОЛОГИЧЕСКИХ ПРОЦЕССОВ
- URL: https://ogarev-online.ru/0544-1269/article/view/138489
- DOI: https://doi.org/10.31857/S0544126922700181
- EDN: https://elibrary.ru/CXXQYI
- ID: 138489
Цитировать
Полный текст
Аннотация
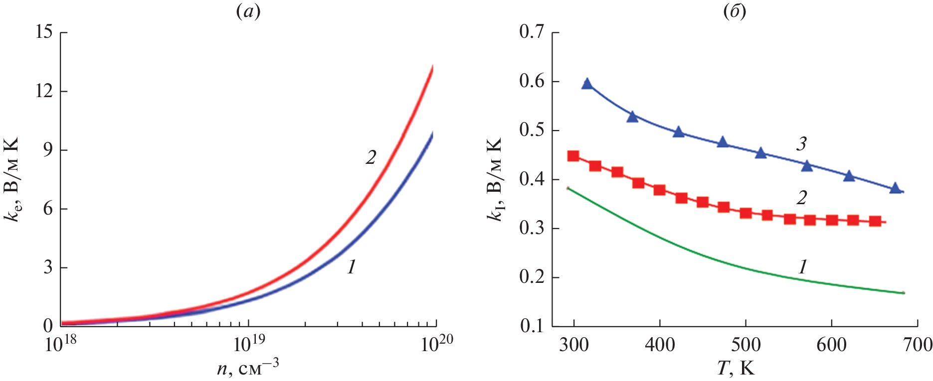
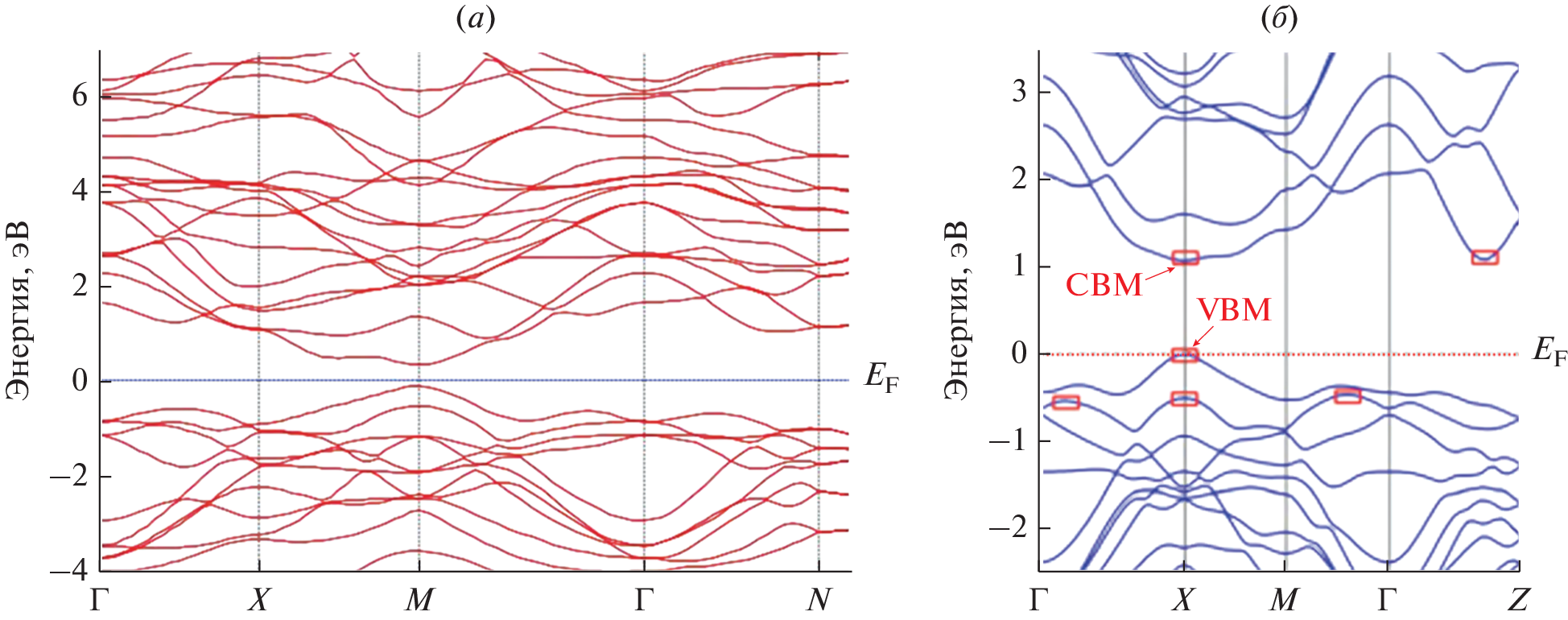
Локальное окружение атомов в полупроводниковом соединении TlInTe2 с тетрагональной сингонией исследовано методом теории функционала плотности (DFT). Введение точечного дефекта (вакансий индия) в решетку TlInTe2 моделировалось с использованием суперъячеек. DFT-моделирование электронных свойств (полные и локальные парциальные плотности состояний электронов (РDOS)) проводилoсь как для примитивной ячейки TlInTe2 (16 атомов на элементарную ячейку), так и для дефектной суперячейки TlInTe2\( - {{{\text{V}}}_{{{\text{In}}}}}\) (где \({{{\text{V}}}_{{{\text{In}}}}} - \) вакансия In) состоящей из 32 атомов. DFT-GGA расчеты зонной структуры TlInTe2\( - {{{\text{V}}}_{{{\text{In}}}}}\) показали, что ширина запрещенной зоны (\({{E}_{{\text{g}}}}\)) составляет \({{E}_{{\text{g}}}}\) = 1.21 эВ. Это значение значительно отличается от экспериментального значения. Для корректировки взаимодействия частиц в решетке использовали модель Хаббарда. Рассчитанная DFT-GGA + U (U – потенциал Хаббарда) способом запрещенная зона TlInTe2\( - {{{\text{V}}}_{{{\text{In}}}}}\) составляет \({{E}_{{\text{g}}}} = ~\) 0.97 эВ. Для суперъячейки TlInTe2\( - {{{\text{V}}}_{{{\text{In}}}}}\) вычислены энергии образования вакансии, химический потенциал индия, а также стандартная энтальпия образования TlInTe2. При объяснении влияния различных факторов на явления переноса в TlInTe2, их теплопроводность и электропроводность использованы как DFT-расчетные, так и экспериментальные данные. С учетом экспериментальных данных для кристаллов р-TlInTe2 установлен механизм проводимости в направлении структурных цепочек (с-оси кристалла). В интервале температур \(T\) = 148–430 K оценили величину запрещенной зоны \({{E}_{{\text{g}}}}\) = 0.94 эВ и энергию активации примесной проводимости \({{E}_{t}}\) = 0.1 эВ (при 210–300 К). При температурах \(T\) ≤ 210 К в кристаллах р-TlInTe2 имеет место прыжковая проводимость на постоянном токе. С учетом этого для р-TlInTe2 вычислены следующие физические параметры: плотность состояний, локализованных вблизи уровня Ферми, их энергетический разброс и среднее расстояние прыжков.
Об авторах
М. М. Асадов
Институт катализа и неорганической химии им. М.Ф. Hагиева, Министерствонауки и образования Азербайджана; Научно-исследовательский институт “Геотехнологические
проблемы нефти, газа и химии” АГУНП
Email: mirasadov@gmail.com
Азербайджан, AZ-1143, Баку, пр. Г. Джавида, 113; Азербайджан, AZ-1010, Баку, пр. Азадлыг, 20
С. Н. Мустафаева
Институт физики, Министерство науки и образования Азербайджана
Email: lukichev@ftian.ru
Азербайджан, AZ-1143, Баку, пр. Г. Джавида, 13
С. С. Гусейнова
Институт физики, Министерство науки и образования Азербайджана
Email: lukichev@ftian.ru
Азербайджан, AZ-1143, Баку, пр. Г. Джавида, 13
В. Ф. Лукичев
Физико-технологический институт им. К.А. Валиева РАН
Автор, ответственный за переписку.
Email: lukichev@ftian.ru
Россия, 117218, Москва, Нахимовский просп., 36, корп. 1
Список литературы
- Muller D., Eulenberger G., Hahn H. Uber ternare Thalliumchalkogenide mit Thalliumselenidstruktur // Zeitschrift Fur Anorganische Und Allgemeine Chemie, 1973. V. 398. № 2. P. 207–220. https://doi.org/10.1002/zaac.19733980215
- Al-Ghamdi A.A., Nagat A.T., Al-Hazmi F.S., Al-Heniti S., Bahabri F.S., Mobarak M.M., Alharbi S.R. Growth and Electrical Characterization of TlInTe2 Single Crystal // Journal of the King Abdulaziz Univ. Sci. 2008. V. 20. P. 27–38.
- Ding G., He J., Cheng Z. X., Wang X., Li S. Low lattice thermal conductivity and promising thermoelectric figure of merit of Zintl type TlInTe2 // Journal of Materials Chemistry C. 2018. V. 6. P. 13269-13274. https://doi.org/10.1039/c8tc034
- Jana M.K., Pal K., Warankar A., Mandal P., Waghmare U.V., Biswas K. Intrinsic Rattler-Induced Low Thermal Conductivity in Zintl Type TlInTe2 // Journal of the American Chemical Society. 2017. V. 139. № 12. P. 4350–4353. https://doi.org/10.1021/jacs.7b01434
- Madelung O. Semiconductors: Data Handbook. Springer-Verlag, Berlin, Heidelberg, New York. 3rd edition. 2004. 691 c. ISBN 978-3-642-62332-5
- Asadov M.M., Mustafaeva S.N., Mamedov A.N. Dielectric Properties and Heat Capacity of (TlInSe2)1–x(TlGaTe2)x Solid Solutions // Inorganic Materials. 2015. V. 51. № 8. P. 772–778. https://doi.org/10.1134/S0020168515080051
- Asadov M.M., Mustafaeva S.N., Guseinova S.S., Lukichev V.F. Ab Initio Calculations of the Electronic Properties and the Transport Phenomena in Graphene Materials // Physics of the Solid State. 2020. V. 62. № 11. P. 2224–2231. https://doi.org/10.1134/S1063783420110037
- Asadov M.M., Mustafaeva S.N., Guseinova S.S., Lukichev V.F. Ab initio modeling of the location and properties of ordered vacancies on the magnetic state of a graphene monolayer // Physics of the Solid State. 2021. V. 63. № 5. P. 797–806. https://doi.org/10.1134/S1063783421050036
- Perdew J.P., Burke K., Ernzerhof M. Generalized gradient approximation made simple // Physical Review Letters. V. 77. P. 3865–3868. https://doi.org/10.1103/PhysRevLett.77.3865
- Monkhorst H.J., Pack J.D. Special points for Brillouin-zone integrations // Physical Review B. 1976. V. 13. № 12. P. 5188–5192. https://doi.org/10.1103/physrevb.13.5188
- Mustafaeva S.N., Asadov M.M., Guseinova S.S., Dzhabarov A.I., Lukichev V.F. Electronic, dielectric properties and charge transfer in a TlGaS2:Nd3+ single crystal at direct and alternating current // Physics of the Solid State. 2022. Vol. 64. No. 4. P. 432–439. https://doi.org/10.21883/PSS.2022.04.53497.251
- Hubbard J. Electron Correlations in Narrow Energy Bands. Proceedings of the Royal Society A: Mathematical, Physical and Engineering Sciences. 1963. V. 276. № 1365. P. 238–257. https://doi.org/10.1098/rspa.1963.0204
- Peles A. GGA + U method from first principles: application to reduction–oxidation properties in ceria-based oxides // Journal of Materials Science. 2012. V. 47. № 21. P. 7542–7548. https://doi.org/10.1007/s10853-012-6423-1
- Born M., Mayer J.E. Zur Gittertheorie der Ionenkristalle // Zeitschrift für Physik. 1932. Vol. 75. No 1-2. P. 1–18.https://doi.org/10.1007/bf01340511
- Mustafaeva S.N., Gasymo Sh.G., Asadov M.M. Electrical properties of TlGaTe2 single crystals under hydrostatic pressure // Journal of Physics and Chemistry of Solids. 2011. V. 72. № 6. P. 657–660. https://doi.org/10.1016/j.jpcs.2011.02.007
- Mustafaeva S.N., Gasymo Sh.G., Asadov M.M. DC-Electrical Properties of TlGaTe2 Single Crystals under Hydrostatic Pressure // Physics Research International. 2011. Article ID 513848. P. 1–5. https://doi.org/10.1155/2011/513848
- Mustafaeva S.N., Gasymo Sh.G., Asadov M.M. Conductivity anisotropy of a TlGaTe2 chain single crystal under hydrostatic pressure // Physics of the Solid State. 2012. Vю 54. № 1. P. 44–47. https://doi.org/10.1134/s1063783412010246
- Mustafaeva S.N., Asadov M.M., Ismaĭlov A.A. Effect of gamma irradiation on the dielectric properties and electrical conductivity of the TlInS2 single crystal // Physics of the Solid State. 2009. V. 51. № 11. P. 2269–2273. https://doi.org/10.1134/s1063783409110122
- Мустафаева С.Н., Асадов М.М., Гусейнова С.С., Гасанов Н.З., Лукичев В.Ф. Ab initio расчеты электронных свойств, частотная дисперсия диэлектрических коэффициентов и край оптического поглощения монокристаллов TlInS2 // Физика твердого тела. 2022. Т. 64. Вып. 6. С. 628–638. 10.21883/FTТ.2022.06.52388.299
- Job G., Rüffler R. Physikalische Chemie. Vieweg + Teubner Verlag. Springer Fachmedien Wiesbaden GmbH. 2011. ISBN 978-3-8351-0040-4
- TlInTe2. ID:mp-22791 // https://materialsproject.org/ materials/mp-22791/
- Wakita K., Shim Y., Orudzhev G., Mamedov N., Hashimzade F. Band structure and dielectric function of TlInTe2 // Phys. Status Solidi A, 2006. V. 203. № 11. P. 2841–2844. https://doi.org/10.1002/pssa.200669566
- Thermoelectrics Handbook. Macro to Nano. Ed. D.M. Rowe. CRC. Taylor & Francis Group, LLC. Boca Raton, US. (2006). 954 p. ISBN13: 978-0-8493-2264-8.
- Sofo J.O., Mahan G.D. Optimum band gap of a thermoelectric material // Physical Review B. 1994. V. 49. № 7. P. 4565–4570. https://doi.org/10.1103/PhysRevB.49.4565
- Matsumoto H., Kurosaki K., Muta H., Yamanaka S. Systematic investigation of the thermoelectric properties of TlMTe2 (M = Ga, In, or Tl) // Journal of Applied Physics, 2008. V. 104. № 7. P. 073705–4. https://doi.org/10.1063/1.2987471
- Wu M., Enamullah, Huang L. Unusual lattice thermal conductivity in the simple crystalline compounds TlXTe2 (X = Ga, In) // Physical Review B. 2019. V. 100. № 7. P. 075207–. https://doi.org/10.1103/PhysRevB.100.075207
- Mott N.F., Davis E.A. Electronic Processes in NonCrystalline Materials, 2nd ed. (Oxford Univ. Press, New York, 2012). ISBN 978-0-19-964533-6
- Shklovskii B.I., Efros A.L. Electronic Properties of Doped Semiconductors. Springer Series in Solid-State Sciences. Heidelberg. 1984. 388 p. ISBN 978-3-662-02405-8
Дополнительные файлы










