Синтез и антиаритмическая активность новых производных 1,3,4-оксадиазола, содержащих 1,4-бензодиоксановый фрагмент
- Авторы: Авакян А.С.1, Вартанян С.О.1, Саргсян А.Б.1, Паносян Г.А.1, Мкртчян Г.С.1, Тумаджян А.Е.1, Мурадян Р.Е.1, Агекян A.A.1
-
Учреждения:
- Научно-технологический центр органической и фармацевтической химии Национальной академии наук Республики Армения
- Выпуск: Том 61, № 1 (2025)
- Страницы: 75-81
- Раздел: ЭКСПЕРИМЕНТАЛЬНЫЕ СТАТЬИ
- URL: https://ogarev-online.ru/0514-7492/article/view/291859
- DOI: https://doi.org/10.31857/S0514749225010053
- EDN: https://elibrary.ru/AFPISO
- ID: 291859
Цитировать
Аннотация
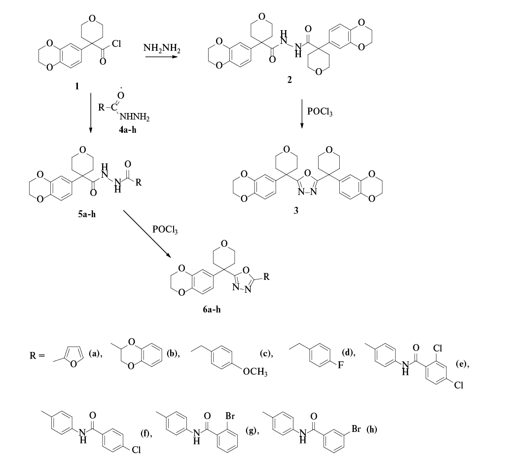
Взаимодействием синтезированного ранее хлорангидрида 4-(1,4-бензодиоксан-6-ил)тетрагидро-2Н-пиран-4-карбоновой кислоты с гидразингидратом синтезирован симметрично замещенный диацилгидразин, циклизованный оксихлоридом фосфора в 2,5-бис-(4-(1,4-бензодиоксан-6-ил)тетрагидро-2Н-пиран-4-ил)-1,3,4-оксадиазол. Для синтеза несимметрично 2,5-дизамещенных 1,3,4-оксадиазолов была осуществлена реакция конденсации вышеуказанного хлорангидрида с различными гидразидами и последующая циклизация полученных диацилзамещенных гидразинов под действием оксихлорида фосфора. Изучены антиаритмические свойства синтезированных соединений.
Ключевые слова
Полный текст
Об авторах
А. С. Авакян
Научно-технологический центр органической и фармацевтической химии Национальной академии наук Республики Армения
Email: avagal@mail.ru
ORCID iD: 0000-0002-7148-3666
Армения, просп. Азатутяна, 26, Ереван, 0014
С. О. Вартанян
Научно-технологический центр органической и фармацевтической химии Национальной академии наук Республики Армения
Email: avagal@mail.ru
ORCID iD: 0000-0003-4582-7629
Армения, просп. Азатутяна, 26, Ереван, 0014
А. Б. Саргсян
Научно-технологический центр органической и фармацевтической химии Национальной академии наук Республики Армения
Email: avagal@mail.ru
ORCID iD: 0000-0001-7115-9164
Армения, просп. Азатутяна, 26, Ереван, 0014
Г. А. Паносян
Научно-технологический центр органической и фармацевтической химии Национальной академии наук Республики Армения
Email: avagal@mail.ru
ORCID iD: 0000-0001-8311-6276
Армения, просп. Азатутяна, 26, Ереван, 0014
Г. С. Мкртчян
Научно-технологический центр органической и фармацевтической химии Национальной академии наук Республики Армения
Email: avagal@mail.ru
ORCID iD: 0000-0002-1807-8610
Армения, просп. Азатутяна, 26, Ереван, 0014
А. Е. Тумаджян
Научно-технологический центр органической и фармацевтической химии Национальной академии наук Республики Армения
Автор, ответственный за переписку.
Email: avagal@mail.ru
ORCID iD: 0000-0003-2151-4767
Армения, просп. Азатутяна, 26, Ереван, 0014
Р. Е. Мурадян
Научно-технологический центр органической и фармацевтической химии Национальной академии наук Республики Армения
Email: avagal@mail.ru
ORCID iD: 0000-0002-4110-9454
Армения, просп. Азатутяна, 26, Ереван, 0014
A. A. Агекян
Научно-технологический центр органической и фармацевтической химии Национальной академии наук Республики Армения
Email: avagal@mail.ru
ORCID iD: 0000-0001-6151-4951
Армения, просп. Азатутяна, 26, Ереван, 0014
Список литературы
- Siwach A., Verma P.K., BMC Chem., 2020, 14, 70. doi: 10.1186/s13065-020-00721-2
- Vaidya A., Pathak D., Shah K., Chem. Biol. Drug. Des., 2021, 97, 572–591. doi: 10.1111/cbdd.13795
- Vaghani H., Patel Sh., Patel S. Int. J. Pharm. Sci. Res., 2021, 13, 5292–5299. doi: 10.13040/IJPSR.0975-8232.12(10).5292-99
- The use of stems in the selection of International Nonproprietary Names (INN) for pharmaceutical substances WHO, Stem Book 2018, p.139–140. https://cdn.who.int PDF
- Авакян А.С., Вартанян С.О., Саргсян А.Б., Маркарян Э.А. ЖОрХ., 2014, 50, 445–449. [Avakyan A.S., Vartanyan S.O., Sargsyan A.B., Markaryan E.A. Russ. J. Org. Chem., 2014, 50, 434–438.] doi: 10.1134/S1070428014030233
- Авакян А.С., Вартанян С.О., Саргсян А.Б., Агекян A.A., Паносян Г.А., Пароникян Р.В., Степанян Г.М., Мурадян Р.Е. ЖОрХ, 2020, 56, 373–378. [Avakyan A.S., Vardanyan S.O., Sargsyan A.B., Aghekyan A.A., Panosyan H.A., Paronikyan R.V., Stepanyan H.M., Muradyan R.E. Russ. J. Org. Chem. 2020, 56, 385–389]. doi: 10.1134/S1070428020030033
- Айрапетян Г.К., Акопян М.Г., Арустамян Ж.С., Маркарян Э.А. ХГС, 1993, 5, 677–680.
- Руководство по проведению доклинических иссле-дований лекарственных средств, Ред. А.Н. Миронов, Часть первая, М.: Гриф и К, 2012, 387.
Дополнительные файлы



