Синтез этилового эфира 11-дезокси-13,14-дидегидро-17-метил-20-норпростагландина Б1_аналога мизопростола
- Авторы: Иванова Н.А.1, Шавалеева Г.А.1, Спирихин Л.В.1, Мифтахов М.С.1
-
Учреждения:
- Уфимский институт химии — обособленное структурное подразделение ФГБНУ “Уфимского федерального исследовательского центра РАН”
- Выпуск: Том 60, № 9 (2024)
- Страницы: 967-972
- Раздел: Статьи
- URL: https://ogarev-online.ru/0514-7492/article/view/284752
- DOI: https://doi.org/10.31857/S0514749224090034
- EDN: https://elibrary.ru/QNXXPI
- ID: 284752
Цитировать
Полный текст
Аннотация
1,2-Присоединением к кетогруппе этил(5-оксоциклопент-1-енил)гептеноата литийпроизводного 4-гидрокси-4,5-диметилгептина-1 с последующей in situ окислительной изомеризацией образующегося аддукта получен этиловый эфир 11-дезокси-13,14-дидегидро-17-метил-20-нор- простагландина Б1 (PGB1).
Ключевые слова
Полный текст
ВВЕДЕНИЕ
w-Метилсодержащие аналоги простагландинов (PG), в частности, 16-метил- и 16-гем-диметилпроизводные простагландина E1 (PGE1), успешно противостоят разрушающему действию энзима 15-простагландиндегидрогеназы и применяются как антисекреторные средства [1–3]. Среди них особо следует отметить (±)-мизопростол (1) [4], первый клинически используемый аналог PG, на основе которого созданы препараты, эффективные в терапии и профилактике язвенной болезни желудка и 12-перстной кишки, вызванной применением нестероидных противовоспалительных средств. “Второе рождение” мизопростол получил после обнаружения у него утеротонических и абортивных свойств и последующего внедрения в акушерско-гинекологическую практику для проведения терапевтического аборта на ранних сроках беременности и стимуляции зрелых родов [4].
Однако мизопростол не лишен недостатков. Одним из “узких мест” при клиническом использовании мизопростола является химическая нестабильность и широта спектра физиологической активности [5]. В ходе поиска химически более стабильных и селективно действующих аналогов мизопростола ранее нами был синтезирован его 11-дезоксианалог 2, который проявил сопоставимую с мизопростолом специфическую утеротоническую активность при большей химической стабильности и меньшей токсичности [6]. Попытки повысить химическую стабильность молекулы мизопростола, уменьшить число побочных эффектов и поиск альтернативных возможностей его использования привели к синтезу ряда аналогов. Для выяснения закономерностей соотношения “структура–активность” изучено влияние строения боковых цепей: длины, отсутствия/наличия ненасыщенности (двойная или тройная связь), ее положения и геометрии (E/Z), положения и стереохимии заместителей в циклопентановом фрагменте молекулы, наличия/отсутствия заместителей и др.
Подтверждено значение 13,14-транс-двойной связи для проявления мизопростолом бронхолитической активности; его 13,14-цис-аналог оказался неактивным [7–9]. Также показано, что, хотя единственным биологически активным изомером мизопростола из 4 образующихся в ходе синтеза является изомер с природной (11R,16S)-конфигурацией хиральных центров, тем не менее в качестве лекарственного препарата применяется смесь 4 изомеров. Это объясняется, с одной стороны, отсутствием значительных побочных эффектов других изомеров и практическими трудностями получения единственного изомера, а с другой — итоговой возможностью эпимеризации в кислой среде желудка [10, 11].
На основе доступного ключевого циклопентенонового блока 3 мы разработали синтез новых аналогов мизопростола Б-типа (PGB1) с тройной связью в положении 13,14 [12]. Последние привлекают внимание потенциальными возможностями проявления противораковых свойств, которые по аналогии можно усилить комплексообразованием с Со2(СО)8 [13].
РЕЗУЛЬТАТЫ И ОБСУЖДЕНИЕ
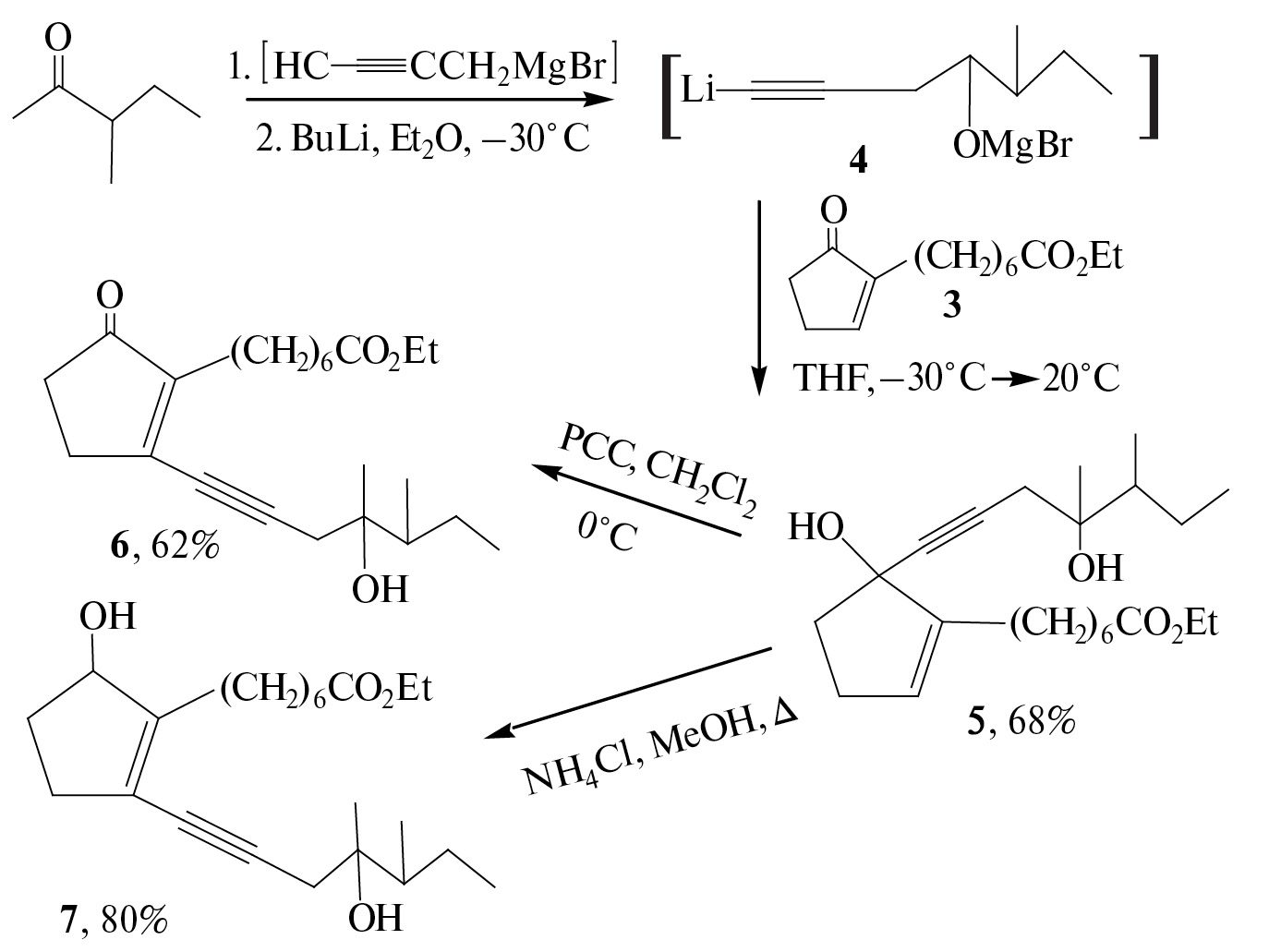
В данной работе с использованием предложенного нами ранее двухстадийного варианта селективного введения w-цепи, включающего стадии 1,2-присоединения к кетогруппе циклопентенона 3 литийпроизводного ацетиленового эквивалента w-цепи 4 и окислительной изомеризации при действии пиридиния хлорхромата (PCC) на третичный спирт 5, синтезировали новый аналог мизопростола — этиловый эфир 11-дезокси-13,14-дидегидро-17-метил-20-нор PGB1 (6) (схема).
Схема
Модифицировав методику, а именно последовательным взаимодействием метилизобутилкетона с бромидом пропаргилмагния и далее с н-BuLi нам удалось in situ получить литийпроизводное 4, взаимодействие которого с циклопентеноном 3 дало желаемый аддукт 1,2-присоединения 5 в режиме one pot, минуя несколько стадий: выделения, защиты гидроксильной группы и очистки промежуточных продуктов. Последующая окислительная изомеризация соединения 5 с использованием PCC привела к целевому аналогу 6. Кипячением аддукта 1,2-присоединения 5 и NH4Cl в метаноле получен 20-нор-аналог 7.
ЭКСПЕРИМЕНТАЛЬНАЯ ЧАСТЬ
ИК спектры сняты на спектрофотометре “Shimadzu IR Prestige-21” (Япония) в пленке или вазелиновом масле. Спектры ЯМР записаны на спектрометре “Bruker AVANCE-500” (Германия) [рабочие частоты 500.13 МГц (1H) и 125.77 МГц (13С)] в ацетоне-d6. В спектре ЯМР 13С за внутренний стандарт принято значение сигнала ацетона-d6 (ddС 28.83 м.д.), в спектре ЯМР 1H — значение сигналов остаточных протонов в ацетоне-d6 (ddН 2.07 м.д.). Элементный анализ выполнен на CHNS-анализаторе “Euro-EA 3000” (Италия). Масс-спектры ионизации электрораспылением (ИЭР, ESI [electrospray ionization]) получены на ВЭЖХ масс-спектрометре “LCMS-2010EV” (Shimadzu) (Япония) (шприцевой ввод, раствор образца в хлороформе/ацетонитриле при расходе 0.1 мл/мин, элюент — ацетонитрил–вода, 95:5) в режиме регистрации положительных и отрицательных ионов при потенциале игольчатого ионизирующего электрода 4.5 кВ. Ход реакций контролировали методом ТСХ на пластинках “Sorbfil ПТСХ-АФ-А” (Россия) с обнаружением веществ с помощью 10%-ного раствора анисового альдегида в этаноле с добавкой серной кислоты с последующим нагреванием до 100–120°С. Продукты реакции выделяли методом колоночной хроматографии на силикагеле фирмы Macherey-Nagel (Германия) 60 (0.063–0.2 мм, 70–230 меш).
Этил-7-[5-гидрокси-5-(4-гидрокси-4,5-диметилгепт-1-ин-1-ил)циклопентен-1-ен-1-ил]-гептаноат (5). К перемешиваемой в атмосфере аргона суспензии, содержащей 0.09 г (3.7 мг-ат) магния, 1 мг HgCl2 в 10 мл безводного эфира прибавляли 0.40 г (3.4 ммоль) бромистого пропаргила в 5 мл безводного эфира. Образующийся раствор пропенилмагния бромида охлаждали до –20°С и при перемешивании по каплям прибавляли 0.22 г (2.2 ммоль) метилизобутилкетона в 5 мл эфира. После прибавления смесь перемешивали 1.5 ч при комнатной температуре, охлаждали до –30°С, по каплям добавляли раствор 1.23 мл 2.18 н. BuLi (2.7 ммоль), температуру реакционной массы постепенно повышали до комнатной и перемешивали смесь в течение 2 ч. Затем реакционную смесь охлаждали до –30°С, по каплям добавляли раствор 0.50 г (2.1 ммоль) циклопентенона 3 в 7 мл безводного ТГФ и перемешивали 30 мин при этой температуре, затем 1 ч — при комнатной температуре, затем вновь охлаждали до –10°С и добавляли 15 мл насыщенного раствора NH4Cl. Продукт реакции экстрагировали Et2O (3х30 мл), объединённые органические экстракты промывали насыщенным раствором NaCl, сушили MgSO4 и концентрировали в вакууме. Полученный остаток очищали с помощью колоночной хроматографии на SiO2 (петролейный эфир–этилацетат, 7:3). Выход соединения 5 0.55 г (68%), Rf 0.55 (петролейный эфир–этилацетат, 7:3). ИК спектр, n, см-1 3400 (OH), 2216 (C≡C), 1735 (O–С=О). Спектр ЯМР 1Н ((CD3)2CO, 500 МГц), δ, м.д.: 0.9 т (3Н, H19, J 7.0 Гц), 1.19 т (3Н, H21, J 7.1 Гц), 1.31 д (3H, C17CH3, J 7.0 Гц), 1.26–1.35 м (4H, H4, 5), 1.37 c (3H, C16CH3), 1.45–1.50 м (2H, H3), 1.51–1.63 м (6H, H6, 7, 18), 2.04 кв.д (1H, H17, J 7.0 и 2.3 Гц), 2.20 м (1H, H11а), 2.21–2.30 м (3H, 2H10, H11в), 2.26 д (1H, H15в, J 9.6 Гц), 2.31 д (1H, H15а, J 9.6 Гц), 3.33 уш.с (1H, OH), 4.06 к (2Н, H20, J 7.0 Гц), 5.54 с (1Н, H12). Спектр ЯМР 13С ((CD3)2CO, 125 МГц), δ, м.д.: 13.57 (С19), 13.62 (C21), 23.72 (C3), 24.50 (C18), 26.45 (C17CH3), 29.83 (C16CH3), 28.59 (C4), 28.62 (C6), 29.09 (C5), 29.39 (C11), 30.47 (C7), 32.43 (C15), 33.65 (C2), 37.05 (C10), 45.88 (C17), 59.48 (C20), 71.09 (C9), 79.28 (C16), 86.89 (C14), 111.98 (C13), 145.84 (C8), 156.57 (C12), 172.80 (C1). Масс-спектр, m/z (Iотн, %): 361 (100) [М + H — H2O]–. Найдено, %: С 72.95; Н 10.08. С23H38O4. Вычислено, %: С 72.98; Н 10.13.
Этил-7-[2-(4-гидрокси-4,5-диметилгепт-1-ин-1-ил)-5-оксоциклопентен-1-ен-1-ил]гептаноат (6). К интенсивно перемешиваемой суспензии 0.12 г (0.57 ммоль) PCC в 10 мл CH2Cl2 при 0°С добавляли раствор 0.10 г (0.09 ммоль) соединения 5 в 7 мл CH2Cl2. Реакционную массу перемешивали 30 мин при 0°С, затем 2 ч при комнатной температуре, фильтровали, упаривали и остаток очищали на колонке с SiO2 (петролейный эфир–этилацетат, 9:1). Выход соединения 6 0.06 г (62%), желтое маслообразное вещество, Rf 0.22 (петролейный эфир–этилацетат, 7:3). ИК спектр, n, см-1: 3277 (ОН), 2219 (С≡С), 1736 (O–С=О), 1701 (С=О), 1612 (О=С–C=C). Спектр ЯМР 1Н ((CD3)2CO, 500 МГц), δ, м.д.: 0.89 д (3Н, C17CH3, J 7.1 Гц), 0.92 т (3Н, H19, J 7.1 Гц), 1.18 с и 1.20 с (3Н, C16CH3), 1.21 т (3H, H21, J 7.1 Гц), 1.25–1.32 м (4Н, H4, 5), 1.42 кв.д (2H, H18, J 7.1 и 3.5 Гц), 1.50–1.60 м (4H, H3, 6), 1.74 кв.д (1H, H17, J 7.1 и 3.5 Гц), 2.21 т (2H, H7, J 7.1 Гц), 2.23 т (2Н, H2, J 7.1 Гц), 2.37 м (2Н, H15), 2.52–2.57 м (2Н, H11), 2.65–2.67 м (2Н, H10), 4.07 к (2Н, H20, J 7.1 Гц). Спектр ЯМР 13С ((CD3)2CO, 125 МГц), δ, м.д.: 12.70 (С19), 14.18 (C21), 22.93 (C17–CH3), 23.56 (C16–CH3), 24.44 (C3), 24.80 (C18), 27.71 (C7), 28.82 (C6), 29.15 (C4), 30.35 (C5), 32.06 (C15), 32.58 (C11), 34.08 (C2), 34.27 (C10), 44.02 (C17), 60.14 (C20), 74.42 (C16), 79.48 (C13), 103.99 (C14), 148.09 (C12), 150.88 (C8), 173.86 (C1), 209.10 (C9). Масс-спектр, m/z (Iотн, %): 377 (100) [М + H). Найдено, %: С 72.92; Н 10.10. С23H36O4. Вычислено, %: С 72.98; Н 10.12.
Этил-7-[2-(4-гидрокси-4,5-диметилгепт-1-ин-1-ил)-5-гидроксициклопентен-1-ен-1-ил]гептаноат (7). Смесь 0.10 г (0.26 ммоль) соединения 5, 0.30 г NH4Cl в 10 мл безводного МеОН кипятили 3 ч (контроль ТСХ). Реакционную смесь охлаждали, метанол упаривали, добавляли 30 мл эфира, промывали водой, насыщенным раствором NaCl, сушили MgSO4 и концентрировали. Полученный остаток хроматографировали на колонке с SiO2 (петролейный эфир–этилацетат, 9:1). Выход соединения 7 0.08 г (80%). Rf 0.42 (петролейный эфир–этилацетат, 7:3). ИК спектр, n, см-1: 3452 (ОН), 2120 (С≡С), 1730 (O–С=О). Спектр ЯМР 1Н ((CD3)2CO, 500 МГц), δ, м.д.: 0.91 т (3Н, H19, J 7.2 Гц), 0.95 д (3Н, C17CH3, J 7.2 Гц), 1.18 т (3H, H21, J 7.1 Гц), 1.20 с (3Н, C16CH3), 1.27–1.37 м (7H, H3a, H4, 5, 6), 1.43 кв.д (2H, H18, J 7.2 и 3.6 Гц), 1.74 кв. д (1H, H17, J 7.2 и 3.5 Гц), 2.10–2.27 м (2H, H11а, H10а), 2.26 т (2H, H2, J 7.5 Гц), 2.30–2.50 м (2H, H10в, H11в), 2.52 д (1H, H15а, J 15.6 Гц), 2.57 д (1H, H15в, J 15.6 Гц), 4.05 к (2Н, H20, J 7.1 Гц), 4.37 т (1H, H9, J 7.0 Гц). Спектр ЯМР 13С ((CD3)2CO, 125 МГц), δ, м.д.: 13.06 (С19), 14.18 (C21), 22.93 (C17CH3), 23.56 (C16CH3), 24.44 (C3), 24.50 (C18), 27.71 (C6), 28.63 (C7), 29.13 (C4), 30.35 (C5), 32.06 (C11), 32.58 (C15), 34.08 (C2), 34.27 (C10), 44.03 (C17), 60.14 (C20), 79.48 (C13), 74.92 (C16), 103.98 (C14), 148.13 (C12), 150.88 (C8), 173.86 (C1), 209.10 (C9). Найдено, %: С 72.95; Н 10.15. С23H38O4. Вычислено, %: С 72.98; Н 10.12.
ЗАКЛЮЧЕНИЕ
Предложенный вариант быстрого конструирования структур PGB имеет общий характер, а полученные соединения 6, 7 представляют интерес как потенциально биологически активные вещества и полезны для изучения зависимости “структура–активность”.
БЛАГОДАРНОСТИ
Спектры (ЯМР, ИК, масс) записаны на оборудовании ЦКП “Химия” УфИХ РАН и РЦКП “Агидель” УФИЦ РАН.
ФОНДОВАЯ ПОДДЕРЖКА
Работа выполнена по теме гос. задания № 122031400261-4 “Дизайн и синтез биоактивных природных и неприродных циклопентаноидов, гетероциклов, эпотилонов и аналогов” и № 123011300044-5 “Установление структуры, состава и физико-химических характеристик органических, биоорганических, полимерных молекул и их комплексов с ионами металлов и фармаконами методами хроматографии, масс-спектрометрии, ИК, УФ, ЭПР, ЯМР-спектроскопии и вычислительной химии”
КОНФЛИКТ ИНТЕРЕСОВ
Авторы заявляют об отсутствии конфликта интересов.
Об авторах
Надежда Александровна Иванова
Уфимский институт химии — обособленное структурное подразделение ФГБНУ “Уфимского федерального исследовательского центра РАН”
Автор, ответственный за переписку.
Email: gushavaleeva@mail.ru
ORCID iD: 0000-0002-3101-1285
Россия, 450054 Уфа, просп. Октября, 71
Гульназ Абдулхаевна Шавалеева
Уфимский институт химии — обособленное структурное подразделение ФГБНУ “Уфимского федерального исследовательского центра РАН”
Email: gushavaleeva@mail.ru
ORCID iD: 0000-0003-1345-9139
Россия, 450054 Уфа, просп. Октября, 71
Леонид Васильевич Спирихин
Уфимский институт химии — обособленное структурное подразделение ФГБНУ “Уфимского федерального исследовательского центра РАН”
Email: gushavaleeva@mail.ru
ORCID iD: 0000-0002-3163-882X
Россия, 450054 Уфа, просп. Октября, 71
Мансур Сагарьярович Мифтахов
Уфимский институт химии — обособленное структурное подразделение ФГБНУ “Уфимского федерального исследовательского центра РАН”
Email: gushavaleeva@mail.ru
ORCID iD: 0000-0002-0269-7484
Россия, 450054 Уфа, просп. Октября, 71
Список литературы
- Collins P.W., Djuric S.W. Chem. Rev. 1993, 93, 1533–1564. doi: 10.1021/cr00020a007
- Peng H., Chen F-E. Org. Biomol. Chem. 2017, 15, 6281–6301. doi: 10.1039/c7ob01341h
- Collins P.W., Djuric S.W. Chem. Rev. 2003, 93, 1534–1537. doi: 10.1021/cr00020a007
- Bindra J.S., Bindra R. Prostaglandin synthesis. New York: Academic Press. 1977, 187.
- Сапожникова Т.А., Зарудий Ф.С., Габдрахманова С.Ф., Хисамутдинова Р.Ю., Макара Н.С., Иванова Н.А., Мифтахов МС., Батталова M.О. Эксперим. и клин. фармакол. 2017, 80, 35–44. [Sapozhnikova T.A., Zarudii F.S., Gabdrakhmanova S.F., Khisamutdinova R.Yu., Makara N.S., Ivanova N.A., Miftakhov M.S., Battalova M.O. Eksperimental′naya i Klinicheskaya Farmakologiya, 2017, 80, 35–44.] doi: 10.30906/0869-2092-2017-80-8-35-44
- Иванова Н.А., Шайнурова А.М., Мифтахов М.С. Хим.-фарм. ж., 1998, 6, 39–40. [Ivanova N.A., Shainurova A.M., Miftakhov M.S. Pharm. Chem. J. 1998, 32, 325–326.] doi: 10.1007/BF02580520
- Chen S-M.L., Grudzinskas C.V., Dessy F. Prostaglandins. 1979, 17, 707–717. doi: 10.1016/s0090-6980(79)80042-8
- Collins P.W., Dajani E.Z., Driskill D.R., Bruhn M.S., Jung C.J., Pappo R. J. Med. Chem. 1977, 20, 1152–1159. doi: 10.1021/jm00219a008
- Collins P.W., Dajani E.Z., Pappo R., Gasiecki A.F., Bianchi R.G., Woods E.M. J. Med. Chem. 1983, 26, 786–790. doi: 10.1021/jm00360a002
- Terinek M., Kozmik V., Palecek J. Collect. Czech. Chem. Commun., 1997, 62, 1325–1341. doi: 10.1135/cccc19971325
- Harikrishna M., Mohan H.R., Dube P.K., Subbaraju G.V. Synth. Commun. 2009, 39, 2763–2775. doi: 10.1080/00397910802664228
- Иванова Н.А., Шавалеева Г.А., Мифтахов М.С. ЖОрХ. 2020, 56, 472–475. [Ivanova N.A., Shavaleeva G.A., Miftakhov M.S. Russ. J. Org. Chem. 2020, 56, 540–543.] doi: 10.1134/s1070428020030288
- Иванова Н.А., Шавалеева Г.А, Фазлиахметова И.Б., Мифтахов М.С. ЖОрХ. 2020, 56, 631–635. [Ivanova N.A. Shavaleeva G.A., Fazliakhmetova I.B., Miftakhov M.S. Russ. J. Org. Chem. 2020, 56, 708–711.] doi: 10.1134/s1070428020040211




