Реакционная способность окта(2,6-дифторфенил)порфиразина в кислотно-основном взаимодействии с азотсодержащими органическими основаниями
- Авторы: Петров О.А.1, Гамов Г.А.1, Чижова Н.В.2, Мамардашвили Н.Ж.2
-
Учреждения:
- ФГБОУ ВО “Ивановский государственный химико-технологический университет”
- Институт химии растворов им. Г. А. Крестова Российской академии наук
- Выпуск: Том 60, № 5 (2024)
- Страницы: 646-653
- Раздел: Статьи
- URL: https://ogarev-online.ru/0514-7492/article/view/279746
- DOI: https://doi.org/10.31857/S0514749224050083
- EDN: https://elibrary.ru/RCWHTW
- ID: 279746
Цитировать
Полный текст
Аннотация
Изучено взаимодействие окта(2,6-дифторфенил)порфиразина с пиридином, 2-метилпиридином, морфолином, пиперидином, н-бутиламином, трет-бутиламином, диэтиламином и триэтиламином в бензоле. Реакция кислотно-основного взаимодействия с пиперидином и н-бутиламином относится к числу медленных процессов и приводит к образованию кинетически устойчивых комплексов с переносом протонов. Методом САМ-В3LYP/cc-pVTZ оптимизированы структуры этих комплексов. Рассмотрено изменение реакционной способности окта(2,6-дифторфенил)порфиразина в зависимости от пространственного строения и протоноакцепторной способности азотсодержащего основания.
Полный текст
ВВЕДЕНИЕ
Синтез порфиразинов (Н2РА) относится к числу быстро развивающихся направлений в химии ароматических макрогетероциклических соединений. Благодаря разнообразным возможностям структурной модификации порфиразины нашли применение в качестве полупроводников, жидкокристаллических, каталитических, сенсорных материалов и др. [1–3]. Расширить область практического использования Н2РА возможно при всестороннем изучении их физико-химических свойств. К числу редко наблюдаемых свойств этого класса соединений следует отнести способность Н2РА вступать в нехарактерные для родственных соединений (порфиринов, порфириноидов, корролов) кинетически контролируемые кислотно-основные взаимодействия [4, 5]. Они оказывают непосредственное влияние на устойчивость π-хромофорной системы макроцикла в протоноакцепторных средах [4], а также позволяют установить взаимосвязь между строением молекулы и ее реакционной способностью, что немаловажно для подбора оптимальных условий синтеза металлокомплексов порфиразинов in vitro. В настоящее время достаточно подробно изучены кислотно-основные взаимодействия с участием β-тетрахлор- и β-тетрабромзамещенных порфиразинов в системе органическое основание–бензол [4]. Количественные данные о реакционной способности порфиразинов, имеющих в своем составе атомы фтора, до сих пор отсутствуют.
В связи с этим в данной работе изучено взаимодействие окта(2,6-дифторфенил)порфиразина [H2Pa(C6H3F2)8] с пиридином, 2-метилпиридином, морфолином, пиперидином (Pip), н-бутиламином (BuNH2), трет-бутиламином, диэтиламином и триэтиламином в бензоле.
РЕЗУЛЬТАТЫ И ОБСУЖДЕНИЕ
Предварительно установлено, что в среде инертного бензола электронный спектр поглощения (ЭСП) H2Pa(C6H3F2)8 имеет в видимой области 2 расщепленные Qх- и Qy- составляющие Q-полосы с λI = 650 и λII = 579 нм соответственно, что указывает на D2h-симметрию молекулы (рис. 1). В среде протоноакцепторного пиперидина (н-бутиламина) расщепление Q-полосы исчезает в результате повышения симметрии молекулы от D2h до D4h (рис. 1). Этот факт свидетельствует о том, что H2Pa(C6H3F2)8 проявляет свойства двухосновной NH-кислоты и образует с основаниями устойчивые во времени комплексы с переносом протонов. На это указывает характер ЭСП H2Pa(C6H3F2)8 в пиперидине (н-бутиламине), который не претерпевает изменений в течение ~57 ч при температуре 333 К (рис. 1).
Рис. 1. ЭСП H2Pa(C6H3F2)8 в бензоле (1) и пиперидине (2) при 298 К
Дальнейшие исследования показали, что кинетически контролируемое взаимодействие H2Pa(C6H3F2)8 с пиперидином и н-бутиламином наблюдается в интервале концентраций СоPip = 1.26–6.30 и СоBuNH2= 1.27–6.34 моль/л в бензоле. В ЭСП с течением времени независимо от природы основания регистрируется уменьшение интенсивности Qх- и Qy-составляющих Q-полосы с λI и λII соответственно и одновременный рост интенсивности полосы поглощения с λ = 620 нм (рис. 2, 3).
Рис. 2. Изменение ЭСП H2Pa(C6H3F2)8 в присутствии пиперидина в течение 54 мин при 323 К и СоPip= 2.53 моль/л в бензоле
Рис. 3. Изменение ЭСП H2Pa(C6H3F2)8 в присутствии н-бутиламина в течение 68 мин при 323 К и СоBuNH2= 2.53 моль/л в бензоле
Реакция H2Pa(C6H3F2)8 с пиперидином и н-бутиламином в бензоле:
H2Pa(C6H3F2)8 + 2B H2Pa(C6H3F2)8⋅2В,(1)
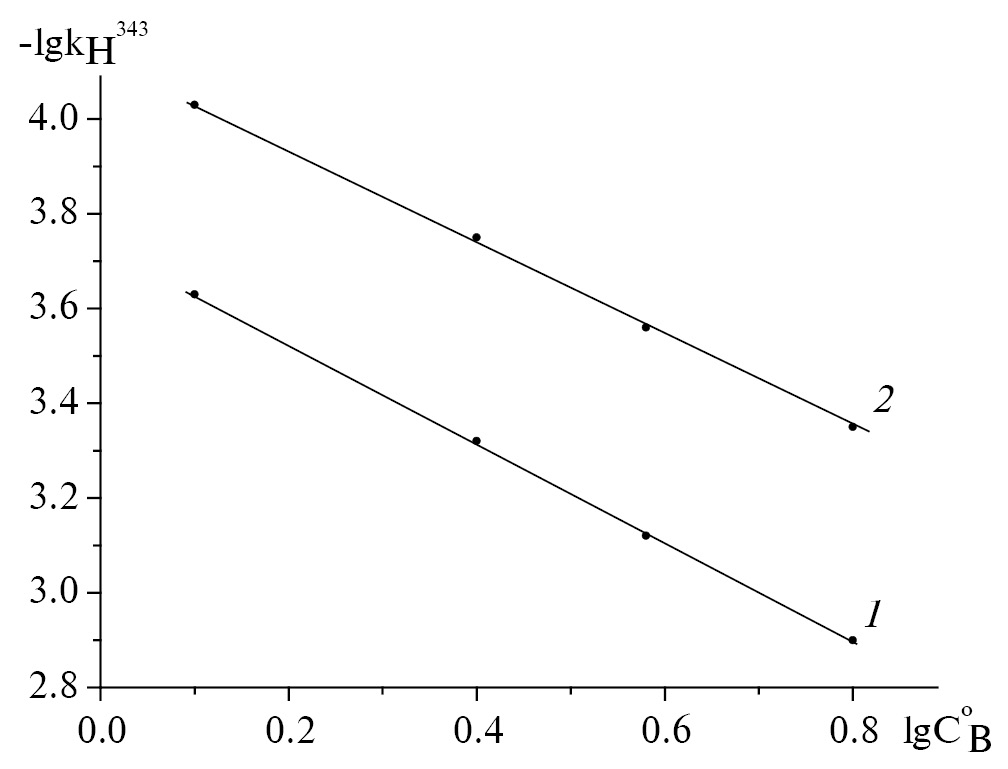
имеет первый порядок по NH-кислоте (рис. 4) и близкий к единице – по основанию (рис. 5). Следовательно, кинетическое уравнение имеет вид:
–dC1/dτ = k·C1·CB, (2)
k = kн/CВ, (3)
где kн и k – наблюдаемая и истинная константы скорости кислотно-основного взаимодействия соответственно; C1 – концентрация H2Pa(C6H3F2)8; В – пиперидин (н-бутиламин).
Рис. 4. Зависимость lgCo/C от времени реакции H2Pa(C6H3F2)8 с пиперидином (1), н-бутиламином (2) в бензоле при 343К и СоPip = СоBuNH2= 3.80 моль/л
Рис. 5. Зависимость lgkH343 от lgCoB для реакции H2Pa(C6H3F2)8 с пиперидином (1) и н-бутиламином (2) при 343К
Полученные данные указывают на бимолекулярный характер лимитирующей стадии процесса, а повышение симметрии H2Pa(C6H3F2)8 от D2h до D4h (рис. 2, 3) свидетельствует о двухстадийном процессе переноса внутрициклических протонов от NH-кислоты к основанию в соответствии с предполагаемой схемой:
H2Pa(C6H3F2)8 + B [HPa(C6H3F2)8···НВ], (4)
[HPa(C6H3F2)8···НВ] + В [Pa(C6H3F2)8]··· [НВ]2. (5)
Молекула пиперидина (н-бутиламина) вступает во взаимодействие с одним из 2 внутрициклических протонов NH-групп H2Pa(C6H3F2)8 и осуществляет его вывод из плоскости макроцикла с образованием комплекса [HPa(C6H3F2)8···НВ]. Это приводит к искажению плоской структуры порфиразинового макроцикла на 11˚ и уменьшению поворота периферийных дифторзамещенных фенильных колец от 90˚ (рис. 6, а) до 60˚ независимо от природы основания (рис. 6, б, в). При этом симметрия молекулы должна понижаться от D2h до C2v, а в ЭСП должен наблюдаться гипсохромный сдвиг длинноволновой компоненты Qх, приводящий к уменьшению расщепления Q-полосы [6]. Однако подобные спектральные изменения в условиях значительного избытка основания не наблюдаются. Уменьшение концентрации H2Pa(C6H3F2)8 происходит с сохранением четких изобестических точек без появления в реагирующей системе промежуточной спектральной формы – [HPa(C6H3F2)8···НВ] (рис. 2, 3). Этот факт дает основание полагать, что k1 < k2. Поскольку скорость кислотно-основного взаимодействия определялась по уменьшению оптической плотности раствора наиболее интенсивной полосы поглощения Qх (λI = 650 нм), то k1 = kН.
Рис. 6. Оптимизированные методом САМ-В3LYP структуры H2Pa(C6H3F2)8 (а) и [HPa(C6H3F2)8···НВ] с пиперидином (б) и н-бутиламином (в)
В комплексе [Pa(C6H3F2)8]··· [НВ]2 протоны NH-групп, связанные с атомом азота молекул пиперидина (н-бутиламина) через водородные связи, располагаются над и под плоскостью макроцикла, что обеспечивает благоприятное пространственное расположение оснований (рис. 7, а, б). При этом пиперидин (н-бутиламин) образует 2 водородные связи с пирролениновыми атомами азота макроцикла за счет их неподеленных электронных пар, в отличие от [HPa(C6H3F2)8···НВ] (рис. 6, б, в). Такое геометрическое строение приводит к дальнейшей деформации макроцикла, угол которой не превышает 15˚. Кроме этого, 8 дифторфенильных заместителей располагаются под углом 60˚. Принимая во внимание слабовыраженную кислотность замещенных октафенилпорфиразина [7] и сравнительно низкую полярность среды, комплекс [Pa(C6H3F2)8]··· [НВ]2, скорее всего, следует рассматривать как Н-ассоциат [4]. Образование более полярных структур представляется маловероятным [8].
Рис. 7. Оптимизированная методом САМ-В3LYP структура [Pa(C6H3F2)8]··· [НВ]2 с пиперидином (а) и н-бутиламином (б)
Результаты эксперимента (таблица) показывают, что взаимодействие H2Pa(C6H3F2)8 с основаниями в бензоле характеризуется низкими скоростями и высокими значениями энергии активации (Еа) процесса, что не свойственно для подавляющего большинства жидкофазных кислотно-основных систем [8, 9]. Причина этого явления связана со стерической составляющей ароматического макрогетероцикла. Достаточно высокая жесткость плоской конформации порфиразина [6, 10] обусловливает пространственное экранирование атомами и π-электронами внутрициклических NH-групп. В результате этого затрудняется наиболее благоприятный контакт реакционных центров молекул-партнеров, что находит отражение в кинетических параметрах процесса. При этом электронная составляющая, связанная с увеличением полярности NH-связей H2Pa(C6H3F2)8 за счет электроноакцепторного влияния 4 мезо-атомов азота, изменяется несимбатно пространственной и не играет ключевой роли в кислотно-основном взаимодействии.
Таблица. Кинетические параметры кислотно-основного взаимодействия окта(2,6-дифторфенил)порфиразина с азотсодержащими основаниями в бензоле, СоH2Pa(C6H3F2)8 = 0.97 х 10–5 моль/л
СоВ, моль/л | Т, Ка | kH·105, с–1 | k·105, л/(моль∙с) | Еа, кДж/моль |
1 | 2 | 3 | 4 | 5 |
Пиперидин | ||||
1.26 2.53 3.80 6.30 | 298 323 333 343 298 323 333 343 298 323 333 343 298 323 333 343 | 0.08 2.30 7.35 23.15 0.14 4.40 15.20 48.05 0.30 7.70 23.83 74.50 0.37 11.13 40.80 126.50 | 0.07 1.80 5.75 18.10 0.05 1.65 5.70 18.00 0.07 1.90 5.87 18.35 0.05 1.60 5.87 18.20 | 106 110 104 111 |
н-Бутиламин | ||||
1.27 2.53 | 298 323 333 343 298 323 333 343 | 0.03 0.87 3.00 9.25 0.06 1.77 5.65 17.50 | 0.02 0.70 2.35 7.40 0.02 0.73 2.30 7.20 | 108 105 |
3.80 6.34 | 298 323 333 343 298 323 333 343 | 0.10 2.85 8.50 27.30 0.15 4.30 14.45 44.80 | 0.35 0.80 2.40 7.70 0.02 0.75 2.50 7.75 | 104 108 |
аПараметры при 298 К рассчитаны по уравнению Аррениуса.
Достаточно сильное влияние на реакционную способность H2Pa(C6H3F2)8 оказывает геометрическое строение основания и его протоноакцепторная способность. Так, разветвление углеводородной цепи в амине или увеличение числа алкильных заместителей, связанных с атомом азота, препятствует оптимальной пространственной ориентации взаимодействующих молекул на стадиях (4) и (5) и затрудняет перенос протонов NH-групп от кислоты к основанию. В отличие от н-бутиламина (рКа298= 10.60 [11]), близкие по протоноакцепторной способности трет-бутиламин (рКа298= 10.68 [11]), диэтиламин (рКа298= 10.93 [11]) и триэтиламин (рКа298= 10.87 [11]) не вступают в кислотно-основное взаимодействие с окта(2,6-дифторфенил)порфиразином. Электронный спектр поглощения H2Pa(C6H3F2)8 в среде этих оснований содержит расщепленную Q-полосу, как и в бензоле (рис. 1), которая не претерпевает изменений в течение ~57 ч при температуре 333 К. Аналогичное, но менее значительное влияние пространственного фактора наблюдается в случае н-бутиламина и пиперидина (рКа298= 11.23 [11]), имеющего более стерически доступный атом азота в составе молекулы, находящейся в конформации “кресло” [12]. Скорость кислотно-основного взаимодействия, судя по значениям k298 , различается в ~2.5 раза на фоне постоянтсва Еа процесса (таблица). Замена в пиперидиновом цикле атома углерода на атом кислорода не влияет на пространственное строение амина [13], но приводит к перераспределению электронной плотности и понижению рКа298 на ~2.7 единицы. В результате этого образование комплекса H2Pa(C6H3F2)8 с морфолином (рКа298= 8.50 [11]), происходящее согласно (4) и (5), не наблюдается. Пиридин (рКа298= 5.23 [11]) и 2-метилпиридин (рКа298= 6.00 [11]) вследствие их слабовыраженной протоноакцепторной способности также не вступают во взаимодействие с H2Pa(C6H3F2)8.
ЭКСПЕРИМЕНТАЛЬНАЯ ЧАСТЬ
Окта(2,6-дифторфенил)порфиразин синтезировали по методике [14]. Бензол и азотсодержащие основания (ACROS) использовали без дополнительной очистки. Для проведения кинетических измерений в термостатируемую кювету спектрофотометра SHIMADZU-UV-1800 (Japan) помещали свежеприготовленный раствор H2Pa(C6H3F2)8 с постоянной концентрацией в бензоле и добавляли переменные количества оснований. Скорость кислотно-основного взаимодействия определяли по уменьшению оптической плотности раствора наиболее интенсивной Q-полосы при длине волны λ = 650 нм (рис. 2, 3). Минимальное значение оптической плотности в конце реакции свидетельствовало об отсутствии молекулярной формы H2Pa(C6H3F2)8 и указывало на образование продукта реакции. Различие в максимумах полос поглощения H2Pa(C6H3F2)8 и комплекса с переносом протонов – [Pa(C6H3F2)8]··· [НВ]2 – позволило определить текущую концентрацию H2Pa(C6H3F2)8 по формуле:
С = Со(Ао–А∞)/( Аτ–А∞), (6)
где Ао, Аτ, А∞ – оптические плотности растворов в начальный момент времени, в момент времени τ и после завершения реакции (τ∞) соответственно; Со и С – начальная и текущая концентрации H2Pa(C6H3F2)8. Все измерения проводили в условиях реакции псевдопервого порядка, поэтому наблюдаемую константу скорости кислотно-основного взаимодействия с пиперидином и н-бутиламином рассчитывали по формуле:
kH= (1/τ)lg(Co/C). (7)
Точность кинетических параметров оценивали с помощью обычных методов статистики при доверительном интервале 95%. Использование метода Стьюдента позволило определить относительные ошибки в значениях kH и Еа, которые составили не более 3.5–4 и 7–8% соответственно.
Оптимизацию геометрических параметров комплексов H2Pa(C6H3F2)8 с пиперидином и н-бутиламином проводили с помощью программного обеспечения Gaussian09 [15] в рамках теории функционала плотности с учетом нулевого заряда и синглетного электронного состояния. Использовали трехпараметрический гибридный обменно-корреляционный функционал CAM-3LYP [16] и базисный набор cc-pVTz [17]. Расчеты всех моделей проводили in vacuo.
ЗАКЛЮЧЕНИЕ
Установлено, что кислотно-основное взаимодействие окта(2,6-дифторфенил)порфиразина с пиперидином и н-бутиламином в бензоле характеризуется низкими значениями констант скорости и высокими значениями энергии активации процесса.
Обнаружена высокая кинетическая устойчивость образующихся комплексов с переносом протонов окта(2,6-дифторфенил)порфиразина в системе азотсодержащее основание–бензол и предложено их строение.
Показано, что реакционная способность окта(2,6-дифторфенил)порфиразина при взаимодействии с основанием уменьшается, если молекулы-партнеры имеют пространственно-экранированный кислотный и/или основный центр и обладают слабовыраженной протоноакцепторной способностью.
Об авторах
Олег Александрович Петров
ФГБОУ ВО “Ивановский государственный химико-технологический университет”
Автор, ответственный за переписку.
Email: poa@isuct.ru
ORCID iD: 0000-0003-3424-7135
Россия, 153000 Иваново, Шереметевский просп., 7
Георгий Александрович Гамов
ФГБОУ ВО “Ивановский государственный химико-технологический университет”
Email: poa@isuct.ru
ORCID iD: 0000-0002-5240-212X
Россия, 153000 Иваново, Шереметевский просп., 7
Наталья Васильевна Чижова
Институт химии растворов им. Г. А. Крестова Российской академии наук
Email: poa@isuct.ru
ORCID iD: 0000-0001-5387-5933
Россия, 153040 Иваново, ул. Академическая, 1
Нугзар Жораевич Мамардашвили
Институт химии растворов им. Г. А. Крестова Российской академии наук
Email: poa@isuct.ru
Россия, 153040 Иваново, ул. Академическая, 1
Список литературы
- Novakova V., Donzello M.P., Ercolani C., Zimcik P., Stuzhin P.A. Coord. Chem. Rev. 2018, 361, 1–73. doi: 10.1016/j.ccr.2018.01.015.
- Шапошников Г.П., Кулинич В.П., Майзлиш В.Е. Модифицированные фталоцианины и их структурные аналоги. М.: Красанд. 2012, 480.
- Lupton J.M. Appl. Phys. Lett. 2008, 81, 2478–2492. doi: 10.1013/1.1509115.
- Петров О.А. ЖФХ. 2021, 95, 549-557. [Petrov O.A. Russ. J. Phys. Chem. A. 2021, 95, 696–704.] doi: 10.1134/S003602442104021Х
- Петров О.А., Осипова Г.В., Майзлиш В.Е., Аганичева К.А., Чуркина М.М. ЖОрХ. 2021, 57, 1281–1289. [Petrov O.A., Osipova G.V., Mayzlish V., Churkina M.M. Russ. J. Org. Chem. 2021, 57, 1428–1434.] doi: 10.1134/S1070363218040187
- Stuzhin P.A., Khelevina O.G., Berezin B.D. Phthalocyanines: Properties and Applications. Eds. C.C. Lesnoff, A.B.P. Lever. New York: VCH Publ. 1996, 4, 19–47
- Stuzhin P.A. J. Porphyrins Phthalocyanines. 2003, 7, 813-832. doi: 10.1142/S1088424603001014
- Молекулярные взаимодействия. Ред. Г. Ратайчак, У. Орвилл-Томас. М.: Мир. 1984, 2, 598.
- Базилевский М.В., Венер М.В. Усп. хим. 2003, 72, 3–39 [Basilevsky M.V., Vener M.V. Usp. Khim. 2003, 72, 3–39.] doi: 10.1070/RC2003v072n01ABEH000774
- Березин Д.Б. Макроциклический эффект и структурная химия порфиринов. М. : Красанд. 2010, 424.
- Handbook of Chemistry and Physics. Ed. W.M. Haynes. New York: CHC. 2013, 2668.
- Anet F.A.L., Yavari I. J. Amer. Chem. Soc. 1977, 99, 2794–2796.
- Blackburne I.D., Katritzky A.R., Takeuchi Y. Accouts Chem. Res. 1975, 8, 300–306.
- Русанов А.И., Чижова Н.В., Лихонина А.Е., Мамардашвили Н. Ж. ЖНХ. 2023, 68, 1050–1058. [Rusanov A.I., Chizhova N. V., Lihonina A.E., Mamardashvili N. Zh. Russ. J. Inorg. Chem. 2023, 68, 1062–1073] doi: 10.31857/S0044457Х23600329
- Frisch M.J., Trucks G.W., Schlegel H.B. Gaussian09. Revision A. 02. Wallingsdorf C.T.: Gaussian Inc. 2016.
- Yanai T., Tew D.P., Handy N.C. Chem. Phys. Lett. 2004, 393, 51–57. doi: 10.1016/j.cplett.2004.06.011
- Kendall R.A., Dunning T. H., Harrison R.J. J. Chem. Phys. 1992, 96, 6796–6806. doi: 10.1063/1.462569
Дополнительные файлы










