Реакции 5(4Н)-оксазолонов, с участием кремнийорганических реагентов
- Авторы: Топузян В.О.1, Оганесян А.А.1
-
Учреждения:
- Институт тонкой органической химии научно-технологического центра органической и фармацевтической химии НАН РА
- Выпуск: Том 60, № 5 (2024)
- Страницы: 562-604
- Раздел: Статьи
- URL: https://ogarev-online.ru/0514-7492/article/view/279707
- DOI: https://doi.org/10.31857/S0514749224050025
- EDN: https://elibrary.ru/RDMGCS
- ID: 279707
Цитировать
Полный текст
Аннотация
В обзоре приведены сведения о реакциях насыщенных и ненасыщенных 5(4Н)-оксазолонов с различными кремнийорганическими реагентами. Рассмотрены примеры получения гетероциклических соединений, 4,4-дизамещенных 5(4Н)-оксазолонов, α,α-дизамещенных α-аминокислот и их эфиров. Для некоторых процессов приведены механизмы превращений. Представлены примеры синтеза биологически активных и природных соединений на основе реакций с участием 5(4Н)-оксазолонов и кремнийорганических реагентов.
Полный текст
ВВЕДЕНИЕ
5(4Н)-Оксазолоны являются легкодоступными и стабильными соединениями и вызывают все больший интерес в качестве перспективного ряда строительных блоков для создания разнообразных органических соединений. В последние 20–30 лет увеличилось количество исследований, нацеленных на изучение возможности применения как насыщенных, так и ненасыщенных 5(4Н)-оксазолонов для синтеза различных классов соединений с участием кремнийорганических реагентов. Существуют примеры получения с помощью этих реакций гетероциклических соединений (включая производные имидазолов, имидазолонов, макроциклических лактонов, 1,2,3-триазолов и т.д.), 4,4-дизамещенных 5(4Н)-оксазолонов, α,α-дизамещенных α-аминокислот и их эфиров. Для некоторых процессов приведены механизмы превращений. Представлены примеры синтеза биологически активных и природных соединений на основе реакций с участием 5(4Н)-оксазолонов и кремнийорганических реагентов. Методы синтеза, разработанные на основе 5(4Н)-оксазолонов с участием кремнийорганических реагентов, могут расширить области их практического использования.
РЕАКЦИИ КРЕМНИЙОРГАНИЧЕСКИХ СОЕДИНЕНИЙ С НАСЫЩЕННЫМИ 5(4Н)-ОКСАЗОЛОНАМИ
Взаимодействие насыщенных 5(4Н)-оксазолонов (1) с тризамещенным хлорсиланом в зависимости от условий реакции протекает в 2 направлениях – N- или О-силилирование (схема 1).
Схема 1
В первом случае получается мюнхенон (2), который может реагировать как 1,3-диполь, участвуя в реакциях циклоприсоединения, образуя пятичленные гетероциклические соединения.
О-Замещенные продукты оксазолонов – силилоксиоксазолы 3 – также являются хорошими синтонами для синтеза различных классов соединений. В некоторых реакциях хлорсиланы способствуют проявлению нуклеофильной природы оксазолона 1 при образовании производных α-аминокислот 4 (схема 1).
Синтез гетероциклов 1.1.1. Синтез имидазолов
Возможность насыщенных 5(4Н)-оксазолонов участвовать в качестве 1,3-диполярных агентов в реакциях циклоприсоединения использовали при разработке метода синтеза мультизамещенных имидазолов 7 [1–5]. Реакция 5(4Н)-оксазолона 5 с енаминами 6 в присутствии триметилхлорсилана (ТМХС) (схема 2, путь А) в дихлорметане приводит к целевым имидазолам 7 с хорошими выходами. Процесс является высоко диастереоселективным. Исследования, посвященные возможности применения других силилорганических соединений [2], показали, что триэтилхлорсилан (ТЭХС) почти не уступает ТМХС, в то время как трифенилхлорсилан менее активен, а триметилсилиловый эфир трифторметилсульфокислоты (ТМСТф) не эффективен в качестве кислоты Льюиса для катализа этой реакции.
Схема 2
Эта мультикомпонентная реакция с хорошими выходами (51-78%) была осуществлена также однореакторным способом – взаимодействием оксазолона 5, альдегида 8 и амина 9 в присутствии ТМХС в дихлорметане (схема 2, путь В) [1–3]. Установлено, что заместители при оксазолоне 5 (R1 и R2) имеют существенное влияние на диастереоизомерную чистоту продукта [3–5].
По данным [2], реакция протекает через образование N-силилированного аналога оксазолона – мюнхенона 10 (схема 3).
Схема 3
Метод был успешно применен для синтеза высокоэффективных физиологически активных полизамещенных имидазолов с различными биологическими свойствами [4]11], а также использовался при конверсии конфигурации четвертичного атома углерода в положении 4 имидазола (схема 4) [12].
Схема 4
1.1.2. Синтез изоксазолидинонов
В присутствии таких кремнийорганических реагентов, как ТМХС или ТМСТф, протекает реакция [3+2]-циклоприсоединения насыщенных 5(4Н)-оксазолонов 11 с нитронами 12 с образованием изоксазолидин-5-онов 13 с анти-конфигурацией (схема 5) [13]. Установлено, что наилучшие выходы (71–99%) получаются при применении ТМХС в дихлорметане. Полученные данные свидетельствуют о том, что заместители как в оксазолоне 11 (R1, R2), так и в нитроне 12 (R3, R4) влияют на выход реакции [3+2]-циклоприсоединения. Как правило, реакции 2-фенил-5-оксазолонов 11 (R1 = Ph) с нитронами, содержащими в бензольной группе электроноотрицательные заместители (12: R3 = C6H4 с 3-Br, 3-Cl, 4-Br, 4-Cl, 4-NO2 заместителями), по сравнению с нитронами, в которых R3 = 4-метил- или 4-метоксифенильные фрагменты, приводят к сравнительно высоким выходам оксазолидонов 13. Между тем реакция циклоприсоединения 2-фенил-5-оксазолонов (11: R1 = C6H5) лучше протекает с нитронами 12, имеющими в положении 1 нафтильную (12: R3 = нафтил) или стерически менее объемистую метильную (R4 = Me) группу в положении 2 нитрона 12. Реакции циклоприсоединения препятствовали фенильная (R4 = Ph) и этильная (R3 = Et) группы в положениях 1 и 2 реагента 12.
Схема 5
Отмечается [13], что на выход продукта циклоприсоединения влияет также характер заместителей в оксазолоне 11.
5(4H)-Оксазолоны 11 с электронодонорными заместителями в фенильной группе в положении 2 гетероцикла (11, R1 = 4-MeC6H4) приводят к сравнительно более высоким выходам конечных продуктoв 13, чем оксазолоны с электроноакцепторными заместителями в той же фенильной группе (11, R1 = 2-,3- или 4-ClC6H4). Фенильный или метильный заместители в положении 4 оксазолона (R2 = Ph, Me) снижают выход продуктов 13, по сравнению с фенильной группой с электроноакцепторным заместителем (11, R2 = 4-Br- или 4-ClC6H4). Однако во всех случаях полученные оксазолидоны имеют высокую (20:1) энантиомерную чистоту.
Вероятно [13], реакция [3+2]-циклоприсоединения насыщенных 5(4Н)-оксазолонов 11 с нитронами 12 протекает по схеме 6.
Схема 6
1.1.3. Синтез лактонов
Изучена [14] реакция насыщенных 5(4Н)-оксазолонов 19 с 4-винилэтиленкарбонатами 20. При этом установлено, что в присутствии ТМХС катализируемый смесью трис(дибензилиденацетон)дипалладия (Pd2(dba)3) и трифенилфосфи на процесс протекает с [5+2]-циклоприсоединением с выходами 67–99% лактонов 21 (схема 7).
Схема 7
Как правило, выход реакции [5+2]-циклоприсоединения сильно зависит от используемых субстратов 19 и 20. Оксазолоны 19 с бензильным фрагментом в положении 4 (R2 = CH2C6H5) и с арильным фрагментом, содержащим электроноакцепторные заместители в положении 2 (R1), в основном, приводят к хорошим результатам (67–99%).
Предполагается, что реакция протекает по схеме 8.
Схема 8
Интересно, что наличие фенильной группы (R2 = Ph) или отсутствие заместителя (R2 = H) в положении 2 оксазолона не приводит к образованию желаемого продукта 21. Отсутствие реакции наблюдалось также при взаимодействии 4-(4-хлорстирил)-4-фенил-1,3-диоксолан-2-она (20: R3 = Ph, R4 = 4-ClC6H4) и 4-фенил-4-(проп-1-ен-1-ил)-1,3-диоксолан-2-она (20: R3 = Ph, R4 = Ме) с 2-фенил-4-бензил-5-оксазолоном (19: R1 = Ph, R2 = CH2C6H5).
Взаимодействие насыщенного 5(4Н)-оксазолона 22 с ω-{[трет-бутилдиметилсилил]окси}-1-алкилйодидами 23 в присутствии литиевой соли ди-трет-бутиламина (LDA) и трис(диметиламино)фосфина (HMPT) приводит к образованию смеси С- и О-алкилированных продуктов 24 и 25, в которой С-алкилированный изомер 24 преобладает (схема 9) [15].
Схема 9
После удаления О-защитной группы из оксазолона 24 получен промежуточный продукт 26, который подвергали рециклизации с образованием лактонов 27. Выходы последних в зависимости от количества n метиленовых групп (схема 9) колеблются в пределах 10–100%.
1.1.4. Синтез триазоиндолин-2-она
3-Диазоиндолин-2-он (28) в присутствии различных кислот Льюиса реагирует с 2-фенил-4-бензил-5(4Н)-оксазолоном (29) с образованием 3-(5-бензил-3-фенил-1Н-1,2,4-триазо-1-ил)индолин-2-она (30) (схема 10) [16]. Эта реакция [3+2]-присоединения в присутствии 20 мол. % ТМХС приводит к образованию триазоиндолин-2-она 30 с выходом 33%.
Схема 10
Отмечается [16] также, что замена индола 28 на метиловый эфир ((трет-бутилдиметилсилил)окси)-2-диазобут-3-еновой кислоты (31) не приводит к [3+2]-присоединению с оксазолоном 29.
1.1.5. Синтез 1,3-азафосфолов
N-Замещенные насыщенные 5(4Н)-оксазолоны 32 (мюнхеноны) с 1-хлор-2-фенил-2-триметилсилилфосфаном (33) вступают в реакцию [3+2]-циклоприсоединения с образованием азафосфолов 34 [17]. Замена реагента 33 на трис-триметилсилилфосфин приводит к азaфосфоленам 35 (схема 11) [18].
Схема 11
1.1.6. Синтез производных пролинов и оксазолопиридинов
5(4Н)-Оксазолоны, содержащие в положении 4 цикла β-альдегидную (36: R3 = H) [19] или β-кетонную (36: R4 = Ме) группу [20–22], в метаноле и в присутствии ТМСХ при комнатной температуре образуют метиловые эфиры пролина 37 в виде одного диастереомера (схема 12).
Схема 12
Оксазолон (38) после раскрытия цикла MeOH/ТМХС, без выделения, был подвергнут окислению м-хлорнадбензойной кислотой с образованием оптически активного изомера глутаминовой кислоты 39 (схема 13) [21, 22].
Схема 13
Синтез и превращения O-силилированных 5(4Н)-оксазолонов
Установлено [23], что взаимодействие 2-бензил-5-оксазолона (40: R = CH2Ph) с триметилхлорсиланом в присутствии триэтиламина приводит к образованию 2-бензил-5-((триметилсилил)окси)оксазола 41 (схема 14).
Схема 14
Последний под воздействием ДМФА-диметилацеталя (42) образует 2-бензил-4-(диметиламинометил)-5-оксазолон (43), тогда как реакцией с изотиоцианатом (44) приводит к спирозамещенному 5(4Н)-оксазолону 45 (схема 14).
Реакция силилоксазола 41 с калиевой солью трет-бутилового спирта (46) приводит к аниону 47 (схема 14). O-Силилоксазол 41 применяли также для синтеза ненасыщенных 5(4Н)-оксазолонов 48 (схема 14) [24].
Установлено [25], что реакция О-силилоксазолона 41 с азодикарбоновой кислотой 49 при 80оС в бензоле в течение 24 ч приводит к образованию триазола 50 с высоким выходом.
Позже в 1979 г. были предложены удобные методы синтеза 5-триметилсилилокси-2,4-дизамещенных оксазолов 53 (схема 15) [26]. В случае стабильных 5(4Н)-оксазолонов 52 применяли их взаимодействие с ТМХС в присутствии триэтиламина (схема 15, путь А), тогда как нестабильные оксазолоны силилировали in situ (схема 15, путь Б).
Схема 15
Там же изучена возможность применения соединения 53 в качестве диенов в реакции Дильса–Альдера с N-фенилмалеинимидом или диметиловым эфиром малеиновой кислоты. При этом установлено, что аддукт 54 нестабилен и без выделения разлагается с помощью силикагеля. Таким образом, производные пиридина 55 получены с высокими выходами (83–90%).
Согласно [27], силилированный 2-фенил-4-бензил-5(4Н)-оксазолон (56: R = CH2Ph, R1 = Me) подвергается окислению с образованием соответствующего ненасыщенного оксазолона 57 в присутствии различных окислителей (схема 16).
Схема 16
По данным [28], С-алкилирование 2-фенил-5-((триизопропилсилил)окси)оксазола (56: R = Me, R1 = i-Pr) с кротональдегидом (58) и хлорирующим агентом 59 в присутствии органокатализатора 60 протекает с высоким выходом (97%) и энантиоселективностью (˃99 ее) (схема 16).
Реакцией 5-силилоксиоксазолов 62 с галогенангидридами карбоновых кислот 63 получают мюнхеноны 64 и 66, взаимодействие которых с диметиловым эфиром ацетилендикислоты (ДМАК) приводит к 2 аддуктам циклоприсоединения 65 и 67 (схема 17) [29].
Схема 17
В случае взаимодействия О-силилоксазола 68 с ДМАК в присутствии метилового эфира трифторсульфокислоты (TFOMe) и CsF получен пиррол 69, тогда как реакция О-силилоксазола 68 с тиобензофеноном в тех же условиях приводит к образованию тиоамида 70 (схема 18) [29].
Схема 18
Алкилирование С4-атома насыщенных 5(4Н)-оксазолонов силилорганическими реагентами
Реакция 2-фенил-4-бензил-5-оксазолона (72a) с 3-ацетокси-3-триметилсилилпропеном (71) в присутствии каталитических количеств лиганда 77 и [η3-C3H5PdCl]2 (76) приводит к образованию силилированного оксазолона 73а с выходом 69% (ee 98%) [30]. При этом получается также десилилированный продукт 74a с выходом 27%, но энантиомерный избыток составляет всего 13% (схема 19). В этом случае не обнаружен аллилированный продукт 75а. С менее затрудненным азлактоном 72b наблюдалась более сложная смесь продуктов.
Схема 19
При этом аллилированный азлактон 73b был выделен с выходом 53% (ее 97%). Десилилированный продукт 74b был получен с выходом всего 7%. Однако образовались дополнительные 2 продукта – региоизомерный аллилированный азлактон 75b, полученый с выходом 20% (93% de и 99% ee), и Z-изомер алкена 73b с выходом 13%. Применение в качестве лиганда стильбендиамина 78 привело к уменьшению количества азлактона 75b (9%), но увеличило количество изомера Z-алкена 73b (16%).
Продукты реакции Pd-катализируемого алкилирования насыщенных 5(4Н)-оксазолонов 72b,c с гем-диацетатом 79 были применены при синтезе сфингофунгинов E и F (схема 20) [31, 32]. Алкилирование оксазолонов 72b,c осуществлено в присутствии таких каталлизаторов, как Pd(PPh3)4 или димер аллилпалладия хлорида (76, (η3-C3H5PdCl)2) совместно с лигандом (1R,2R)-N,N’-(циклогексан-1,2-диил)бис(дифенилфосфино)бензамидом (77). При этом получили 2 стереоизомера 80 и 81. Последний был использован как исходное вещество для многостадийного синтеза сфингофунгинов 82 и 83 (схема 20).
Схема 20
Алкилирование С4 углеродного атома 2,4-дифенил-5(4Н)-оксазолона (84) 3-(триметилсилил)пропаргилбромидом осуществлено в ДМФА в присутствии диизопропилэтиламина (схема 21) [33]. При этом силилсодержащий оксазолон 85 получен с выходом 85%.
Схема 21
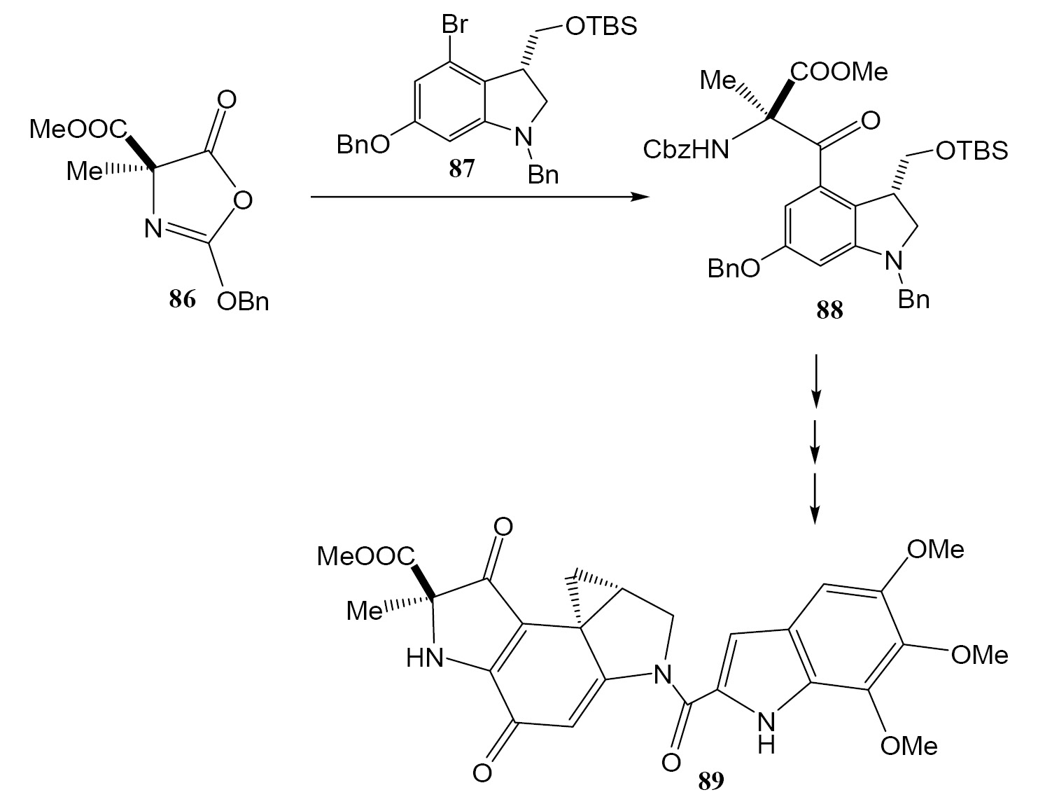
Реакция 2-бензилокси-4-метил-4-карбоксиметил-5-оксазолона (86) с хиральным индолином 87 в присутствии бутиллития в ТГФ при –78оС приводит к образованию продукта ацилирования индолина 88 [34]. Последний был применен для синтеза (+)-дуккамицина А (89) (схема 22).
Схема 22
Гипервалентные йодсодержащиe реагенты фенил((триметилсилил)этинил)йодиниум толуолсульфонат (90) и 1-((триметилсилил)этинил)-1,2-бензйодоксол-3(1Н)-он (91) в качестве донора ацетилена применяли для синтеза 4-алкинил-5(4Н)-оксазолонов 93 (схема 23) [35, 36].
Схема 23
При этом установлено [35], что в присутствии реагента 90 и диизопропилэтиламина 2-фенил-4-изобутил-5(4Н)-оксазолон (92: R = CH2CHMe2) происходит образование силилированного продукта 93 (R = CH2CHMe2) с высоким выходом (96%), тогда как замена реагента 90 на 91 приводит к десилилированному продукту 93 с R1 = H. Показана [35] пригодность силилсодержащих 4-алкинил-5-оксазолонов (94) в качестве исходных соединений для синтеза различных α,α-дизамещенных α-аминокислот 96–99 и пептида 95 (схема 24).
Схема 24
Реакция асимметрического [4+2]-циклоприсоединения 2-(1-гидрокси-3-(триметилсилил)проп-2-ин-1-ил)фенола (100) с насыщенным оксазолоном 101 в присутствии фосфорной кислоты 102 протекает с хорошим выходом и стереоселективностью с образованием 3,4-дизамещенного кумарина 103 (схема 25) [37].
Схема 25
Показано [38], что реакция 4-замещенных оксазолонов 104 с 4-метил-4-((триметилсилил)окси)пент-1-ен-3-оном (105) в присутствии органокатализаторов 108 или 109 после десилилирования полученных аддуктов алкилирования приводит к 4,4-дизамещенным оксазолонам 106 с высокими выходами и оптической чистотой (схема 26).
Схема 26
Последние являются хорошими исходными соединениями для синтеза оптически активных α,α-дизамещенных α-глутаминовых кислот 107.
При многостадийном синтезе карзинофиллина (азиномицина В – противоопухолевого антибиотика) [39–42] реакцией пирролов 110–112 с 5(4Н)-оксазолонами 113–116 установили, что нагревание пиррола 110 с 3 эквивалентами оксазолона 114 при 80оС в толуоле приводит к ненасыщенному оксазолону 117 (R = Ph, R1 = R2 = Bn) с выходом 33%. Однако при замене пиррола 110 на пиррол 111 (где X = S) выход реакции возрастает до 82% (схема 27) [39, 41]. При этом получается смесь, содержащая Z- и E-изомеры оксазолона 117.
Схема 27
Аналогичная реакция с участием пиррола 112 с 2-[(Е)-2-(бензилоксиметил)метилпропенил]-4H-оксазол-5-оном (116) в смеси толуол-пиридин приводит к соответствующему оксазолону 117 Е-конфигурации с выходом 47%, тогда как та же реакция с участием Z-изомера оксазолона 116 приводит к смеси оксазолона 117 (R = PhCH2OCH2OCH2CH(CH3)=CH, R1 = Ac, R2 = Et3Si), содержащего 9,3% Z-изомера и 32% E-изомера оксазолона 117- [42].
1.4. Синтез эфиров α,α-дизамещенных α-аминокислот
Реакция алкоголиза 4,4-дизамещенных 5(4Н)-оксазолонов 118 в присутствии ТМХС была применена для синтеза α,α-дизамещенных α-аминокислот 119 (схема 28). Реакция, как правило, протекает в мягких условия (комнатная температура) с высокими выходами (50–99%) с сохранением оптической чистоты исходных оксазолонов [19, 20, 22, 30, 43–47].
Схема 28
Метиловые эфиры N-бензоил-α,α-дизамещенных α-аминокислот 121 получены реакцией оксазолонов 120 в смеси дихлорметан–метанол (1 : 1) в присутствии 2 эквивалентов ТМХС при комнатной температуре с хорошими выходами (43–58%) (схема 29) [48].
Схема 29
Спироциклические 5(4Н)-оксазолоны 122 с метанолом в присутствии ТМХС при 40оС превращаются в диастереомерно чистые метиловые эфиры 123 с высокими выходами (81–100%) (схема 30) [49].
Схема 30
На примере (6S,10S)-2,6,10-трифенил-3-оксо-1-азаспиро[4, 5]дек-1-ен-4,8-диона (122: R1 = R2 = Ph) установлено [49], что при проведении той же реакции с участием диизопропилэтиламина вместо раскрытия оксазолонового цикла наблюдается образование диметилкеталя 124 с сохранением S,S-конфигурации транс-122 оксазолона.
Реакция раскрытия насыщенных 4,4-дизамещенных 5(4Н)-оксазолонов в присутствии ТМХС осуществлена [43, 50] сразу после синтеза 4-замещенного 5(4Н)-оксазолона в одной колбе. При этом также наблюдается сохранение энантиомерной чистоты полученных метиловых эфиров. Таким образом, после реакции [3+2]-циклоприсоединения ненасыщенных олефиновых 2-фенил-4-бензилиден-5-оксазолонов 125 с этиловым эфиром бутан-2,3-диеновой кислоты (126) в присутствии каталитических количеств фосфина 127 были синтезированы метиловые эфиры 128 с высокой энантиомерной чистотой (ее 79–95%) воздействием на полученные насыщенные оксазолоны ТМХС в этаноле (схема 31) [50].
Схема 31
Отмечается [43], что реакция раскрытия оксазолонового цикла была применена в однореакторном синтезе метиловых эфиров 131 после алкилирования насыщенных 5(4Н)-оксазолонов 129 нитроалкенoм 130 (схема 32).
Схема 32
Двухстадийный однореакторный синтез смешанных эфиров α,β-замещенной глутаминовой кислоты 133 осуществлен раскрытием оксазолонового цикла 132 смесью МеОН-ТМХС и последующим окислением полученного метилового эфира в условиях реакции Байера–Виллигера с применением м-хлорнадбензойной кислоты (MCPBA) (схема 33) [20, 22].
Схема 33
РЕАКЦИИ КРЕМНИЙОРГАНИЧЕСКИХ РЕАГЕНТОВ С НЕНАСЫЩЕННЫМИ 5(4Н)-ОКСАЗОЛОНАМИ
Исследования реакции ненасыщенных 5(4Н)-оксазолонов с кремнийсодержащими реагентами начались в 1989 г. [51]. Продуктом этих взаимодействий являлись, в основном, гетероциклические соединения.
2.1. Синтез ненасыщенных (4Н)-имидазол-4-онов
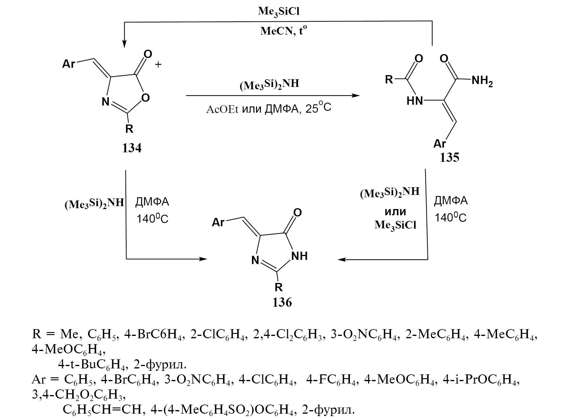
Взаимодействие 1,1,1,3,3,3-гексаметилдисилазан (ГМДС) с ненасыщенными 5(4Н)-оксазолонами 134 в зависимости от условий реакции приводит к образованию различных продуктов (схема 34). В случае проведения реакции в этилацетате, ацетонитриле или ДМФА при комнатной температуре получали первичные амиды N-замещенных α,β-дегидроаминокислот 135. В случае же кипячения в ДМФА реакция завершается образованием 2,4-дизамещенных 5-арилиден-4Н-имидазол-4-онов 136 [52–57]. В последнем случае ГМДС выступает в роли как донора аммиака, так и дегидратирующего агента. То есть имеет место двухстадийная тандемная реакция: образование амида α,β-дегидроаминокислоты 135 и его дегидратация в 4-имидазолон 136. В пользу сделанного предположения свидетельствует факт получения 4-имидазолонов 136 при взаимодействии амидов 135 с ГМДС [53, 56, 57].
Схема 34
Однако, по данным [52], реакция ТМХС с первичным амидом N-бензоил-α,β-дегидрофенилаланина (135: R = Ar = Ph) в ДМФА при 140оС приводит к смеси продуктов, состоящей из 2-фенил-5-бензилиден-4-имидазолона (136: R = Ar = Ph) и 2-фенил-4-бензилиден-5-оксазолона (134: R = Ar = Ph) (схема 34), тогда как в ацетонитриле продуктом реакции является только 2-фенил-4-бензилиден-5-оксазолон 134.
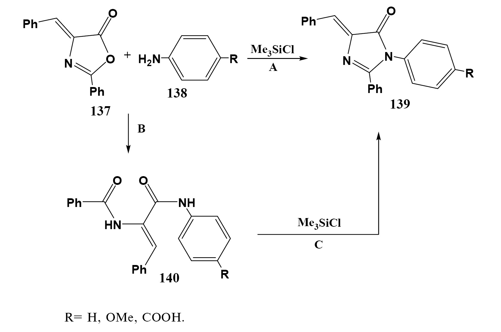
Установлено [58], что взаимодействие 2-фенил-4-бензилиден-5-оксазолона (137) с ариламинами 138 в присутствии ТМХС (схема 35, путь А) приводит к образованию 1-арил-4-бензилиден-5-имидазолона 139. Очевидно, что процесс в этом случае является двухстадийной тандемной реакцией, протекающей через образование ариламида α,β-дегидрофенилаланина 140 (схема 35, путь В) с последующей дегидратацией с помощью ТМХС (схема 35, путь С). В пользу такого предположения свидетельствует факт синтеза 4-имидазолонов 139 из амидов 140 с использованием ТМХС [58].
Схема 35
Отмечается, что метод синтеза 4-имидазолонов по пути А по выходам конечных продуктов уступает методу С. По данным [59], выход 1,2-дифенил-4-бензилиден-5-имидазолона (139: R = H), синтезированного по методу А, в течение 1 ч составляет 64%, тогда как [60] тот же 4-имидазолон 139 (R = H) был синтезирован с выходом 60% реакцией оксазолона 137 с анилином (138: R = H) в присутствии ацетата натрия в течение 6 ч.
Проведен однореакторный синтез 2,3,5-тризамещенных 4-имидазолонов 142 из 2-замещеных 4-арилиден-5(4H)-оксазолонов 141, в качестве дегидратирующего агента применяли бистриметилсилилацетамид (БТМСА) (схема 36) [61, 62].
Схема 36
Синтез осуществляли добавлением к пиридиновому раствору ненасыщенного 5(4Н)-окса-золона 141 в пиридине первичного амина. После завершения реакции образования амида N-замещенной α,β-дегидроаминокислоты прибавляли 2 эквивалента БТМСА и смесь кипятили при 100оС в течение 12–15 ч. При этом целевые 4-имидазолоны 142 были получены с высокими выходами (52–99%). Позже при исследовании синтеза 2,3,5-тризамещенных 4-имидазолонов с применением ТМСХ и ГМДС в качестве дегидратирующих агентов (схема 37) [59] установлено, что однореакторный синтез (схема 37, путь С) с участием ГМДС тоже приводит к высоким выходам целевых имидазолонов 143, тогда как при использовании ТМСХ выходы (52–72%) сравнительно низкие.
Схема 37
Недавно однореакторный синтез 1,2-дифенил-5-бензилиден-4-имидазолона (144) был осуществлен с применением N-триметилсилилимидазола (ТМСИ) [63]. При этом целевой продукт 144 выделен с выходом 52% (схема 38).
Схема 38
Отметим, что реакцией ненасыщенных 5(4Н)-оксазолонов с ГМДС, ТМХС, TMСИ и БТМСА были синтезированы различные биологически активные 4-имидазолоны, в том числе аналоги хромофора зеленого флуоресцентного белка [53–57, 63].
2.2. Реакция ненасыщенных 5(4Н)-оксазолонов с силилфосфанами
Силилфосфаны 145 реагируют с ненасыщенными 5(4Н)-оксазолонами 146, образуя аддукт 1,4-присоединения 147 за счет O=C–C=C сопряженного фрагмента оксазолона 146 (схема 39) [64]. Реакция с хорошими выходами протекает при комнатной температуре. Оксазол 147 легко реагирует с кислородом с образованием оксида фосфина 148, который в присутствии воды, теряя силиловый фрагмент, превращается в фосфорилированную аминокислоту 149. Сульфурирование соединения 147 приводит к стабильному оксиду тиофосфина 150.
Схема 39
Последний в случае 2-метилзамещенного аналога легко превращается в аминокислоту 152, тогда как 2-фенильный аналог 150 приводит к образованию насыщенного оксазолона 151, из которого в присутствии избытка воды получены аминокислоты 152.
Реакция ненасыщенных 5(4Н)-оксазолонов с фенилдиметилсиланом
По данным [65, 66], порфолактон, содержащий остаток ненасыщенного оксазолона 153, с 1 эквивалентом реагента Вуллинза (RW) и в присутствии 4 эквивалентов фенилдиметилсилана приводит к образованию дигидропорфолактона 154, тогда как увеличение доли силана до 100 эквивалентов приводит к тетрагидропорфолактону 155 (схема 40).
Схема 40
2.4. Реакция ненасыщенных 5(4Н)-оксазолонов с силилированными непредельными соединениями
Начиная с 1989 г. изучалась [51, 67–72] реакция Дильса-Альдера с участием различных силилированных бутадиенов 156 и (Z)-2-фенил-4-арилиден-5(4Н)-оксазолонов 157. Отмечается [67], что реакция (Z)-4-(бензо[d][1, 3]диоксаль-5-илметилен)-2-фенил-5(4Н)-оксазолона (157ж) с транс-1-метокси-3-триметилсилилоксибута-1,3-диеном (156: R = R1 = Me, R2 = OMe, диен Данишевского) в запаянном флаконе при 160˚С приводит к продукту [2+4]-присоединения с образованием спирооксазолонa 158. При этом наблюдалось образование одного изомера (схема 41). По данным [68], та же реакция с 2-фенил-4-бензилиден-5(4Н)-оксазолоном (157c), осуществляемая в толуоле при 160˚С, приводит к образованию смеси 2 изомеров продукта [2+4]-присоединения – 158a и 158b в результате эндо- и экзо-атаки диена 156 на оксазолон 157c. Полученные изомеры в кислотных условиях превращены в спирооксазолоны 159a и 159b с выходом 93% в соотношении 45 : 55 соответственно (схема 41).
Схема 41
Аналогичный результат описан в реакциях [70–72] (R,Z)-4-((2,2-диметил-1,3-диоксолан-4-ил)метилен)-2-фенил-5(4Н)-оксазолона (157е), 4-(2-метоксибензилиден)-5(4Н)-оксазолона (157г), 4-(3,4-диметоксибензилиден)-2-фенил-5(4Н)-оксазолона (157д), 4-этилиден-2-фенил-5(4Н)-оксазолона (157a) и 4-(2,2-диметилпропилиден)-2-фенил-5(4Н)-оксазолона (157b) с диеном Данишевского. Отметим, что при этом в зависимости от структуры ненасыщенного оксазолона 157 соотношение изомеров, полученных в результате эндо- и экзо-атаки, различается.
По данным [71], 1-триметилсилилоксибутадиен (156c) с диенофилом 157e также реагирует в растворе дихлорметана при комнатной температуре в течение 24 ч с получением аддуктов смеси 160a и 160b (1 : 2) с выходом 70% (схема 42). Интересно, что под давлением диенофил 157е с 1-ТМСО-бутадиеном 156b (12.5 кбар, комнатная температура, 6 ч) давала только син-эндо-изомер 160a с выходом 90% (схема 42). Таким образом, показано, что высокое давление лучше, чем термическая активация, для получения аддуктов Дильса–Альдера более эффективно и стереоселективным способом. Использование этих 2 разных реакций активации предполагает альтернативные способы получения син-эндо-изомера 160a или син-экзо-изомера 160b с хорошими выходами.
Схема 42
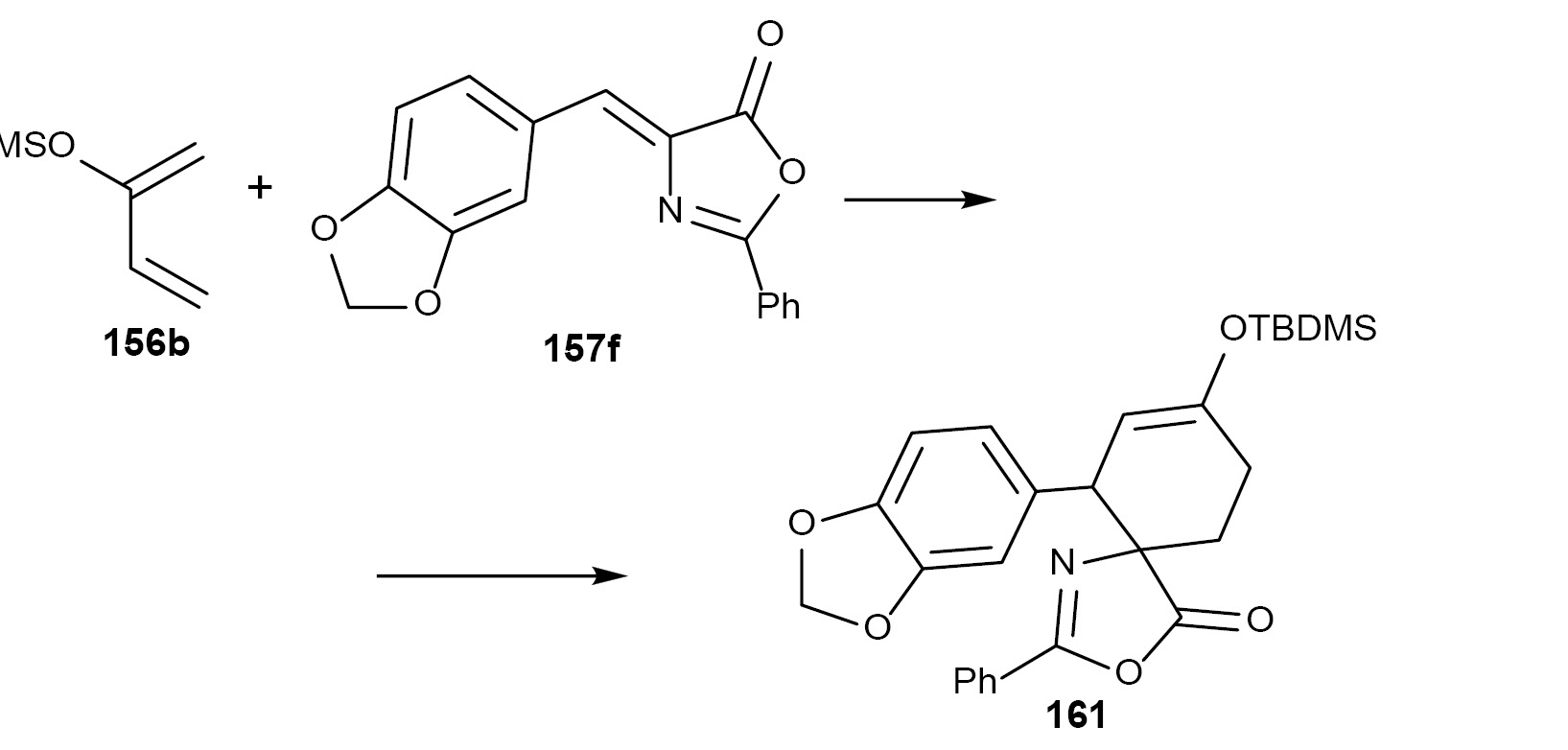
Взаимодействие реагента 156b с ненасыщенным оксазолоном 157f, содержащим в положении 4 бензо[d][1, 3]диоксол-5-илметиленовую группу , приводит к образованию продукта [2+4]-присоединения 161 (схема 43) с выходом 50% [66].
Схема 43
Установлено [66], что реакция 4-хлорметилиден-2-фенил-5(4Н)-оксазолона (162) с 2-трет-бутилдиметилсилилоксибутадиеном (156г) не приводит к ожидаемому продукту [2+4]-присоединения 163, вместо этого при комнатной температуре образуется ненасыщенный 5(4Н)-оксазолон 164 (схема 44).
Схема 44
Реакция (Z)-4-((6-хлорпиридин-3-ил)метилен)-2-фенилоксазол-5(4Н)-она (165) с реагентом Данишевского была использована [73] в синтезе биологически активного эпибатидина (166) – алкалоида, выделенного из кожи эквадорской лягушки (схема 45).
Схема 45
Аналогичная реакция с ненасыщенными 5(4Н)-оксазолонами была использована при синтезе α-аминокислот с 7-азанорборнановым скелетом 167 [74].
КРЕМНИЙОРГАНИЧЕСКИЕ ОРГАНОКАТАЛИЗАТОРЫ В РЕАКЦИЯХ 5(4Н)-ОКСАЗОЛОНОВ
В литературе встречаются примеры применения кремнийорганических соединений в качестве органокатализаторов для различных реакций с участием как насыщенных, так и ненасыщенных 5(4Н)-оксазолонов.
4-Гидрокси-2,6-бис(трифенилсилил)[2,1-d:1',2'-f][1, 3, 2]диоксафосфепин-4-оксид (168) был использован в аза-реакции Михаэля с участием Е-изомера 4-пропилиден-5(4Н)-оксазолона (E-170) с трет-бутилгидроксикарбаматом (171) (схема 46) [75].
Схема 46
При этом получается смесь изомеров, в которой преобладает анти-изомер. В случае же Z/E-изомера оксазолона 170 реакция с карбамидом 171 в присутствии трифенилфосфина и катализатора 168 приводит к соединению 173 с высокой энантиомерной чистотой (ее = 95%), на основе которого далее синтезирован пептид 174 с высокой оптической чистотой [75].
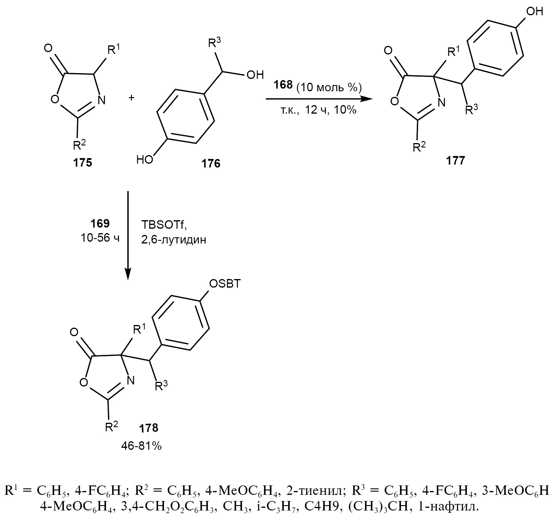
Реагент 168 был использован в качестве катализатора при С4-алкилировании оксазолона 175 замещенными 4-гидроксиметилфенолами 176 (схема 47) [76]. Выход конечного продукта 177 низкий (10%). Однако реакция в присутствии катализатора 169 и трет-бутилдиметилсилилового эфира трифторметилсульфокислоты (TBSOTf) приводит к силилированным аналогам азлактона 178.
Схема 47
Катализатор 168 применялся [77] также при асимметрическом трехкомпонентном синтезе пиридонов 182 из насыщенных 5(4Н)-оксазолонов 179. Эта реакция [4+2]-присоединения протекает между оксазолоном 179, коричным альдегидом (180) и первичными аминами 181 в присутствии 20 мол. % силилового катализатора 168 при 0оС (схема 48).
Схема 48
В случае ариламинов 181 реакция в хлороформе протекает с образованием 3,4-дигидропиридонов 182 с высокими выходами (62–91%) и стереоселективностью (62–94% ее). Замена ариламина 181 на диэтиловый эфир 2-амино-2-бензилмалоновой кислоты (183) в реакции с 2-фенил-4-метил-5(4Н)-оксазолоном (179: R = Me) приводит к пиридинонам 184, которые под воздействием трифторборида образуют производные бензо[a]хинолизидинов 185 с высокими выходами и энантиоселективностью в пределах 90–97% ее (схема 48).
Хиральные катализаторы 186a и 186b в количествах 1 мол. % применялись при С4- алкилировании насыщенных оксазолонов 187 бензил- (188: R = C6H5CH2), аллил- (188: R = CH2CH=CH2) и пропаргилбромидами (188: R = CH2C≡CH), что приводило к образованию оксазолонов 189 с высокой стереоселективностью (схема 49) [78]. Установлено, что катализатор 186b приводил к диастереомерам 189 в соотношении 95 : 5.
Схема 49
Метод был применен для синтеза оптически активных полипептидов с α,α-дизамещенными аминокислотами 190 и 193 (схема 50).
Схема 50
Алкилирование С4-атома насыщенных 5(4Н)-оксазолонов 198 эфирами бута-2,3-диеновой кислоты (199) катализируется различными фосфинами 194–197, содержащими тризамещенный силиловый фрагмент [79].
Из них с высокими выходами и энантиомерной чистотой синтез 4,4-дизамещенных оксазолонов 200 катализирует фосфин 194b (схема 51).
Схема 51
Установлено [19, 80], что органокатализаторы, синтезированные на основе пролинола 201–203, можно применять для алкилирования С4-атома насыщенных 5(4Н)-оксазолонов 205 α,β-ненасыщенными альдегидами 204 (схема 52).
Схема 52
Օтмечается, что процесс нуклеофильного присоединения насыщенных 4-замещенных 5(4Н)-оксазолонов (205: R3 = алкил-, арил-) к α,β-ненасыщенным альдегидам 204 в присутствии трет-бутилдиметилсилилового эфира (дифенил)пролинола (201) [80] и триметилсилилового эфира ди(3,5-трифторметилфенил)пролинола (202) [19] протекает с высокой энантиоселективностью и хорошими выходами (схема 52).
По данным [80], сравнительно хорошие результаты (44–79%) с участием катализаторов 201–203 получаются при проведении реакции Михаэля с применением катализатора 201 в толуоле при 0оС. Отмечается также, что на энантиоселективность влияет заместитель в положении 2 (R2) 5(4Н)-оксазолона (205). Предложен [19] механизм реакции, согласно которому α,β-ненасыщенный альдегид 204, взаимодействуя с катализатором через интермедиат 207 и далее с нуклеофилом 205, трансформируется в аддукт Михаэля 206 через промежуточное соединение 208 (схема 53).
Схема 53
В случае ненасыщенного 5(4Н)-оксазолона, содержащего метильную группу при олефиновом фрагменте 209, реакция с производными коричного альдегида 204 в присутствии органокатализаторов 201–203 приводит к образованию продукта реакции присоединения по Михаэлю 210 с высокой стереоселективностью (схема 54) [81].
Схема 54
При этом реакция осуществляется в присутствии основания (триэтил- или диизопропилэтиламина). Сравнительно высокие выходы соединений 210 с высокой стерео- и региоселективностью получены в случае применения катализатора 203. Аналогичная реакция с участием 2,4-диенальдегида 211 протекает медленнее, но по выходам получаемых продуктов 212 не уступает продуктам, полученным реакцией с коричным альдегидом (схема 54). Однако при введении в положение 6 диеналя фенильной группы соединения 214 реакция протекала с низкой региоселективностью. В этом случае получена смесь продуктов 1,4- и 1,6-присоединения 215 и 216 соответственно (схема 55).
Схема 55
По данным [81], продукт 1,6-присоединения – (R,2E,7Z)-5-метил-7-(5-оксо-2-фенилоксазол-4(5Н)-илиден)-7-фенил-2-енальдегид (217) - подвергается эпоксилированию с пероксидом водорода и в зависимости от оптического изомера реагента 201 (R-201a или S-201b) приводит соответственно к изомеру 218a или 218b (схема 56).
Схема 56
Силиловый эфир 201 применяли [82] для катализа реакции Дильса-Альдера с участием ненасыщенных 5(4Н)-оксазолонов 220 с гексадиеналем 219. При этом образуются C-4,4-дизамещенные спирооксазолоны 221 с высокой энантиомерной чистотой (ее 96–99%) (схема 57).
Схема 57
В случае же циклического диена 222 реакция ненасыщенного 5(4Н)-оксазолона 223 в присутствии катализатора 201 тоже приводит к образованию спироциклических продуктов 224 [83] с энантиомерным избытком до 99% (схема 58).
Схема 58
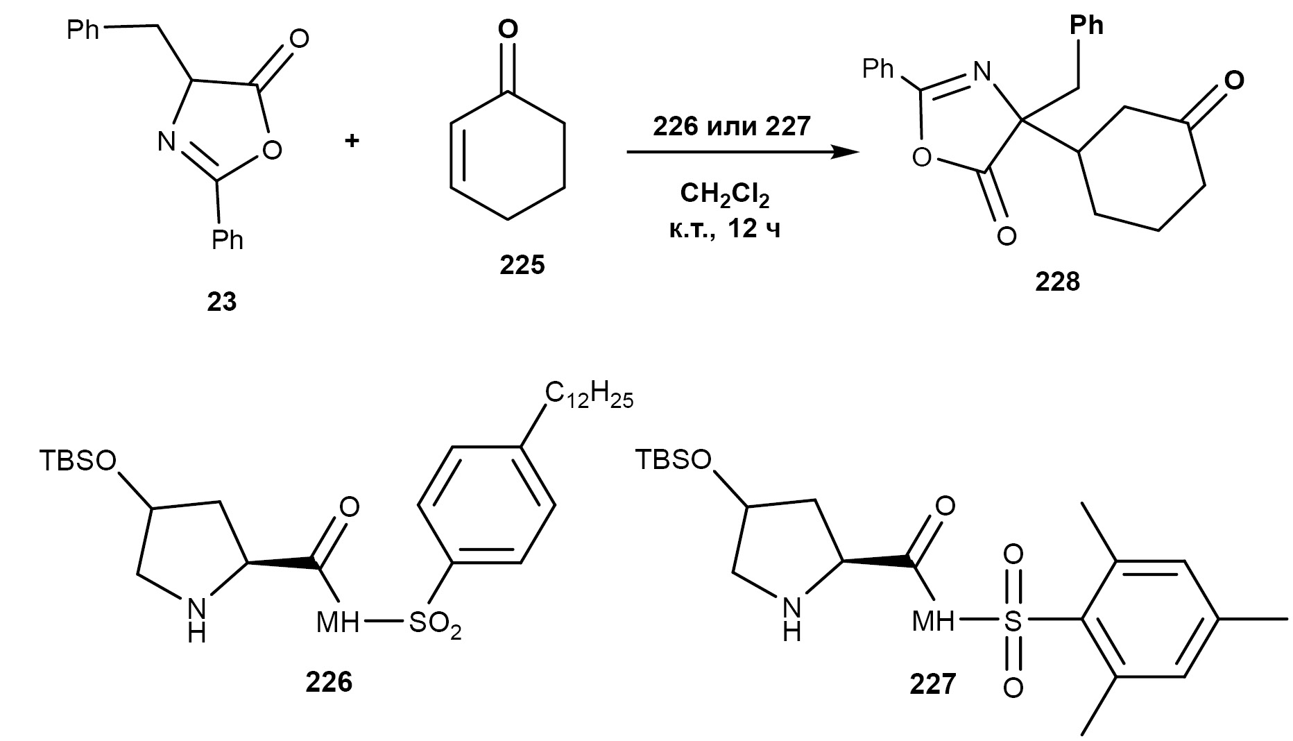
Применение силилированных амидов оксипролинов 226 и 227 в качестве катализаторов реакции присоединения насыщенного 5(4Н)-оксазолона 23 к циклогексенону 225 приводит к аддукту реакции Михаэля 228 с низкой энантиоселективностью (схема 59) [84].
Схема 59
Установлено [85], что 2-(((трет-бутилдиметилсилил)оксо)(6-метоксихинолин-4-ил)метил)-5-винилхинуклидин (231) катализирует реакцию (Z)-2-фенил-4-(1-фенилэтилиден)-5(4Н)-оксазолона (229) с метиловым эфиром 2-(((трет-бутилокси)фенил)метил)акриловой кислоты (230) (схема 60). При этом выход оксазолона 233 составляет 55% с соотношением пространственных Z-/E-изомеров 3 : 1 соответственно.
Схема 60
Катализаторы 231 [86] и серебряная соль 232 [87] были использованы также для органокаталического энантиоселективного присоединения насыщенных 5(4Н)-оксазолонов 234 к N-тозилальдиминам 235 (схема 61).
Схема 61
В результате получены 4,4-дизамещенные 5(4Н)-оксазолоны 236 с высокой энантиомерной чистотой, которые при гидролизе образуют оптически активные α,β-диаминокислоты 237.
В некоторых превращениях 5(4Н)-оксазолонов в качестве этерифицирующего агента был применен триметилсилилдиазометан (TMSCHN2) (схемы 62–64) [88–94]․
Схема 62
Схема 63
Схема 64
Литий- и натрийгексаметилдисилазаны применяли в качестве оснований в катализируемом палладием регио- и диастереоселективном аллиловом алкилировании с участием насыщенных 5(4Н)-оксазолонов [95].
Взаимодействие 2-(п-метоксифенил)-4-фенил-5(4Н)-оксазолона (238) с дифенилэтанолом (239) в присутствии бис-трифенилсилилдинафтофосфорной кислоты (168) приводит к образованию дифенилэтилового эфира 240 с выходом 57% [96] (схема 65).
Схема 65
По данным [97], SiO2 тоже способствует раскрытию цикла насыщенного 5(4Н)-оксазолона в метаноле.
По данным [98], катализатор на основе алкалоида цинхона 242 способствует образованию тиоэфиров N-замещенных аминокислот 243 (схема 66) из оксазолона 241 и меркаптана. В этом случае, несмотря на высокие выходы, тиоэфиры 243 получаются с низкой оптической чистотой (ее 0–8 %).
Схема 66
ЗАКЛЮЧЕНИЕ
Реакции как насыщенных, так и ненасыщенных 5(4Н)-оксазолонов с участием кремнийорганических реагентов представляют большой интерес при создании различных классов веществ. Методы на основе этих взаимодействий находят широкое применение в синтезе биологически активных и природных соединений и служат в качестве альтернативного подхода для создания целевых продуктов с высокими выходами и стереоселективностью, например, 4-имидазолонов или α,α-дизамещенных α-аминокислот.
КОНФЛИКТ ИНТЕРЕСОВ
Авторы заявляют об отсутствии конфликта интересов.
Об авторах
Виген Оникович Топузян
Институт тонкой органической химии научно-технологического центра органической и фармацевтической химии НАН РА
Автор, ответственный за переписку.
Email: vtop@web.am
ORCID iD: 0000-0002-1721-1993
Армения, г. Ереван, пр. Азатутяна, 26
Армен Арамович Оганесян
Институт тонкой органической химии научно-технологического центра органической и фармацевтической химии НАН РА
Email: vtop@web.am
ORCID iD: 0000-0003-0879-6800
Армения, г. Ереван, пр. Азатутяна, 26
Список литературы
- Paddibhotla S., Jayakumar S., Tepe J.J. Org. Lett., 2002, 4, 3533–3535. doi: 10.1021/o1026703y
- Paddibhotla S., Tepe J.J. Synthesis, 2003, 1433–1440. doi: 10.1055/s-2003-40196.
- Sharma V., Tepe J.J. Org. Lett., 2005, 7, 5091–5094. doi: 10.1021/o1052118w
- Kahlon D.K., Lansdell T.A., Fisk J.S., Hupp C.D., Friebe T.L., Hovde S., Jones A.D., Dyer R.D., Henry R.W., Tepe J.J. J. Med. Chem., 2009, 52, 1302–1309. doi: 10.1021/jm8013162
- Kahlon D.K., Lansdell T.A., Fisk J.S., Tepe J.J. Bioorg. Med. Chem., 2009, 17, 3093–3103. doi: 10.1016/bmc.2009.03.002
- Fisk J.S., Mosey R.A., Tepe J.J. Chem. Soc .Rev., 2007, 36, 1432–1440. doi: 10.1039/B511113G
- US Patent No: US 6,878,735 B2, 04.12.2005, Tepe J.J., Lansing E., Paddibhotla S. Multi-substituted imidazolines and method of use thereof.
- Sharma V., Peddibhotla S., Tepe J.J., Chem. Biol., 2004, 11, 1689–1699. doi: 10.1016/j.chembiol.2004.10.006
- Azevedo L.M., Lansdell T.A., Ludwig J.R., Mosey R.A., Woloch D.K., Cogan D.P., Patten G.P., Kuszpit M.R., Fisk J.S., Tepe J.J. J. Med. Chem., 2013, 56, 5974–5978. doi: 10.1021/jm400235r
- Njomen E., Osmulski P.A., Jones C., Gaczynska M.E., Tepe J.J. Biochemistry, 2018, 57, 4214–4224. doi: 10.1021/acs.biochem.8b00579
- Lansdell T.A., Hurchla M.A., Xiang J., Hovde S., Weilbaecher K.N., Henry R.W., Tepe J.J. ACS Chem. Biol., 2012, 8, 578–587. doi: 10.1021/cb300568r
- Qu K., Fisk J.S., Tepe J.J. Tetrahedron Lett., 2011, 52, 4840-4842. doi: 10.1016/j.tetlet.2011.07.022
- Zhao H.-W., Liu Y.-Y., Zhao Y.-D., Pang H.-L., Chen X.-Q., Song X.-Q., Tian T., Li B. Yang Z., Du J., Feng N.-N. Org. Lett., 2017, 19, 26–29. doi: 10.1021/acs.orglett.6b03206
- Zhao H.-W., Du J., Guo J.-M., Feng N.-N., Wang L.-R., Ding W.-Q., Song X.-Q. Chem. Commun., 2018 54, 9178–9181. doi: 10.1039/c8cc04584d
- Fritschi S.P., Linden A., Heimgartner H., Helv. Chim. Acta, 2016, 99, 1–16. doi: 10.1002/hlca.201600023
- Zhao H.-W., Liu Y.-Y., Zhao Y.-D., Feng N.-N., Du J., Song X.-Q., Pang H.-L., Chen X.-Q. Eur. J. Org. Chem., 2018, 341–346. doi: 10.1002/ejoc.201701496
- Markl G., Dorfmeister G. Tetrahedron Lett., 1986, 27, 4419–4422. doi: 10.1016/S0040-4039(00)84967-9
- Markl G., Dorfmeister G. Tetrahedron Lett., 1987, 28, 1089–1092. doi: 10.1016/S0040-4039(00)95918-5
- Cabrera S., Reyes E., Aleman J., Milelli A., Kobbelgaard S., Jorgensen K.A. J. Am. Chem. Soc., 2008, 130, 12031–12037. doi: 10.1021/ja804567h
- Weber M., Jautze S., Frey W., Peters R. Chem. Eur. J., 2012, 18, 14792–14804. doi: 10.1002/chem.201202455
- Weber M, Jautze S., Frey W., Peters R. J. Am. Chem. Soc., 2010, 132, 12222–12225. doi: 10.1021/ja106088v
- Weber M., Frey W., Peters R. Adv. Synth. Catal., 2012, 354, 1443–1449. doi: 10.1002/adsc.201200085
- Hoppe D, Liebigs Ann. Chem., 1976, 2185–2193. doi: 10.1002/jlac.197619761206
- Takagaki H., Tanabe Sh., Asaoka M., Takei H. Chem. Lett., 1979, 8, 347–350. doi: 10.1246/cl.1979.347
- Hassaner A., Ficher B., Tetrahedron, 1989, 45, 3535–3546. doi: 10.1016/s0040-4020(01)81032-2
- Takagaki H., Yasuda N., Asaoka M., Takei H. Chem. Lett., 1979, 8, 183–186. doi: 10.1246/cb.1979.183
- Lott R.S., Breitholle E.G., Stammer C.H. J. Org. Chem., 1980, 45, 1151–1153. doi: 10.1021/jo01294a046
- Huang Y., Walji A.M., Larsen C.H., MacMillan D.W.C., J. Am. Chem. Soc., 2005, 127, 15051–15053. doi: 10.1021/ja055545d
- Wilde R.G. Tetrahedron Lett., 1988, 29, 2027–2030. doi: 10.1016/S0040-4039(00)87825-9
- Тrost B.M., Ariza X., J. Am. Chem. Soc., 1999, 121, 10727–10737. doi: 10.1021/ja992754n
- Trost B.M., Lee C.B. J. Am. Chem. Soc., 1998, 120, 6818–6819. doi: 10.1021/ja981141s
- Trost M.B., Lee Ch., J. Am. Chem. Soc., 2001, 123, 12191–12201. doi: 10.1021/ja0118338
- Sofia M.J., Chakravarty P.K., Katzenellenbogen J.A. J. Org. Chem., 1983, 48, 3318–3325. doi: 10.1021/jo00167a032
- Yamada K., Kurokawa T., Tokuyama H., Fukuyama T., J. Am. Chem. Soc., 2003, 125, 6630–6631. doi: 10.1021/ja035303i
- Finkbeiner P., Weckenmann N.M., Nachtsheim B.J. Org. Lett., 2014, 16, 1326–1329. doi: 10.1021/ol500053c
- Kamlar M., Cisarova I., Vesely J. Org. Biomol. Chem., 2015, 13, 2484–2489. doi: 10.1039/c4OB02625
- Yu X.-Y., Chen J.R., Wei Q., Cheng H.G., Liu Z.-Ch., Xiao W.-J. Chem. Eur. J., 2016, 22, 6774–6778. doi: 10.1002/chem.201601227
- Badiola E., Fiser B., Gomez-Bengoa E., Mielgo A., Olaizola I., Urruzuno I., Garsia J.M., Odriozola J.M.,Razkin J., Oiarbide M., Palomo C. J. Am. Chem. Soc., 2014, 136, 17869–17881. doi: 10.1021/ja510603w
- Hashimoto M., Terashima Sh. Tetrahedron Lett., 1994, 35, 9409–9412. doi: 10.1016/S0040-4039(00)78556-X
- Hashimoto M., Terashima Sh. Chem. Commun., 1998, 47, 59–64. doi: 10.3987/COM-97-S(N)2
- Hashimoto M., Matsumoto M., Terashima Sh. Tetrahedron, 2003, 59, 3041–3062. doi: 10.1016/S0040-4020(03)00378-8
- Hashimoto M., Sugiura M., Terashima Sh. Tetrahedron, 2003, 59, 3063–3087. doi: 10.1016/S0040-4020(03)00379-X
- Aleman J., Milelli A., Cabrera S., Reyes E., Jorgensen K.A. Chem. Eur. J., 2008, 14, 10958–10966. doi: 10.1002/chem.200802030
- Zhao W., Fink D.M., Labutta C.A., Radosevich A.T. Org. Lett., 2013, 15, 3090–3093. doi: 10.1021/ol401276b
- Qiao B, Liu X, Duan S., Yan L., Jiang Z., Org. Lett., 2014, 16, 672–675. doi: 10.1021/ol403303k
- Alba A-N.R., Rios R. Chem. Asi. J., 2011, 6, 720–734. doi: 10.1002/asia.201000636
- Choi Y.S., Park S., Park Y.S. Eur. J. Org. Chem., 2016, 2539–2546. doi: 10.1002/ejoc.201600201
- Dziegielewski M., Hejmanowska J., Albrecht L. Synthesis, 2014, 46, 3233–3238. doi: 10.1055/s-0034-1378997
- Weber M., Frey W., Peters R. Chem. Eur. J., 2013, 19, 8342–8351. doi: 10.1002/chem.201300224
- Streurer M., Jensen K.L., Worgull D., Jorgensen K.A. Chem Eur. J., 2012, 18, 76–79.
- doi: 10.1002/chem.201103502
- Kraus G.A., Yu F. Synthetic Communicat., 1989, 19, 2401–2407. doi: 10.1080/00397918908052640
- Topuzyan V.O., Arutyunyan L.G., Oganesyan A.A. Russ. J. Org. Chem., 2007, 43, 868–871. doi: 10.1134/S1070428007060127
- Топузян В.О., Казоян В.М., Тамазян Р.А., Айвазян А.Г., Галстян Л.Х. ЖОрХ, 2018, 54, 1355–1363. [Topuzyan V.O., Kazoyan V.M., Tamazyan R.A., Ayvazyan A.G., Galstyan L.Kh., Russ. J. Org. Chem., 2018, 54, 9, 1369–1377.] doi: 10.1134/S1070428018090178
- Топузян В.О., Казоян В.М. Докл. НАН Армении, 2018, 118, 3, 268–272.
- Топузян В.О., Оганесян А.А., Казоян В.М., Алексанян Е.Р., Докл. НАН Армении, 2019, 119, 162–170. Elib.sci.am/2019_2/09_2_2019.pdf.
- Топузян Ж.О., Оганесян А.А., Макичян А.Т., Унанян Л.С. ЖОрХ, 2022, 58, 706–717. [Topuzyan V.O., Oganesyan A.A., Makichyan A.T., Unanayan L.S. Russ. J. Org. Chem., 2022, 55, 959–967.] doi: 10.31857/S0514749222070035
- Оганесян А.А., Макичян А.Т., Алексанян Е.Р., Топузян В.О., Арм. хим. ж., 2022, 75, 203–212. doi: 10.54503/0515-9628-2022.75.2-203
- Топузян В.О., Оганесян А.А., Паносян Г.А., ЖОрХ, 2004, 40, 1692–1694. [Topuzyan V.O., Oganesyan A.A., Panosyan G.A. Russ. J. Org. Chem., 2004, 40, 1644–1646.] doi: 10.1007/s11178-005-0072-7
- Топузян В.О., Казоян В.М., Унанян Л.С., Оганесян А.А., Галстян Л.Х., Макичян А.Т. Хим. ж. Арм., 2019, 72, 159–175. arar.sci.am/dlibra/publication/206503/edition/187889/content.
- Tripathy P.K., Mukerjee A.K. Synthesis, 1985, 285–288. doi: 10.1055/s-1985-31179
- Muselli M., Colombeau L., Hedouin J., Hoarau C.H., Bischoff L. Synlett, 2016, 27, 2819–2825. doi: 10.1055/s-0035-1562524
- Collado S., Pueyo A., Baudequin Ch., Bischoff L., Jimenez A.-I., Cativiela C., Hoarau Ch., Urriolabeitia P. Eur. J. Org. Chem., 2018, 6158–6166. doi: 10.1002/ejoc.201800966
- Topuzyan V.O., Tosunyan S.R., Aleksanyan E.R., Hakobyan E.A., Hovhannisyan N.A., Makichyan A.T., Shahkhatuni A.A., Hovhannisyan A.A. Russ. J. Gen. Chem., 2023, 93, 10, 2523–2533. doi: 10.1134/S1070363223100079
- El Mkadmi M., Lazraq M., Kerbal A., Escudie J., Couret C., Ranaivonjatovo H. Phospourus, Sulfur Silicon, 1998, 134, 1, 151–169. doi: 10.1080/10426509808545459
- Furuyama T., Tang J., Wu Z.-Y., Chen J.-Z., Kobayashi N., Zhang J.-L. Inorg. Chem. Front., 2015, 2, 671–677. doi: 10.1039/C5QI00054H
- Ning Y., Jin G.-Q, Zhang J.-L. Acc. Chem. Res., 2019, 52, 2620–2633. doi: 10.1021/acs.accounts.9b00119
- Avenoza A., Busto J.H., Cativiela C., Peregrina J.M. Tetrahedron, 1994, 50, 12989–12998. doi: 10.1016/S0040-4020(01)81218-7
- Avenoza A., Cativiela C., Busto J.H., Peregrina J,M. Tetrahedron Lett., 1995, 36, 7123–7126. doi: 10.1016/S0040-4039(95)01414-D
- Ortuno R.M., Ibarzo J. Alvarez-Larena A., Piniella J.F. Tetrahedron Lett., 1996, 37, 4059–4062. doi: 10.1016/S0040-4039(96)00732-0
- Ortanо R.M., Ibarzo J.,d`Angelo J., Dumas F., Alverez-Larena A., Piniella J.F. Tetrahedron Asymm.,1996, 7, 127–138. doi: 10.1016/0957-4166(95)00429-7
- Avenoza A., Busto J.H., Paris M., Peregrina J.M., Cativiela C. J. Heterocycl. Chem., 1997, 34, 1099–1110. doi: 10.1002/jhet.5570340402
- Rodriguez-Garcia C., Ibarzo J., Alverez-Larena A., Branchadell V., Oliva A., Ortuno M. Tetrahedron, 2001, 57, 1025–1034. doi: 10.1016/S0040-4020(00)01061-9
- AvenozaA., Busto J.H., Cataviela C., Peregrina J.M. Synthesis, 1998, 1335–1338. doi: 10.1015/s-1998-6096
- Gil A.M., Buñuel E., Cativiela C., Arkivoc, 2005, (ix) 90–103. doi: 10.3998/ark.5550190.0006.910
- Izumi S.,Kobayashi Y., Takemoto Y. Org. Lett., 2016, 18, 696–699. doi: 10.1021/acs.orglett.5b03666.
- Yan J., Chen M., Sung H. H-Y., Williams I. D., Sun J. Chem. Asian J., 2018, 13, 2440–2444. doi: 10.1002/asia.201800569
- Jiang J., Qing J., Gong L.-Z. Chem. Eur. J., 2009, 15, 7031–7034. doi: 10.1002/chem.200900814
- Uraguchi D., Asai Y., Ooi T. Angew. Chem. Int. Ed., 2009, 48, 733–737. doi: 10.1002/anie.200803661
- Wang T., Yu Z., Hoon Ding Long, Phee C.Y., Lan Y., Lu Y. J. Am. Chem. Soc., 2015, 138, 265–271. doi: 10.1021/jacs.5b10524
- Hayashi Y., Obi K., Ohta Y., Okumura D., Ishikawa H. Chem. Asian J., 2009, 4, 246–249. doi: 10.1002/asia.200800394
- Dell’Amico L., Albrecht L., Naicker T., Poulsen P.H., Jorgensen K.A. J. Am. Chem. Soc., 2013, 135, 8063–8070. doi: 10.1021/ja4029928
- Jiang H., Gschwend B., Albrecht L., Hansen S.G., Jorgensen K.A. Chem. Eur. J., 2011, 17, 9032–9036. doi: 10.1002/chem.201101539
- Halskov K.S., Johansen K., Davis R.L., Steurer D.M., Jensen F., Jorgensen K.A. J. Am., Chem. Soc., 2012, 134, 12943–12946. doi: 10.1021/ja3068269
- Wang Ch-M., Xiao J-A., Wang J., Wang Sh-Sh., Deng Z-X., Yang H. J. Org. Chem., 2016, 81, 8001–8008. doi: 10.1021/acs.joc.6b01356
- Zhao Sh., Zhao Y.-Y., Lin J-B., Xie T., Liang Y-M., Xu P-F. Org.Lett., 2015, 17, 3206–3209. doi g/10.1021/acs.orglett.5b01066
- Liu X., Deng L., Jiang X., Yan W., Liu Ch., Wang R. Org. Lett., 2010, 12, 876–879. doi 10.1o21/ol902916s
- Shi Sh.-H, Huang F.-P., Zhu P., Dong Z.-W., Hui X.-P. Org. Lett., 2012, 14, 2010–2013. doi: 10.1021/ol300510b
- Melhado A.D., Luparia M., Toste F.D. J. Am. Chem. Soc., 2007, 129, 12638–12639. doi: 10.1021/ja074824t
- Melhado A.D., Amarante G.W., Wang Z.J., Luparia M., Toste F.D. J. Am. Chem. Soc., 2011, 133, 3517–3527. doi: 10.1021/ja1095045
- Martin-rodriges M., Najera C., Sansano J.M. Synlett, 2012, 23, 62–65. doi: 10.1055/s-0030-1260334
- Martin-rodriges M., Castello L.M., Najera C., Sansano J.M., Larranaga O., de Cozar A., Cossio F.P. Beilstein J. Org. Chem, 2013, 9, 2422–2433. doi: 10.3762/bjoc.9.280
- Zhu G., Yang F., Balachandran R., Hook P., Vallee R.B., Curran D.P., Day B.W. J. Med. Chem., 2006, 49, 2063–2076. doi: 10.1021/jm051030l
- Zhang Z., Sun W., Zhu G., Yang J., Zhang M., Hong L., Wang R. Chem. Commun., 2016, 52, 1377–1380. doi: 10.1039/c5cc08989a
- Sun W., Zhu G., Wu Ch., Li G., Hong L., Wang R. Angew. Chem., 2013, 125, 8795–8799. doi: 10.1002/ange.201302831
- Kawatsura M., Ikeda D., Ishii T., Komatsu Y., Uenishi J. Synlett, 2006, 2435–2438. doi: 10.1055/s-2006-950400
- Wang Ch., Luo H.-W., Gong L.-Z. Synlett, 2011, 992–994. doi: 10.1055/s-0030-1259711
- Nguyen H.V., Butler C.D., Richards Ch. J. Org. Lett., 2006 8, 769–772. doi: 10.1021/ol053050n
- Palacio C., Conno S.J. Eur. J. Org. Chem., 2013, 2013, 5398–5413. doi: 10.1002/ejoc.201300451
Дополнительные файлы





































































