Features of F2-BODIPY synthesis
- Authors: Krasnopyorov A.I.1, Larkina E.A.1
-
Affiliations:
- MIREA – Russian Technological University, Institute of fine chemical technologies named after M.V. Lomonosov
- Issue: Vol 60, No 5 (2024)
- Pages: 543-561
- Section: Articles
- URL: https://ogarev-online.ru/0514-7492/article/view/279706
- DOI: https://doi.org/10.31857/S0514749224050011
- EDN: https://elibrary.ru/RDPKRY
- ID: 279706
Cite item
Full Text
Abstract
BODIPY derivatives (4,4-difluoro-4-boron-3a,4a-diaza-S-indacene) due to their high molar extinction coefficients and fluorescence quantum yields and photochemical stability have gained popularity as optical sensors in the field of bioimaging and detection of various analytes. BODIPY molecules differ in substituents not only at the meso-carbon atom, but also at the boron atom. The review article provides information on various approaches to the synthesis of BODIPY derivatives and methods for obtaining “classical” BODIPY, in which the boron atom has 2 fluorine atoms as substituents (F2-BODIPY). The advantages and limitations of synthesis methods are considered, the use of reagents and the frequency of their use are analyzed. Based on literature data, reaction mechanisms for the synthesis of BODIPY derivatives are proposed, attention is paid to the reasons affecting the yield of BODIPY derivatives, including low stability of reagents, the formation of by-products, and the influence of water.
Full Text
СОДЕРЖАНИЕ
ВВЕДЕНИЕ
- “КЛАССИЧЕСКИЕ” И “НЕКЛАССИЧЕСКИЕ” BODIPY
- МЕТОДЫ СИНТЕЗА F2-BODIPY
2.1. Синтез производных BODIPY из пирролов и бензальдегидов
2.2. Синтез производных BODIPY из пирролов и хлорангидридов кислот
2.3. Синтез производных BODIPY из пирролов со свободным α-положением и 2-кетопирролов
2.4. Синтез производных BODIPY из пирролов и ангидридов дикислот
- ВОЗМОЖНЫЕ ПРИЧИНЫ НИЗКИХ ВЫХОДОВ ЦЕЛЕВЫХ СОЕДИНЕНИЙ В СИНТЕЗЕ ПРОИЗВОДНЫХ BODIPY
3.1. Полимеризация пирролов
3.2. Разнообразие пиррольных продуктов
3.3. Влияние воды
ЗАКЛЮЧЕНИЕ
СПИСОК ЛИТЕРАТУРЫ
ВВЕДЕНИЕ
Соединения класса BODIPY (в литературе их также называют бордипиррометенами, бордипирролилметенами) представляют собой производные 4,4-дифтор-4-бор-3a,4a-диаза-S-индацена (рис. 1). Данный класс веществ стал известен благодаря Трейбсу и Кройцеру [1], которые в 1968 г. впервые синтезировали 9 бордипиррометенов. Бордипирролилметены имеют полосы поглощения и излучения преимущественно в видимой области спектра [2, 3], а полностью незамещенный бордипиррометен – в области около 500 нм [4, 5]. Кроме того, производные этого класса обладают высокими молярными коэффициентами экстинкции, высокими квантовыми выходами флуоресценции, хорошей растворимостью в органических растворителях, высокой проницаемостью клеточных мембран, низкой цитотоксичностью, а также фотохимической стабильностью [6].
Рис. 1. Структура производных BODIPY. Заместители (R) могут быть одинаковыми или различными
Благодаря своим “настраиваемым” фотофизическим свойствам, производные BODIPY являются перспективными объектами исследования в различных сферах науки и техники. В подтверждение этого можно привести примеры применения данных соединений в качестве средств для фотодинамической терапии [7, 8], зондов различных ионов [9], флуоресцентных визуализаторов протекающих в живой клетке процессов [10], в том числе в результате конъюгации с белками [11], а также оптоэлектронных элементов [12].
Существует большое количество исследований, посвященных синтезу BODIPY, созданию новых подклассов BODIPY или химическим модификациям уже известных производных [13–15]. В связи с этим мы посчитали необходимым обобщить имеющуюся информацию по методам синтеза, возможным механизмам и влиянию условий реакций при получении “классических” производных BODIPY, в которых при атоме бора находятся 2 атома фтора, а в мезо-положении ядра находится атом углерода.
1. “КЛАССИЧЕСКИЕ” И “НЕКЛАССИЧЕСКИЕ” BODIPY
Бордипирролилметены (таблица) стали широко использоваться лишь в 70-х гг. XX века. Попытка рассмотреть химический состав BODIPY, синтез, а также спектроскопические свойства производных этого класса предпринята в 2007 г. [2].
Таблица. Соединения класса BODIPY, синтезированные Трейбсом и Кройцером [1]
Соединение | R1 | R2 | R3 | R | Выход, % |
3 | Me | H | Me | H | 55 |
4 | Me | COOEt | Me | Me | 67 |
5 | Me | COOEt | Me | H | 80 |
6 | Me | COOEt | Me | Et | 71 |
7 | H | COOEt | Me | H | 70 |
8 | H | COOEt | Me | 75 | |
9 | Me | COOEt | Me | CN | 60 |
* – место присоединения заместителя к ядру BODIPY.
В настоящее время известно большое количество подклассов бордипирролилметенов (рис. 2) [13–16]. Из многообразия подклассов, представленных на рис. 2, принято выделять 2 типа производных BODIPY: “классические” и “неклассические”. К первому типу относятся производные BODIPY, в которых атом бора имеет в качестве заместителей 2 атома фтора, а также в мезо-положении находится атом углерода (F2-BODIPY); к “неклассическим” относятся производные, у которых замещены атомы фтора при боре и/или углерод в мезо-положении ядра на другие группы или атомы.
Рис. 2. Структуры различных подклассов BODIPY. Заместители вокруг индаценового ядра (R) могут быть одинаковыми или различными
Многообразие и методы синтеза “неклассических” производных подробно рассмотрены в обзорах [13–16]. Однако для синтеза зачастую требуются “классические” бордипиррометены, поэтому будет полезно рассмотреть подходы, используемые при формировании ядра F2-BODIPY.
Особое место среди производных BODIPY занимает полностью незамещенный BODIPY (рис. 3), поскольку, несмотря на его “классическую” структуру, методы его синтеза кардинально отличаются от традиционно применяемых для получения замещенных F2-BODIPY. Не будем останавливаться на синтезе данного соединения, поскольку этот вопрос освещен ранее [14, 16].
Рис. 3. Структура полностью незамещенного BODIPY
2. МЕТОДЫ СИНТЕЗА F2-BODIPY
Первоначально синтез BODIPY осуществляли из пиррола со свободным положением 2 (т.е. α-положением) и пиррол-2-карбальдегида [17]. После 1996 г. метод [17] потерял свое безоговорочное лидерство и уступил место новым более простым подходам.
В настоящее время синтезируют BODIPY из незамещенных по α-положению пирролов и соединений, имеющих атом углерода, формирующий метиленовый мостик, таких как 2-кетопирролы [1, 17], бензальдегиды [18, 19], ангидриды (хлорангидриды [20], ангидриды дикислот [2, 21]). Каждый из методов синтеза имеет свои преимущества и ограничения, с помощью одних удобнее синтезировать только симметричные бордипирролилметены, а с помощью других – как симметричные, так и несимметричные.
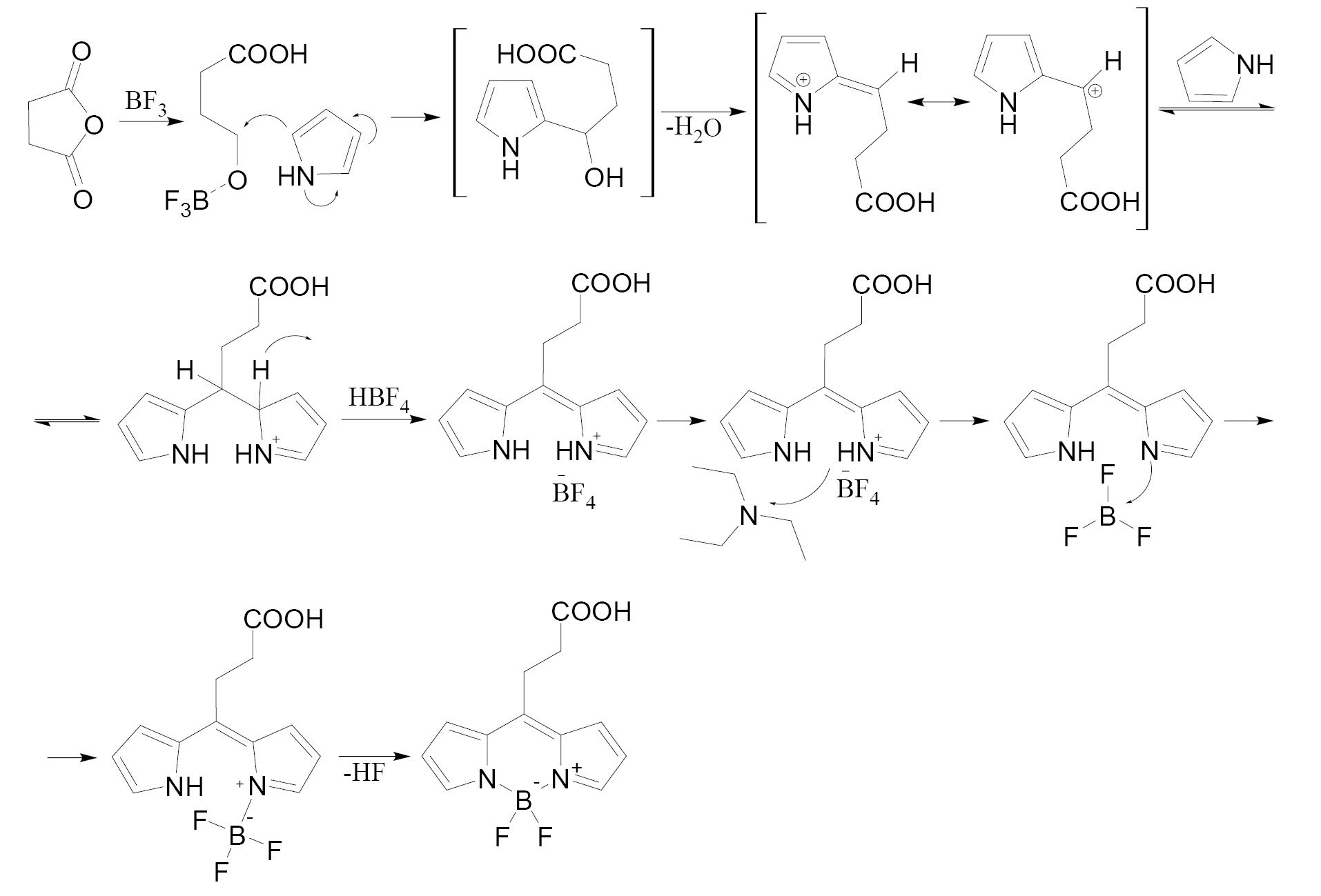
В общем синтез BODIPY можно условно разделить на 2 стадии: образование дипирролилметена из пиррола и источника мезо-атома углерода (схема 1, a), образование бордипирролилметена из дипирролилметена (схема 1, b).
Схема 1. Стадии синтеза BODIPY
Для первой стадии за основу были взяты способы создания дипиррольных структур [22–27] из “порфириновой” химии. Синтез сложных по структуре или несимметричных порфиринов проводят через промежуточные дипирролилметаны или дипирролилметены. Вторая же стадия синтеза свойственна только синтезу бордипирролилметенов. На этом этапе всегда используется эфират трехфтористого бора (BF3OEt2) в присутствии основания, и отличие состоит только в количестве используемого BF3OEt2 и основания по отношению к источнику метиленового мостика. Также важно отметить то, что полный синтез BODIPY (обе стадии) в основном проводят в одной колбе без выделения промежуточных соединений.
2.1. Синтез производных BODIPY из пирролов и бензальдегидов
Метод синтеза из пирролов и бензальдегидов в настоящее время является одним из наиболее часто применяемых для создания симметричных BODIPY (схема 2) [18, 19].
Схема 2. Синтез производных BODIPY из пирролов и бензальдегидов. Заместители (R, R1-R3) могут быть одинаковыми или различными
В основе метода лежит конденсация ароматического альдегида с пирролом нужной структуры (обязательно со свободным α-положением) в присутствии кислотного катализатора (наиболее часто – трифторуксусной кислоты).
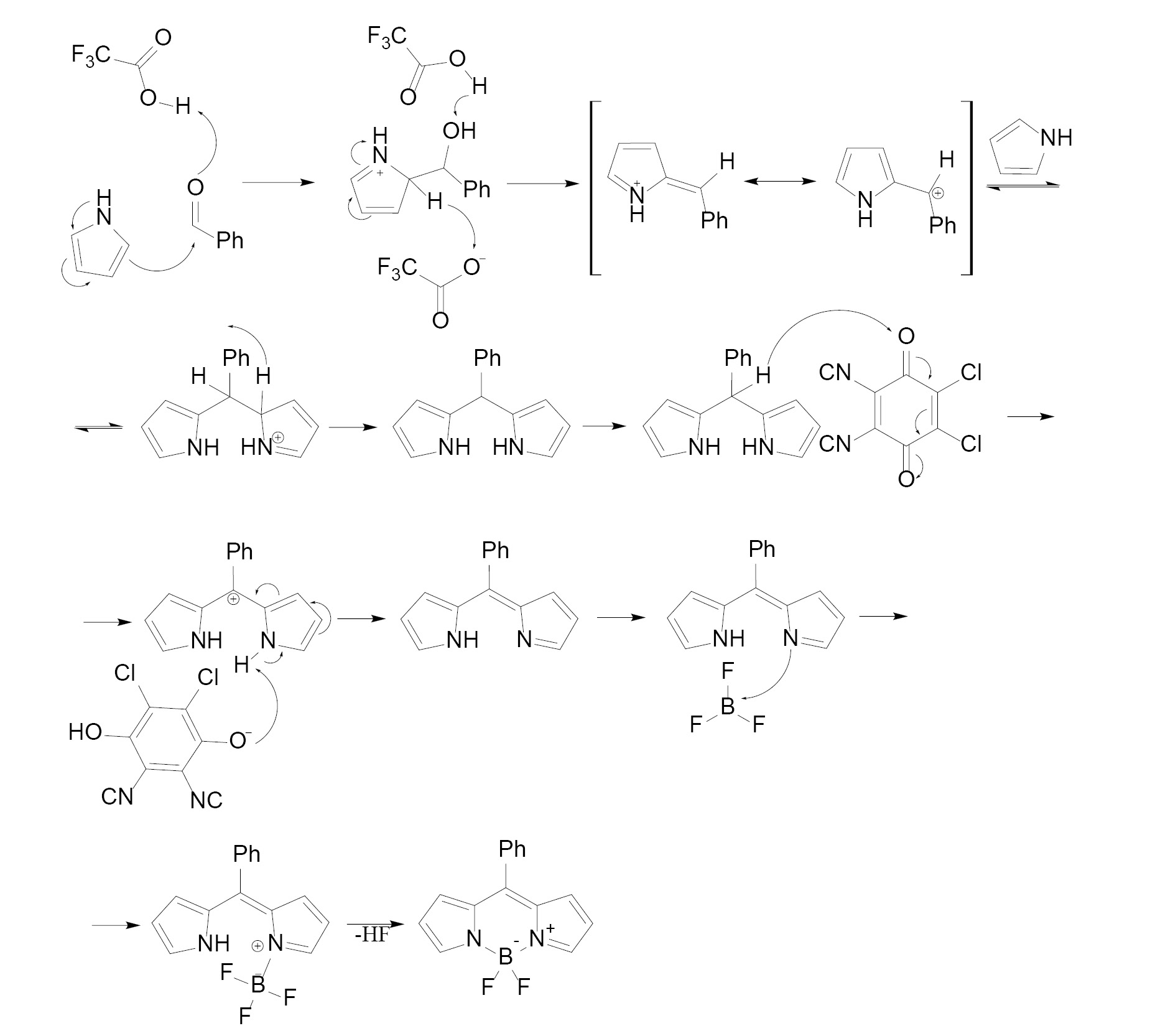
Образующийся при конденсации пиррола с бензальдегидом неустойчивый пиррилкарбинол протонируется и после дегидратации превращается в мезомерно стабилизированный ион азафульвения. Данный ион атакует вторая молекула пиррола с образованием промежуточного соединения, которое в итоге депротонируется до дипирролилметана (схема 3) [28].
Схема 3. Предполагаемый механизм образования производных BODIPY из пирролов и бензальдегидов на основании [18, 19, 28, 29]
Полученный дипирролилметан без выделения окисляют до соответствующего дипирролилметена с помощью “мягкого” окислителя, а затем добавляют основание (обычно третичный амин) и эфират трехфтористого бора (схема 3) [18, 19, 29]. Важно отметить, что в результате реакции получаются исключительно мезо-фенил-BODIPY, поскольку в качестве ароматического альдегида выступает бензальдегид с различными заместителями.
Изучено взаимодействие дипирролилметена с BF3 [29], в результате которого образуется промежуточный продукт, сформированный за счет донорно-акцепторного взаимодействия неподеленной электронной пары пирроленинового атома азота c вакантной орбиталью на атоме бора в трифториде бора [29]. На основании данных ЯМР, электронной и ИК-спектроскопии, а также квантово-химических расчетов подтверждено формирование водородной связи между атомом водорода NH-группы и атомом фтора BF3, что приводит к дополнительной стабилизации промежуточного донорно-акцепторного комплекса (ДАК) и создает условия для дальнейшего отщепления фтороводорода на последней стадии получения производного BODIPY. Однако активационный барьер для перехода ДАК в BODIPY достаточно высокий, и поэтому для увеличения скорости реакции необходимо повышение температуры. Кроме того, кинетические исследования позволили установить, что на скорость реакции также влияет концентрация третичного амина, так как он выполняет функцию акцептора образующейся фтороводородной кислоты [29].
Наиболее часто в качестве кислотного катализатора в синтезе производных BODIPY из пирролов и бензальдегидов используется трифторуксусная кислота (TFA) [30–41], хотя существуют и другие варианты катализаторов, пригодных для конденсации пиррола с ароматическими альдегидами. Так, например, помимо TFA, при синтезе дипирролилметанов можно использовать эфират трехфтористого бора (BF3OEt2), хлорид индия(III), бромид магния, а также катионообменные смолы [42–44]. В большинстве случаев при получении бордипирроллиметенов предпочитают применять TFA, которая, вероятно, способствует более легкому проведению синтеза по сравнению с другими катализаторами.
В качестве основания можно использовать практически любые третичные амины, однако чаще всего применяют триэтиламин (TEA) [18, 30–38] или реже – диизопропилэтиламин (DIPEA) [39, 40]. Что касается окислителя, то обычно используют более “мягкий”, чем кислород воздуха, 3-дихлор-5,6-дициано-1,4-бензохинон (DDQ) [30–36, 40] или 2,3,5,6-тетрахлор-1,4-бензохинон (п-хлоранил) [18, 37, 38, 41], отдавая предпочтение первому бензохинону.
Несмотря на то, что при синтезе BODIPY из пирролов и бензальдегидов наибольшее предпочтение отдается TEA и DDQ в качестве основания и окислителя, соответственно, все же возникает вопрос о возможности использования других веществ. Для ответа на данный вопрос [45] изучено влияние различных оснований и окислителей на выход конечного BODIPY. В качестве окислителей использовали п-хлоранил, DDQ, нитрат аммония церия (Ce(NH4)2(NO3)6), а в качестве оснований – TEA, диазабициклоундецен (DBU), карбонат калия или гидроксид натрия. В результате установлено, что из окислителей наиболее эффективным является п-хлоранил, так как он дает более высокий выход BODIPY. По части выбора между неорганическими и органическими основаниями наиболее эффективными оказались TEA и DBU, причем TEA наиболее предпочтителен, поскольку DBU обладает большей чувствительностью к воздуху [45].
К преимуществам рассмотренного метода синтеза можно отнести сравнительно небольшой избыток пиррола, возможность получения производных BODIPY, содержащих в мезо-положении практически любой ароматический заместитель (благодаря тому, что существует много коммерчески доступных бензальдегидов). К ограничениям же относится необходимость использования “мягкого” окислителя, а также невозможность получения несимметричных BODIPY.
В настоящее время изучаются возможности применения в различных областях производных мезо-фенил-BODIPY, использующихся, например, для конъюгации с белками [46], в фотодинамической терапии [47–56], биологической визуализации [57], при детектировании фторид-ионов [58–61], цианид-ионов [62–64], гипохлорит-ионов [65–67] и ионов ртути [68].
2.2. Синтез производных BODIPY из пирролов и хлорангидридов кислот
Метод синтеза из пирролов и хлорангидридов кислот для создания симметричных BODIPY представлен [20] в качестве альтернативы методу, предложенному ранее [18, 19] (из пирролов и бензальдегидов) (схема 4).
Схема 4. Синтез производных BODIPY из пирролов и хлорангидридов кислот. Заместители (R, R1-R3) могут быть одинаковыми или различными
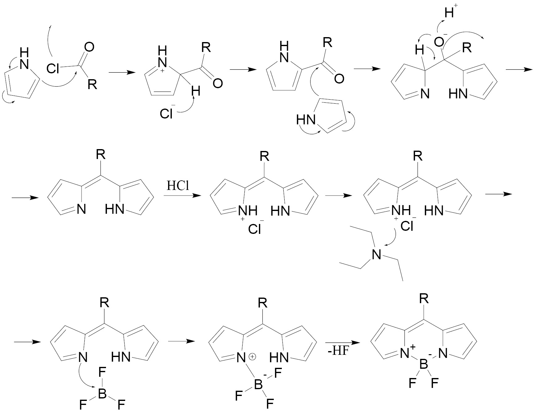
В основе метода лежит конденсация хлорангидрида кислоты с пирролом нужной структуры (обязательно незамещенным в α-положении). Вероятно, на первом этапе происходит ацилирование α-свободного пиррола (подобное замещение упоминалось ранее [1, 69, 70]) (схема 5). Данное предположение было подтверждено [71] при анализе реакционной смеси, содержащей хлорангидрид и пиррол, с помощью ЯМР спектроскопии. В спектрах присутствовали сигналы, соответствующие карбоновой кислоте и ее хлорангидриду, пирролу и ацилированному пирролу [71].
Схема 5. Предполагаемый механизм образования производных BODIPY из пирролов и хлорангидридов кислот на основании [28, 29, 71]
Ацилированный пиррол в дальнейшем вступает во взаимодействие со второй молекулой пиррола с образованием промежуточного соединения, которое превращается в дипирролилметен (схема 5).
К полученному дипирролилметену добавляют основание и BF3OEt2, в результате чего образуется бордипирролилметен [29]. Подробно образование продукта дипирролилметена с трифторидом бора описано выше (схема 5).
В качестве основания, как и в методе синтеза из пирролов и бензальдегидов, обычно используются такие третичные амины, как триэтиламин [72–76] и DIPEA [73, 74], причем первый из названных – чаще.
Стоит отметить, что [45] при сравнении методов синтеза производных BODIPY на основе бензальдегидов и хлорангидридов кислот было обнаружено, что в обоих случаях замена триэтиламина на DBU приводит к уменьшению выходов конечного BODIPY [45]. Также установлено, что в целом выходы производных BODIPY, полученных механохимическим синтезом из замещенных бензальдегидов, выше, чем из хлорангидридов замещенной бензойной кислоты [45].
К преимуществам рассматриваемого подхода можно отнести то, что при взаимодействии пиррола с хлорангидридом сразу образуется дипирролилметен, и в таком случае не надо проводить стадию окисления, а также можно синтезировать симметричные бордипирролилметены как с алифатическим, так и с ароматическим заместителем в мезо-положении ядра BODIPY. Однако есть и ограничения данного метода синтеза, которые заключаются не только в синтезе исключительно симметричных производных, но и в необходимости предварительного получения соответствующих хлорангидридов, поскольку нет такого разнообразия коммерчески доступных хлорангидридов, как в случае бензальдегидов. Также необходимо отметить, что при применении данного подхода зачастую используют больший избыток третичного амина и эфирата трехфтористого бора [20, 72–76], чем для метода синтеза из пирролов и бензальдегидов [18, 19, 30–41].
Менее популярным является метод синтеза BODIPY из пирролов и хлорангидридов, чем из пирролов и бензальдегидов, но все же он используется, например, для создания флуоресцентных зондов [72–74] или высокоэффективных солнечных элементов [75, 76].
2.3. Синтез производных BODIPY из пирролов со свободным α-положением и 2-кетопирролов
Синтез производных BODIPY из пирролов и 2-кетопирроллов основан на конденсации 2-кетопиррола со вторым α-незамещенным пирролом в присутствии кислоты Льюиса (схема 6) [1, 16, 17]. Также может применяться как 2-кетопиррол, так и пиррол-2-карбальдегид, что позволяет получать не только симметричные и несимметричные мезо-замещенные, но и симметричные и несимметричные мезо-незамещенные производные BODIPY.
Схема 6. Синтез производных BODIPY из α-незамещенных пирролов и 2-кетопирролов. Заместители (R, R1-R6) могут быть одинаковыми или различными
Также существует модификация описанного метода синтеза, которая позволяет синтезировать симметричные BODIPY со свободным мезо-положением из 2 пиррол-2-карбальдегидов (схема 7) [77].
Схема 7. Синтез производных BODIPY из 2 пиррол-2-карбальдегидов. Заместители (R1-R3) могут быть одинаковыми или различными
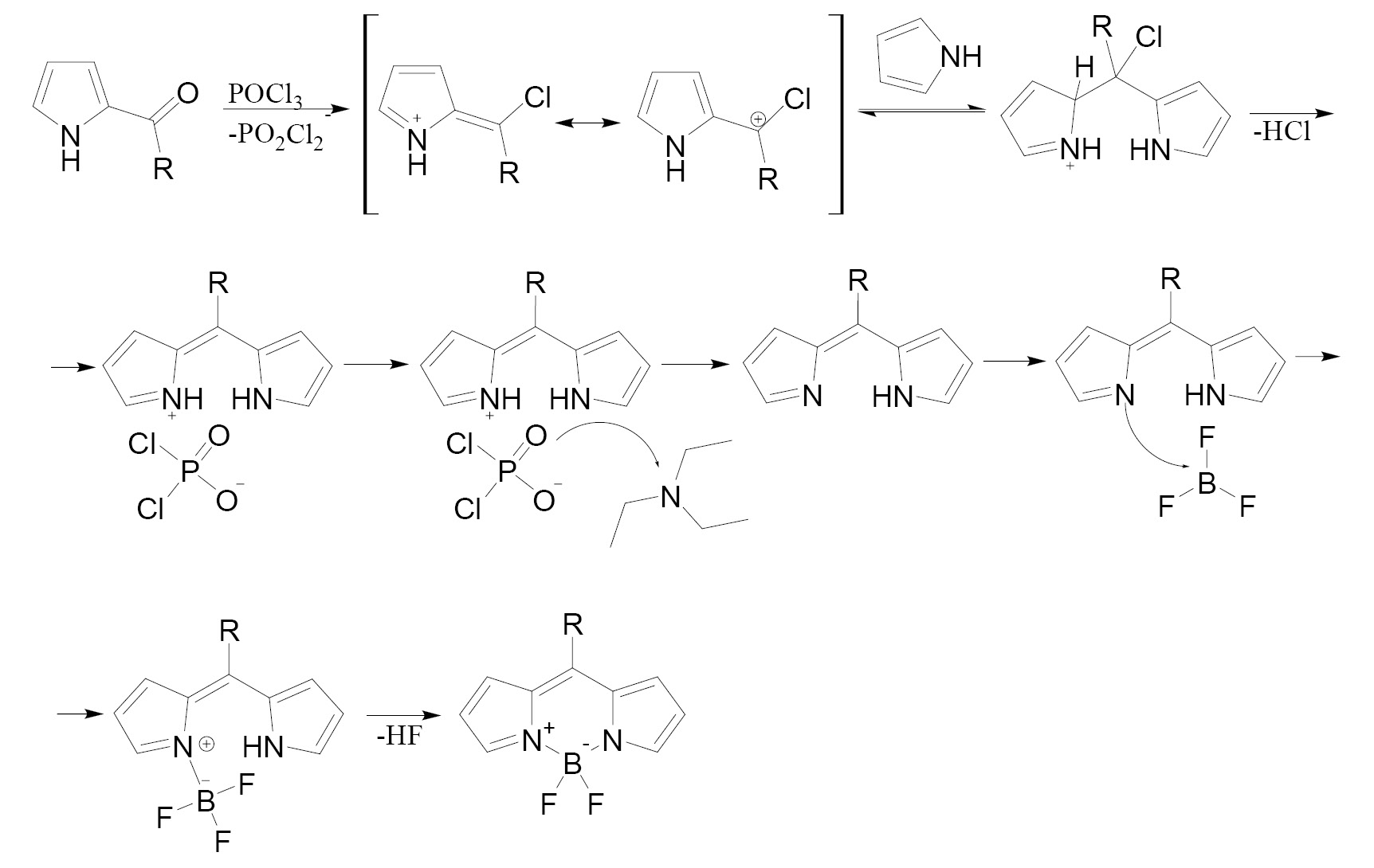
Что касается механизма реакции, то в результате взаимодействия 2-кетопиррола с молекулой оксихлорида фосфора образуется хлорированный ион азафульвения (промежуточный винилог комплекса Вильсмейера), который в дальнейшем подвергается атаке незамещенным по α-положению пирролом с образованием промежуточного катиона дипирролилметена (схема 8) [28, 77].
Схема 8. Предполагаемый механизм образования производных BODIPY из α-незамещённых пирролов и 2-кетопирролов на основании [28, 29, 77]
Также показано [77], что оксихлорид фосфора непосредственно участвует в реакции, а при замене этого реагента на другую кислоту Льюиса (например, на трифторуксусную кислоту или эфират трехфтористого бора) катион дипирролилметена не образуется [77].
К образовавшемуся дипирролилметену без выделения добавляют третичный амин и эфират трехфористого бора, в результате чего образуется BODIPY (схема 8) [29].
Чаще всего используют оксихлорид фосфора [78–80], однако иногда вместо POCl3 применяется TFA [81, 82]. В качестве третичного амина, как и в ранее описанных подходах, используют триэтиламин [78, 81, 82] или диизопропилэтиламин [79, 80].
Синтез из пирролов и 2-кетопирролов не требует проведения стадии окисления, с его помощью также можно синтезировать любые BODIPY. Однако, несмотря на свои преимущества, данный метод не пользуется большой популярностью, вероятно, в связи с трудностью модификации пирролов.
Все же рассмотренный метод применяется в синтезе красителей для флуоресцентной визуализации [78, 79, 81], в частности для изучения биологических процессов [80, 83–85], а также для фотодинамической терапии [82].
2.4. Синтез производных BODIPY из пирролов и ангидридов дикислот
Помимо ранее рассмотренных подходов в создании ядра BODIPY, существует еще один способ синтеза – из пирролов и ангидридов дикислот (схема 9) [2, 21].
Схема 9. Синтез производных BODIPY из пирролов и ангидридов дикислот. Заместители (R1-R3) могут быть одинаковыми или различными
В основе метода лежит нагревание ангидрида с пирролом нужной структуры (обязательно со свободным α-положением) в присутствии каталитического количества эфирата трехфтористого бора. В результате происходит раскрытие цикла ангидрида дикислоты (например, янтарного ангидрида) при атаке трифторидом бора с последующим образованием пиррилкарбинола, который превращается в ион азафульвения. Данный ион атакует вторая молекула пиррола, что в конечном итоге приводит к образованию дипирролилметена, вероятно, в форме тетрафторбората (схема 10) [28, 86, 87].
Схема 10. Предполагаемый механизм образования производных BODIPY из пирролов и ангидридов дикислот на основании [28, 29, 86, 87]
К образовавшемуся дипирролилметену добавляют третичный амин и BF3OEt2, в результате чего получается BODIPY (схема 10) [29].
В результате реакции можно сразу получить бордипирролилметен с карбоксильной группой в мезо-положении, которая позволяет конъюгировать бордипирролилметен с другими молекулами. Однако этот метод ограничен в разнообразии продуктов из-за небольшого выбора соответствующих ангидридов дикислот.
Используется метод синтеза из пирролов и ангидридов дикислот, например, при получении BODIPY для разработки флуоресцентных сенсоров протонов [88], а также спин-меченых аналогов холестерола [21] и олигонуклеотидов [89].
3. ВОЗМОЖНЫЕ ПРИЧИНЫ НИЗКИХ ВЫХОДОВ ЦЕЛЕВЫХ СОЕДИНЕНИЙ В СИНТЕЗЕ ПРОИЗВОДНЫХ BODIPY
Ранее были рассмотрены различные подходы к получению производных BODIPY, каждый из которых обладает своими преимуществами и ограничениями. Также нужно понимать, что у синтеза бордипирролилметенов есть свои особенности, которые распространяются на все ранее рассмотренные методы синтеза и влияют на выход целевых производных: полимеризация пирролов, наличие разнообразных пиррольных продуктов, присутствие воды.
Несоблюдение температурного режима при синтезе BODIPY может негативно повлиять на выход целевого бордипирролилметена. В большинстве из ранее рассмотренных примеров синтеза необходимо добавлять реагенты при небольшом охлаждении, однако сам синтез следует проводить при комнатной температуре. Данную особенность можно объяснить тем, что активационный барьер для перехода донорно-акцепторного комплекса дипирролилметена в BODIPY достаточно высокий, и поэтому для увеличения скорости реакции необходимо повышение температуры выше 0˚С [29].
Стоит отметить, что выделение и очистка производных BODIPY обычно является непростой задачей из-за наличия большого количества побочных продуктов и зачастую подразумевает использование колоночной хроматографии [17–89]. Показано [45], что в случае синтеза из пирролов и бензальдегидов можно проводить экстракцию реакционной смеси водным раствором Na2CO3 перед проведением колоночной хроматографии. Утверждают [45], что образовавшиеся в результате реакции продукты восстановления бензохинона при взаимодействии с водным раствором карбоната натрия превращаются в соответствующие натриевые соли, которые легче переходят в водную фазу, следовательно, возможно облегчить процесс выделения BODIPY с помощью колоночной хроматографии. Также рекомендуется [45] избегать интенсивного встряхивания при проведении экстракции, поскольку это приведет к появлению устойчивых эмульсий, что значительно удлинит процесс выделения и снизит общую эффективность очистки.
3.1. Полимеризация пирролов
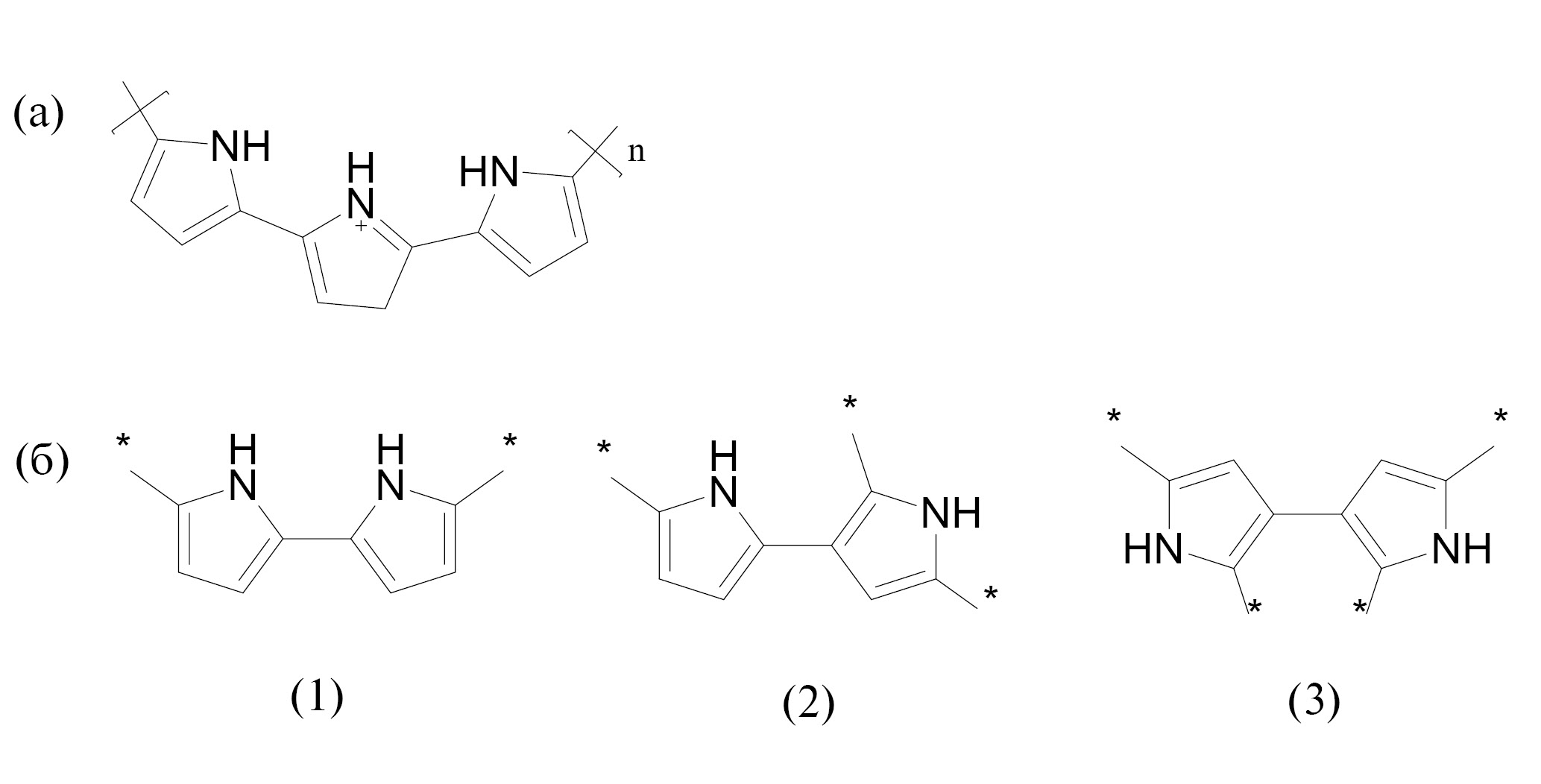
Как было ранее упомянуто, для синтеза производных BODIPY нужны пирролы хотя бы с одним свободным α-положением и источники мезо-атома углерода. Бензальдегиды, хлорангидриды, ангидриды дикислот являются довольно устойчивыми соединениями при обычных условиях хранения. Пирролы со свободными α-положениями неустойчивы при хранении, поскольку вступают в реакции электрофильного замещения с другой молекулой пиррола с образованием полипирролов (рис. 4, а) [90, 91]. Именно по этой причине, если необходимо создать дипиррольные конструкции с полностью незамещенным пирролом, проводят синтез при более чем 25-кратном мольном избытке пиррола по отношению к соединению-источнику мезо-атома (в реакциях пиррол выполняет роль как растворителя, так и реагента) [25, 42, 43, 92, 93], непрореагировавшие излишки которого отгоняют при пониженном давлении.
Ранее считали, что полимеризация может протекать исключительно по α-положениям, однако позже было обнаружено, что возможно образование различных кросс-сшивок, т.е. помимо α,α'-связей внутри полипиррола появляются α,β'- и β,β'-связи (рис. 4, b) [94–96].
Процесс полимеризации пирролов протекает самопроизвольно, однако его можно замедлить. Так при изучении [96] кинетики образования полипирролов установлено, что на этот процесс влияют температура и наличие окислителя (наличие последнего можно нивелировать, если хранить пирролы в инертной атмосфере, например, аргона). При температуре около 5оС константа скорости полимеризации меньше, чем при 20оС [96]. Из этого можно сделать вывод о том, что скорость образования полипиррола будет тем ниже, чем ниже температура, при которой хранится пиррол.
3.2. Разнообразие пиррольных продуктов
Помимо полимеризации до соответствующих полипирролов, в зависимости от условий реакции возможно образование других побочных продуктов пиррольной природы, кроме дипирролилметанов и дипирролилметенов (рис. 5) [25, 27, 97].
Рис. 5. Структуры различных пиррольных продуктов. Заместители (R) могут быть одинаковыми или различными
В зависимости от метода синтеза дипиррометенов (если не рассматривать стадию комплексообразования, схема 1) количество побочных продуктов, представленных на рис. 5, будет различаться [25, 27, 97]. Так, например, при одностадийном процессе доля трипирролилметанов, биланов, биладиенов-a,c, порфириногенов, порфиринов будет гораздо ниже, чем при двухстадийном.
Также стоит отметить, что, если конденсация пирролов с источниками мезо-атома протекает в кислой среде (в присутствии HCl или HBr), дипирролилметаны подвергаются внутримолекулярной конденсации с образованием пирролоиндолизинов (рис. 6) [27].
Рис. 6. Структура пирролоиндолизинов. Заместители (R1–R4) могут быть одинаковыми или различными
Ситуация с обилием побочных продуктов пиррольной природы усугубляется еще и тем, что все производные, представленные на рис. 5, могут иметь до 3 геометрических изомеров (рис. 7) [25, 27, 28, 97]. Разумеется, чем менее замещенный пиррол был использован в синтезе BODIPY, тем большее количество изомеров (рис. 7) может образоваться для его производных (рис. 5).
Рис. 7. Структуры дипирролилметенов: (1) αα'-дипирролилметен, (2) αβ'-дипирролилметен, (3) ββ'-дипирролилметен. Заместители (R, R1, R2) могут быть одинаковыми или различными
Существование такого большого количества побочных полипиррольных структур можно объяснить “излишней” реакционной способностью пиррольных фрагментов [90, 91]. Конечно, в случае работы с 2,4-дизамещенными или 2,3,4-тризамещенными пирролами количество побочных продуктов (рис. 4 и 5) будет меньше, чем для полностью незамещенного пиррола. Если же в заместителе, который находится в мезо-положении дипиррольной структуры, будет присутствовать реакционноспособная группа, например, NH2-группа в анилине, то возможно образование сополимеров (рис. 8) [98].
Рис. 8. Структура сополимеров пиррола и анилина
Еще одним примером побочных пиррольных продуктов, образующихся при синтезе производных BODIPY, являются дифторпирролооксаборолы (рис. 9) [99]. Данные производные присутствуют в малом количестве в реакционной смеси, полученной при синтезе из пирролов и хлорангидридов/2-кетопирролов, тем самым усложняя процесс выделения целевых бордипирролилметенов [99].
Рис. 9. Структура дифторпирролооксаборолов. Заместители (R1-R4) могут быть одинаковыми или различными
Дифторпирролооксаборолы (рис. 9) представляют собой класс флуоресцентных красителей, которые обладают [99–102], по сравнению с производными BODIPY, сходными значениями квантовых выходов флуоресценции, меньшими коэффициентами молярной экстинкции, максимумами полос поглощения, сдвинутыми в сторону коротких длин волн, а также большими сдвигами Стокса.
3.3. Влияние воды
Присутствие воды в реакционной смеси в большинстве случаев негативно влияет на протекание реакций в органическом синтезе. Большой ее избыток, который появляется либо по причине недостаточной “сухости” реактивов или растворителей, либо как продукт при взаимодействии компонентов реакции, зачастую приводит к тому, что реакция дальше не идет. Химия производных BODIPY не стала исключением, однако возможно минимизировать вклад воды в “торможение” реакции или “спасти” заведомо испорченную реакционную смесь.
Эфират трехфтористого бора является кислотой Льюиса и представляет собой комплексное соединение, которое находится в динамическом равновесии (схема 11) [87]. BF3OEt2 широко применяется в органическом синтезе для гидроксилирования двойной связи, расщепления эпоксидов, этерификации кислот, циклизации органических соединений, кетализации, тиокетализации, алкилирования многих классов органических веществ [87, 103], а в химии производных BODIPY данное комплексное соединение используется в качестве источника трифторида бора.
Схема 11. Динамическое равновесие BF3OEt2
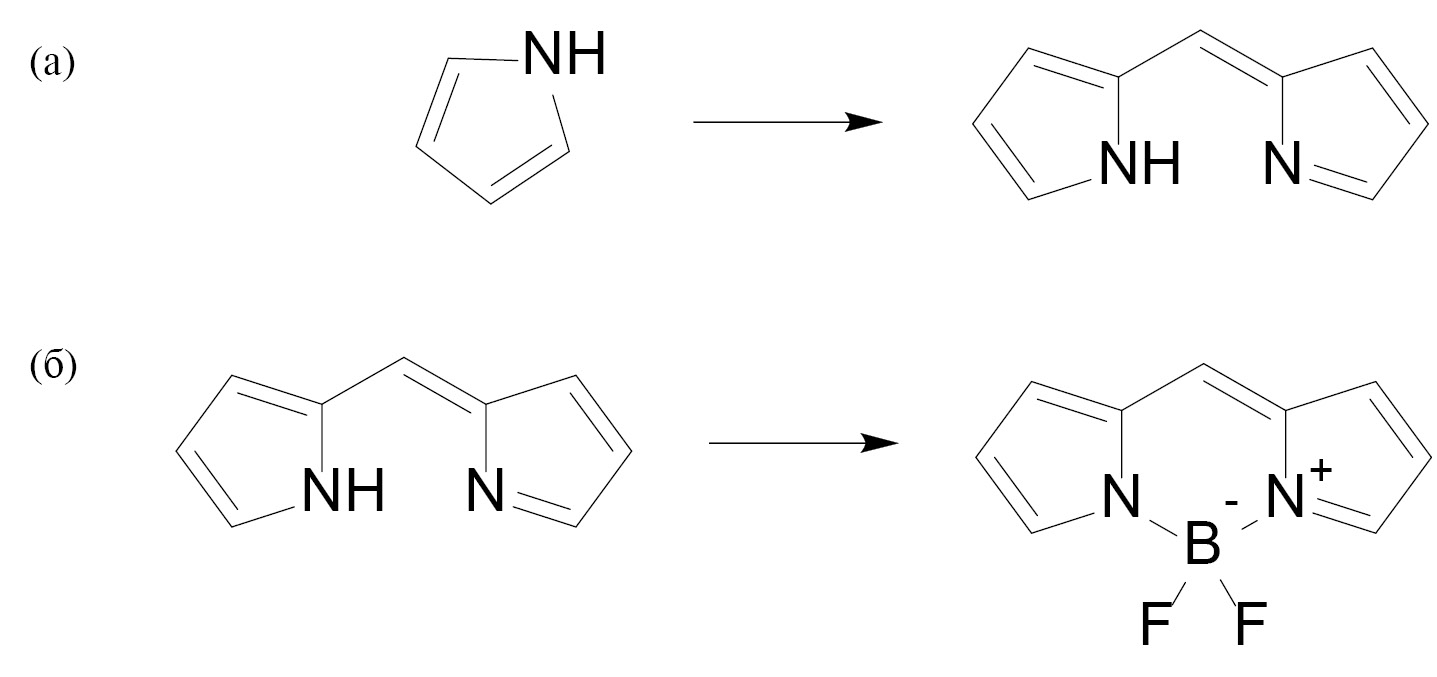
Согласно [29], бордипирролилметены образуются при атаке дипирролилметеном трифторида бора с отщеплением HF. В свою очередь, если в реакционной смеси присутствует большое количество воды, то BF3 взаимодействует с ней, что приводит к образованию водного аддукта BF3·H2O, в дальнейшем разлагающегося на HF, тетрафторборную (HBF4) и борную (B(OH)3) кислоты, которые при взаимодействии со сформированным ядром BODIPY могут его “разрушить” [104, 105].
При проведении исследования [106] влияния влаги на процесс “сборки” ядра BODIPY выяснили, что излишнее количество воды в реакционной смеси влияет негативно. Так, например, при ее 3-кратном мольном избытке по отношению к BODIPY происходит разрушение бордипиррометенового комплекса с образованием соли – тетрафторбората дипирролилметена (схема 12) [106].
Схема 12. Образование тетрафторбората дипирролилметена. Заместители (R, R1, R2) могут быть одинаковыми или различными
Несмотря на то, что в случае большого избытка влаги в реакционной смеси вместо BODIPY образуется тетрафторборат дипирролилметена, существует способ предотвратить этот путь и, тем самым, “спасти” реакцию. Обнаружено [106], что для этого нужно вновь добавить избыток третичного амина и эфирата трехфтористого бора в реакционную смесь. Третичный амин свяжет весь тетрафторборат и переведет дипирролилметен в форму свободного основания для того, чтобы BF3OEt2 вновь смог образовать комплекс (схема 13).
Схема 13. “Спасение” реакции. Заместители (R, R1, R2) могут быть одинаковыми или различными
ЗАКЛЮЧЕНИЕ
В синтезе BODIPY для получения симметричных молекул следует выбирать либо синтез из пирролов и бензальдегидов, либо синтез из пирролов и хлорангидридов. Для получения несимметричных производных наиболее рационально использовать метод с использованием пирролов со свободным α-положением и 2-кетопирролов, поскольку он позволяет создать любую конструкцию BODIPY. При любом из представленных методов в ходе синтеза потенциально образуется большое количество побочных продуктов, что затрудняет выделение целевого BODIPY. Для минимизации образования побочных продуктов в большинстве случаев рекомендуется добавлять охлажденные реактивы (несмотря на то, что сама реакция проводится без понижения температуры), проводить реакцию в инертной атмосфере, а также не допускать излишней влаги в реакционной смеси, особенно на стадии “сборки” бордипирролилметенового ядра.
КОНФЛИКТ ИНТЕРЕСОВ
Авторы заявляют об отсутствии конфликта интересов.
About the authors
A. I. Krasnopyorov
MIREA – Russian Technological University, Institute of fine chemical technologies named after M.V. Lomonosov
Author for correspondence.
Email: krasnopyorov13@bk.ru
ORCID iD: 0009-0001-5912-1785
Russian Federation, 119571, Moscow, prosp. Vernadsky, 86
E. A. Larkina
MIREA – Russian Technological University, Institute of fine chemical technologies named after M.V. Lomonosov
Email: krasnopyorov13@bk.ru
ORCID iD: 0000-0001-8823-3156
Russian Federation, 119571, Moscow, prosp. Vernadsky, 86
References
- Treibs A., Kreuzer F.-H. Lieb. Ann. 1968, 718 (3), 208–223. doi: 10.1002/jlac.19687180119
- Loudet A., Burgess K. Chem. Rev. 2007, 107 (11), 4891–4932. doi: 10.1021/cr078381n
- Liu Z., Jiang Z., Yan M., Wang X. Front. Chem. 2019, 7, 712–728. doi: 10.3389/fchem.2019.00712
- Arroyo I.J., Hu R., Merino G., Tang B.Z., Pena-Cabrera E. J. Org. Chem. 2009, 74 (15), 5719–5722. doi: 10.1021/jo901014w
- Tram K., Yan H., Jenkins H.A., Vassiliev S., Bruce D. Dyes Pigm. 2009, 82 (3), 392–395. doi: 10.1016/j.dyepig.2009.03.001
- Uppal T., Bhupathiraju N.V.S.D.K., Vincente M.G.H. Tetrahedron. 2013, 69 (23), 4687–4693. doi: 10.1016/j.tet.2013.03.082
- Zhang W., Ahmed A., Cong H., Wang S., Shen Y., Yu B. Dyes Pigm. 2021, 185, 108937–108970. doi: 10.1016/j.dyepig.2020.108937
- Kamkaew A., Lim S.H., Lee H.B., Kiew L.V., Chung L.Y., Burgess K. Chem. Soc. Rev. 2013, 42 (1), 77–88. doi: 10.1039/C2CS35216H
- Wang L., Ding H., Ran X., Tang H., Cao D. Dyes Pigm. 2020, 172, 107857–107870. doi: 10.1016/j.dyepig.2019.107857
- Мартынов В.И., Пахомов А.А. Усп. хим. 2021, 90 (10), 1213–1262 [Martynov V.I., Pakhomov A.A. Russ. Chem. Rev. 2021, 90 (10), 1213–1262] doi: 10.1070/RCR4985
- Rezende L. C. D., Emery F. S. Orbital. 2013, 5 (1), 62–83. doi: 10.17807/orbital.v5i1.482
- Poddar M., Misra R. Coord. Chem. Rev. 2020, 421, 213462-213484. doi: 10.1016/j.ccr.2020.213462
- Boens N., Verbelen B., Dehaen W. Eur. J. Org. Chem. 2015, 2015 (30), 6577-6595. doi: 10.1002/ejoc.201500682
- Boens N., Verbelen B., Ortiz M.J., Jiao L., Dehaen W. Coord. Chem. Rev. 2019, 399, 213024–213108. doi: 10.1016/j.ccr.2019.213024
- Clarke R.G., Hall M.J. Adv. Heterocycl. Chem. 2019, 128, 181–261. doi: 10.1016/BS.AIHCH.2018.12.001
- Loudet A., Burgess K. Handb. Por. Sci. 2010, 8, 1–164. doi: 10.1142/9789814307246_0009
- Wories H., Koek J.H., Lodder G., Lugtenburg J. Rec. Trav. Chim. 1985, 104(11), 288–291. doi: 10.1002/recl.19851041104
- Wagner R.W., Lindsey J.S. J. Am. Chem. Soc. 1994, 116 (21), 9759–9760. doi: 10.1021/ja00100a055
- Wagner R.W., Lindsey J.S. Pure Appl. Chem. 1996, 68 (7), 1373–1380. doi: 10.1351/pac199668071373
- Chen J., Burghart A., Derecskei-Kovacs A., Burgess K. J. Org. Chem. 2000, 65 (10), 2900–2906. doi: 10.1021/jo991927o
- Li Z., Mintzer E., Bittman R. J. Org. Chem. 2006, 71 (4), 1718–1721. doi: 10.1021/jo052029x
- Rothemund P. J. Am. Chem. Soc. 1936, 58 (4), 625–627. doi: 10.1021/ja01295a027
- Adler A.D., Longo F.R., Finarelli J.D., Goldmacher J., Assour J., Korsakoff L. J. Org. Chem. 1967, 32 (2), 476. doi: 10.1021/jo01288a053
- Lindsey J.S. Metalloporphyrins Catalyzed Oxidations. 1994, 49–86. doi: 10.1007/978-94-017-2247-6_2
- Lindsey J.S. Acc. Chem. Res. 2010, 43 (2), 300–311. doi: 10.1021/ar900212t
- Arsenault G.P., Bullock E., MacDonald S.F. J. Am. Chem. Soc. 1960, 82 (16), 4384–4389. doi: 10.1021/ja01501a066
- Mironov A.F., Evstigneeva R.P. Chem. Heterocycl. Compd. 1976, 12, 249–260. doi: 10.1007/BF00479558
- Gossauer A. Reaktivität der Pyrrole. In: Die Chemie der Pyrrole. Berlin: Springer. 1974, 105–167. doi: 10.1007/978-3-642-51118-9_3
- Румянцев Е.В., Марфин Ю.С. Росc. хим. ж. 2017, 61 (3), 143-162 [Rumyantsev E.V., Marfin Y.S. Russ. J. Gen. Chem. 2019, 89, 2682–2699] doi: 10.1134/S1070363219120454
- Yamada K., Toyota T., Takakura K., Ishimaru M., Sugawara T. New J. Chem. 2001, 25 (5), 667–669. doi: 10.1039/B100757M
- Prusty D.K., Kwak M., Wildeman J., Heemann A. Angew. Chem., Int. Ed. 2012, 51 (47), 11894–11898. doi: 10.1002/anie.201206006
- Hecht M., Kraus W., Rurack K. Analyst. 2013, 138 (1), 325–332. doi: 10.1039/C2AN35860C
- Huang C., Quian Y. Optical Materials. 2019, 92, 53–59. doi: 10.1016/j.optmat.2019.04.012
- Chen J., Cui Y., Song K., Liu T., Zhou L., Bao B., Wang R., Wang L. Biomater. Sci. 2021, 9 (6), 2115–2123. doi: 10.1039/D0BM01863E
- Porcu P., Vonlanthen M., González-Méndez I., Ruiu A., Rivera E. Molecules. 2018, 23 (9), 2298–2230. doi: 10.3390/molecules23092289
- Tekdaş D.A., Viswanathan G., Topal S.Z., Looi C.Y., Wong W.F., Tan G.M.Y., Zorlu Y., Gürek A.G., Lee Y.B., Dumoulin F. Org. Biomol. Chem. 2016, 14 (9), 2665–2670. doi: 10.1039/C5OB02477C
- Kubheka G., Mack J., Kobayashi N., Kimura M., Nyokong T. J. Porphyr. Phthalocyanin. 2017, 21, 523–531. doi: 10.1142/S1088424617500511
- Molupe N., Babu B., Oluwole D.O., Prinsloo E., Gai L., Shen Z., Mack J., Nyokong T. J. Porphyr. Phthalocyanin. 2020, 24, 973–984. doi: 10.1142/S1088424619501773
- Murale D.P., Haque M.M., Hong K.T., Lee J.-S. Bull. Korean Chem. Soc. 2021, 42 (1), 111–114. doi: 10.1002/bkcs.12166
- Zou J., Li L., Zhu J., Li X., Yang Z., Huang W., Chen X. Adv. Mater. 2021, 33 (44), 2103627–2103636. doi: 10.1002/adma.202103627
- Wang L., Fang G., Cao D. Sens. Actuators B Chem. 2015, 207, 849–857. doi: 10.1016/j.snb.2014.10.110
- Pereira N.A.M., Pinho e Melo T.M.V.D. J. Org. Chem. 2014, 46 (3), 183–213. doi: 10.1080/00304948.2014.903140
- Dudicˇ M., Lhota´k P., Kra´l V., Lang K., Stibor I. Tetrahedron Lett. 1999, 40 (32), 5949–5952. doi: 10.1016/S0040-4039(99)01181-8
- Laha J.K., Dhanalekshmi S., Taniguchi M., Ambroise A., Lindsey J.S. Org. Process Res. Dev. 2003, 7 (6), 799–812. doi: 10.1021/op034083q
- Jameson L.P., Dzyuba S.V. Beilstein J. Org. Chem. 2013, 9, 786–790. doi: 10.3762/bjoc.9.89
- Amorim V.G., Melo S.M.G., Leite R.F., Coutinho P.A. Dyes Pigm. 2020, 182, 108646–108671. doi: 10.1016/j.dyepig.2020.108646
- Hu W., Zhang X.-F., Lu X., Lan S., Tian D., Li T., Wang K., Zhao S., Feng M., Zhang J. J. Lumin. 2018, 194, 185–192. doi: 10.1016/j.jlumin.2017.10.018
- Caruso E., Malacarne M. C., Marras E., Papa E., Bertato L., Banfi S., Gariboldi M.B. Bioorg. Med. Chem. 2020, 28 (21), 115737–115746. doi: 10.1016/j.bmc.2020.115737
- Agazzi M.L., Ballatore M.B., Durantini A.M., Durantini E.N., Tome A.C. J. Photochem. Photobiol. C 2019, 40, 21–48. doi: 10.1016/j.jphotochemrev.2019.04.001
- Gibbs J.H., Robins L.T., Zhou Z., Bobadova-Parvanova P., Cottam M., McCandless G.T., Fronczek F.R., Vicente M.G.H. Bioorg. Med. Chem. 2013, 21 (18), 5770–5781. doi: 10.1016/j.bmc.2013.07.017
- Caruso E., Gariboldi M., Sangion A., Gramatica P., Banfi S. J. Photochem. Photobiol. B, Biol. 2017, 167, 269–281. doi: 10.1016/j.jphotobiol.2017.01.012
- Gibbs J.H., Zhou Z., Kessel D., Fronczel F.R., Pakhomova S., Vicente M.G.H. J. Photochem. Photobiol. B. Biol. 2015, 145, 35–47. doi: 10.1016/j.jphotobiol.2015.02.006
- Caruso E., Banfi S., Barbieri P., Leva B., Orlandi V.T. J. Photochem. Photobiol. B, Biol. 2012, 114, 44–51. doi: 10.1016/j.jphotobiol.2012.05.007
- Prasannan D., Raghav D., Sujatha S., Hareendrakrishna Kumar H., Rathinasamy K., Arunkumar C. RSC Adv. 2016, 6(84), 80808–80824. doi: 10.1039/C6RA12258B
- Lincoln R., Durantini A.M., Greene L.E., Martinez S.R., Knox R., Becerra M.C., Cosa G. Photochem. Photobiol. Sci. 2017, 16 (2), 178–184. doi: 10.1039/C6PP00166A
- Wu W., Guo H., Wu W., Ji S., Zhao J. J. Org. Chem. 2011, 76 (17), 7056–7064. doi: 10.1021/jo200990y
- Gao J., Luan T., Lv J., Yang M., Li H., Yuan Z. J. Photochem. Photobiol. B, Biol. 2023, 241, 112666. doi: 10.1016/j.jphotobiol.2023.112666
- Ashokkumar P., Weißhoff H., Kraus W., Rurack K. Angew. Chem., Int. Ed. 2014, 53 (8), 2225–229. doi: 10.1002/anie.201307848
- Wang J., Hou Y., Li C., Zhang B., Wang X. Sens. Actuators B Chem. 2011, 157 (2), 586–593. doi: 10.1016/j.snb.2011.05.027
- Li Q., Guo Y., Chen Y. Indian J. Chem. 2018, 57, 186–191. http://nopr.niscpr.res.in/handle/123456789/43625
- Dixit S., Agarwal N. J. Photochem. Photobiol. A 2017, 345, 66–71. doi: 10.1016/j.jphotochem.2017.04.018
- Yu Y., Shu T., Yu B., Deng Y., Fu C., Gao Y., Dong C., Ruan Y. Sens. Actuators B Chem. 2018, 255, 3170–3178. doi: 10.1016/j.snb.2017.09.142
- Wang L., Li L., Cao D. Sens. Actuators B Chem. 2017, 239, 1307–1317. doi: 10.1016/j.snb.2016.09.112
- Fu C., Wang Z., Rao C., Li Z., Chen L., Zhu T., Yi F., Yao Z.-J., Liu C. Dyes Pigm. 2019, 170, 107598–107604. doi: 10.1016/j.dyepig.2019.107598
- Soni D., Duvva N., Badgurjar D., Roy T.K., Nimesh S., Arya G., Giribabu L., Chitta R. Chem. Asian. J. 2018, 13, 1594–1608. doi: 10.1002/asia.201800349
- Wang C., Qian Y. J. Lumin. 2019, 210, 261–268. doi: 10.1016/j.jlumin.2019.02.044
- Kang J., Huo F., Zhang Y., Chao J. Sens. Actuators B Chem. 2018, 273, 1532–1538. doi: 10.1016/j.snb.2018.07.072
- Kumar B., Saraf P., Sarkar M., Kumar D. Tetrahedron. 2023, 137, 133380. doi: 10.1016/j.tet.2023.133380
- Treibs A., Reitsam F. Lieb. Ann. 1958, 611 (1), 194–205. doi: 10.1002/jlac.19586110118
- Treibs A., Reitsam F. Lieb. Ann. 1958. 611 (1), 205–223. doi: 10.1002/jlac.19586110119
- Strandheim K.O. In: Synthesis and Characterization of BODIPY Dyes for Optoelectronic Application. NTNU. 2019. https://ntnuopen.ntnu.no/ntnu-xmlui/handle/11250/2634477
- Badon I.W., Lee J., Vales T.P., Cho B.K., Kim H.-J. J. Photochem. Photobiol. A 2019, 377, 214–219. doi: 10.1016/j.jphotochem.2019.03.050
- Pakhomov A.A., Kononevich Y.N., Stukalova M.V., Svidchenko E.A., Surin N.M., Cherkaev G.V., Shchegolikhina O.I., Martynov V.I., Muzafarov A.M. Tetrahedron Lett. 2016, 57 (9), 979–982. doi: 10.1016/j.tetlet.2016.01.059
- Pakhomov A.A., Deyev I.E., Ratnikova N.M., Chumakov S.P., Mironiuk V.B., Kononevich Y.N., Muzafarov A.M., Martynov V.I. Biotechniques. 2017, 63 (2), 77–80. doi: 10.2144/000114577
- Lin H.-Y., Huang W.-C., Chen Y.-C., Chou H.-H., Hsu C.-Y., Lin J.T., Lin H.-W. Chem. Commun. 2012, 48 (71), 8913–9815. doi: 10.1039/C2CC34286C
- Kaplan N., Taşcı E., Emrullahoğlu M., Gökce H., Tuğluoğlu N., Eymur S. J. Mater. Sci. Mater. Electron. 2021, 32 (12), 16739–16747. doi: 10.1007/s10854-021-06231-8
- Wu L., Burgess K. Chem. Commun. 2008, 40, 4933–4935. doi: 10.1039/b810503k
- Jiao L., Yu C., Liu M., Wu Y., Cong K., Meng K., Wang Y., Hao E. J. Org. Chem. 2010, 75 (17), 6035–6038. doi: 10.1021/jo101164a
- Netz N., Diez-Poza C., Barbero A., Opatz T. Eur. J. Org. Chem. 2017, 31, 4580–4599. doi: 10.1002/ejoc.201700773
- Kim K., Kwon H., Choi D., Lim T., Min L., Son S.-H., Byun Y. Bioorg. Chem. 2019, 89, 102990–102999. doi: 10.1016/j.bioorg.2019.102990
- Zhang X.-F., Zhang G.O., Zhu J. J. Fluoresc. 2019, 29 (2), 407–416. doi: 10.1007/s10895-019-02349-5
- Arellano-Reyes R.A., Prabhakaran A., Sia R.C.E., Guthmuller J., Jha K.K., Yang T., Dietzek-Ivanšić B., McKee V., Keyes T.E. Chem. Eur. J. Chem. 2023, 29 (24). doi: 10.1002/chem.202300239
- Srinivasan Y., Guzikowski A.P., Haugland R.P., Angelides K.J. J. Neurosci. 1990, 10 (3), 985–995. doi: 10.1523/JNEUROSCI.10-03-00985.1990
- Barton A.C., Kang H.C., Rinaudo M.S., Monsma F.J. Jr., Stewart-Fram R.M., Macinko J.A. Jr., Haugland R.P., Ariano M.A., Siblley D.R. Brain Res. 1991, 547 (2), 199–207. doi: 10.1016/0006-8993(91)90963-V
- Ariano M.A., Kang H.C., Haugland R.P., Sibley D.R. Brain Res. 1991, 547 (2), 208–222. doi: 10.1016/0006-8993(91)90964-w
- Freindorf M., Kraka E. Catalysts. 2022, 12 (4), 415–446. doi: 10.3390/catal12040415
- Cornel V., Lovely C.J. EROS, 2007, 1–16. doi: 10.1002/9780470842898.rb249.pub2
- Thivierge C., Han J., Jenkins R.M. Burgess K. J. Org. Chem. 2011, 76 (13), 5219–5228. doi: 10.1021/jo2005654
- Белобрицкая Е.Е, Неунылова М.В., Василисков В.А., Румянцева В.Д., Чудинов А.В., Заседателев А.С. Биоорг. хим. 2007, 33 (6), 664-666 [Belobritskaya E.E, Neunylova M.V., Vasiliskov V.A., Rumiantseva V.D., Chudinov A.V., Zasedatelev A.S. Russ. J. Bioorg. Chem. 2007, 33 (6), 617–619] doi: 10.1134/S1068162007060155
- Gupta R.R., Kumar M., Gupta V. Heterocyclic Chemistry. Berlin: Springer, 1999, 3–179. doi: 10.1007/978-3-662-07757-3_2
- Kanazawa K.K., Diaz A.F., Geiss R.H., Gill W.D., Kwak J.F., Logan J.A., Rabolt J.F., Street G.B. J. Chem. Soc., Chem. Commun. 1979, 19, 854–855. doi: 10.1039/C39790000854
- Lee C.-H., Lindsey J.S. Tetrahedron. 1994, 50 (39), 11427–11440. doi: 10.1016/S0040-4020(01)89282-6
- Littler B.J., Miller M.A., Hung C.-H., Wagner R.W., O'Shea D.F., Boyle P.D., Lindsey J.S. J. Org. Chem. 1999, 64 (4), 1391–1396. doi: 10.1021/jo982015+
- Cadby A.J., Yang C., Holdcoft S., Bradley D.D.C., Lane P.A. Adv. Mater. 2002, 14 (1), 57–60. doi: 10.1002/1521-4095(20020104)14:1<57::AID-ADMA57>3.0.CO;2-0
- Thomas R., Durix S., Sinturel C., Omonov T., Goossens S., Groeninckx G., Moldenaers P., Thomas S. Polymer. 2007, 48 (6), 1695–1710. doi: 10.1016/j.polymer.2007.01.018
- Tan Y., Ghandi K. Synth. Met. 2013, 175, 183–191. doi: 10.1016/j.synthmet.2013.05.014
- Singh R.S., Paitandi R.P., Gupta R.K., Pandey D.S. Coord. Chem. Rev. 2020, 414, 213269–213321. doi: 10.1016/j.ccr.2020.213269
- Maruthapandi M., Gedanken A. Polymers. 2019, 11 (8), 1240–1255. doi: 10.3390/polym11081240
- Chen J., Burghart A., Wan C.-W., Thai L., Ortiz C., Reibenspies J., Burgess K. Tetrahedron Lett. 2000, 41 (14), 2303–2307. doi: 10.1016/S0040-4039(00)00166-0
- Bröring M., Krüger R., Kleeberg C. Z. Anorg. Allg. Chem. 2008, 634 (9), 1555–1559. doi: 10.1002/zaac.200800112
- Benniston A.C., Sirbu D., Turta C., Probert M.R., Clegg W. Eur. J. Inorg. Chem. 2014, 2014 (36), 6212–6219. doi: 10.1002/ejic.201402752
- Li T., Gu W., Yu C., Lv X., Wang H., Hao E., Jiao L. Chinese J. Chem. 2016, 34 (10), 989–996. doi: 10.1002/cjoc.201600500
- Banerjee A.K., Maldonado A., Arrieche D.A., Bedoya L., Vera W.J., Cabrea E.V., Poon P.S. Bioorg. Org. Chem. 2019, 3 (1), 1–9. doi: 10.15406/mojboc.2019.03.00090
- Wamser C.A. J. Am. Chem. Soc. 1951, 73 (1), 409–416. doi: 10.1021/ja01145a134
- Lundrigan T., Cameron T.S., Thompson A. Chem. Commun. 2014, 50 (53), 7028–7031. doi: 10.1039/C4CC02706J
- Beh M.H.R., Douglas K.I.B., House K.T.E., Murphy A.C., Sinclair J.S.T., Thompson A. Org. Biomol. Chem. 2016, 14, 11473–11479. doi: 10.1039/C6OB02238C
Supplementary files

























