New cross-conjugiated chlorocyclopentenone derivatives containing amino acids fragments at C-3
- Autores: Khasanova L.S.1, Egorov V.A.1, Abdullin M.F.1, Gimalova F.A.1
-
Afiliações:
- Ufa Institute of Chemistry, Ufa Federal Research Center of the Russian Academy of Sciences
- Edição: Volume 60, Nº 7 (2024)
- Páginas: 868-874
- Seção: Articles
- URL: https://ogarev-online.ru/0514-7492/article/view/279480
- DOI: https://doi.org/10.31857/S0514749224070062
- EDN: https://elibrary.ru/RBMCXA
- ID: 279480
Citar
Texto integral
Resumo
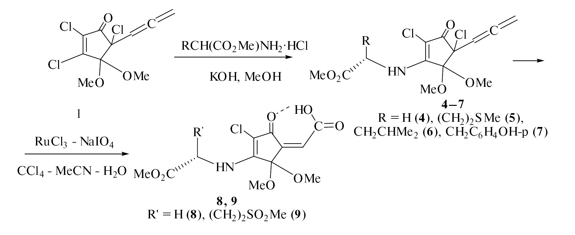
The reaction of 5-allenyl-2,3,5-trichlorocyclopentenone with methyl esters of glycine, L-methionine, L-leucine and L-tyrosine produced the corresponding AdNE adducts, the oxidative cleavage of the allene fragment of which produced new 4-carboxymethylidene derivatives.
Texto integral
ВВЕДЕНИЕ
Несмотря на значительный прогресс в выяснении молекулярных механизмов и клеточной биологии вирусов, грипп продолжает оставаться наиболее серьезным респираторным заболеванием, затрагивающим миллионы людей во всем мире. Особую опасность для здоровья представляют распространенные в последнее время штаммы вируса гриппа H1N1 (свиной грипп) и H1N5 (птичий грипп).
Основным методом профилактики гриппа является вакцинация, благодаря которой возможно достижение частичного успеха в борьбе с эпидемией гриппа. Однако из-за широкого распространения вирусных заболеваний и быстрой мутации вируса гриппа рекомендовано применение противовирусных препаратов, которые оказывают непосредственное воздействие на репродукцию вируса [1] и рассматриваются как экономически эффективный вариант снижения риска быстрого распространения пандемии.
РЕЗУЛЬТАТЫ И ОБСУЖДЕНИЕ
Ранее нами на основе 3-аминопроизводных 5-алленилтрихлорциклопентенона 1 [2] были синтезированы соединения 2a–d (схема 1), среди которых кислота 2а проявила высокую активность в отношении вируса табачной мозаики [3, 4]. Кроме того, соединение 3, полученное взаимодействием 5-аллил-2,3,5-трихлорциклопентенона с метиловым эфиром L-метионина [5, 6], проявило активность в отношении вируса H1N1, сравнимую с активностью арбидола при меньшей токсичности [7].
Схема 1
В данной работе нами осуществлен синтез новых производных хлорциклопентенонов, сочетающих в своей структуре аминокислотный и карбоксиметилиденовые фрагменты. Для осуществления этой задачи вначале были получены соединения 4–7 взаимодействием трихлорциклопентенона 1 с гидрохлоридами метиловых эфиров глицина, L-метионина, L-лейцина и L-тирозина в разработанных ранее условиях [5, 6] в метаноле в присутствии избытка K2CO3 или КОН (схема 2).
Схема 2
Полученные производные 4, 5 после окислительного расщепления в алленовой части действием системы RuCl3(кат.)–NaIO4 в смеси CCl4–ацетонитрил–вода [3, 8] привели к разного типа функционализированным кросс-сопряженным циклопентенонам 8, 9 с умеренными выходами. При этом тиометильная группа в исходном соединении 5 окисляется до сульфона в полученной кислоте 9, что подтверждается сдвигом сигнала метильной группы у атома серы в спектре ПМР в слабое поле (синглет при 2.96 м.д. вместо сигнала при 2.07 м.д. в исходном соединении 5) и сигналом молекулярного иона c m/z 426 [M + H] в масс-спектре соединения 9.
Исключительно селективное генерирование тризамещенной Z-конфигурации экзоциклической двойной связи в соединениях 8, 9 связано с образованием внутримолекулярной водородной связи, как показано на схеме 2, что нами ранее было подтверждено рентгеноструктурным анализом (РСА) соединения 2а [9].
Выход соответствующих кислот при окислении соединений 6 и 7 с использованием системы RuCl3(кат.)–NaIO4 оказался очень низким, поэтому для их окисления была использована система OsO4(кат.)–NaIO4 в смеси ТГФ–вода, при этом получается смесь Z,E-изомеров кислот 10 и 11 (схема 3).
Схема 3
Структура полученных соединений доказана данными спектров ЯМР и масс-спектрометрии. Кислоты 8–11 представляют интерес в качестве потенциальных лекарственных средств.
ЭКСПЕРИМЕНТАЛЬНАЯ ЧАСТЬ
ИК спектры сняты на спектрофотометре «Shimadzu IR Prestige-21» (Япония) в пленке или вазелиновом масле. Спектры ЯМР записаны на спектрометре Bruker AM-300 (Германия) [рабочие частоты 300.13 (1H) и 75.47 МГц (13С)] или Bruker AVANCE-500 (Германия) [рабочие частоты 500.13 (1H) и 125.77 МГц (13С)] в CDCl3 или ацетоне-d6, в спектре ЯМР 13С за внутренний стандарт принято значение сигналов CDCl3, ацетона-d6 (δ)Н 77.00 и 28.83 м.д.), в спектре ЯМР 1H за внутренний стандарт принято значение сигналов остаточных протонов в CDCl3, ацетоне-d6 (δН 7.27 и 2.07 м.д.). Элементный анализ выполнен на CHNS-анализаторе “Euro EA 3100” (Италия). Масс-спектры ионизации электрораспылением (ИЭР, ESI [electrospray ionization]) получены на ВЭЖХ масс-спектрометре LCMS-2010EV (Shimadzu, Япония), шприцевой ввод, раствор образца в хлороформе/ацетонитриле при расходе 0.1 мл/мин, элюент – ацетонитрил–вода, 95 : 5, в режиме регистрации положительных и отрицательных ионов при потенциале игольчатого ионизирующего электрода 4.5 кВ. Температура капилляра интерфейса 250C, напряжение на капилляре интерфейса 5 В. Скорость потока небулизирующего (распыляющего) газа (азота) 1.5 л/мин для ХИАД. Напряжение на высокочастотных линзах (Q-array) 5 В. Углы оптического вращения измерены на приборе «Perkin-Elmer-341» (США). Температуру плавления определяли на приборе Boetius (PHMK 05 VEB Wagetechnik Rapido, Германия). Ход реакций контролировали методом ТСХ на пластинках «Sorbfil» (Россия) с обнаружением веществ с помощью 10%-ного раствора анисового альдегида в этаноле с добавкой серной кислоты. Продукты реакции выделяли методом колоночной хроматографии на силикагеле (30–60 г адсорбента на 1.0 г вещества).
Метил-N-[2,4-дихлор-5,5-диметокси-3-оксо-4-(пропа-1,2-диен-1-ил)циклопент-1-ен-1-ил]глицинат (4). К перемешиваемой суспензии 0.197 г (1.75 ммоль) гидрохлорида метилового эфира глицина в 2 мл CH2Cl2 прибавляли 0.24 г (1.75 ммоль) безводного K2CO3, массу перемешивали 1 ч при комнатной температуре. Затем осадок отфильтровывали, из раствора упаривали CH2Cl2, остаток растворяли в 5 мл метанола, добавляли раствор 0.2 г (0.71 ммоль) соединения 1 в 2 мл метанола, реакционную массу перемешивали до исчезновения исходного соединения (контроль методом ТСХ, ~24 ч). Затем в реакционную массу прибавляли 5–6 мл воды, метанол упаривали, водный слой подкисляли 1 н. раствором НСl до рН 4.0 и экстрагировали хлороформом (4 × 10 мл). Объединенные экстракты промывали раствором NaCl, сушили MgSO4, упаривали. Продукт выделяли кристаллизацией из смеси этилацетат–петролейный эфир (20 : 1). Выход 0.13 г (58%). Бесцветные кристаллы. Т.пл. 150–151˚ C. ИК спектр, ν, см–1: 3343, 2492, 1958, 1757, 1715, 1624, 1605, 1462, 1414, 1377, 1366, 1281, 1217, 1182, 1142, 1076, 1038, 991, 974, 957, 885, 856, 810, 752, 714, 619. Спектр ЯМР 1Н, δ, м.д.: 3.47 с (3Н, ОСН3), 3.30 с (3Н, ОСН3), 3.76 с (3Н, СО2СН3), 4.49 д (1Н, J 8.2 Гц, СН2), 4.59 д (1Н, J 8.2 Гц, СН2), 5.03 д (2Н, J 6.6 Гц, =СН2), 5.55 т (1H, J 6.7 Гц, =CH), 7.43 уш.с (1H, NH). Спектр ЯМР 13С, δ, м.д.: 45.40 (СН2), 51.90 (OCH3), 52.22 (OCH3), 52.84 (CO2СН3), 54.37 (CHN), 72.49 (C4'), 79.65 (=CH2), 91.62 (=CH), 98.52 (C5'), 102.93 (C2'), 161.09 (C1'), 170.54 (CO2Me), 186.00 (C3'), 210.01 (=C=). Масс-спектр (EI), m/z (%): 300 [M – Cl]+ (100), 336 [M + H]+ (55). Найдено, %: С 47.04; Н 4.35; Cl 20.79; N 4.39. C13H15Cl2NO5. Вычислено, %: С 46.65; Н 4.50; Cl 21.09; N 4.17.
Метил-N-[2,4-дихлор-5,5-диметокси-3-оксо-4-(пропа-1,2-диен-1-ил)циклопент-1-ен-1-ил]-L-метионинат (5). К раствору 87 мг (0.5 ммоль) метилового эфира L-метионина в 10 мл метанола добавляли 0.02 г (0.35 ммоль) KOH и 0.05 мл (0.35 ммоль) триэтиламина, массу перемешивали 15 мин. Затем прибавляли 0.10 г (0.35 ммоль) алленилкетона 1 и реакционную массу перемешивали до исчезновения исходного соединения (контроль методом ТСХ). В реакционную массу добавляли 5–6 мл воды, метанол упаривали, водный слой подкисляли 1 н. раствором НСl до рН 4.0 и экстрагировали хлороформом (4 × 10 мл). Объединенные экстракты промывали раствором NaCl, сушили MgSO4, упаривали. Остаток хроматографировали на колонке с SiO2 (EtOAc–петролейный эфир, 1 : 10) и получали 55 мг (54%) соединения 5 в виде смеси диастереомеров (~3 : 2, ЯМР 1Н). Вязкое маслообразное вещество. ИК спектр, ν, см–1: 3308, 2953, 2841, 1956, 1749, 1595, 1526, 1437, 1362, 1306, 1175, 1119, 1069, 999, 854, 750, 714, 615. Масс-спектр (EI), m/z (%): 410 (411, 412) [M + H]+ (55), 374 [MH – Cl]+ (100%). Найдено, %: С 47.12; Н 5.35; Cl 17.66; N 3.38; S 8.10. C16H21Cl2NO5S. Вычислено, %: С 46.84; Н 5.16; Cl 17.28; N 3.41; S 7.82.
Основной диастереомер. Спектр ЯМР 1Н, δ, м.д.: 2.07 c (3Н, СН3), 2.21–2.28 м (2Н, СН2), 2.54 т (2Н, J 7.3 Гц, СН2), 3.44 с (6Н, ОСН3), 3.81 с (3Н, СО2СН3), 5.01–5.05 м (2Н, =СН2), 5.17 м (1Н, СНN), 5.45 т (1Н, J 6.6 Гц, =СН), 6.25–6.27 м (1Н, NH). Спектр ЯМР 13С, δ, м.д.: 15.46 (СН3), 29.27 и 32.36 (СН2), 51.81 и 52.15 (OCH3), 53.07 (CO2СН3), 54.79 (CHN), 71.99 (C4'), 79.92 (=CH2), 91.22 (=CH), 98.85 (C5'), 102.20 (C2'), 158.92 (C1'), 171.42 (CO2Me), 186.70 (C3'), 208.76 (=C=).
Минорный диастереомер. Спектр ЯМР 1Н, δ, м.д.: 2.07 c (3Н, СН3), 2.14–2.17 м (2Н, СН2), 2.53 т (2Н, J 7.3 Гц, СН2), 3.44 с (3Н) и 3.45 с (3Н, ОСН3), 3.81 с (3Н, СО2СН3), 5.01–5.05 м (2Н, =СН2), 5.17 м (1Н, СНN), 5.53 т (1Н, J 6.6 Гц, =СН), 6.25–6.27 м (1Н, NH). Спектр ЯМР 13С, δ, м.д.: 15.49 (СН3), 29.27 и 32.54 (СН2), 51.66 и 52.13 (OCH3), 53.07 (CO2СН3), 54.66 (CHN), 70.55 (C4'), 79.68 (=CH2), 90.16 (=CH), 98.85 (C5'), 101.89 (C2'), 158.54 (C1'), 171.10 (CO2Me), 186.24 (C3'), 209.39 (=C=).
Метил-N-[2,4-дихлор-5,5-диметокси-3-оксо-4-(пропа-1,2-диен-1-ил)циклопент-1-ен-1-ил]-L-лейцинат (6) получен аналогично соединению 5 из 0.1 г (0.35 ммоль) соединения 1 и 95 мг (0.52 ммоль) гидрохлорида метилового эфира L-лейцина в виде смеси диастереомеров (соотношение ~4 : 3). Выход 80 мг (54%). Белые кристаллы, т.пл. 172–173˚. ИК спектр, ν, см–1: 3277, 2955, 2843, 1959, 1749, 1595, 1526, 1437, 1369, 1269, 1215, 1182, 1152, 1072, 1043, 980, 926, 860, 814, 748, 714, 619. Масс-спектр (EI), m/z (%): 392 (393, 394) [M + H] (100), 356 [M – Cl] (26). Найдено, %: С 51.79; H 5.69; Cl 18.40; N 3.44. C17H23Cl2NO5. Вычислено, %: С 52.05; H 5.91; Cl 18.08; N 3.57.
Основной диастереомер. Спектр ЯМР 1Н, δ, м.д. 0.96 д (3Н, J 6.10 Гц, СН3), 0.97 д (3Н, J 5.90 Гц, CH3), 1.69–1.72 м (2Н, СН2), 1.73–1.79 м (1Н, СН), 3.45 с (6Н, ОСН3), 3.77 с (3Н, СО2СН3), 5.01 д (2Н, J 6.60 Гц, =СН2), 5.05–5.07 м (1Н, NCH), 5.53 т (1H, J 6.60 Гц, =CH), 5.79–5.83 м (1H, NH). Спектр ЯМР 13С, δ, м.д.: 22.58 (2СН3), 24.87 (СН), 42.32 (СН2), 52.05 (OCH3), 52.80 (CO2СН3), 54.37 (CHN), 70.80 (C4'), 79.71 (=CH2), 90.40 (=CH), 98.74 (C5'), 102.12 (C2'), 159.07 (C1'), 172.37 (CO2Me), 186.27 (C3'), 208.86 (=C=).
Минорный диастереомер. Спектр ЯМР 1Н, δ, м.д. 0.94 д (3Н, J 6.10 Гц, СН3), 0.97 д (3Н, J 5.90 Гц, CH3), 1.69–1.72 м (2Н, СН2), 1.73–1.79 м (1Н, СН), 3.43 с (6Н, ОСН3), 3.77 с (3Н, СО2СН3), 5.03 д (2Н, J 6.70 Гц, =СН2), 5.05–5.07 м (1Н, NCH), 5.45 т (1H, J 6.70 Гц, =CH), 5.79–5.83 м (1H, NH). Спектр ЯМР 13С, δ, м.д.: 22.01 (2СН3), 24.87 (СН), 42.47 (СН2), 51.79 (OCH3), 52.42 (CO2СН3), 54.37 (CHN), 71.87 (C4'), 79.87 (=CH2), 91.22 (=CH), 98.74 (C5'), 102.12 (C2'), 158.72 (C1'), 172.35 (CO2Me), 186.68 (C3'), 209.36 (=C=).
Метил-N-(2,4-дихлор-5,5-диметокси-3-оксо-4-пропа-1,2-диен-1-илциклопент-1-ен-1-ил)-L-тирозинат (7) получен аналогично соединению 5 из 0.1 г (0.35 ммоль) соединения 1, 0.12 г (0.52 ммоль) гидрохлорида метилового эфира L-тирозина и 40 мг KOH. Выход 102 мг (72%). Бесцветные кристаллы. Т.пл. 126–127˚. ИК спектр, ν, см–1: 3354, 3277, 2989, 2952, 2843, 1959, 1734, 1718, 1595, 1616, 1595, 1587, 1516, 1444, 1366, 1244, 1220, 1182, 1179, 1116, 1072, 1044, 978, 847, 813, 737, 715, 703. Масс-спектр (EI), m/z (%): 442 (443, 444) [M + H] (65), 406 [M – Cl] (100). Найдено, %: С 54.57; H 4.66; Cl 16.29; N 3.38. C20H21Cl2NO6. Вычислено, %: С 54.31; H 4.79; Cl 16.03; N 3.17.
Основной диастереомер. Спектр ЯМР 1Н, δ, м.д.: 3.12 д (2Н, J 4.1 Гц, CH2), 3.31 с (6H, ОСН3), 3.75 с (3Н, ОСН3), 4.99 д (2Н, J 6.2 Гц, =СН2), 5.27 уш.с (1H, NСH), 5.42 т (1H, J 6.3 Гц, =CH), 6.04 уш.с (1H, NH), 6.82 д (2Н, J 6.0 Гц, Ph), 6.95 д (2Н, J 6.8 Гц, Ph). Спектр ЯМР 13С, δ, м.д.: 38.59 (СH2), 51.77 и 52.07 (OCH3), 52.95 (CO2СН3), 56.19 (CHN), 70.64 (C4'), 79.77 (=CH2), 90.06 (=CH), 98.65 (C5'), 102.03 (C2'), 115.96 (C2Ar, C6Ar), 125.16 (C1Ar), 130.30 (C3Ar, C5Ar), 156.03 (C4Ar), 159.51 (C1'), 171.03 (CO2Me), 187.22 (C3'), 208.83 (=C=).
Минорный диастереомер. Спектр ЯМР 1Н, δ, м.д.: 3.12 д (2Н, J 4.1 Гц, CH2), 3.31 с (3H) и 3.34 с (3H, ОСН3), 3.75 с (3Н, ОСН3), 4.97–4.98 м (2Н, =СН2), 5.27 уш.с (1H, NСH), 5.53 т (1H, J 6.2 Гц, =CH), 6.04 уш.с (1H, NH), 6.82 д (2Н, J 6.0 Гц, Ph), 6.95 д (2Н, J 6.8 Гц, Ph). Спектр ЯМР 13С, δ, м.д.: 38.37 (СH2), 51.57 и 51.95 (OCH3), 52.95 (CO2СН3), 56.38 (CHN), 72.04 (C4'), 80.08 (=CH2), 91.16 (=CH), 98.65 (C5'), 101.75 (C2'), 115.94 (C2Ar, C6Ar), 125.42 (C1Ar), 130.46 (C3Ar, C5Ar), 156.03 (C4Ar), 159.42 (C1'), 171.75 (CO2Me), 187.66 (C3'), 209.44 (=C=).
Метил-N-[(4Z)-4-(карбокcиметилен)-2-хлор-5,5-диметокси-3-оксо-1-циклопент-1-ен-1-ил]глицинат (8). К перемешиваемой суспензии 0.13 г (0.36 ммоль) дихлорциклопентенона 4 и 0.17 г (0.79 ммоль) NaIO4 в 10 мл смеси CCl4–МеCN–H2O (2 : 2 : 3 об.) прибавляли ~4 мг RuCl3·3H2O, реакционную массу перемешивали при комнатной температуре в течение 4–5 ч. К реакционной смеси прибавляли 10 мл CH2Cl2, органический слой отделяли, водный слой экстрагировали CH2Cl. (4 × 30 мл). Объединенные органические экстракты сушили MgSO4, отфильтровывали, упаривали, остаток кристаллизовали из эфира. Выход 0.03 г (32%). Белый порошок, т.пл. 130–132.5˚. Спектр ЯМР 1Н, δ, м.д.: 3.32 с (6H, ОСН3), 3.88 с (3Н, ОСН3), 4.52 д (1Н, J 5.5 Гц, NСН2), 6.28 c (1H, =CH), 6.59 уш.с (1Н, NH), 14.99 уш.с (1H, CO2H). Спектр ЯМР 13С, δ, м.д.: 44.46 (NСН2), 52.42 (2 OCH3), 53.18 (CO2СН3), 101.50 (C5'), 124.50 (C2'), 125.94 (=CH), 145.60 (C4'), 155.10 (C1'), 169.30 (CO2H), 174.55 (CO2Me), 188.60 (C3'). Масс-спектр (EI), m/z (%): 320 (321) [M + H]+ (100). Найдено, %: С 45.34; H 4.23; Cl 11.38; N 4.50. C12H14ClNO7. Вычислено, %: С 45.08; H 4.41; Cl 11.09; N 4.38.
(2Z)-[2,2-Диметокси-3-(1-метоксикарбонил-3-метилсульфонилпропил)амино-5-оксо-4-хлорциклопент-3-ен-1-илиден]уксусная кислота (9). Получали аналогично соединению 8 из 49.5 мг (0.13 ммоль) дихлорциклопентенона 5 и 60 мг (0.28 ммоль) NaIO4 с добавлением ~2 мг RuCl3·3H2O. Выход 25 мг (49%). Белый порошок, т. пл. 98–100. [α]D20–18° (с 0.5, MeOH). ИК спектр, ν, см–1: 3286, 3053, 2954, 2928, 2848, 1739, 1696, 1604, 1533, 1456, 1437, 1418, 1407, 1377, 1297, 1275, 1236, 1218, 1180, 1132, 1099, 1080, 966, 734, 703. Спектр ЯМР 1Н, δ, м.д.: 2.51–2.52 м (2Н, СН2), 2.96 с (3H, СН3), 3.19–3.22 м (2Н, СН2), 3.47 с (6H, ОСН3), 3.86 с (3Н, ОСН3), 5.17–5.19 м (1Н, СНN), 6.24 уш.c (1H, NH), 6.45 с (1Н, =CH). Спектр ЯМР 13С, δ, м.д.: 25.18 (СН2), 41.04 (СН3), 50.28 (СН2), 52.02 и 52.29 (OCH3), 53.56 (CO2СН3), 54.82 (CHN), 102.15 (C2'), 112.02 (C4'), 125.56 (=CH), 138.58 (C1'), 158.89 (C3'), 170.19 (CO2H), 174.27 (CO2Me), 190.40 (C5'). Масс-спектр (EI), m/z (%): 426 (427, 428) [M + H]+ (100). Найдено, %: C 41.99; H 4.55; Cl 8.61; N 3.02; S 7.84. C15H20ClNO9S. Вычислено, %: C 42.31; H 4.73; Cl 8.33; N 3.29; S 7.53.
Метил-N-[(4Z)-4-карбокcиметилен-5,5-диметокси-3-оксо-2-хлор-1-циклопент-1-ен-1-ил]-L-лейцинат (10). К перемешиваемому раствору 82 мг (0.19 ммоль) соединения 6 в 10 мл смеси ТГФ–Н2О (3 : 1) прибавляли 3 мг ОsО4 и по истечении 15 мин наблюдали почернение реакционной массы, затем прибавляли по каплям раствор 0.2 г (0.95 ммоль) NaIO4 в 5 мл Н2О. Смесь перемешивали при комнатной температуре в течение 3 ч, выпавший осадок NаIО3 отфильтровывали, ТГФ упаривали, остаток экстрагировали СН2Сl2 (3 × 10 мл). Объединенные органические экстракты промывали насыщенным водным раствором NаСl, сушили МgSО4, растворитель упаривали. Остаток очищали кристаллизацией из диэтилового эфира. Выход 46 мг (60%) в виде смеси изомеров в соотношении 2 : 1 (по интегральной интенсивности протонов CHN-фрагмента). Бесцветные кристаллы, т.пл. 179–181˚С. [α]D20 +54˚ (с 0.5, CHCl3). ИК спектр, ν, см–1: 3237, 2926, 1751, 1715, 1595, 1547, 1537, 1462, 1456, 1377, 1271, 1151, 1105, 964, 901, 721, 633. Масс-спектр (EI), m/z (%): 376 (377, 378) [M + H]+ (100). Найдено, %: C 51.45; H 5.78; Cl 9.81; N 3.66. C16H22ClNO7. Вычислено, %: C 51.14; H 5.90; Cl 9.43; N 3.73.
Основной изомер. Спектр ЯМР 1Н, δ, м.д.: 0.98–1.02 м (6Н, СН3), 1.68–1.71 м (2Н, CH2), 1.83–1.87 (1Н, CH), 3.20 с (3H, OCH3), 3.34 с (3H, OCH3), 3.80 с (3H, OCH3), 5.04–5.09 м (1Н, NCH), 6.21 д (1Н, J 10.1 Гц, NH), 6.24 c (1Н, =CH), 15.0 уш.с (1Н, СО2Н). Спектр ЯМР 13С, δ, м.д.: 21.73 и 22.64 (СН3), 24.94 (СН), 42.60 (СН2), 52.48 и 52.70 (OCH3), 52.88 (CO2СН3), 55.23 (СНN), 102.18 (C5'), 111.32 (C2'), 125.94 (=CH), 138.83 (C4'), 163.43 (C1'), 164.54 (CO2H), 172.06 (CO2Me), 181.44 (C3').
Минорный изомер. Спектр ЯМР 1Н, δ, м.д.: 0.98–1.02 м (6Н, СН3), 1.73–1.81 м (2Н, CH2), 1.83–1.87 (1Н, CH), 3.27 с (3H, OCH3), 3.30 с (3H, OCH3), 3.82 с (3H, OCH3), 5.16–5.20 м (1Н, NCH), 6.32 д (1Н, J 10.1 Гц, NH), 6.27 c (1Н, =CH), 15.0 уш.с (1Н, СО2Н). Спектр ЯМР 13С, δ, м.д.: 21.65 и 22.61 (СН3), 24.94 (СН), 41.93 (СН2), 52.25 и 52.51 (OCH3), 53.23 (CO2СН3), 54.50 (СНN), 101.83 (C5'), 108.20 (C2'), 126.43 (=CH), 137.26 (C4'), 161.65 (C1'), 164.43 (CO2H), 171.39 (CO2Me), 183.87 (C3').
Метил-N-[(4Z)-4-(карбокcиметилен)-5,5-диметокси-3-оксо-2-хлор-1-циклопент-1-ен-1-ил]-L-тирозинат (11) получен аналогично соединению 10 из 90 мг (0.22 ммоль) соединения 7 с использованием 0.23 г (1.10 ммоль) NaIO4 и 3 мг OsO4. Остаток очищали кристаллизацией из смеси этилацетат–петролейный эфир. Выход 30 мг (31%) в виде смеси диастереомеров (соотношение ~4 : 3). Бесцветные кристаллы, т.пл. 114–117˚C [α]D20 +11˚ (с 1.0, MeOH). ИК спектр, ν, см–1: 3198, 3081, 3012, 2954, 2839, 1739, 1715, 1662, 1591, 1576, 1516, 1447, 1394, 1350, 1266, 1218, 1196, 1176, 1097, 993, 963, 830, 760, 764, 748, 665. Масс-спектр (EI), m/z (%): 426 (427, 428) [M + H]+ (80). Найдено, %: C 53.26; H 4.55; Cl 8.66; N 3.16. C19H20ClNO8. Вычислено, %: C 53.59; H 4.73; Cl 8.33; N 3.29.
Основной изомер. Спектр ЯМР 1Н, δ, м.д.: 3.00–3.05 м (1Н, СН2), 3.11–3.18 м (1Н, CH2), 3.28 с (3H, OCH3), 3.54 с (3H, OCH3), 3.81 с (3H, OCH3), 5.37–5.39 м (1Н, NCH), 6.22 c (1Н, =CH), 6.26 уш.с (1Н, ОН), 6.41 д (1Н, J 8.6 Гц, NH), 6.78–6.82 м (2Н, HAr), 6.94 д (1Н, J 8.0 Гц, HAr), 6.99–7.03 м (1Н, HAr). Спектр ЯМР 13С, δ, м.д.: 38.40 (СН2), 51.22 и 52.25 (OCH3), 52.59 (CO2СН3), 56.08 (СНN), 102.10 (C5'), 109.50 (C2'), 116.08 (CAr), 124.90 (CAr), 130.54 (=CH), 130.76 (CAr), 138.82 (C4'), 149.10 (CAr), 155.74 (C1'), 161.40 (CO2H), 170.05 (CO2Me), 182.20 (C3').
Минорный изомер. Спектр ЯМР 1Н, δ, м.д.: 3.00–3.05 м (1Н, СН2), 3.11–3.18 м (1Н, CH2), 3.22 с (3H, OCH3), 3.50 с (3H, OCH3), 3.83 с (3H, OCH3), 5.23–5.25 м (1Н, NCH), 6.23 c (1Н, =CH), 6.28 уш.с (1Н, ОН), 6.32 д (1Н, J 8.8 Гц, NH), 6.78–6.82 м (2Н, HAr), 6.94 д (1Н, J 8.0 Гц, HAr), 6.99–7.03 м (1Н, HAr). Спектр ЯМР 13С, δ, м.д.: 42.13 (СН2), 51.28 и 52.25 (OCH3), 53.21 (CO2СН3), 56.08 (СНN), 102.10 (C5'), 109.50 (C2'), 115.92 (CAr), 124.90 (CAr), 130.24 (CAr), 130.54 (=CH), 138.50 (C4'), 149.10 (CAr), 155.74 (C1'), 161.60 (CO2H), 170.08 (CO2Me), 182.20 (C3').
ЗАКЛЮЧЕНИЕ
Взаимодействием 5-алленил-4,4-диметокси-2,3,5-трихлорциклопент-2-ен-1-она (1) с метиловыми эфирами глицина, L-метионина, L-лейцина и L-тирозина получены новые аминокислотные производные, окислительным расщеплением алленового фрагмента которых синтезированы соответствующие 4-карбоксиметиленпроизводные 8–10, представляющие интерес как потенциальные противовирусные и противоопухолевые соединения.
БЛАГОДАРНОСТИ
Анализы выполнены на оборудовании ЦКП «Химия» УфИХ УФИЦ РАН.
ФОНДОВАЯ ПОДДЕРЖКА
Работа выполнена по теме № 122031400261-4 госзадания УфИХ УФИЦ РАН.
КОНФЛИКТ ИНТЕРЕСОВ
Авторы заявляют об отсутствии конфликта интересов.
Sobre autores
L. Khasanova
Ufa Institute of Chemistry, Ufa Federal Research Center of the Russian Academy of Sciences
Email: fangim@anrb.ru
ORCID ID: 0000-0002-7183-4200
Rússia, Ufa, 450054
V. Egorov
Ufa Institute of Chemistry, Ufa Federal Research Center of the Russian Academy of Sciences
Email: fangim@anrb.ru
ORCID ID: 0000-0001-9710-265X
Rússia, Ufa, 450054
M. Abdullin
Ufa Institute of Chemistry, Ufa Federal Research Center of the Russian Academy of Sciences
Email: fangim@anrb.ru
ORCID ID: 0000-0002-9894-213X
Rússia, Ufa, 450054
F. Gimalova
Ufa Institute of Chemistry, Ufa Federal Research Center of the Russian Academy of Sciences
Autor responsável pela correspondência
Email: fangim@anrb.ru
ORCID ID: 0000-0002-5176-1227
Rússia, Ufa, 450054
Bibliografia
- Monto A.S. Clin. Infect. Dis., 2008, 47, 346–348. doi: 10.1086/589749
- Ахметвалеев Р.Р., Акбутина Ф.А., Иванова Н.А., Мифтахов М.С. Изв. АН. Сер. хим. 2001, 1417–1435. [Akhmetvaleev R.R., Akbutina F.A., Ivanova N.A., Miftakhov M.S. Russ. Chem. Bull., Int. Ed. 2001, 50, 1489–1509.]doi: 10.1023/A:1013038427455
- Акбутина Ф.А., Торосян С.А., Мифтахов М.С. Изв. АН. Сер. хим. 1997, 1646–1648. [Akbutina F.A., Torosyan S.A., Miftakhov M.S. Russ. Chem. Bull., Int. Ed. 1997, 46, 1569–1571.] doi: 10.1007/BF02502941
- Гилязетдинов Ш.Я., Юсупова З.Ф., Саитова М.Ю., Зарудий Ф.С., Ахметвалеев Р.Р., Мифтахов М.С., Акбутина Ф.А., Торосян С.А. Пат. 2144767 (1997). РФ. Б.И. 2000, № 3.
- Гималова Ф.А., Егоров В.А., Торосян С.А., Мифтахов М.С. ЖОрХ. 2007, 43 (7), 987–989. [Gimalova F.A., Egorov V.A., Torosyan S.A., Miftakhov M.S. Russ. J. Org. Chem. 2007, 43, 981–983.] doi: 10.1134/S1070428007070068.
- Егоров В.А., Гималова Ф.А., Хасанова Л.С., Мифта-хов М.С. ЖОрХ. 2015, 51 (12), 1755–1758. [Egorov V.A., Khasanova L.S., Gimalova F.A., Miftakhov M.S. Russ. J. Org. Chem. 2015, 51, 1721–1724.] doi: 10.1134/S107042801512009X
- Гималова Ф.А., Егоров В.А., Мифтахов М.С., Еримбетов К.Т., Подгородниченко В.К. Пат. 2599792 (2015). РФ. Б.И. 2016, № 29.
- Хейнс А. Методы окисления органических соединений. М: Мир, 1988, 163–164. [Haines A.H., Metody okisleniya organicheskikh soedineniy (Methods for the Oxidation of Organic Compounds), Moscow: Mir, 1988, 163–164].
- Чертанова Л.И., Акбутина Ф.А., Торосян С.А., Халилов Л.М., Мифтахов М.С. Изв. АН. Сер. хим. 1997, 1979–1981 [Chertanova L.F., Akbutina F.A., Torosyan S.A., Khalilov L.M., Miftakhov M.S. Russ. Chem. Bull., 1997, 46, 1875–1877.] doi: 10.1007/BF02503776
Arquivos suplementares




