Строение и конформационный анализ 5,5-бис(бромметил)-2-метил-2-(4-хлорфенил)-1,3-диоксана
- Авторы: Хажиев Ш.Ю.1, Хусаинов М.А.2, Халиков Р.А.3, Катаев В.А.3, Тюмкина Т.В.4, Мещерякова Е.С.4, Халилов Л.М.4, Кузнецов В.В.2,5
-
Учреждения:
- ОАО АНК Башнефть
- Уфимский государственный нефтяной технический университет
- Башкирский государственный медицинский университет
- Институт нефтехимии и катализа РАН
- Уфимский университет науки и технологий
- Выпуск: Том 60, № 1 (2024)
- Страницы: 94-103
- Раздел: Статьи
- URL: https://ogarev-online.ru/0514-7492/article/view/272385
- DOI: https://doi.org/10.31857/S0514749224010087
- EDN: https://elibrary.ru/ENFJMC
- ID: 272385
Цитировать
Полный текст
Аннотация
С помощью спектроскопии ЯМР 1Н, 13С и данных рентгеноструктурного анализа исследовано строение 5,5-бис(бромметил)-2-метил-2-(4-хлорфенил)-1,3-диоксана. Его молекулы в кристаллическом состоянии и в растворах существуют в конформации кресло с аксиальным ароматическим заместителем. В рамках DFT метода PBE с использованием базисных наборов 3ζ и def2-SVP установлены маршрут конформационных превращений и значения потенциальных барьеров внутреннего вращения ароматической группы для изолированной молекулы и растворов в хлороформе и бензоле (кластерная модель).
Ключевые слова
Полный текст
ВВЕДЕНИЕ
Замещенные 1,3-диоксаны являются классическими объектами конформационного анализа, с которых началось подробное исследование влияния гетероатомов на конформационные характеристики гетероаналогов циклогексана [1–4]. Помимо этого, данные соединения активно используются в качестве реагентов тонкого органического синтеза [5–8], жидкокристаллических композиций [9], а также для создания новых перспективных лекарственных соединений [10, 11], в частности с атомами галогенов в замещающих группах [12]. Дополнительный интерес к 5,5-бис-(галогенметил)-1,3-диоксанам связан с наличием 2 реакционных центров: ‒ атомов галогенов у атома С5 кольца, ‒ способных вступать в реакции нуклеофильного замещения [13]. Молекулы формалей 5,5-бис(галогенметил)-1,3-диоксанов при комнатной температуре характеризуются быстрой в шкале времени ЯМР интерконверсией цикла [14]. В случае несимметричных кеталей реализуется конформация кресло с аксиальным ароматическим заместителем у атома С2 кольца [15]. Все это обусловило выбор цели настоящей работы, посвященной изучению строения и конформационных превращений неописанного ранее 5,5-бис(бромметил)-2-метил-2-(4-хлорфенил)-1,3-диоксана (1) (схема 1) с помощью спектроскопии ЯМР на ядрах 1H, 13С, рентгеноструктурного анализа, а также оценке влияния молекул растворителя на относительные энергии минимумов и переходных состояний на поверхности потенциальной энергии (ППЭ) данного соединения (кластерная модель) в рамках DFT-приближения PBE (базисные наборы 3ζ и def2-SVP, программное обеспечение ПРИРОДА [16]).
Схема 1
РЕЗУЛЬТАТЫ И ОБСУЖДЕНИЕ
Образец диоксана 1 получен конденсацией 2,2-бис(бромметил)-1,3-пропандиола с метил-п-хлорфенилкетоном (схема 2).
Схема 2
Было проведено рентгеноструктурное исследование кристаллов 1. Кристаллографические характеристики приведены в экспериментальной части, а диоксан 1 зарегистрирован в Кембриджской базе структурных данных под № СCDC 2162488 [17].
Установлено, что структура молекулы кеталя 1 отвечает конформации кресло с ароматическим заместителем в аксиальном положении. При этом молекулы исследуемого соединения формируют триклинные кристаллы с пространственной группой Р-1 (рис. 1). Для гетероатомной части гетероциклического кольца характерны ожидаемые длины связей С‒О (1.404‒1.427 Å) и значения валентных углов, близкие к 110‒114°. Эндоциклические торсионные углы также отвечают наблюдаемым в конформации кресло (табл. 1) [1, 3, 15].
Рис. 1. Молекула соединения 1 в представлении атомов эллипсоидами тепловых колебаний (р = 50%)
Таблица 1. Избранные длины связей, валентные и торсионные углы в молекуле диоксана 1
Связь | Длина связи, Å | Валентный угол | φ, град. | Торсионный угол | τ, град. | |||
расчет | эксперимент | расчет | эксперимент | расчет | эксперимент | |||
Br1–C7 O1–C2 O3–C2 O3–C4 O1–C6 C2–C10 C13–Cl1 C2–C9 | 1.969 1.427 1.426 1.421 1.421 1.540 1.744 1.527 | 1.964(9) 1.404(10) 1.417(9) 1.427(10) 1.412(11) 1.538(12) 1.752(10) 1.518(12) | O1–C2–O3 C2–O3–C4 O3–C4–C5 C4–C5–C6 C5–C6–O1 C6–O1–C2 Br1–C7–C5 Cl1–C13–C14 | 110.7 114.6 111.6 105.3 111.7 114.4 114.2 119.7 | 111.1(7) 114.4(6) 110.9(6) 104.8(7) 111.5(7) 113.5(6) 112.3(6) 119.7(7) | O1–C2–O3–C4 C2–O3–C4–C5 O3–C4–C5–C6 C4–C5–C6–O1 C5–C6–O1–C2 C6–O1–C2–O3 C4–С5–С7–Br1 O1–C2–С10–С11 | 55.0 –57.5 54.0 –53.8 56.6 –54.3 176.4 30.2 | 54.5(10) –56.5(9) 54.5(10) –56.5(10) 59.4(13) –55.6(10) 172.6(6) 32.7(10) |
Данные расчета приведены для изолированной молекулы в вакууме: конформера кресло с арильным заместителем в аксиальном положении (Ка), метод PBE/def2-SVP.
Сравнение значений межплоскостных углов α и β, установленных по результатам рентгеноструктурных измерений [15, 18] и в настоящей работе, свидетельствует о влиянии заместителей у атома С2 в кеталях 1‒3 на параметры складчатости 1,3-диоксанового кольца в кристаллической фазе (рис. 2). Так, появление атома хлора в фенильном заместителе в случае кеталя 1 приводит к возрастанию угла α на 2.2° и уменьшению угла β на 0.9° по сравнению с диоксаном 2. В случае 2 фенильных заместителей у атома С2 (кеталь 3) тенденция к уплощению гетероатомного фрагмента и увеличению складчатости углеродной части цикла сохраняется. При этом максимальная сумма углов α и β (261.1°) наблюдается для диоксана 1. Отмеченные изменения являются результатом совокупного действия стерических и электронных факторов.
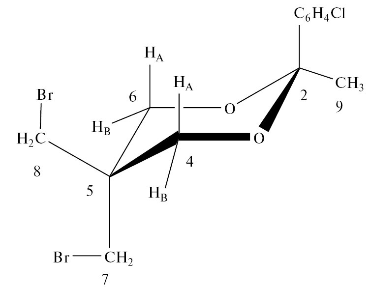
Спектры ЯМР 1Н и 13С в растворах CDCl3 и C6D6 (табл. 2) по данным 1D и 2D спектроскопии с использованием режимов NOESY, COSYHH и HSQC свидетельствуют о пребывании молекул кеталя 1 при комнатной температуре в конформации кресло. На это указывает диастереотопный характер метиленовых протонов при магнитно эквивалентных углеродных атомах С4 и С6 гетероциклического кольца (Δδ 0.4‒0.5 м.д.), проявляющихся в спектре ЯМР 1Н в виде 2 дублетов с геминальной константой 2J 11.7‒11.8 Гц. Метиленовые протоны бромметильных заместителей при атоме С5 кольца магнитно неэквивалентны (Δδ 0.9‒1.3 м.д.); при этом на основании NOESY эксперимента установлено, что сигнал протонов аксиальной СН2Br группы проявляется в более слабом поле (табл. 2). Сигнал наиболее слабопольного углеродного атома гетероциклического кольца в спектре ЯМР 13С принадлежит атому С2 (100.6‒101.0 м.д.).
Таблица 2. Спектры ЯМР 1Н и 13С диоксана 1
Растворитель | Протоны | ЯМР 1Н, δ, м.д. | Атомы С | ЯМР 13С, δ, м.д. |
CDCl3 | CH3 НА НВ СН2Br (a) СН2Br (e) C6H4 | 1.6 (c) 3.5 (д) (–2J 11.8 Гц) 3.9 (д) (–2J 11.8 Гц) 4.0 (c) 3.1 (c) 7.3–7.4 (м) | C9 C2 C4, C6 C5 C7 C8 Саром. | 31.4 101.0 66.1 37.5 35.9 34.6 128.0–138.2 |
C6D6 | CH3 НА НВ СН2Br (a) СН2Br (e) C6H4 | 1.4 (с) 3.1 (д) (–2J 11.7 Гц) 3.6 (д) (–2J 11.7 Гц) 3.8 (с) 2.5 (с) 7.0–7.2 (м) | C9 C2 C4, C6 C5 C7 C8 | 31.0 100.6 65.6 37.0 35.8 34.3 |
Примечание: с — синглет, д — дублет, м — мультиплет.
Рис. 2. Межплоскостные углы в 1,3-диоксанах 1–3
Полученные результаты подтверждаются данными конформационного анализа диоксана 1 в рамках расчетных приближений PBE/3ζ и PBE/def2-SVP. На ППЭ этого соединения выявлены минимумы, отвечающие аксиальному (Ка) и экваториальному (Ке) конформерам кресло, (из которых первый является главным), 2,5-твист-форме, (2,5-Т), а также переходным состояниям ПС-1 и ПС-2, соответствующим конформациям полукресло (схема 3). Расчетные значения длин связей, а также валентных и торсионных углов для конформера Ка близки значениям рентгеноструктурного эксперимента (табл. 1).
Схема 3
Относительные энергии всех форм, отвечающих стационарным точкам на ППЭ для изолированной молекулы диоксана 1, а также для кластеров с растворителями, представлены в табл. 3. Ранее нами показано, что кластерная модель, предполагающая в ходе квантовохимического расчета явный учет молекул растворителя, приводит к хорошему совпадению экспериментальных и расчетных результатов, связанных с термодинамикой конформационных превращений замещенных 1,3-диоксанов; при этом соответствие данным эксперимента достигается при учете уже 4 молекул растворителя [19]. Поэтому в настоящей работе исследованы кластеры 1@4 CHCl3 и 1@4 С6H6. Оптимизированные системы Ка@4 CHCl3 и Ка@4 С6H6 представлены на рис. 3 и 4. Молекулы хлороформа окружают диоксан 1, группируясь в основном со стороны аксиального ароматического заместителя над диоксановым кольцом; минимальное расстояние между атомом хлора растворителя и субстратом составляет 3 Å. В случае системы Ка@4 С6H6 молекулы бензола распределены вокруг диоксана 1 более равномерно; минимальное расстояние между атомом водорода растворителя и субстратом составляет в этом случае 2.7 Å. В рамках PBE/3ζ среди локальных минимумов более стабильна форма 2,5-Т, а в случае PBE/def2-SVP — форма Ке (за исключением системы 1@4 С6H6). Присутствие молекул растворителя заметно повышает потенциальные барьеры интерконверсии кольца (формы ПС-1 и ПС-2) и внутреннего вращения аксиальной арильной группы. При этом величина ΔG≠298 аксиального арильного заместителя в 2.3‒4.6 раза выше, чем экваториального (табл. 3). Полученные результаты находятся в соответствии с приведенными в литературе: экспериментальные значения барьеров интерконверсии замещенных 1,3-диоксанов составляют ΔG≠298 8‒11 ккал/моль [1].
Таблица 3. Энергетические параметры конформационных превращений молекул диоксана 1
Метод | Соединение | ΔG0298 (ΔG≠298)а, ккал/моль | ΔS0298 (ΔS≠298)а, кал/моль ∙ К |
PBE/3ζ | Изолированная молекула 1 Ке 2,5-Т ПС-1 ПС-2 Барьер вращения С–Ar (Ка)б Барьер вращения С–Ar (Кe)б 1@4 CHCl3 Ке 2,5-Т ПС-1 ПС-2 Барьер вращения С-Ar (Ка)б Барьер вращения С-Ar (Кe)б 1@4 С6H6 Ке 2,5-Т ПС-1 ПС-2 Барьер вращения С-Ar (Кa)б | 2.48 1.79 (7.80) (8.75) (11.08) (3.43) 4.61 2.74 (9.32) (10.91) (11.76) (2.55) 3.67 2.46 (9.98) (14.04) (11.27) | 1.40 2.42 (1.56) (–0.34) (–5.40) (–6.48) –3.83 1.55 (–3.51) (2.23) (–6.42) (–0.11) –2.41 1.03 (–4.45) (–4.09) (–10.01) |
PBE/def2-SVP | Изолированная молекула 1 Ке 2,5-Т ПС-1 ПС-2 Барьер вращения С-Ar (Ка)б Барьер вращения С-Ar (Кe)б 1@4 CHCl3 Ке 2,5-Т ПС-1 ПС-2 Барьер вращения С-Ar (Ка)б 1@4 С6H6 Ке 2,5-Т ПС-1 ПС-2 Барьер вращения С-Ar (Кa)б | 2.22 2.32 (8.18) (8.98) (11.64) (4.42) 2.21 2.52 (9.56) (9.49) (13.06) 3.48 2.30 (9.24) (12.66) (12.16) | 1.72 2.39 (–0.36) (0.41) (–5.53) (–6.69) –9.92 –5.08 (–9.66) (–5.21) (–11.41) –3.74 4.81 (0.14) (2.36) (–12.94) |
а Относительно формы Кa. б Относительно основного состояния данного конформера.
Рис. 3. Кластер Ка@4 CHCl3 (приближение PBE/def2-SVP)
Рис. 4. Кластер Ка@4 С6Н6 (приближение PBE/3ζ)
Следует также отметить отсутствие на ППЭ промежуточного минимума, характерного для равновесия молекул незамещенного и 2-, 4-, 5-, 2,5-, 4,4-замещенных 1,3-диоксанов [3] ‒ формы 1,4-твист.
ЭКСПЕРИМЕНТАЛЬНАЯ ЧАСТЬ
Cпектры ЯМР получены на спектрометре Bruker Avance 400 (ФРГ) с рабочими частотами 400.13 МГц (1H) и 100.62 МГц (13С в растворе CDCl3; внутренним стандартом являлся сигнал растворителя.
Рентгеноструктурный анализ проведен на автоматическом четырехкружном дифрактометре XCalibur Eos (США) (графитовый монохроматор, Mo Kα излучение, λ = 0.71073 Å, w-сканирование, 2θmax = 62°). Сбор и обработка данных произведены с помощью программы CrysAlisPro Oxford Diffraction Ltd., версия 1.171.36.20 [20]. Структуры расшифрованы прямым методом и уточнены полноматричным методом наименьших квадратов в анизотропном приближении для неводородных атомов. Атомы водорода локализованы в разностном синтезе Фурье и уточнены изотропно. Расчеты выполняли по программе SHELX97 [21]; представление атомов эллипсоидами тепловых колебаний получено в рамках программы PLATON [22]. Элементарная кристаллическая ячейка включает одну молекулу соединения 1. Кристаллографические данные и условия рентгеноструктурного эксперимента: Т 293(2) К; кристаллическая система — триклинная; пространственная группа P-1; параметры ячейки — а 6.7180(8) Å, b 11.2091(15) Å, c 11.3263(14) Å; α 112.425(12)˚, β 105.948(11)˚, γ 92.725(10)˚, V 746.84(18) Å3, Z 2; ρвыч. 1.772 мг/мм3, μ 5.597 мм–1, F(000) 392.0; область сканирования по θ 4.102–58.02 град.; область индекса отражений –8 ≤ h ≤ 8, –14 ≤ k ≤ 12, –14 ≤ l ≤ 13; независимых отражений 3422 (Rint = 0.0925, Rsigma = 0.1450), GOOF 1.041; для отражений с Ihkl>2σ(I) R1 = 0.0916, wR2 = 0.2057; для всех отражений R1 = 0.1629, wR2 = 0.2599; ∆ρmin/max 1.30/–1.30 eÅ–3.
Первоначальная оптимизация геометрии конформера кресло Ка кеталя 1 осуществлялась в рамках программного обеспечения HyperChem 8.0 (метод АМ1) [23], и далее — с помощью методов PBE/3ζ и PBE/def2-SVP (ПРИРОДА [16]). Функционал PBE, основанный на принципе обобщенного градиентного приближения (GGA) [24], хорошо зарекомендовал себя при анализе замещенных 1,3-диоксанов и родственных систем [3, 15, 18, 19]. Базис тройного валентного расщепления 3ζ, разработанный ранее [25], является нерелятивистским атомным базисом гауссового типа, содержащим диффузную часть и поляризационные функции. Близким к нему по свойствам является и базис def2-SVP [26]. Последний оказался более информативным в ходе сравнительной расчетной оценки барьера внутреннего вращения в этане [27]. Моделирование интерконверсии цикла и внутреннего вращения ароматического заместителя проводили методом сканирования соответствующих торсионных углов. Значения потенциальных барьеров установлены с помощью процедуры поиска переходных состояний в рамках программного обеспечения ПРИРОДА. Принадлежность стационарных точек ППЭ к переходному состоянию подтверждалась наличием одной мнимой частоты в соответствующем гессиане, а к минимуму — отсутствием мнимых частот. Модельные кластеры формировали последовательным прибавлением молекул растворителя в окрестность исследуемого 1,3-диоксана с помощью программных средств HyperChem, после чего полученную систему оптимизировали в рамках PBE.
5,5-бис(Бромметил)-2-метил-2-(4-хлорфенил)-1,3-диоксан (1). Эквимолярную смесь (0.01 моль, 2.62 г) 2,2-бис(бромметил)-1,3-пропандиола (Sigma-Aldrich) и 1.55 г п-хлорацетофенона в 70 мл бензола в присутствии 0.1 г п-толуолсульфокислоты кипятили с обратным холодильником до прекращения выделения воды в ловушке Дина–Старка (12 ч) и после охлаждения до комнатной температуры в течение 1 ч продолжали перемешивание в присутствии 0.5 г гидрокарбоната натрия. Осадок отфильтровывали, промывали бензолом (2 × 10 мл). Фильтрат отгоняли под вакуумом на водяной бане. В колбу с желтоватым остатком прибавляли 50 мл гексана, нерастворимый остаток отфильтровывали, промывали 5 мл гексана. Фильтрат переносили в фарфоровую чашку и удаляли растворитель под вытяжкой при комнатной температуре. Остаток промывали гексаном (2 × 5 мл). Полученный белый порошок перекристаллизовывали из метанола, сушили при 40–50°С. Выход продукта составил 0.47 г (12.3%). Температура плавления 70.5–71.0°С.
ЗАКЛЮЧЕНИЕ
Методами рентгеноструктурного анализа и спектроскопии ЯМР установлено, что молекулы 5,5-бис(бромметил)-2-метил-2-(4-хлорфенил)-1,3-диоксана существуют в конформации кресло с аксиальным арильным заместителем у атома С2 кольца. Маршрут конформационных превращений в растворах хлороформа и бензола, выявленный с помощью DFT приближений PBE/3ζ и PBE/def2-SVP (кластерная модель, 4 молекулы растворителя), включает: главный минимум на ППЭ, соответствующий конформации кресло с аксиальным арильным заместителем; локальные минимумы, отвечающие 2,5-твист-форме и конформации кресло с арильным заместителем в экваториальном положении; переходные состояния, отвечающие формам полукресло. Полученные расчетные и приведенные в литературе экспериментальные значения потенциальных барьеров интерконверсии цикла находятся в соответствии. Установлены также расчетные значения барьера внутреннего вращения арильного заместителя у атома С2 кольца.
Об авторах
Ш. Ю. Хажиев
ОАО АНК Башнефть
Автор, ответственный за переписку.
Email: kuzmaggy@mail.ru
ORCID iD: 0000-0003-1040-8475
Россия, Уфа
М. А. Хусаинов
Уфимский государственный нефтяной технический университет
Email: kuzmaggy@mail.ru
ORCID iD: 0000-0003-4498-2598
Россия, Уфа
Р. А. Халиков
Башкирский государственный медицинский университет
Email: kuzmaggy@mail.ru
ORCID iD: 0000-0003-2926-3309
Россия, Уфа
В. А. Катаев
Башкирский государственный медицинский университет
Email: kuzmaggy@mail.ru
ORCID iD: 0000-0001-8351-0601
Россия, Уфа
Т. В. Тюмкина
Институт нефтехимии и катализа РАН
Email: kuzmaggy@mail.ru
ORCID iD: 0000-0001-8127-9135
Россия, Уфа
Е. С. Мещерякова
Институт нефтехимии и катализа РАН
Email: kuzmaggy@mail.ru
ORCID iD: 0000-0001-9401-8153
Россия, Уфа
Л. М. Халилов
Институт нефтехимии и катализа РАН
Email: kuzmaggy@mail.ru
ORCID iD: 0000-0002-2095-9097
Россия, Уфа
В. В. Кузнецов
Уфимский государственный нефтяной технический университет; Уфимский университет науки и технологий
Email: kuzmaggy@mail.ru
Россия, Уфа; Уфа
Список литературы
- Внутреннее вращение молекул. Ред. В.Дж. Орвилл-Томас. М.: Мир, 1977, 355.
- Eliel E. Pure Appl. Chem. 1971, 25, 509–525. doi: 10.1351/pac197125030509
- Кузнецов В.В. ЖОрХ. 2014, 50, 1247–1265. [Kuz-netsov V.V. Russ. J. Org. Chem. 2014, 50, 1227–1246.] doi: 10.1134/S1070428014090012
- K. Pihlaja K., Kivelä H., Vainiotalo P., Steele W.V. Molecules. 2020, 25, 2762. doi: 10.3390/molecules25122762
- Рахманкулов Д.Л., Караханов Р.А., Злотский С.С., Кантор Е.А., Имашев У.Б., Сыркин А.М. Итоги науки и техники. Технология органических веществ. М.: ВИНИТИ, 1979, 5, 6–248.
- Janssens J., Risseeuw M.D.P., Eycken J.V., Calenbergh S.V. Eur. J. Org. Chem. 2018, 2018, 6405–6431. doi: 10.1002/ejoc.201801245
- Cooksey J., Gunn A., Philip J. Kocienski P.J., Kuhl A., Uppal S., Christopher J.A., Bell R. Org. Biomol. Chem. 2004, 2, 1719–1731. doi: 10.1039/B400242C
- Sinz C.J., Rychnovsky S.D. Top. Curr. Chem. 2001, 216, 50–93. doi: 10.1007/3-540-44726-1_2
- Maebayashi H., Fuchigami T., Gotoh Y., Inoue M. Org. Process Res. Dev. 2019, 23, 477–483. doi: 10.1021/acs.oprd.8b00408
- Zeng L., Xu G., Gao P., Zhang M., Hong L., Zhang J. Tur. J. Med. Chem. 2015, 93, 109–120. doi: 10.1016/j.ejmech.2015.01.062
- Franchini S., Sorbi C., Linciano P., Camevale G., Tait A., Ronsisvalle S., Buccioni M., Del Bello F., Cilia A., Pironal L., Denora N., Iacobazzi R.M., Brasili L. Eur. J. Med. Chem. 2019, 176, 310–325. doi: 10.1016/j.ejmech.2019.05.024
- Тугарова А.В., Казакова А.Н., Камнев А.А., Злотс-кий С.С. ЖОХ. 2014, 84, 1652–1655. [Tugarova A.V., Kazakova A.N., Kamnev A.A., Zlotskij S.S. Russ. J. Gen. Chem. 2014, 84, 1930–1933.] doi: 10.1134/S1070363214100119
- Курмаева Е.С., Чалова О.Б., Чистоедова Г.И., Лапука Л.Ф., Киладзе Т.К., Кантор Е.А., Рахманкулов Д.Л. ЖОрХ. 1985, 21, 131–135.
- Бочкор С.А., Лапука Л.Ф., Курмаева Е.С., Чалова О.Б., Злотский С.С., Рахманкулов Д.Л. ХГС. 1987, 607–608. [Bochkor S.A., Lapuka L.F., Kurmaeva E.S., Chalova O.B., Zlotskii S.S., Rakhmankulov D.L. Chem. Heterocycl. Compd. 1987, 23, 500–502.] doi: 10.1007/BF00476374
- Хажиев Ш.Ю., Хусаинов М.А., Халиков Р.А., Тюмкина Т.В., Мещерякова Е.С., Халилов Л.М., Кузнецов В.В. ЖОХ. 2019, 89, 197–201. [Kha-zhiev Sh. Yu., Khusainov M.A., Khalikov R.A., Tyumkina T.V., Meshcheryakova E.S., Khalilov L.M., Kuznetsov V.V. Russ. J. Gen. Chem. 2019, 89, 199–203.] doi: 10.1134/S0044460X19020057
- Лайков Д.Н., Устынюк Ю.А. Изв. РАН. Сер. хим. 2005, 804–810. [Laikov D.N., Ustynyuk Yu.A. Russ. Chem. Bull. Int. Ed. 2005, 54, 820–826.] doi 10.1007/ s11172-005-0329-x https://www.ccdc.cam.ac.uk/structures
- Хажиев Ш.Ю., Хусаинов М.А., Халиков Р.А., Катаев В.А., Тюмкина Т.В., Мещерякова Е.С., Халилов Л.М., Кузнецов В.В. ЖОрХ. 2020, 56, 9–15. [Khazhiev Sh. Yu., Khusainov M.A., Khalikov R.A., Kataev V.A., Tyumkina T.V., Meshcheryakova E.S., Khalilov L.M., Kuznetsov V.V. Russ. J. Org. Chem. 2020, 56, 1–6.] doi: 10.1134/S1070428020010017
- Хажиев Ш.Ю., Хусаинов М.А., Халиков Р.А., Катаев В.А., Тюмкина Т.В., Мещерякова Е.С., Халилов Л.М., Кузнецов В.В. ЖОрХ. 2021, 57, 1146–1153. [Khazhiev Sh. Yu., Khusainov M. A., Khalikov R.A., Kataev V.A., Tyumkina T.V., Meshcheryakova E.S., Khalilov L.M., Kuznetsov V.V. Russ. J. Org. Chem. 2021, 57, 1268–1274.] doi: 10.1134/S1070428021080054
- CrysAlisPRO, Oxford Diffraction /Agilent Technologies UK Ltd, Yarnton, England
- Sheldrick G. M. Acta Crystallogr. 2008, A64, 112–122. doi: 10.1107/S0108767307043930.
- Spek A.L. Acta Crystallogr. 2009, D65 148–155. doi: 10.1107/S09074 4 490804362X
- HyperChem 8.0. http://www.hyper.com.
- Perdew J.P., Burke K., Ernzerhof M. Phys. Rev. Lett. 1996, 77, 3865–3868. doi: 10.1103/PhysRevLett.77
- Laikov D.N. Chem. Phys. Lett. 1997, 281, 151–156. doi: 10.1016/S0 0 09- 2614(97)01206-2
- Schäfer A., Horn H., Ahlrichs R. J. Chem. Phys. 1992, 97, 2571–2577. doi: 10.1063/1.463096
- Бочкор С.А., Кузнецов В.В. Тенденции развития науки и образования. 2020, 64 (1), 142–145. doi: 10.18411/lj-08-2020-29
Дополнительные файлы










