Growth characteristics and growth potential of the blue king crab Paralithodes platypus in the Sea of Japan
- Authors: Artemenkov D.V.1, Borilko O.Y.2, Deminov A.N.2, Sologub D.O.1
-
Affiliations:
- Russian Federal Research Institute of Fisheries and Oceanography (VNIRO)
- Pacific branch of VNIRO (Pacific Research Institute of Fisheries and Oceanography)
- Issue: Vol 55, No 1 (2024)
- Pages: 17-26
- Section: Original study articles
- URL: https://ogarev-online.ru/0475-1450/article/view/272618
- DOI: https://doi.org/10.31857/S0475145024010028
- EDN: https://elibrary.ru/MFHMJL
- ID: 272618
Cite item
Full Text
Abstract
The blue king crab Paralithodes platypus (Brandt, 1851) is a widespread and abundant member of the family Lithodidae in the Pacific Ocean. However, its population size in the Sea of Japan is subject to strong fluctuations. Due to the low abundance of blue crab, its commercial fishery in the Sea of Japan has been prohibited since 2022. Therefore, the aim of the study was to evaluate the growth characteristics and growth potential of the blue king crab in the Sea of Japan relative to other aggregations of this species in the Sea of Okhotsk and the Bering Sea. The growth was studied according to the literature and our own data, which were collected on counting-trap surveys in the coastal regions of the Sea of Japan in 2011–2014. According to the Bertalanffy equation, male blue king crab in the Sea of Japan reach the carapace width CWinf = 193.5 mm, females – 162.1 mm. Comparison results of growth rate of the aggregation in the Sea of Japan showed significant differences with crabs off the Shantar Islands and eastern Sakhalin and did not note statistically significant differences in growth relative to aggregations in Shelikhov Bay and in the Bering Sea. Probably, first of all, such differences are the result of the complex influence of hydrological habitat conditions, food productivity of water areas, as well as competition, both interspecific and intraspecific.
Full Text
Введение
Синий краб Paralithodes. platypus (Brandt, 1851), наряду с камчатским крабом P. camtschaticus (Tilesius, 1815), является широко распространённым и многочисленным представителем семейства Lithodidae, поэтому вызывает большой интерес у исследователей. Этот вид обитает в бореальной сублиторали Тихого океана на глубинах от 10 до 500 метров (Кобликов и др., 2010). Опубликованные ранее исследования предоставляют данные об экологии, пищевом поведении и репродуктивных особенностях представителей рода Paralithodes, однако информация о росте крабов в определённых экологических условиях ограничена. (Левин, 2001; Лысенко, 2001а; Лысенко, 2001б; Пинчуков, Беренбойм, 2003; Лысенко, Гайдаев, 2005; Черниенко, 2010; Михеев, 2011; Filina, 2011; Herter et al., 2011; Федотов, Черниенко, 2019; Клинушкин, 2019; Клинушкин и др., 2021; Artemenkov et al., 2022). Высокая численность популяции синего краба в Японском море в 2020 и 2021 годах позволила вести его промысел, в результате которого было выловлено 303 и 84 тонны крабов, соответственно. Однако с 2022 года, когда популяция значительно сократилась, промысел был запрещён. Тем не менее, в настоящее время существуют многочисленные популяции синего краба, обнаруженные у Западной Камчатки и в западной части Берингова моря, где в период 2020–2022 гг. средний вылов составил 2881 и 4582 т соответственно (Моисеев и др., 2021; Моисеев и др., 2022).
Изучение популяций ракообразных осложняется тем, что у них наблюдается ступенчатый рост, связанный с изменением размеров карапакса после каждой линьки. Чтобы определить годовой прирост массы крабов, используют два показателя: прирост массы после линьки и частоту линек. (Клитин, 2003; Лысенко, Гайдаев, 2005). Исследование особенностей роста синего краба позволяет оценить его адаптивный потенциал в разных экологических условиях северных морей Пацифики. Также данные о росте крабов важны для анализа продукционных процессов в экосистемах и разработки математических моделей для оценки численности популяции (Дворецкий, 2011; Haddon, 2011; Mildenberger et al., 2017). Цель данного исследования – описание половой и возрастной структуры популяции синего краба в Японском море, а также анализ особенностей и потенциала его роста в сравнении с данными, полученными для популяций в Охотском и Беринговом морях, представленными в литературе.
Материалы и методы
Для изучения роста крабов были проведены измерения особей, которые пойманы в ходе учетно-ловушечных съемок в период с 2011 по 2014 гг. в северо-западной части Японского моря. Для ловли крабов использовались краболовные порядки, состоящие из 30 ловушек, имеющих форму усеченного конуса с шагом ячеи сети 60 мм (Japan Conic-0.7). Для биологического анализа крабов было исследовано 7.9 тыс. экземпляров, которые были пойманы на глубинах от 20 до 184 метров. Измерения ширины карапакса (ШК) производились с использованием штангенциркуля, с точностью до 1 мм, по наибольшему поперечному сечению головогруди (Низяев и др., 2006). Исследованы самцы и самки синего краба с шириной карапакса 59–215 мм. Также определяли пол, линочные стадии – у самцов и стадии зрелости икры – у самок.
Для анализа связи между шириной карапакса и массой краба были использованы данные о 2661 самцах и 3164 самках, точность измерения массы составляла 0.0005 кг. Зависимость между шириной карапакса и массой краба была описана степенным уравнением (1), где константы a и b являются коэффициентами.
(1)
Для сравнения разных периодов роста были определены половозрелость и стадии линьки крабов. Определение половозрелости самцов основано на измерении высоты клешни относительно ШК, а половозрелости самок – на увеличении доли половозрелых особей с увеличением размеров. Вероятность линьки была рассчитана по доле крабов ранних стадий линьки (Клинушкин, 2022; Artemenkov et al., 2022).
Произведены расчеты показателей линейного роста синего краба по уравнению (2), включая размеры ШК в когортах (CWt, мм), теоретическое предельное значение ШК (CWinf, мм), константу роста (К, год-1) и гипотетический возраст краба при ШК равной 0 (t0). Для расчетов был использован статистический пакет TropFishR в R, который дополняет метод ELEFAN (Electronic length frequency analysis) для анализа размерного распределения и определения параметров уравнения роста Берталанфи (R Core Team, 2016; Taylor, Mildenberger, 2017). Пакет TropFishR также использует алгоритмы оптимизации по генетическому алгоритму для поиска параметров в многомерном пространстве разных временных периодов, что позволяет определить пики и пробелы в распределении размерных частот и корректирует кривую роста, проходящую через максимальное их количество (Scrucca, 2013; Scrucca, 2016). Рассчитанное число пиков мы отождествляли с возрастной структурой крабов, так как для каждого из возрастов характерен пик нормального распределения.
(2)
Для сопоставления скоростей линейного роста синего краба в различных районах обитания был применен метод сравнения независимых выборок на основе t-критерия Стьюдента. Выборки из разных акваторий за период от 1 до 20 лет представляли собой значения ШК, вычисленные по уравнениям группового роста крабов. Метод сравнения независимых выборок также использовался для оценки статистических различий по глубине обитания крабов, которые помогли рассмотреть влияние абиотических факторов среды. Выборки состояли из частотного ряда глубин поимок того или иного числа особей крабов.
Результаты
Потенциал роста и линейный рост синего краба из Японского моря
Рост самцов и самок синего краба из Японского моря изучен с использованием метода ELEFAN, который позволил оптимизировать уравнения роста с помощью генетического алгоритма. Групповой рост описан уравнениями Берталанфи 3 и 4 (рис. 1). Результаты показали, что самцы синего краба, обитающие в Японском море, достигают в течение жизни большей предельной ширины карапакса (193.5 мм), чем самки из того же скопления (162.1 мм).
Рис. 1. Размерно-частотное распределение когорт синего краба в Японском море по ширине карапакса (length classes) и кривые роста (пунктирная линия) для самцов (а) и для самок (б).
Уравнение роста для скопления самцов синего краба в Японском море:
(3).
Такое же уравнение роста для самок:
(4).
Расчисление полученных уравнений роста по годам свидетельствуют о наиболее высоких темпах линейного роста у особей, не достигших половой зрелости. Поэтому наибольшие абсолютные годовые приросты ШК у самцов и самок синего краба из Японского моря наблюдаются в возрасте 1–6 лет. Значения ШК самцов в среднем за год прирастают на 14 мм, а масса тела самцов – на 56 г. У самок ШК в среднем за год увеличивается на 12.9 мм, а масса тела – на 58 г.
После наступления половой зрелости темпы линейного роста самцов и самок синего краба существенно уменьшаются, что, вероятно, связано с расходом энергии на процессы размножения. Самцы с 7 до 14 лет характеризуются приростами ШК от 5.2 до 10.7 мм (в среднем 7.7 мм), массы – от 137 до 169 г (160.1 г). Для самок характерно увеличение ШК за год от 4.1 до 9.6 мм (в среднем 6.5 мм), а массы – от 125 до 147 г (в среднем 139.1 г). Ввиду особенностей биологии самок синего краба и их линьки один раз в два года, можно рассчитать, что прирост за линьку составит в среднем 13.0 мм и 278.2 г.
Период роста с явными признаками физиологического старения у синего краба Японского моря начинает отмечаться при достижении ШК 150 мм, когда линька начинает происходить один раз в два года (Лысенко, 2001а; Клинушкин, 2022). Расчетные данные показывают, что линейный рост самцов в Японском море сильно замедляется с 15 по 20-е годы жизни. Снижаются приросты ШК (в среднем 3.7 мм) и массы тела (135.1 г). У самок в Японском море период старости также характеризуется минимальными приростами ШК (от 1.2 до 3.7 мм – в среднем 2.8 мм) и массы тела (от 76 до 117 г – в среднем 96 г).
Результатом оценки потенциала роста синего краба в Японском море вполне могут служить достигаемые размеры особей, которые обусловлены оптимальными гидрологическими условиями обитания, уровня конкуренции и пищевой продуктивности акваторий. Самцы синего краба в Японском море достигают половозрелости на 7 году жизни при размере 94.8 мм и почти не отличаются от особей в зал. Шелихова (92.0 мм). Так, если рассмотреть размерные ряды, характерные для этих двух скоплений, полученные по уравнениям роста, достоверных различий не наблюдается (t = 0.262 при p < 0.795) (табл. 1). Также значимых отличий не наблюдается между ростом самцов в Японском и Беринговом морях (t = –1.274 при p < 0.213). Однако самцы синего краба в Беринговом море к 5 годам вырастают до 95.9 мм и, вероятно, становятся половозрелыми раньше, чем особи в скоплениях в зал. Шелихова и Японском море.
Таблица 1. Размеры самцов синего краба разного возраста для разных скоплений в морях северной Пацифики, мм*
Возраст, лет | Синий краб | ||||
Японское море | Охотское море, у ос-ва Сахалина (Михеев, 2011) | Охотское море, у Шантарских островов (Artemenkov et al., 2022) | Охотское море, в заливе Шелихова (Artemenkov et al., 2022) | Берингово море (Федотов, Черниенко, 2019) | |
1 | 10,4 | 34,0 | 4,9 | 9,6 | 23,5 |
2 | 28,3 | 65,4 | 12,5 | 27,7 | 45,7 |
3 | 44,5 | 90,6 | 19,5 | 43,8 | 64,9 |
4 | 59,1 | 110,8 | 26,2 | 58,1 | 81,5 |
5 | 72,2 | 127,0 | 32,5 | 70,7 | 95,9 |
6 | 84,1 | 140,1 | 38,4 | 82,0 | 108,4 |
7 | 94,8 | 150,5 | 43,9 | 92,0 | 119,2 |
8 | 104,5 | 158,9 | 49,1 | 100,9 | 128,6 |
9 | 113,2 | 165,6 | 54,0 | 108,8 | 136,7 |
10 | 121,0 | 171,0 | 58,6 | 115,8 | 143,7 |
11 | 128,1 | 175,4 | 62,9 | 122,0 | 149,8 |
12 | 134,5 | 178,9 | 67,0 | 127,6 | 155,0 |
13 | 140,3 | 181,7 | 70,8 | 132,5 | 159,6 |
14 | 145,5 | 183,9 | 74,4 | 136,8 | 163,5 |
15 | 150,2 | 185,7 | 77,8 | 140,7 | 167,0 |
Примечание. * – размеры крабов ранних возрастов определены по уравнениям роста, которые получены на основании фактических данных научных уловов (Японское море – данные настоящего исследования).
Самцы из скопления у ос-ва Сахалина, которые к 4-му году вырастают уже до 110,8 мм (t = –2.755 при p < 0.010), достоверно раньше достигают половой зрелости. В то же время, самцы синего краба из скопления у Шантарских о-вов достигают половой зрелости значительно позже, лишь к 14 году и размеру 74.4 мм (t = 3.809 при p < 0.001). Конечно, такие отличия являются результатом комплексного влияния гидрологических условий обитания, пищевой продуктивности акваторий, а также конкуренции как межвидовой, так и внутривидовой.
Половая и размерно-возрастная структура самцов и самок
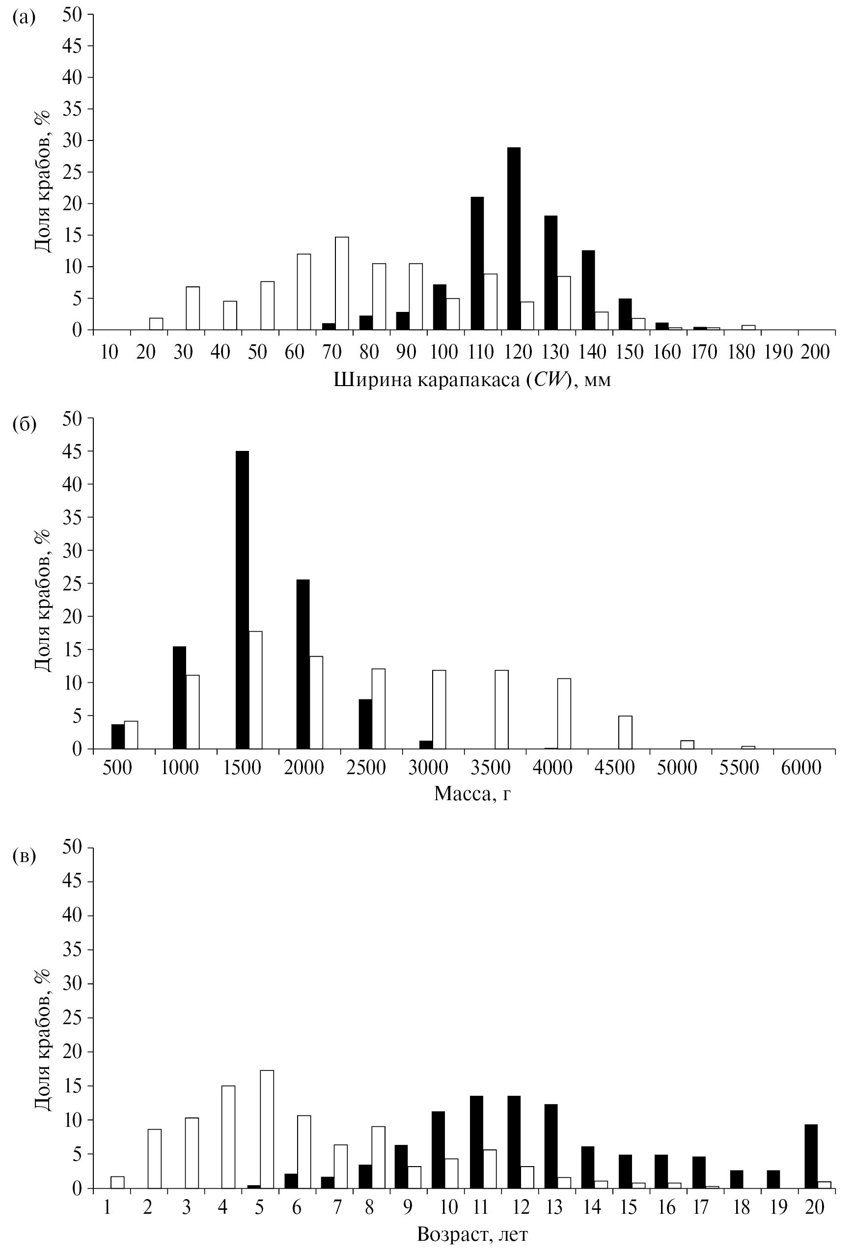
В акватории исследований Японского моря с 2011 по 2014 гг. соотношение полов в уловах P. platypus смещено в сторону самок и составляет 1.00: 0.90. При этом отличие от соотношения 1: 1 статистически значимо (χ2 = 373, df = 19, p < 0.05). В возрасте от 10+ до 13+ доля самок достигает 68% в среднем, далее происходит выравнивание соотношения, а с возраста 18+ доля самцов выше (62% в среднем). В уловах отмечены самки, имеющие ШК 66–186 (в среднем 125.1 ± 0.2) см, и самцы с ШК 69–215 (в среднем 146.5 ± 0.5) см (рис. 2а). Обнаружена достоверность различия распределения ширины карапакса в зависимости от пола (t = 39.74 при p ≤ 0.001). Для самок основу уловов (50%) во все годы составляли особи с шириной карапакса 11–12 см, а для самцов (45%) – 15–18 см.
Рис. 2. Распределение особей синего краба, выловленных в период исследований в Японском море с 2011 по 2014 гг, по ширине карапакса (а), массе (б) и возрасту (в); отдельно представлены данные по самкам (▪) и самцам (▫).
Масса самок находилась в пределах 0.075–4.010 (1.423 ± 0.008) кг, а самцов – 0.200–5.560 (2.273 ± 0.022) кг (рис. 2б). Также обнаружена достоверность различия массы в зависимости от пола (t = 36.33 при p ≤ 0.001). Пересчет возраста самок и самцов (рис. 2в) по уравнению роста позволил вычислить средний возраст 13.0 ± 0.06 и 14.5 ± 0.08 лет соответственно, где отмечается достоверность различий распределения возраста в зависимости от пола (t = 15.00 при p ≤ 0.001).
В период исследований было обнаружено, что в Японском море глубина, на которой обитали самцы синего краба, значительно отличалась от глубины обитания самок (t = 24.050 при p ≤ 0.001) (табл. 2). Хотя мода или глубина наиболее частых поимок у самцов и самок в Японском море одинакова (79 м).
Таблица 2. Распределение самцов и самок синего краба по глубинам в Японском и Охотском морях с 2011 по 2015 гг., м
Пол | Район | Сезон сбора материалов | Число отловленных особей на глубинах, экз. | Глубина поимок, м | Среднее значение и стандартная ошибка | Стандартное отклонение | Мода | |
Мин. | Макс. | |||||||
Самцы | Японское море | Весеннее | 3767 | 20 | 184 | 86.6±0.5 | 32.5 | 79 |
Охотское море (Artemenkov et al., 2022) | Весеннее | 15476 | 97 | 428 | 259.6±0.7 | 88.9 | 340 | |
Летнее | 5037 | 96 | 368 | 173.1±0.8 | 61.1 | 156 | ||
Самки | Японское море | Весеннее | 4208 | 20 | 184 | 71.2±0.4 | 27.7 | 79 |
Охотское море (Artemenkov et al., 2022) | Весеннее | 6297 | 97 | 406 | 138.9±0.7 | 58.9 | 110 | |
Летнее | 897 | 96 | 368 | 107.4±1.0 | 30.2 | 96 | ||
Линейные и весовые характеристики особей связаны аллометрической зависимостью (табл. 4). У крабов из скопления в Японском море показано, что отрицательная аллометрическая зависимость (b < 3) характеризует весовой рост. Показатель степени b (2.87) размерно-весового уравнения несколько выше в Японском море у самцов, чем у самок (2.77). Наибольшая масса самцов крабов, отмеченная в Японском море, составила 5.56 кг при ШК 204 мм. При этом в период учётных съёмок максимальная ШК самцов в Японском море составила 215 мм.
Обсуждение
Рост самцов и самок синего краба в Японском море описывается уравнениями Берталанфи, а масса особей – аллометрической зависимостью. Описание роста по периодам неполовозрелости, наступления половой зрелости и старости выполнено с учетом ранее описанных особенностей биологии синего краба (Artemenkov et al., 2022). Для этого были учтены значения ШК, при которых начинают отмечаться половозрелые особи самцов и самок. Частота линек у взрослых особей крабов снижается с возрастом, поэтому также учтена величина ШК, при которой линька происходит один раз в два года.
Как видно из уравнений Берталанфи, размеры крабов в Японском море относительно скопления в зал. Шелихова значимо не отличаются (табл. 1). При этом глубины обитания крабов в период весны существенно разные. Самцы в Охотском море наиболее часто встречаются на глубине 340 м, а в Японском море – на глубине 79 м (t = 187.641 при p ≤ 0.001). Кроме того, более узкий диапазон глубин, на которых обитают самцы синего краба в Японском море, от 20 до 184 м, говорит о том, что они там распределены более локально, чем в Охотском море, где крабы встречаются на глубинах 97–428 м (Artemenkov et al., 2022). Аналогично выглядит весеннее распределение самок синего краба по глубинам. В итоге, в Охотском море самцы и самки встречаются на более глубоких изобатах (от 97 до 428 м для самцов и от 97 до 406 м для самок), чем в Японском море (от 20 до 184 м для обоих полов).
Отличия в батиметрическом распределении скоплений синего краба в Японском и Охотском морях связаны, в первую очередь, с гидрологическими условиями районов обитания. В весенний и летний периоды в Японском море синий краб распределяется в узкой прибрежной полосе более теплых вод, где за счет интенсивной конвекции поверхностный изотермический слой достигает толщины до 200–250 м и температуры 1–2,5 °C (Шунтов, 2001). В Японском море холодный промежуточный слой слабо трансформируется. Обратная ситуация наблюдается в заливе Шелихова, где холодный промежуточный слой размывается со стороны Западной Камчатки за счет активного динамического перемешивания вод. Со стороны глубоководного желоба происходит приток глубинных теплых вод северной ветви Западно-Камчатского течения (Чернявский, 1992), которые выходят из желоба на шельф залива Шелихова и размывают холодный слой. За счет этих процессов в весенний и летний периоды придонный слой на прикамчатском шельфе залива Шелихова имеет положительные значения температуры, что позволяет синему крабу обитать в широком диапазоне глубин.
Различия в структуре вод влияют и на миграционную активность синего краба в Японском и Охотском морях. У Западной Камчатки воды имеют трехслойную структуру: верхний квазиоднородный слой толщиной до 30–40 м, холодный промежуточный слой, и, подстилающий его слой с глубинными более теплыми океаническими водами, проникающими в Охотское море через Курильские проливы. Это приводит к тому, что на прикамчатском шельфе в заливе Шелихова половозрелые особи синего краба совершают продолжительные сезонные миграции. Весной и летом крабы смещаются на небольшие глубины, где происходит их откорм и нерест при наилучших условиях для развития икры и выхода личинок, затем крабы мигрируют на глубины, где пережидают зиму. Таким образом, происходят циклические миграции с глубины на мелководье и наоборот, благодаря которым крабы выбирают наиболее благоприятные пищевые и гидрологические условия. Скопление синего краба в Японском море обитает на узком шельфе с крутым материковым склоном, где отсутствуют ярко выраженные градиенты водных масс. Это позволяет легко проникать на значительную глубину до 400 м и возвращаться с неё (Букин и др., 1988).
Различия шельфа, глубин обитания и физико-химических свойств воды, а также других особенностей экологических условий в каждом из регионов, безусловно, влияют на изменчивость морфологических параметров краба. Так, между скоплениями Японского моря и зал. Шелихова наблюдаются различия в средних размерах особей. В Японском море ШК самцов колеблется от 69 до 215 мм, в среднем составляя 146.5±0.5 мм, что существенно отличается от самцов Охотского моря (Artemenkov et al., 2022), средняя ШК которых составляет 132.4±0.1 мм (t = 21.674 при p ≤ 0.001). Следовательно, популяция крабов Японского моря представлена относительно большей долей крупных особей (табл. 3).
Таблица 3. Средние многолетние вариации ширины карапакса (мм) самцов и самок синего краба в Японском и Охотском морях с 2011 по 2015 гг.
Пол | Район | Мин. | Макс. | Среднее значение и стандартная ошибка | Стандартное отклонение | Мода |
Самцы | Японское море | 69 | 215 | 146.5±0.5 | 29 | 177 |
Охотское море (Artemenkov et al., 2022) | 73 | 192 | 132.4±0.1 | 18 | 137 | |
Самки | Японское море | 66 | 186 | 125.1±0.2 | 16.2 | 118 |
Охотское море (Artemenkov et al., 2022) | 59 | 139 | 100.8±0.1 | 9.4 | 97 |
Таблица 4. Анализ зависимости между шириной карапакса и массой тела самцов и самок синего краба в Японском и Охотском морях с 2011 по 2015 гг.
Пол | Район | ШК максимальная, мм | Уравнение зависимости |
Самцы | Японское море | 215 | W = 10–3 1.2 CW2.8703 |
Охотское море (Artemenkov et al., 2022) | 198 | W = 10–3 1.0 CW2.8808 | |
Самки | Японское море | 186 | W = 10–3 2.0 CW2.7738 |
Охотское море (Artemenkov et al., 2022) | 155 | W = 10–3 5.9 CW2.5058 |
Тем не менее, большая численность характерна для скоплений синего краба в зал. Шелихова, а не в Японском море (Моисеев и др., 2021). Вероятно, этому способствуют оптимальные гидрологические условия, большая площадь шельфа, богатая пищевая продуктивность акваторий зал. Шелихова (Кобликов и др., 1990; Шунтов, 2001). Исследователи, изучавшие бентос континентального шельфа Охотского моря, отметили, что в заливе Шелихова, за счет его большой площади, сосредоточено более четверти всего запаса шельфовой донной фауны Охотского моря. При этом средняя биомасса составляет 548 г/м2 с преобладанием двустворчатых моллюсков, усоногих ракообразных и серых морских ежей. Среднее значение биомассы бентоса на североохотоморском шельфе также довольно велико: 359 г/м2, с преобладанием двустворчатых моллюсков и иглокожих. Японское море характеризуется преобладанием двустворчатых моллюсков, брахиопод, а также, морских ежей. Средняя биомасса бентоса здесь составляет 186 г/м2.
В экосистемах морских сообществ конкурентные отношения между гидробионтами являются одним из факторов, влияющих на их распределение, разнообразие и обилие. Например, Моисеев с соавторами отмечали, что в 2013 г. численность скопления промысловых особей синего краба в зал. Шелихова (1006 экз./км2) была выше, чем в Японском море (247 экз./км2), что обуславливало большую плотность особей, а следовательно, более высокую внутривидовую конкуренцию (Моисеев и др., 2021). Кроме того, в Японском море соотношение численности самцов синего и камчатского крабов достигает 1 к 9, а в зал. Шелихова – 10 к 4. Таким образом, хотя конкуренция между крабами может играть важную роль в экосистемах морских сообществ и влиять на их рост, необходимо учитывать множество других факторов. Так, сильное выхолаживание вод сильно тормозит рост синего краба из скопления у Шантарских о-вов (Мельник и др., 2014). Кроме того, стоит отметить, что причиной высокого уровня травматизма мелких особей Paralithodes обычно является пресс хищников, а для более крупных особей большее влияние на численность оказывает промысел (Соколов, Милютин, 2006). Так, в Японском море можно отметить достаточно высокую нагрузку со стороны водолазов-любителей и донного тралового промысла тресковых рыб, тогда как для залива Шелихова характерна меньшая доступность акваторий и наличие сложных грунтов, не позволяющих вести траловой промысел донных рыб (Шунтов, 2001; Калчугин и др., 2016).
Заключение
Характер роста синего краба различается в Японском, Охотском и Беринговом морях. Потенциал роста популяции краба в Японском море сопоставим с показателями, отмеченными для высокочисленных скоплений в заливе Шелихова и западной части Берингова моря. Однако численность крабов в Японском море значительно меньше, чем в заливе Шелихова и западной части Берингова моря. Вероятно, помимо конкурентных взаимоотношений между синим и камчатским крабом, увеличению численности синего краба в Японском море мешает чрезмерное промысловое воздействие, включающее незаконный промысел (ННН-промысел).
Благодарности
Мы признательны Р. Н. Буруковскому за замечания по тексту. Также авторы выражают благодарность сотрудникам, собравшим и предоставившим данные из Японского моря (ТИНРО).
Финансирование работы
Данная работа подготовлена основании ежегодного мониторинга и выполнения государственного задания Минобрнауки РФ в 2011–2014 гг.
Соблюдение этических стандартов
Все применимые международные, национальные и/или институциональные принципы использования животных в экспериментах и условия ухода за ними были соблюдены.
Конфликт интересов
Авторы заявляют, что какой-либо конфликт интересов отсутствует.
Информация о вкладе авторов
Артеменков Д. В. – проведение размерно-частотного анализа и расчёт темпов роста синего краба, статистический и сравнительный анализ, написание и подготовка рукописи; Борилко О. Ю., Деминов А. Н., Сологуб Д. О. – сбор биоматериала, интерпретация результатов, написание и редактирование рукописи. Все авторы участвовали в обсуждении результатов.
About the authors
D. V. Artemenkov
Russian Federal Research Institute of Fisheries and Oceanography (VNIRO)
Author for correspondence.
Email: dmitriy.artemenkov@gmail.com
Russian Federation, Okruzhnoy proezd 19, Moscow, 105187
O. Y. Borilko
Pacific branch of VNIRO (Pacific Research Institute of Fisheries and Oceanography)
Email: dmitriy.artemenkov@gmail.com
Russian Federation, Shevchenko lane 4, Vladivostok, 690091
A. N. Deminov
Pacific branch of VNIRO (Pacific Research Institute of Fisheries and Oceanography)
Email: dmitriy.artemenkov@gmail.com
Russian Federation, Shevchenko lane 4, Vladivostok, 690091
D. O. Sologub
Russian Federal Research Institute of Fisheries and Oceanography (VNIRO)
Email: dmitriy.artemenkov@gmail.com
Russian Federation, Okruzhnoy proezd 19, Moscow, 105187
References
- Букин С. Д., Мясоедов В. И., Низяев С. А. и др. Динамика пространственного распределения и некоторые особенности биологии синего краба северной части Тихого океана // Морские промысловые беспозвоночные. Сборник научных трудов. М.: ВНИРО. 1988. С. 4–16.
- Дворецкий А. Г. Модель роста молоди камчатского краба в Баренцевом море // Тр. Зоологического института РАН. 2011. Т. 315. № 1. С. 75–84.
- Калчугин П. В., Бойко М. И., Соломатов С. Ф. и др. Современное состояние ресурсов донных и придонных видов рыб в российских водах Японского моря // Известия ТИНРО. 2016. Т. 184. № 1. С. 54–69. doi: 10.26428/1606–9919–2016–184–54–69
- Клинушкин C. В. Плодовитость синего краба в северной части Охотского моря // Тр. ВНИРО. 2019. Т. 175. С. 36–47.
- Клинушкин C. В., Харитонов А. В., Диденко Д. C. Внутривидовая морфологическая изменчивость синего краба северной части Охотского моря // Тр. ВНИРО. 2021. Т. 185. С. 22–31. doi: 10.36038/2307–3497–2021–185–22–31
- Клинушкин С. В. Размер половозрелости синего краба Paralithodes platypus в северной части Охотского моря // Исследования водных биологических ресурсов Камчатки и северо-западной части Тихого океана. 2022. № 64. С. 34–39.
- Клитин А. К. К вопросу об определении возраста камчатского краба (Paralithodes camtschaticus) // Тр. СахНИРО. 2003. Т. 5. С. 133–145.
- Кобликов В. Н., Борилко О. Ю., Пономарев С. С. О росте численности синего краба (Paralithodes platypus) в заливе Петра Великого (Японское море) // Изв. ТИНРО. 2010. Т. 16. С. 68–78.
- Кобликов В. Н., Павлючков В. А., Надточий В. А. Бентос континентального шельфа Охотского моря: состав, распределение, запасы // Изв. ТИНРО. 1990. Т. 111. С. 27–38.
- Левин В. С. Камчатский краб Paralithodes camtschaticus. Биология, промысел, воспроизводство. СПб.: Ижица, 2001. 198 с.
- Лысенко В. Н. Особенности биологии самок синего краба Paralithodes platypus в северо-восточной части Охотского моря // Изв. ТИНРО. 2001б. Т. 128. Ч. 2. С. 523–532.
- Лысенко В. Н. Особенности линьки камчатского краба (Paralithodes camtschaticus) на западнокамчатском шельфе // Исследования биологии промысловых ракообразных и водорослей морей России. Сб. науч. тр. М.: ВНИРО. 2001а. С. 111–119.
- Лысенко В. Н., Гайдаев В. Э. Рост камчатского краба (Paralithodes camtschaticus) в северной части западнокамчатского шельфа // Изв. ТИНРО. 2005. Т. 143. С. 119–127.
- Мельник А. М., Абаев А. Д., Васильев А. Г. и др. Крабы и крабоиды северной части Охотского моря. Магадан: МагаданНИРО, 2014. 198 с.
- Михеев А. А. Возрастная детерминация размерного состава улова на основе разделения смеси вероятностных распределений // Исслед. водн. биол. ресурсов Камчатки и сев.-зап. части Тихого океана. 2011. Вып. 22. С. 77–91.
- Моисеев С. И., Сологуб Д. О., Слизкин А. Г. и др. Динамика индексов состояния запаса синего краба в западной части Берингова моря в 2005–2021 гг. // Тр. ВНИРО. 2022. Т. 187. С. 18–32. doi: 10.36038/2307–3497–2022–187–18–32
- Моисеев С. И., Сологуб Д. О., Шагинян Э. Р. Индекс относительной численности как оперативная оценка состояния запаса синего краба в заливе Шелихова Охотского моря // Тр. ВНИРО. 2021. Т. 185. С. 5–21. doi: 10.36038/2307–3497–2021–185–5–21
- Низяев С. А., Букин С. Д., Клитин А. К. и др. Пособие по изучению промысловых ракообразных дальневосточных морей России. Южно-Сахалинск: СахНИРО, 2006. 114 с.
- Пинчуков М. А., Беренбойм Б. И. Линька и рост камчатского краба в Баренцевом море // Камчатский краб в Баренцевом море. 2-е изд., перераб. и доп. Мурманск: ПИНРО, 2003. С. 100–106.
- Соколов В. И., Милютин Д. М. Повреждения ног у камчатского краба Paralithodes camtschaticus в российской части Баренцева моря // Современное состояние популяций крабов Баренцева моря и их взаимодействие с донными биоценозами: Сборник научных трудов. Мурманск: Север. 2006. С. 98–100.
- Федотов П. А., Черниенко И. С. Размерный состав и темпы роста самцов синего краба (Paralithodes platypus Brandt, 1850) в российском секторе Берингова моря // Изв. ТИНРО. 2019. Т. 196. С. 81–89. doi: 10.26428/1606–9919–2019–196–81–89
- Черниенко И. С. Рост камчатского краба Рaralithodes camtschaticus в северо-западной части Охотского моря // Изв. ТИНРО. 2010. Т. 163. С. 1–25.
- Чернявский В. И. Изменчивость ядра холода и прогноз моря // Океанол. основы биол. продуктив. сев.-зап. части Тихого океана. Владивосток: ТИНРО, 1992. С. 104–115.
- Шунтов В. П. Биология дальневосточных морей России. Владивосток: Тихоокеанский научно-исследовательский рыбохозяйственной центр (ТИНРО-центр). 2001. Т 1. 580 с.
- Artemenkov D. V., Klinushkin, S.V., Kharitonov, A.V. et al. Growth Features of Blue King Crab Paralithodes platypus in the Northern Part of the Sea of Okhotsk // Russ. J. Dev. Biol. 2022. № 53. P. 333–349. doi: 10.1134/S1062360422050022
- Filina E. A. Spermatogenesis and physiological maturity of male red king crab (Paralithodes camtschaticus, Tilesius 1815) and snow crab (Chionoecetes opilio Fabricius, 1788) in the Barents Sea // Marine Biology Research. 2011. V. 7. P. 289–296. doi: 10.1080/17451000.2010.497188
- Haddon M. Modelling and Quantitative Methods in Fisheries. 2nd ed. London: Chapman & Hall CRC Press, 2011. 449 p.
- Herter H., Daly B., Swingle J. S. et al. Morphometrics, Fecundity, and Hatch Timing of Blue King Crabs (Paralithodes platypus) from the Bering Strait // Journal of Crustacean Biology. 2011. V. 31. № 2. P. 304–312. doi: 10.1651/10–3348.1
- Mildenberger T. K., Taylor M. H., Wolff M. TropFishR: an R package for fisheries analysis with length-frequency data // Methods in Ecology and Evolution. 2017. V. 8. № . 11. P. 1520–1527. doi: 10.1111/2041–210X.12791
- R Core Team. R: A language and environment for statistical computing. R Foundation for Statistical Computing. Vienna. Austria. 2016. [Electronic resource]. – URL: http://www.R-project.org/ Date of access: 11.02.2022.
- Scrucca L. GA: A Package for Genetic Algorithms in R // Journal of Statistical Software. 2013. V. 53. № 4. P. 1–37. doi: 10.18637/jss.v053.i04
- Scrucca L. On some extensions to GA package: hybrid optimization, parallelization and islands evolution. arXiv: 1605.01931. 2016. [Electronic resource]. – URL: http:// www.arxiv.org/abs/1605.01931 Date of access: 15.02.2022.
- Taylor M. H., Mildenberger T. K. Extending electronic length frequency analysis in R // Fish Manag. Ecol. 2017. V. 24. P. 330–338. doi: 10.1111/fme.12232
Supplementary files




