Structure and Activity of Catalytic Systems Synthesized by Precipitation in Subcritical Water in the Fischer–Tropsch Liquid-Phase Synthesis
- Autores: Markova M.E.1,2, Stepacheva A.A.1, Bykov A.V.1, Larichev Y.V.3, Doluda V.Y.1, Tkachenko O.P.4, Sulman M.G.1
-
Afiliações:
- Tver State Technical University
- Tver State University
- Boreskov Institute of Catalysis SB RAS
- N.D. Zelinsky Institute of Organic Chemistry RAS
- Edição: Volume 65, Nº 5 (2024)
- Páginas: 551-565
- Seção: ПАМЯТИ ОЛЕГА НАУМОВИЧА ТЕМКИНА
- URL: https://ogarev-online.ru/0453-8811/article/view/284001
- DOI: https://doi.org/10.31857/S0453881124050057
- EDN: https://elibrary.ru/QVMMUE
- ID: 284001
Citar
Texto integral
Resumo
Modern developments in the field of creating fuels from alternative sources are aimed at producing liquid gasoline-type hydrocarbons with high yield. Fischer–Tropsch synthesis (FTS) is a well–known method for more than a hundred years that allows to obtain a wide range of hydrocarbons from carbon and hydrogen oxides. In this work, three metal-containing catalytic systems deposited on super-crosslinked polystyrene (HPS) have been synthesized (2% Fe– HPS, 1% Ru– HPS and 2% Fe–1% Ru– HPS) by precipitation in subcritical water, and their catalytic effect in the process of liquid-phase FTS was studied. The addition of Ru to the Fe-containing catalyst leads to an increase in the dispersion of active phase particles and, consequently, an increase in the activity of the catalytic system. The bimetallic catalyst 2% Fe–1% Ru–HPS showed a catalytic activity 1.5 times higher than that of the sample 2%Fe–HPS, selectivity with respect to alkanes C5–C11 was 98.5 mol. %. Based on data from kinetic experiments and physico-chemical studies of the bimetallic catalyst, a scheme for the liquid phase process was proposed. the Fischer–Tropsch synthesis.
Texto integral
ВВЕДЕНИЕ
Синтез углеводородов из оксида углерода и водорода является в настоящее время одним из наиболее актуальных процессов. Процесс Фишера–Тропша (СФТ) позволяет получать газообразные, жидкие и твердые углеводороды с различным числом атомов углерода. Современные исследования сосредоточены главным образом на производстве жидких бензиновых углеводородов с высоким выходом, поэтому ученые работают над созданием новых высокоэффективных и стабильных катализаторов для СФТ [1, 2]. Хотя этот процесс был разработан более 100 лет назад, в последние десятилетия интерес к нему возрос [3–5] из-за истощения природных энергетических ресурсов и необходимости снижения экологического воздействия на окружающую среду [6–9].
Процесс СФТ представляет собой реакцию полимеризации мономерных блоков, образованных из водорода и монооксида углерода на поверхности катализатора. Состав продуктов зависит от условий проведения процесса и типа катализатора [10]. Реакции (I)–(IV) в синтезе Фишера–Тропша протекают одновременно.
Алканы: (I)
Алкены: (II)
Спирты: (III)
Карбонилы: (IV)
Отдельно рассматривают реакцию образования метана как нежелательного продукта синтеза Фишера–Тропша. Она протекает по уравнению (V):
(V)
C повышением температуры процесса скорость образования метана возрастает.
В процессе синтеза Фишера–Тропша также идет реакция конверсии водяного газа (уравнение (VI)), которая является обратимой и в зависимости от условий протекания процесса, соотношения Н2/СО и используемого активного металла может приводить либо к образованию воды, либо к увеличению выхода СО2:
(VI)
Известные механизмы СФТ основаны на способностях частиц активной фазы катализатора хемосорбировать монооксид углерода в ассоциативной или диссоциативной форме. В зависимости от структуры образованных мономерных звеньев и поверхностных реакций, происходящих на каталитически активных частицах, различают карбеновый механизм, внедрение СО, гидроксикарбеновый механизмы и алкилиденовый механизм [11]. В литературе эти схемы рассматриваются при использовании монометаллических катализаторов и в газофазном режиме.
В последнее время наблюдается тенденция модифицировать каталитические системы с помощью металлов. Для железосодержащих катализаторов наиболее часто используемыми промоторами являются ионы щелочных металлов, которые воздействуют на электронную структуру железа, стимулируют хемосорбцию CO и замедляют адсорбцию H2, снижая скорость процесса Фишера–Тропша, но увеличивая молекулярную массу получаемых продуктов и выход олефинов. Также было обнаружено, что ионы Na+ и K+ повышают активность железных катализаторов как в процессе Фишера–Тропша, так и в конверсии водяного пара. Cs+, Rb+ и Li+, в свою очередь, при низком содержании CO могут выступать в роли каталитических ядов [12–14]. Положительное влияние марганца на железные катализаторы заключается в увеличении дисперсности металла и повышении селективности в отношении легких алкенов [15, 16].
При добавлении калия в катализаторы на основе железа возрастает скорость и изменяется распределение продуктов реакции Фишера–Тропша, что приводит к росту содержания альдегидов и разветвленных углеводородов, а также подавляются процессы гидрирования и изомеризации олефинов. Кроме того, снижается образование метанола.
Введение меди и рутения увеличивает плотность активных центров, уменьшая расстояние для диффузии кислорода в кристаллической решетке Fe2O3 при переходе от оксида к карбиду, что обеспечивает более высокую стационарную скорость в газофазном синтезе Фишера–Тропша [17–19]. Важно отметить, что модификация поверхности этими металлами понижает температуру восстановления частиц железа, предотвращая их спекание и повышая стабильность катализатора [20–22].
Хотя допированные системы на основе железосодержащих частиц достаточно хорошо изучены в газофазном процессе, сведений о их поведении в жидкофазном синтезе недостаточно. В настоящей работе методом осаждения в субкритической воде были синтезированы три металлсодержащие каталитические системы: 1% Ru–СПС, 2% Fe–СПС, 2% Fe–1% Ru–СПС. Каталитическое действие полученных систем было изучено в процессе жидкофазного СФТ. Несмотря на широкую распространенность газофазного процесса, жидкофазный СФТ имеет множество преимуществ, среди которых возможность эффективного теплоотвода вследствие высокой экзотермичности реакции, ингибирование побочных процессов и деактивации катализатора, а также возможность получения разветвленных углеводородов за счет реадсорбции низкомолекулярных продуктов и их включение в механизмы роста цепи.
ЭКСПЕРИМЕНТАЛЬНАЯ ЧАСТЬ
Синтез каталитических систем
Нефункционализированный сверхсшитый полистирол (СПС) MN-270 (Macronet MN-270, Purolight Inc., Великобритания), предварительно промытый ацетоном и высушенный при температуре 70 ± 1°C в течение 8 ч, иcпользовали в качестве носителя для получения каталитических систем. Синтез катализаторов проводили в реакторе высокого давления Parr-4307 из нержавеющей стали (“Parr Instrument”, США). В колбу реактора помещали 1.000 г подготовленного носителя с размером гранул 60–80 мкм и 15 мл дистиллированной воды с расчетными количествами прекурсора металла и минерализатора (NaНCO3, “Х.Ч.”, “Реахим”, Россия). При синтезе биметаллических систем соли-предшественники металлов загружались в реактор одновременно. В качестве прекурсоров металлов применяли гексагидрат нитрата железа(III) и дигидрат гидроксохлорида рутения(IV) (оба производства ООО “Аурат”, Москва, Россия). Условия синтеза были выбраны в соответствии с нашими предыдущими работами [23, 24]. Реактор герметизировали и трижды продували азотом, а затем азот заменяли водородом. Реакционную смесь нагревали до 200 ± 5°C при давлении водорода 6.0 ± 0.1 МПа и перемешивали при 750 об/мин в течение 15 мин. Сразу по окончании процесса осаждения давление в реакторе снижали и охлаждали его до комнатной температуры. Реакционную массу отфильтровывали и промывали дистиллированной водой для удаления хлорид- или нитрат-ионов. Полученные каталитические системы высушивали на воздухе при температуре 120 ± 5°C в течение 12 ч.
Характеризация образцов
Удельную площадь поверхности, пористость и распределение пор по размерам синтезированных образцов определяли методом низкотемпературной адсорбции азота с использованием Beckman CoulterTM SA 3100TM (“Coulter Corporation”, США). Перед анализом образцы дегазировали в аппарате Beckman CoulterTM SA-PREPTM (“Coulter Corporation”, США) при температуре 120°C в вакууме в течение 1 ч. В ходе анализа применяли следующие модели: Ленгмюра, Брунауэра–Эммета–Теллера (БЭТ), Баррета–Джойнера–Халенды, t-график. Распределение пор рассчитывали по уравнению Харкинса–Юра.
Для оценки размера и распределения частиц применяли метод малоуглового рассеяния рентгеновских лучей (МУРР). Для получения данных МУРР использовали микродифрактометр S3 MICRO (“Hecus”, США) с точечной коллимацией и медным излучением (CuKα, 50 Вт). Рентгенограммы регистрировали в интервале векторов q от 0.01 до 0.6 Å–1, где q = 4πsinθ/λ. Образцы для исследования помещали в 1.5 мм стеклянный капилляр с толщиной стенок 0.01 мм. Для исключения влияния остаточного рассеяния от пористого СПС образец пропитывали по влагоемкости контрастером с заведомым избытком [25]. Для каждого образца подходящую плотность подбирали экспериментально. Полученные данные обрабатывали с помощью программного обеспечения ATSAS с использованием сферического форм-фактора.
Состав поверхности образцов определяли методом рентгеновской фотоэлектронной спектроскопии на спектрометре ЭС 2403 М-Т (СКБ АП РАН), оснащенного анализатором энергий PHOIBOS 100-5MCD (“Specs”, Германия) и источника рентгеновских лучей XR-50 (“Specs”, Германия). Для фотоэлектронного возбуждения применяли характеристическое MgKα-излучение (hν = 1253.6 эВ). Мощность источника излучения – 250 Вт. Спектры записывали при давлении 2 × 10–6 Па с предварительно дегазированных в сверхвысоком вакууме образцов [26]. В качестве референтного пика был использован пик C1s (285.0 эВ). Обзорные спектры регистрировали с шагом по энергии 0.5 эВ при энергии пропускания анализатора 40 эВ. Спектры высокого разрешения регистрировали с шагом по энергии 0.05 эВ при энергии пропускания анализатора 7 эВ, что соответствует полной ширине на половине высоты фотоэлектронного пика Ag3d5/2 (0.85 эВ). Математическое моделирование полученных данных проводили с применением программного обеспечения Casa XPS.
Рентгенограммы были получены на дифрактометре “ARL X'TRAA” (“Thermo Fisher Scientific”, Швейцария) с использованием излучения CuKα (длина волны 1.5418 Å). Анализ осуществляли в диапазоне 2θ от 10° до 90° с интервалом 0.05°. Время интегрирования составляло 5 с. Области когерентного рассеяния для нанокристаллов оценивали с помощью уравнения Шеррера.
ИК-спектры диффузного отражения CO изучали на спектрометре Protégé 460 (“Nicоlet”, США) с приставкой диффузного отражения в диапазоне от 6000 до 400 см–1 с шагом 4 см–1. Перед измерением порошкообразные образцы вакуумировали в течение 3 ч при комнатной температуре. В качестве молекулы-теста использовали монооксид углерода, который адсорбировали при комнатной температуре и давлении 20 Торр.
Хемосорбцию CO и H2 проводили на приборе AutoChem HP (“Micromeritics Ltd.”, США). Анализ выполняли в диапазоне температур 30–300°С при скорости нагрева 5°С/мин с последующей выдержкой при температуре 300°С в течение 1 ч. Количество десорбированного газа оценивали по предварительно построенным калибровочным зависимостям.
Тестирование образцов в синтезе Фишера–Тропша
Тестирование синтезированных катализаторов в СФТ осуществляли в периодическом режиме с использованием н-додекана. За счет высокой температуры кипения и теплопоглощающей способности применение растворителя позволяет отводить тепло реакции от поверхности катализатора, предотвращая его спекание. Синтез проводили в реакторе Parr-4307 (“Parr Instrument”, США), соединенном с газовым хроматографом Кристаллюкс 4000М (“МетаХром”, Россия). 10 мл н-додекана и расчетное количество синтезированных образцов помещали в реакторную ячейку объемом 25 мл. В экспериментах массу катализатора варьировали в зависимости от содержания металла таким образом, чтобы обеспечить мольное соотношение CO/металл = 273. Реактор герметизировали, продували азотом и нагревали до 200°C при постоянном перемешивании со скоростью 150 об/мин. Затем азот в реакторе заменяли смесью CO и H2 в мольном соотношении 1 : 4 и увеличивали скорость перемешивания до 750 об/мин. Давление синтез-газа составляло 2.0 МПа. Отбор проб производили в конце процесса с изменением времени реакции.
Образцы жидкой фазы анализировали методами газовой хроматомасс-спектрометрии с использованием хроматомасс-спектрометра QP2010S (“Shimadzu”, Япония), а также газовой хроматографии на приборе Кристаллюкс 4000М (“МетаХром”, Россия). Концентрации компонентов жидкой фазы оценивали с помощью предварительно построенных калибровочных зависимостей по абсолютным концентрациям по основным продуктам.
Селективность продукта (S, %) была рассчитана на основе углеродного баланса по уравнению (1):
, (1)
где S – селективность, %; – количество углерода в образовавшемся продукте, моль; – количество израсходованного углерода, определяемое по формуле (2), моль.
, (2)
где – количество углерода, внесенного в реактор в виде СО, моль; – количество углерода в СО в момент времени τ, моль.
Конверсию CO (X, %) и начальную скорость реакции (R0, мольCO гкат–1·ч–1) рассчитывали в соответствии с уравнениями (3) и (4).
, (3)
, (4)
где – количество CO после 3 ч реакции, моль; mcat – масса катализатора, г; Δτ – время реакции (3 ч).
РЕЗУЛЬТАТЫ И ИХ ОБСУЖДЕНИЕ
Известно, что сверхсшитый полистирол является микромезопористым материалом с преобладанием микропор [27–29]. Как сообщалось ранее, осаждение металлсодержащей фазы методом осаждения в субкритической воде приводит к изменению пористости полимера, а именно к увеличению процентного содержания мезопор и формированию бимодального распределения пор по размерам [23, 30, 31]. При нанесении Fe или Ru на СПС наблюдается незначительное снижение удельной площади поверхности на 10–20% (табл. 1) за счет формирования частиц металлсодержащей фазы в порах и на поверхности и закупорки “устьев” пор, но в меньшей степени, чем у катализаторов, полученных методом влажной пропитки [32, 33]. Для образца 2% Fe–1% Ru–СПС сокращение удельной площади поверхности по сравнению с исходным СПС не превышает 6% (табл. 1).
Таблица 1. Объем пор и удельная поверхность синтезированных образцов
Образец | Общий объем пор, мл/г | Удельная площадь поверхности, м2/г | |||
модель Ленгмюра | модель БЭТ | t-график | |||
мезо- и макропоры | микропоры | ||||
СПС | 0.89 | 1276 | 1163 | 247 | 915 |
2% Fe–СПС | 0.82 | 1076 | 948 | 228 | 749 |
1% Ru–СПС | 0.85 | 1179 | 1048 | 236 | 806 |
2% Fe–1% Ru–СПС | 0.88 | 1217 | 1092 | 264 | 821 |
Для оценки размера металлсодержащих кристаллов был проведен анализ МУРР. На рис. 1 представлены кривые распределения частиц по размерам для моно- и биметаллических систем. Все синтезированные каталитические системы характеризуются мультимодальным распределением частиц по размерам. Для 1% Ru–СПС были обнаружены частицы со средним размером 8, 20 и 34 нм с преобладанием кристаллов до 10 нм. 2% Fe–СПС, наоборот, характеризуется широким распределением частиц по размерам от 5 до 50 нм с отчетливым сдвигом в сторону более крупных агрегатов. Это хорошо согласуется с литературными данными, так как известна тенденция Fe к агрегации в процессе осаждения и сушки при синтезе катализатора. Добавление 1 мас. % Ru к системе, содержащей Fe, приводит к резкому уменьшению размера частиц до 5 нм, что способствует повышению каталитической активности. При этом наблюдается присутствие частиц со средним размером 10–20, 23 и 32 нм.
Рис. 1. Распределение частиц по размерам, полученное методом МУРР для образцов 2% Fe–СПС, 1% Ru–СПС и 2% Fe–1% Ru–СПС.
Для изучения последовательного осаждения металлсодержащих фаз в процессе синтеза катализаторов было проведено исследование методом рентгеновской дифракции. На рис. 2а представлены дифрактограммы для образцов 1% Ru–СПС и СПС. Для образца 1% Ru–СПС характерны уширенные рефлексы, которые можно отнести структуре металлического рутения. Размер ОКР для частиц Ru, определенный по формуле Шеррера, составляет 7.2 нм. На вставке рис. 3а показана разностная дифрактограмма, на которой видно наличие узкого рефлекса с положением примерно 36°, который относится к структуре RuO2 [34, 35].
Рис. 2. Рентгенограммы образцов: СПС и 1% Ru–СПС (а), 2% Fe–1% Ru–СПС (б) и 10% Fe–1% Ru–СПС (в).
На дифрактограмме образца 2% Fe–1% Ru–СПС (рис. 2б) присутствуют рефлексы, которые характерны для структуры Fe3O4 [36–40]. Размер ОКР для частиц оксида железа(III) равен 31 нм, а параметр ячейки a – 8.38 Ǻ. Также на дифрактограмме имеются уширенные пики, которые можно отнести к структуре металлического рутения. Размер ОКР для частиц Ru составляет 2.8 нм.
На дифрактограмме образца с увеличенным до 10 мас. % содержанием железа обнаружены пики, соответствующие двум формам оксида железа – Fe3O4 (красный цвет) и γ-Fe2O3 (черный цвет) – в соотношении 2.7 : 1. Измеренные параметры a для железосодержащих образцов в нашем случае равны 8.39–8.37 Ǻ, а размер ОКР – 37 нм. Из-за высокой интенсивности рефлексов оксидов железа рефлексы рутения и его оксида уже не идентифицируются. Это позволяет предположить, что рутений и оксид рутения представляют собой центры зародышеобразования для соединений железа. Последние в свою очередь препятствуют дальнейшему росту кристаллов рутения.
Для изучения поверхностного состава металлсодержащей фазы были проведены исследования методом рентгеновской фотоэлектронной спектроскопии (табл. 2). Поверхность исходного полимера содержит следовые количества Cl, Si, S и N, которые являются типичными загрязнителями поверхности, а также могут быть побочными продуктами синтеза полимера. В спектрах композитов зарегистрировано присутствие углерода и кислорода – основных компонентов полимерного носителя, а также Na, Fe и Ru на поверхности, полосы Cl, Si, S и N не наблюдаются. Из табл. 2 видно, что поверхностная концентрация Fe возрастает с 0.36 до 0.72 ат. % для моно- и биметаллических образцов соответственно. Это объясняется увеличением дисперсности металлсодержащей фазы при добавлении Ru к Fe в процессе синтеза. Кроме того, формирование крупных агломератов в “устьях” пор полимера, согласно анализам БЭТ и МУРР, может препятствовать их определению методом рентгеновской спектроскопии. Для Ru, напротив, отмечается небольшое снижение поверхностной концентрации (с 1.74 до 1.65 ат. % для моно- и биметаллических образцов соответственно). Также был проанализирован биметаллический образец после жидкофазного синтеза Фишера–Тропша, для которого зафиксировано снижение концентрации обоих металлсодержащих фаз, что связано с наличием на поверхности активной фазы композита адсорбированных продуктов реакции.
Таблица 2. Состав поверхности исследуемых образцов по данным рентгеновской фотоэлектронной спектроскопии
Элемент, полоса | Содержание на поверхности, ат. % | |||
СПС | 2% Fe–СПС | 2% Fe–1% Ru–СПС | 2% Fe–1% Ru–СПС-отр | |
Углерод, C1s | 79.18 | 92.63 | 90.15 | 92.20 |
Кислород, O1s | 17.68 | 6.80 | 7.32 | 6.74 |
Хлор, Cl2р | 1.35 | – | – | – |
Кремний, Si2р | 0.43 | – | – | – |
Сера, S2р | 0.32 | – | – | – |
Азот, N1s | 1.04 | – | – | – |
Натрий, Na1s | – | 0.21 | 0.16 | 0.1 |
Железо, Fe2р | – | 0.36 | 0.72 | 0.31 |
Рутений, Ru3d | – | – | 1.65 | 0.65 |
Прочерки означают, что соответствующие элементы не обнаружены.
На рис. 3 приведены спектры высокого разрешения подуровней Fe2p, C1s и Ru3d для образцов 2% Fe–СПС, 1% Ru–СПС, 2% Fe–1% Ru–СПС, а также каталитической системы 2% Fe–1% Ru–СПС-отр после синтеза Фишера–Тропша. Данные математического моделирования подуровня Fe2p (рис. 3а и 3в) указывают на то, что как в моно-, так и в биметаллическом композите железо на поверхности представлено Fe3O4 [41, 42]. Последний образуется в процессе синтеза в атмосфере водорода. Стоит отметить, что в СФТ состав поверхности железосодержащей фазы не изменяется (рис. 3д). Математическое моделирование подуровня Ru (рис. 3б, 3г) показывает наличие Ru(0), RuO2 и Ru(OH)3 на поверхности образцов 1% Ru–СПС и 2% Fe–1% Ru–СПС [43, 44]. На поверхности отработанного образца (рис. 3е) содержание металлического рутения увеличивается в два раза по сравнению с исходным, что связано с восстановлением оксида рутения в ходе синтеза Фишера–Тропша.
Рис. 3. Спектры высокого разрешения для подуровней Fe2p и Ru3d для образцов 2% Fe–СПС (a), 1% Ru–СПС (б), 2% Fe–1% Ru–СПС (в, г) и 2% Fe–1% Ru–СПС-отр (д, е).
Изучение природы каталитически активных центров проводили с использованием ИК-спектроскопии диффузного отражения адсорбции СО. В ИК-спектрах композита 1% Ru–СПС (рис. 4а) обнаруживаются две широкие низкоинтенсивные полосы при 2136 и 2105 см–1, соответствующие валентным колебаниям молекул CO, адсорбированных на окисленном Ru в виде комплексов Run+(CO)3 [45–47]. В спектре образца 2% Fe–СПС (рис. 4б) присутствует одна широкая низкоинтенсивная полоса поглощения при 2149 см–1, отвечающая валентным колебаниям молекул СО, адсорбированных в виде трикарбонила на катионах Fe2+ [48]. В спектре биметаллического катализатора (рис. 4в) наблюдаются полосы поглощения, соответствующие валентным колебаниям молекул СО, адсорбированных на катионах Ru4+ (2134 и 2108 см–1) и Fe2+ (2145 см–1), в виде трикарбонилов. В отличие от монометаллических образцов, в спектре биметаллического катализатора появляется полоса при 2166 см–1, принадлежащая валентным колебаниям СО, адсорбированного на катионах Fe2+ в недиссоциированной форме [49].
Рис. 4. ИК-спектры диффузного отражения адсорбции СО для образцов 1% Ru–СПС (а), 2% Fe–СПС (б) и 2% Fe–1% Ru–СПС (в).
Каталитическое действие синтезированных композитов в СФТ изучено в периодическом режиме с использованием н-додекана в качестве растворителя. Для этого были проведены эксперименты по указанной выше методике и построены кинетические кривые расходования CO и H2 (рис. 5). В синтезе Фишера–Тропша помимо активности большое внимание уделяется молекулярно-массовому распределению продуктов. В рамках настоящей работы жидкие углеводороды бензинового и керосинового ряда были выбраны в качестве целевых продуктов. Для оценки эффективности исследуемых катализаторов помимо скорости процесса оценивали также суммарную селективность образования алканов С5–С11, рассчитанную по формуле (1).
Рис. 5. Кинетические кривые расходования CO (а) и H2 (б) в синтезе Фишера–Тропша в присутствии катализаторов 1% Ru–СПС, 2% Fe–СПС и 2% Fe–1% Ru–СПС.
Для всех образцов в течение первых 2 ч наблюдается линейное расходование реагентов во времени, после чего следует замедление скорости реакции, что характерно для процессов, проводящихся в периодическом режиме. Полная остановка реакции после 6 ч процесса может быть объяснена ингибирующим действием продуктов СФТ, в частности воды [50–52].
Различия в каталитической активности (R0) образцов заметны при анализе начальных участков кинетических кривых. Конверсия CO и селективность были рассчитаны через 6 ч после начала процесса. Результаты представлены в табл. 3.
Таблица 3. Активность катализаторов и селективность по группам продуктов в СФТ через 6 ч после начала эксперимента
Образец | R0, моль гкат–1∙ч–1 | XСО, мол. % | S, мол. % | ||||
C1–C4 | C5–C11 | изо-C5–C11 | оксигенаты С2–С4 | олефиныC5–C6 | |||
1% Ru–СПС | 0.0085 | 25.9 | 0.2 | 98.2 | 4.3 | 0.1 | 1.5 |
2% Fe–СПС | 0.0063 | 24.5 | 9.5 | 71.7 | 9.6 | 15.8 | 2.2 |
2% Fe–1% Ru–СПС | 0.0090 | 29.8 | 1.0 | 98.5 | 17.2 | 0.2 | 0.3 |
Из данных табл. 3 следует, что активность монометаллического железосодержащего катализатора ниже по сравнению с таковой рутенийсодержащего и биметаллического образцов. Конверсия СО для системы 2% Fe–СПС составляет 24.5 мол. %. Кроме того, в присутствии 2% Fe–СПС в продуктах СФТ наблюдается высокая концентрация низкомолекулярных алканов (9.5 мол. %), кислородсодержащих соединений (15.8 мол. %) и олефинов (2.2 мол. %). Активность и селективность образования алканов С5–С11 для композита 1% RuСПС оказалась выше по сравнению с 2% Fe–СПС. Однако значительная концентрация парафинов в продуктах, характерная для рутенийсодержащего образца, приводит к тому, что конечный продукт обладает плохими низкотемпературными свойствами. В присутствии 2% Fe–1% Ru-СПС начальная скорость реакции и конверсия CO выше по сравнению с другими образцами. Суммарная селективность образования алканов C5–C11 сопоставима с таковой для катализатора 1% Ru–СПС. Кроме того, наблюдается снижение концентрации кислородсодержащих продуктов и олефинов по сравнению с монометаллической железосодержащей системой, что указывает на более высокую скорость процессов гидрирования. Основные продукты СФТ в присутствии биметаллического катализатора – гексаны и октаны, получающиеся с селективностью 12.8 и 51.0 мол. % соответственно. Так как одной из главных проблем СФТ является образование линейных парафинов, необходимо отметить, что при использовании синтезированной в настоящей работе биметаллической каталитической системы в продуктах содержатся значительные количества изоалканов (17.2 мол. % от всех образовавшихся жидких углеводородов).
Для исследования превращений продуктов, происходящих в процессе синтеза Фишера–Тропша в периодическом режиме, были построены кривые образования продуктов в координатах logn(продукта)–число атомов С, учитывающие как ненасыщенные, так и кислородсодержащие соединения (рис. 6).
Рис. 6. Кривые образования продуктов жидкофазного синтеза Фишера–Тропша в присутствии 2% Fe–СПС (а), 1% Ru–СПС (б), 2% Fe–1% Ru–СПС (в) после 1.5 (●), 3 (○), 6 (▼) и 9 ч (∆) с начала эксперимента.
Анализ состава продуктов СФТ во времени показал, что железосодержащий катализатор (рис. 6а) имеет тенденцию к накоплению продуктов С2, представленных в основном кислородсодержащими соединениями, в первые 3 ч эксперимента. Также наблюдается рост концентрации метана с увеличением времени процесса. Содержание продуктов С3–С4 проходит через максимум на 6 ч эксперимента, после чего несколько снижается. Обнаружено, что образующиеся в течение первых 3 ч кислородсодержащие продукты (спирты, простые эфиры, карбонильные соединения) с числом атомов углерода 2–4 подвергаются дальнейшему гидрированию с повышением концентрации низкомолекулярных алканов. Для углеводородов С5–С11 отмечен рост концентрации при проведении процесса до 6 ч, после чего их содержанием практически не изменяется.
В случае 1% Ru–СПС (рис. 6б) доля алканов С8–С11 в продуктах с увеличением продолжительности процесса растет, а содержание метана и алканов С6–С7 меняется незначительно. Начиная с 1.5 ч эксперимента снижается концентрация продуктов с числом атомов углерода 2–5 при полном исчезновении углеводородов С5 на 9 ч эксперимента. Это указывает на протекание вторичных реакций, основными из которых являются гидрирование олефинов и оксигенатов, а также на вовлечение этих соединений в процессы роста цепи.
Для 2% Fe–1% Ru–СПС (рис. 6в) характер распределения продуктов схож с тем, что получен для монометаллического рутенийсодержащего образца. Необходимо отметить, что на последних часах эксперимента наблюдается расходование кислородсодержащих продуктов С2, С3, С4 и С6. Это преимущественно связано с их включением в процессы роста и разветвления цепи, поскольку в реакционной смеси увеличивается содержание изоалканов. Можно предположить, что в случае биметаллической системы наибольшую роль в процессах роста цепи и образования углеводородов играет рутений.
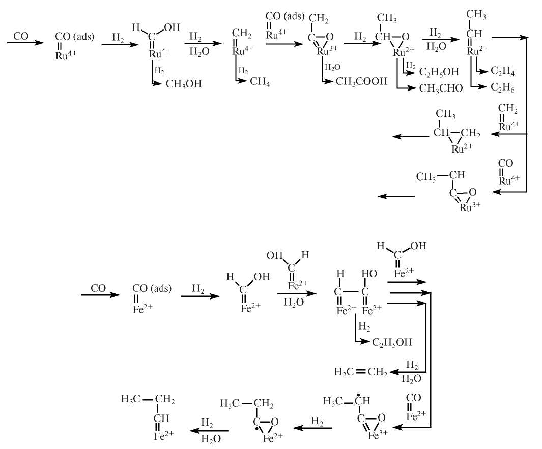
На основании проведенных экспериментов, соотношения израсходованных количеств С и Н, изучения превращений продуктов СФТ, а также результатов физико-химического исследования катализаторов была предложена одна из наиболее вероятных схем процесса жидкофазного синтеза Фишера–Тропша (схема 1).
Схема 1. Схема жидкофазного синтеза Фишера–Тропша.
Согласно предложенной схеме, жидкофазный синтез Фишера–Тропша включает следующие основные стадии:
– адсорбцию реагентов на поверхности катализатора;
– активацию (образование активных частиц процесса);
– рост углеводородной цепи;
– обрыв цепи;
– десорбцию продуктов с поверхности катализатора и вторичную адсорбцию продуктов с последующими их превращениями.
Предположительно процесс зарождения углеводородной цепи начинается с одновременной хемосорбции СО и Н2 на поверхности катализатора. Н2 адсорбируется диссоциативно, а адсорбция СО носит ассоциативный характер, причем молекулярная форма ассоциата линейна. Полученные кинетические данные синтеза и соотношение израсходованных количеств С и Н2 позволяют утверждать, что в качестве лимитирующей стадии процесса выступает стадия адсорбции СО на активных центрах катализатора. Образование активных частиц происходит в результате взаимодействия адсорбированного СО с водородом с формированием реакционноспособного гидроксикарбена.
В зависимости от состава активного комплекса можно выделить два равновероятных механизма роста цепи:
– полимеризационно-конденсационный механизм, при котором рост цепи осуществляется за счет конденсации интермедиатов или взаимодействия двух гидроксикарбеновых единиц, находящихся на соседних активных центрах катализатора;
– диссоциативный механизм с внедрением СО в комплекс металл–карбен, который реализуется при неполном гидрировании активных частиц с генерацией реакционноспособных карбеновых фрагментов и дальнейшей их полимеризацией за счет внедрения адсорбированной молекулы СО по связи металл–углерод.
Обрыв цепи происходит за счет процессов элиминирования или гидрирования. В случае полного гидрирования первичными продуктами синтеза углеводородов из СО и Н2 являются парафины линейного строения. При неполном гидрировании кислородосодержащих фрагментов на поверхности катализатора могут образовываться спирты, альдегиды, кетоны и эфиры, относящиеся ко вторичным продуктам взаимодействия. Повышение температуры синтеза приводит к реакциям их циклизации и этерификации. При элиминировании продуктами взаимодействия являются олефины, которые участвуют во вторичных превращениях при гидрировании и могут повторно включаться в рост цепи после реадсорбции.
Стабильность – одна из основных характеристик, необходимых для создания эффективных катализаторов СФТ. Для синтезированного биметаллического катализатора ее изучали в ходе 5 последовательных циклов СФТ по указанной выше методике. Продолжительность процесса составляла 9 ч, после каждого цикла катализатор фильтровали, промывали гексаном при температуре 35 ± 5°C и сушили при 70 ± 5°C в течение 1 ч. В ходе экспериментов установлено, что биметаллический катализатор сохраняет свою активность и селективность в течение 5 последовательных циклов. Элементный анализ показывает отсутствие выщелачивания активной фазы. По данным РФЭС карбидов металла не обнаружено, что свидетельствует о низкой степени карбонизации поверхности.
Таким образом, биметаллическая система 2% Fe–1% Ru–СПС является эффективным катализатором синтеза Фишера–Тропша. Его применение приводит к увеличению как конверсии CO, так и селективности образования C5–C11 по сравнению с монометаллическими образцами.
ЗАКЛЮЧЕНИЕ
В настоящей работе были изучены структура, состав и каталитическая активность наночастиц Fe/Ru, нанесенных на СПС методом осаждения в субкритической воде. Было обнаружено, что добавление Ru к Fe-содержащему композиту приводит к уменьшению размера частиц в полученном образце. Частицы, содержащие Ru, предположительно являются центрами образования оксидов железа на поверхности полимера, что приводит к высокой дисперсности и равномерному распределению металлсодержащей фазы. Допирование железосодержащей системы рутением способствует восстановлению обоих металлов, обеспечивает образование дополнительных центров для адсорбции молекул синтез-газа и, следовательно, повышает активность композита в СФТ. Биметаллический композит 2% Fe–1% Ru–СПС оказался в 1.5 раза активнее по сравнению с образцом 2% Fe–СПС. Селективность образования алканов С5–С11 составляет 98.5 мол. %, содержание изоалканов в продуктах – 17.2 мол. %. Биметаллический катализатор сохраняет свою активность в течение 5 последовательных циклов в СФТ в периодическом режиме без вымывания активной фазы при низкой карбонизации поверхности.
ФИНАНСИРОВАНИЕ
Работа выполнена при финансовой поддержке Российского научного фонда (грант № 23-23-00653).
КОНФЛИКТ ИНТЕРЕСОВ
Авторы заявляют об отсутствии конфликта интересов, требующего раскрытия в данной статье.
Sobre autores
M. Markova
Tver State Technical University; Tver State University
Autor responsável pela correspondência
Email: mashulikmarkova@gmail.com
Rússia, A. Nikitin str., 22, Tver, 170026; Zhelyabova str., 33, Tver, 170100
A. Stepacheva
Tver State Technical University
Email: mashulikmarkova@gmail.com
Rússia, A. Nikitin str., 22, Tver, 170026
A. Bykov
Tver State Technical University
Email: mashulikmarkova@gmail.com
Rússia, A. Nikitin str., 22, Tver, 170026
Y. Larichev
Boreskov Institute of Catalysis SB RAS
Email: mashulikmarkova@gmail.com
Rússia, Acad. Lavrentieva ave., 5, Novosibirsk, 630090
V. Doluda
Tver State Technical University
Email: mashulikmarkova@gmail.com
Rússia, A. Nikitin str., 22, Tver, 170026
O. Tkachenko
N.D. Zelinsky Institute of Organic Chemistry RAS
Email: mashulikmarkova@gmail.com
Rússia, Leninsky prosp., 47, Moscow, 119991
M. Sulman
Tver State Technical University
Email: mashulikmarkova@gmail.com
Rússia, A. Nikitin str., 22, Tver, 170026
Bibliografia
- van Steen E., Claeys M. // Chem. Eng. Technol. 2008. V. 31. P. 655.
- Tijmensen M.J.A., Faaij A.P.C., Hamelinck C.N., van Hardeveld M.R.M. // Biomass Bioenergy. 2002. V. 23. P. 129.
- Соломоник И.Г., Грязнов К.О., Пушина Е.А., Приходько Д.Д., Мордкович В.З. // Кинетика и катализ. 2022. Т. 63. № 3. С. 333. (Solomonik I.G., Gryaznov K.O., Pushina E.A., Prikhodko D.D., Mordkovich V.Z. // Kinet. Catal. 2022. V. 63. №. 3. P. 279.)
- Яковенко Р.Е., Зубков И.Н., Нарочный Г.Б., Папета О.П., Денисов О.Д., Савостьянов А.П. // Кинетика и катализ. 2020. Т. 61. № 2. С. 278. (Yakovenko R.E., Zubkov I.N., Narochniy G.B., Papeta O.P., Denisov O.D., Savost’yanov A.P. // Kinet. Catal. 2020. V. 61. 3. 2. P. 310.)
- Чернавский П.А., Панкина Г.В., Казанцев Р.В., Максимов С.В., Купреенко С.Ю., Харланов А.Н., Елисеев О.Л. // Кинетика и катализ. 2022. Т. 63. № 3. С. 363. (Chernavskii P.A., Pankina G.V., Maksimov S.V., Kupreenko S.Y., Kharlanov A.N., Kazantsev R.V., Eliseev O.L. // Kinet. Catal. 2022. V. 63. № 3. P. 304.)
- Buthelezi A.S., Tucker C.L., Heeres H.J., Shozi M.L., van de Bovenkamp H.H., Ntola P. // Res. Chem. 2024. V. 9. Art. 101623.
- Eran T.N., Guyot J., Boffito D.C., Patience G.S. // Chem. Eng. J. 2024. Vol. 500. Art. 156796.
- Gavrilović Lj., Kazi S.S., Oliveira A., Encinas O.L.I., Blekkan E.A. // Catal. Today. 2024. V. 432. Art. 114614.
- Gong J., Shen L., Liu Y., Qiao E., Liu L., Min F. // Fuel. 2024. V. 364. Art. 131125.
- Schulz H. // Appl. Catal. A: Gen. 2020. V. 602. P. 117695.
- Shi B., Liao Y., Callihan Z.J., Shoopman B.T., Luo M. // Appl. Catal. A: Gen. 2020. V. 602. P. 117607.
- Iglesia E., Soled S.L., Fiato R.A., Via G.H. // J. Catal. 1993. V. 143. P. 345.
- Raje A.P., O’Brien R.J., Davis B.H. // J. Catal. 1998. V. 180. № 1. P. 36.
- Ngantsoue-Hoc W., Zhang Y.Q., O’Brien R.J., Luo M.S., Davis B.H. // Appl. Catal. A: Gen. 2002. V. 236. P. 77.
- Bai L., Xiang H.W., Li Y.W., Han Y.Z., Zhong B. // Fuel. 2002. V. 81. P. 1577.
- Ma G., Wang X., Xu Ya., Wang Q., Wang J., Lin J., Wang H., Dong Ch., Zhang Ch., Ding M. // ACS Appl. Energy Mater. 2018. V. 1. № 8. P. 4304.
- Li S., Krishnamoorthy S., Li A., Meitzner G.D., Iglesia E. // J. Catal. 2002. V. 206. P. 202.
- Liuzzi D., P´erez-Alonso F.J., Rojas S. // Fuel. 2021. V. 293. P. 120435.
- Fraser I., Rabiua A.M., van Steen E. // Energy Procedia. 2016. V. 100. P. 210.
- Badoga S., Kamath G., Dalai A. // Appl. Catal. A: Gen. 2020. V. 607. P. 117861.
- Alayata A., Echeverria E., Mcllroy D.N., McDonald A.G. // Fuel Proc. Technol. 2018. V. 177. P. 89.
- Liu X., Ma C., Zhao W., Zhang J., Chen J. // J. Fuel Chem. Technol. 2021. V. 49. № 10. P. 1504.
- Markova M.E., Stepacheva A.A., Kosivtsov Y.Y., Sidorov A.I., Matveeva V.G., Sulman M.G. // Rus. J. Phys. Chem. B. 2021. V. 15. P. 1120.
- Маркова М.Е., Гавриленко А.В., Степачёва А.А., Молчанов В.П., Матвеева В.Г., Сульман М.Г., Сульман Э.М. // Кинетика и катализ. 2019. Т. 60. № 5. С. 624. (Markova M.E., Gavrilenko A.V., Stepacheva A.A., Molchanov V.P., Matveeva V.G., Sulman M.G., Sulman E.M. // Kinet. Catal. 2019. V. 60. № 5. P. 618.)
- Larichev Yu.V., Tuzikov F.V. // J. Appl. Cryst. 2013. V. 46. № 3. P. 752.
- Wagner C.D., Riggs W.M., Davis L.E., Moulder J.F., Muilenberg G.E. Handbook of X-Ray photoelectron spectroscopy. A reference book of standard data for use in X-ray photoelectron spectroscopy. Perkin‐Elmer Corp., Physical Electronics Division, Eden Prairie, Minnesota, USA, 1979. 261 p.
- Li C., Che W., Liu S.-Y., Liao G. // Mater. Today Chem. 2023. V. 29. Art. 101392.
- Bykov A.V., Demidenko G.N., Nikoshvili L.Zh., Sulman M.G., Kiwi-Minsker L. // Chem. Eng. Technol. 2021. V. 44. № 11. P. 1955.
- Schipanskaya E.O., Stepacheva A.A., Markova M.E., Rud D.V., Nikoshvili L.Zh., Sidorov A.I., Matveeva V.G., Sulman M.G. // Catal. Chem. Eng. Technol. 2021. V. 44. № 11. P. 2109.
- Stepacheva A.A., Sidorov A.I., Matveeva V.G., Sulman M.G., Sulman E.M. // Chem. Eng. Technol. 2019. V. 42. № 4. P. 780.
- Matveeva V.G., Stepacheva A.A., Shimanskaya E.I., Markova M.E., Sidorov A.I., Bykov A.V., Sul’man M.G., Sul’man E.M. // Rus. J. Phys. Chem. B. 2019. V. 13. № 6. P. 1044.
- Manaenkov O.V., Kislitsa O.V., Matveeva V.G., Kosivtsov Y.Y., Sulman M.G. // ChemChemTech. 2023. V. 66. № 8. P. 70.
- Stepacheva A.A., Lugovoy Y.V., Manaenkov O.V., Sidorov A.I., Matveeva V.G., Sulman M.G., Sulman E.M. // Pure Appl. Chem. 2020. V. 92. № 6. P. 817.
- Devadas A., Baranton S., Coutanceau C. // Front. Energy Res. 2020. V. 8. Art. 571704.
- Liu H., Xia G., Zhang R., Jiang P., Chen J., Chen Q. // RSC Adv. 2017. V. 7. P. 3686.
- Noberi C., Kaya C. // SN Appl. Sci. 2019. V. 1. P. 947.
- Liang C., Liu H., Zhou J., Peng X., Zhang H. // J. Chem. 2015. Art. 791829.
- Moradi Z., Ghorbani-Choghamarani A. // Sci. Rep. 2021. V. 11. P. 23967.
- Wang Y., Peng Z., Jiang W. // J. Mater. Sci.: Mater. Electron. 2015. V. 26. P. 4880.
- Khoshsang H., Ghaffarinejad A., Kazemi H., Jabarian S. // J. Water. Environ. Nanotechnol. 2018. V. 3. № 3. P. 191.
- Grosvenor A.P., Kobe B.A., Biesinger M.C., Mclntyre N.S. // Surf. Interface Anal. 2004. V. 36. P. 1564.
- Lesiak B., Rangam N., Jiricek P., Gordeev I., Toth J., Kover L., Mohai M., Borowicz P. // Front. Chem. 2019. V. 7. P. 642.
- Ge X., Liu H., Ding X., Liu Y. // Nanomaterials. 2022. V. 12. № 3. P. 539.
- Srivatsa S.C., Kumar V.P., Viswanadham B., Amirineni S. // J. Nanosci. Nanotechnol. 2015. V.15. № 7. P. 5403.
- Hadjiivanov K., Lavalley J.-C., Lamotte J., Mauge F., Saint-Just J., Che M. // J. Catal. 1998. V. 176. P. 415.
- McQuire M.W., Rochester C.H. // J. Catal. 1993. V. 141. P. 355.
- Mizushima T., Tohji K., Udagawa Y., Ueno A. // J. Am. Chem. Soc. 1990. V. 112. P. 7887.
- Kharlanov A.N., Pankina G.V., Lunin V.V. // Rus. J. Phys. Chem. 2019. V. 93. № 12. P. 1780.
- Johnston C., Jorgensen N., Rochester C.H. // J. Chem. Soc. Faraday Trans. I. 1988. V. 84. № 1. P. 309.
- Bukur D.B., Todic B., Elbashir N. // Catal. Today. 2016. V. 275. P. 66.
- Hibbitts D.D., Loveless B.T., Neurock M., Iglesia E. // Angew. Chem. Int. Ed. 2013. V. 52. № 47. P. 12273.
- Carballo J.M.G., Finocchio E., García-Rodriguez S., Ojeda M., Fierro J.L.G., Busca G. // Catal. Today. 2013. V. 214. P. 2.
Arquivos suplementares








