Превращение продуктов деполимеризации лигнина в среде пропанола-2
- Авторы: Степачёва А.А.1, Терешина Е.Д.1, Тарасова А.А.1, Акинчиц М.В.1, Ершова Е.А.1, Емельянова С.Д.1, Матвеева В.Г.1, Сульман М.Г.1
-
Учреждения:
- Тверской государственный технический университет
- Выпуск: Том 65, № 4 (2024)
- Страницы: 463-473
- Раздел: СТАТЬИ
- URL: https://ogarev-online.ru/0453-8811/article/view/279297
- DOI: https://doi.org/10.31857/S0453881124040078
- EDN: https://elibrary.ru/RHUOVL
- ID: 279297
Цитировать
Полный текст
Аннотация
Лигнин – крупнотоннажный отход переработки лигноцеллюлозной биомассы – является перспективным сырьем для получения продуктов с высокой добавленной ценностью. Процессы деполимеризации лигнина приводят к образованию кислородсодержащих продуктов – производных фенола. Так как деполимеризация лигнина включает множество реакций, в том числе превращение мономеров, целью настоящей работы было исследование процессов превращения фенола, анизола, гваякола, сирингола, эвгенола, гидрохинона и п-этилфенола при их каталитической конверсии как в виде индивидуальных компонентов, так и в смеси. Изучение путей превращения мономеров лигнина проводили в среде пропанола-2 в присутствии катализатора Ni–Ru/SiO2@HPS при варьировании условий процесса. Анализ состава продуктов конверсии мономеров лигнина показал, что основными путями их превращения являются гидрирование ароматического кольца, деоксигенация и гидрирование образующихся ароматических углеводородов. Обнаружено, что скорость расходования компонентов при конверсии смеси ниже, чем для индивидуальных субстратов. Изучено влияние температуры процесса и парциального давления водорода на конверсию смеси субстратов. В качестве целевых продуктов превращения мономеров лигнина выбраны ароматические углеводороды. Определены оптимальные условия конверсии смеси субстратов с точки зрения скорости процесса и селективности по ароматическим углеводородам – температура 280°С, парциальное давление водорода 3.0 МПа.
Ключевые слова
Полный текст
ВВЕДЕНИЕ
Исследования в области получения топлив и продуктов с высокой добавленной стоимостью из возобновляемого сырья привлекают все большее внимание. Применение возобновляемых источников позволяет сократить зависимость от ископаемого сырья, что особенно критично для территорий, удаленных от основных месторождений, снизить выбросы парниковых газов, а также эффективно реализовать потенциал биомассы отходов [1–4]. К возобновляемому сырью относится лигноцеллюлозная биомасса, в состав которой входят лигнин (15–30%), целлюлоза (35–50%) и гемицеллюлозы (20–35%). Если целлюлоза и гемицеллюлозы широко используются в промышленности, в частности в целлюлозно-бумажном производстве, при получении глюкозы и ксилозы, спиртов и т.д., то лигнин в основном позиционируется как многотоннажный отход [5–7].
На сегодняшний день интерес к промышленному применению лигнина неуклонно растет. Если в 2021 г. рынок лигнина оценивался в 734.1 млн долларов США, в 2023 г. эта цифра возросла до 836.8 млн. По различным прогнозам к 2032 г. рынок лигнина составит более 1 млрд долларов. При этом около 59% всего использующегося лигнина применяется в виде макромолекул. 41% занимают продукты деполимеризации природного полимера – фенолы и ароматические соединения [8].
Лигнин представляет собой аморфный трехмерный разветвленный полимер, состоящий из ароматических колец, соединенных боковыми цепями метокси- и гидроксипропильных групп. Полимерная структура лигнина содержит остатки п-кумарового, синапового и кониферилового спиртов, которые представляют собой гидроксифениловые, сирингиловые и гваяциловые единицы, соединенные связями β-O-4, σ-O-4, 4-O-5, 5–5, β-5, β-1 и β-β. Содержание монолигнолов (структурных единиц) варьируется в зависимости от сырья, из которого выделяют лигнин. Например, в лигнине, выделенном из древесины лиственных пород, практически нет остатков п-кумарового спирта, а сиринголовые и гваяциловые фрагменты представлены примерно в равном количестве (50–75 и 25–50% соответственно). В древесине хвойных пород в большем количестве присутствуют остатки кониферилового спирта (90–95%), а гидроксифениловые и сиринголовые фрагменты обнаруживаются в следовых количествах: 0.5–3.4 и 0–1% соответственно). В лигнине, полученном из травянистых растений, содержание монолинголов варьируется от 10–25% для гидроксифенильных единиц, 25–50% для сиринголовых фрагментов и 25–50% для гваяциловых фрагментов [9–11].
Процессы деполимеризации лигнина и превращения продуктов деполимеризации привлекают все большее внимание исследовательских групп. Основные исследования сосредоточены на поиске эффективных и экономически целесообразных методов деполимеризации лигнина. К таким методам можно отнести окислительную деполимеризацию [12–16], ферментативную и микробную деполимеризацию [16–22], а также ожижение в нейтральной или восстановительной средах. Последний метод включает гидротермальное [16, 23–28] и сольвотермальное [16, 29–31] ожижение. Хотя гидротермальное ожижение признается одним из наиболее эффективных методов деполимеризации лигнина, поскольку вода считается более безопасным и экологичным растворителем, большинство лигнинов плохо растворяется в водной среде, что затрудняет процесс. Низкомолекулярные спирты используют для извлечения лигнина и в последние годы все чаще – для деполимеризации. Такие соединения эффективно растворяют молекулы полимера, имеют низкую стоимость, легко отделяются от реакционной среды и могут быть получены из возобновляемого сырья.
Спирты в деполимеризации лигнина применяют в нескольких возможных технологиях:
1) как самостоятельный реагент;
2) в совокупности с водородом;
3) совместно с муравьиной кислотой;
4) с окислительными агентами.
В первом варианте деполимеризация лигнина в спиртах осуществляется некаталитически (при температуре 200–400°С) и в присутствии катализаторов, что позволяет снизить температуру процесса до 200–300°С, а также использовать спирты как донор водорода [31–36]. Сольвотермальная деполимеризация лигнина с применением газообразного водорода характеризуется одновременным протеканием процессов сольволиза, гидрогенолиза и гидродеоксигенации. Активный водород стабилизирует промежуточные продукты, предотвращая реполимеризацию. Как правило, такая технология дает возможность получить высокий выход мономеров без формирования углеродного остатка. Гидрогенолиз лигнина в спиртовой среде проводится при давлении водорода 2–3 МПа, температуре 180–300°С в присутствии катализаторов на основе благородных или переходных металлов [37–39]. Использование смесей спиртов и муравьиной кислоты в деполимеризации лигнина было предложено с целью замены газообразного водорода на водород, образующийся in situ вследствие разложения муравьиной кислоты. Однако данная технология пока не выдерживает конкуренции с классическим гидрогенолизом, так как приводит к снижению выхода мономеров, а также алкилированию продуктов [40, 41]. Окислительная деполимеризация лигнина в среде спиртов в присутствии кислорода, озона или пероксида водорода осуществляется при температурах ниже 200°С и позволяет получать ароматические мономеры с альдегидными, кислотными и эфирными группами [42–44]. Тем не менее, восстановительная деполимеризация лигнина остается основным методом для производства ценных ароматических соединений.
В нашей недавней работе [45] был изучен процесс деполимеризации лигнина в среде пропанола-2 в присутствии катализатора Ni–Ru/SiO2@HPS. Катализатор был приготовлен методом осаждения гидроксидов никеля и рутения в среде субкритической воды на носитель SiO2@HPS с последующим переводом гидроксидов в оксиды путем термического разложения. Фаза оксида кремния на полимерном носителе (сверхсшитом полистироле) была получена нанесением тетраэтоксисилана на полимер в среде субкритической воды с последующей термической обработкой при температуре 300°С. Такой катализатор характеризуется высокой площадью удельной поверхности (~630 м2/г) и высокой кислотностью (~940 мкмоль/г). Кремнийсодержащая фаза носителя представлена высокодисперсным оксидом кремния с тридимитовой структурой, а металлсодержащая фаза катализатора – смесью оксидов никеля(II) и рутения(IV).
В работе [45] была доказана эффективность каталитического гидрогенолиза лигнина, в ходе которого достигается высокий выход монофенольных соединений (более 42%) при практически полной (>95%) конверсии субстрата. Так как наряду с деполимеризацией в сольвотермальном ожижении протекают гидрогенолиз и деоксигенация, целью представленной работы является изучение процессов каталитического превращения основных мономеров (фенола, анизола, гваякола, сирингола, эвгенола, п-этилфенола, гидрохинона), образующихся при деполимеризации Крафт лигнина, в спиртовом растворителе. Эксперименты проводили в присутствии катализатора Ni–Ru/SiO2@HPS, использовавшегося в гидрогенолизе лигнина. При исследовании превращения индивидуальных компонентов на основании анализа состава реакционной смеси предложены схемы протекания процессов конверсии фенольных соединений. Поскольку наиболее ценными продуктами конверсии фенолов являются ароматические соединения, в настоящей работе бензол и толуол выбраны в качестве целевых. Изучено влияние условий конверсии (температура и парциальное давление водорода) на скорость расходования мономеров лигнина и селективность по целевым продуктам.
ЭКСПЕРИМЕНТАЛЬНАЯ ЧАСТЬ
Катализатор Ni–Ru/SiO2@HPS готовили согласно процедуре, описанной в [45]. Для синтеза катализатора использовали фракцию сверхсшитого полистирола MN-100 (“Purolite Int. Ltd.”, Великобритания) с размером гранул менее 80 мкм с удельной площадью поверхности 790 м2/г. 3-Аминопропилтиэтоксисилан (“Sigma Aldrich”, США) применяли в качестве прекурсора кремнийсодержащей фазы для формирования носителя SiO2@HPS. Нанесение активной фазы проводили методом пропитки носителя раствором ацетатов никеля и рутения (“Aурат”, Россия) в комплексном растворителе, содержащем тетрагидрофуран, метанол и дистиллированную воду в соотношении 5 : 1 : 3. Катализатор предварительно восстанавливали в токе водорода при 300°С в течение 3 ч.
Эксперименты по изучению процессов превращения основных продуктов деполимеризации лигнина осуществляли в реакторе высокого давления Parr Series 5000 Multiple Reactor System (“Parr Instrument”, США), оснащенном магнитной мешалкой с максимальной частотой вращения 2000 об/мин. Для исследований использовали индивидуальные субстраты и смесь, состоящую из фенола, анизола, гваякола, сирингола, эвгенола, п-этилфенола, гидрохинона (“Sigma Aldrich”, США), с соотношением компонентов, близким к полученному при деполимеризации лигнина [45]. Эксперименты проводили в диапазоне температур 260–300°С при парциальном давлении водорода 0–5 МПа в среде пропанола-2 (“Реахим”, Россия). Пробы жидкой фазы отбирали с помощью микрокапилляра. Объем пробы не превышал 15 мкл.
Анализ жидкой фазы выполняли с применением газового хроматографа GC-2010 (“Shimadzu”, Япония) и масс-спектрометра GCMS-QP2010S (“Shimadzu”, Япония) на хроматографической колонке HP-1MS длиной 30 м и диаметром 0.25 мм. Условия хроматографирования: начальную температуру колонки 120°С выдерживали в течение 5 мин, затем температуру поднимали до 250°С со скоростью 5°С/мин и выдерживали в течение 5 мин; газ-носитель – гелий (объемная скорость – 20.8 мл/с, давление – 253.5 кПа); температура инжектора – 280°С, температура источника ионов – 260°С, ионизация электронным ударом. Для количественной оценки проводили калибровку по реагентам и основным продуктам.
РЕЗУЛЬТАТЫ И ИХ ОБСУЖДЕНИЕ
Превращение индивидуальных компонентов
Для изучения процессов превращения индивидуальных компонентов, образующихся при деполимеризации лигнина, были проведены эксперименты в присутствии катализатора Ni–Ru/SiO2@HPS при следующих условиях: температура процесса – 280°С, соотношение субстрата к катализатору – 10 моль субстрата/г металла, парциальное давление водорода – 3.0 МПа. Кривые расходования субстратов и образования продуктов во времени приведены на рис. 1, 2.
Рис. 1. Кинетические кривые расходования субстратов и накопления продуктов при конверсии фенола (а), анизола (б), п-этилфенола (в) и гидрохинона (г) в присутствии катализатора Ni–Ru/SiO2@HPS. Условия процесса: температура – 280°С, соотношение субстрата к катализатору – 10 моль субстрата/г металла, парциальное давление водорода – 3.0 МПа
Рис. 2. Кинетические кривые расходования субстратов и накопления продуктов при конверсии гваякола (а), сирингола (б) и эвгенола (в) в присутствии катализатора Ni–Ru/SiO2@HPS. Условия процесса: температура – 280°С, соотношение субстрата к катализатору – 10 моль субстрата/г металла, парциальное давление водорода – 3.0 МПа
Для фенола наблюдается присутствие в реакционной смеси продуктов деоксигенации (бензола), гидрирования ароматического кольца (циклогексанол, циклогексен, циклогексан, циклогексанон) (рис. 1а). В начале процесса происходит преимущественное накопление бензола – продукта прямой деоксигенации, а также циклогексанола – продукта гидрирования ароматического кольца. При увеличении времени процесса образуются циклогексен и циклогексан. Первый появляется в результате дегидратации циклогексанола, второй – при одновременном протекании гидрирования бензола, деоксигенации циклогексанола и гидрирования циклогексена. Также в реакционной смеси присутствуют циклогексанон и продукты частичного гидрирования фенола. При дальнейшем увеличении времени реакции основными продуктами становятся бензол и циклогексан. Максимум накопления бензола наблюдается на 50-той минуте эксперимента. Конечным продуктом превращения фенола является циклогексан.
При исследовании процессов превращения анизола (рис. 1б) отмечено накопление бензола, фенола, метоксициклогексана, циклогексанола и толуола на первых минутах эксперимента, что свидетельствует о протекании деметоксилирования, деоксигенации и гидрирования ароматического кольца, причем процессы деметоксилирования и деметилирования преобладают. При увеличении времени процесса в реакционной смеси обнаружены бензол как продукт прямой деоксигенации, циклогексан и метилциклогексан как конечные продукты превращения бензола и толуола. Максимальный выход толуола наблюдается на 20-той минуте эксперимента, бензола – на 45-той минуте.
При превращении п-этилфенола (рис. 1в) в основном протекают деоксигенация и гидрирование с образованием этилбензола и п-этилциклогексанола соответственно. Увеличение времени процесса характеризуется накоплением этилциклогексана в реакционной смеси. Для гидрохинона (рис. 1г) отмечено образование бензола и 1,4-циклогександиола на первых минутах эксперимента, также в реакционной смеси присутствуют фенол и циклогексанол. При увеличении времени реакции наблюдается накопление бензола и циклогексана, а также циклогексанола и циклогександиола.
При превращении гваякола (рис. 2а) основными реакциями являются деоксигенация, деметилирование и деметоксилирование с образованием фенола, пирокатехина, анизола, а также о-метилфенола. В дальнейшем в реакционной смеси обнаруживаются продукты гидрирования и деоксигенации указанных соединений. При полной конверсии субстрата наиболее значимые продукты превращения гваякола – это бензол, толуол, циклогексан и метилциклогексан с преобладанием циклогексана. Превращение сирингола (рис. 2б) осуществляется в основном теми же путями, что и для гваякола.
Эвгенол (рис. 2в) на первых минутах подвергается гидрированию с появлением 4-пропил-2-метокси-фенола. Дальнейшими реакциями являются деоксигенация или деметоксилирование, а также гидрирование ароматического кольца с образованием 3-пропилметоксибензола, п- и м-пропилфенола и 4-пропил-2-метоксициклогексанола соответственно. По истечении 70 мин в реакционной смеси присутствуют пропилбензол, пропилциклогексан, пропилциклогексанол. Финальный продукт превращения эвгенола – пропилциклогексан. Также нужно отметить образование гваякола, анизола и фенола в незначительных количествах, что указывает на возможное деалкилирование эвгенола.
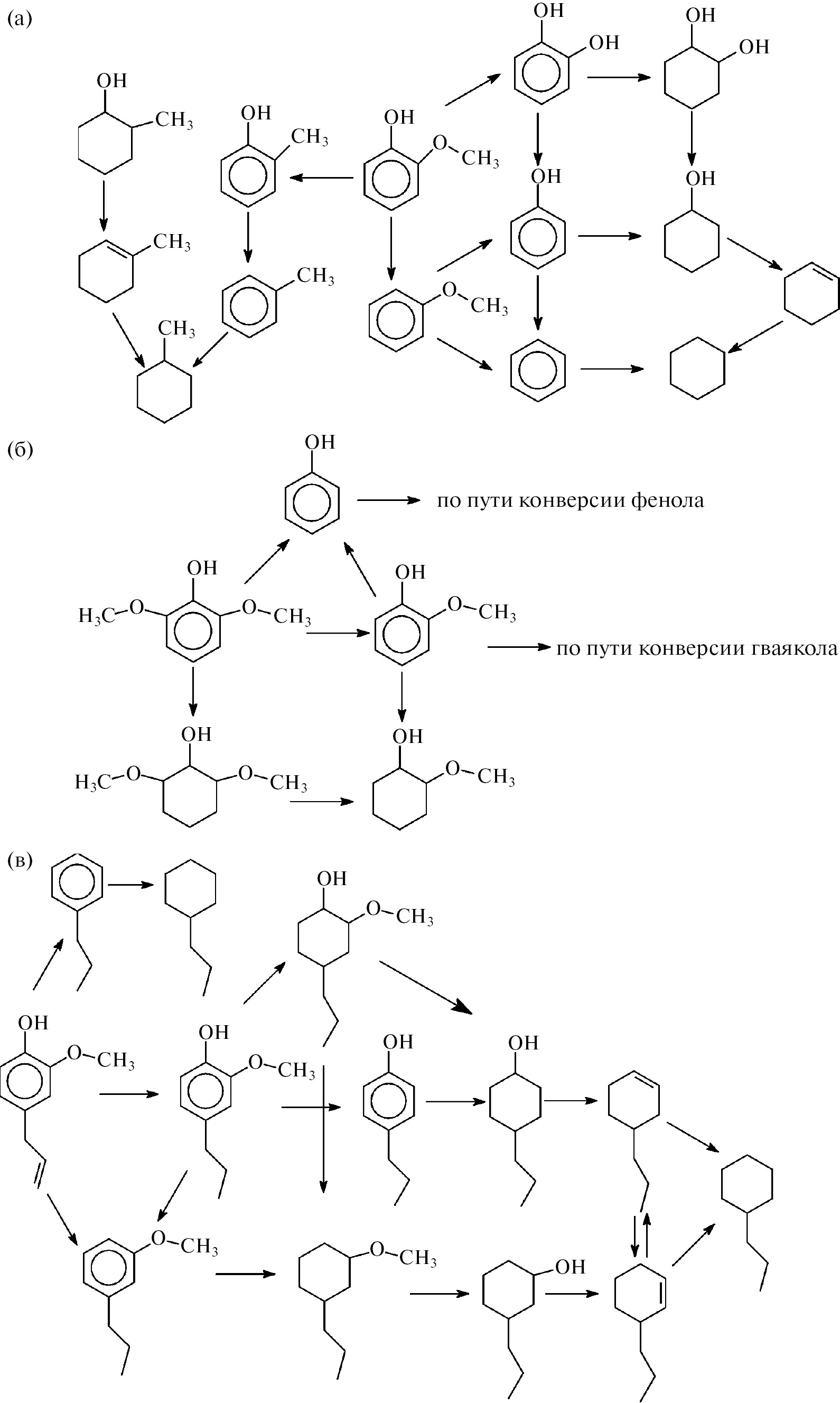
На основании полученных данных пути превращения фенольных соединений деполимеризации лигнина могут быть представлены в виде схем 1 и 2. В целом предложенные схемы соответствуют литературным данным по деоксигенации компонентов бионефти [46–50].
Схема 1. Пути превращения мономеров деполимеризации лигнина: фенола (а), анизола (б), п-этилфенола (в) и гидрохинона (г)
Схема 2. Пути превращения мономеров деполимеризации лигнина: гваякола (а), сирингола (б) и эвгенола (в)
По начальным линейным участкам полученных кинетических кривых были рассчитаны приведенные скорости расходования субстратов (уравнение (1)). Их значения, а также величины суммарной селективности по ароматическим соединениям, найденные по уравнению (2), представлены в табл. 1.
Таблица 1. Скорости расходования продуктов деполимеризации лигнина в присутствии катализатора Ni–Ru/SiO2@HPS*
Компонент | Wп, мольсубстрата гМе-1 мин-1 | Sарены, мол. %** |
Индивидуальные субстраты | ||
Фенол | 0.25 | 70.6 |
Анизол | 0.24 | 47.3 |
п-Этилфенол | 0.36 | 41.8 |
Гидрохинон | 0.29 | 41.5 |
Гваякол | 0.24 | 32.3 |
Сирингол | 0.24 | 56.7 |
Эвгенол | 0.22 | 57.4 |
Смесь субстратов | ||
Фенол | 0.36 | 53.8 |
Анизол | 0.24 | |
п-Этилфенол | 0.32 | |
Гидрохинон | 0.30 | |
Гваякол | 0.22 | |
Сирингол | 0.22 | |
Эвгенол | 0.18 | |
*Условия процесса: температура – 280°С, соотношение субстрата к катализатору – 10 моль субстрата/г металла, парциальное давление водорода – 3.0 Мпа.
**При конверсии 100%.
, (1)
, (2)
где Wп – приведенная скорость, мольсубстрата гМе-1 мин-1; n0 – исходное количество субстрата, моль; nτ – количество субстрата через время τ, моль; τ – промежуток времени линейного расходования субстрата, мин; mMe – масса металла-катализатора, г; nарены –количество образовавшихся ароматических углеводородов, моль; nпродукты – количество образовавшихся продуктов, моль.
Самая высокая скорость расходования субстрата наблюдается для фенола, п-этилфенола и гидрохинона, а самая низкая – для эвгенола. Конверсия анизола, гваякола и сирингола протекает с одинаковой скоростью. Подобное соотношение скоростей связано с реакционной способностью соединений, то есть компоненты, не содержащие метоксигруппу, легче подвергаются последующим превращениям. Что касается селективности по ароматическим соединениям, было обнаружено, что фенол, анизол, сирингол и эвгенол легче вступают в деоксигенацию, нежели в процессы гидрирования ароматического кольца.
Превращение смеси продуктов деполимеризации лигнина
Представленные вещества являются конкурентными субстратами и могут оказывать влияние на пути их дальнейшего превращения. Была изучена конверсия смеси компонентов, близкой по составу продуктам деполимеризации лигнина и содержащей 9 мас. % фенола, 13 мас. % анизола, 27 мас. % гваякола, 21 мас. % сирингола, 19 мас. % эвгенола, 5 мас. % п-этилфенола и 7 мас. % гидрохинона. Процесс осуществляли при условиях, указанных выше. Кривые расходования субстратов во времени представлены на рис. 3. Для оценки влияния субстратов друг на друга были рассчитаны приведенные скорости их расходования и проведено сравнение с аналогичными показателями для индивидуальных компонентов (табл. 1). Как можно отметить, превращение компонентов в смеси характеризуется меньшей скоростью, что можно объяснить их конкуренцией за активные центры катализатора. При этом можно отметить незначительное увеличение скорости конверсии фенола и гидрохинона. Анализ катализата показал образование олигомерных продуктов как результата взаимодействия компонентов смеси между собой. Таким образом, при конверсии смеси мономеров лигнина отсутствует синергетический эффект. Поскольку целевыми продуктами конверсии фенольных субстратов являются ароматические углеводороды, была рассчитана их суммарная селективность образования по достижении полного превращения всех субстратов (табл. 1). Можно отметить, что при совместной конверсии фенольных субстратов селективность по аренам оказывается выше по сравнению с таковой в случае отдельных компонентов. Конкурирование субстратов за активные центры катализатора, а также процессы олигомеризации предположительно препятствуют адсорбции ароматических продуктов и их дальнейшему гидрированию.
Рис. 3. Кривые расходования смеси продуктов деполимеризации лигнина во времени в присутствии катализатора Ni–Ru/SiO2@HPS. Условия процесса: температура – 280°С, соотношение субстрата к катализатору – 10 моль субстрата/г металла, парциальное давление водорода – 3.0 МПа
Исследовано влияние условий (температуры и парциального давления водорода) на процессы совместного превращения мономеров лигнина. Полученные результаты представлены в табл. 2. Среднюю приведенную скорость процесса рассчитывали исходя из начального содержания компонентов в смеси. При повышении температуры от 260 до 300°С этот показатель закономерно увеличивается от 0.17 до 0.33 мольсубстрата гМе-1 мин-1. Селективность по ароматическим углеводородам проходит через максимум при 280°С. Средняя энергия активации процесса составляет 41 кДж/моль. Согласно результатам анализа, при температуре 260°С в реакционной смеси присутствуют продукты гидрирования ароматического кольца субстратов. Также протекает частичное деметоксилирование с образованием преимущественно фенола и анизола. Селективность по циклогексанолам составляет 24 мол. %, по фенолу – 12 мол. %, по анизолу – 14 мол. %. При повышении температуры до 270°С в реакционной смеси увеличивается количество продуктов деоксигенации, однако также возрастает и селективность по циклогексанолам (до 32 мол. %). При температуре выше 280°С в основном образуются циклические углеводороды, селективность по которым при 300°С равна 51 мол. %. Селективность по циклогексанолам составляет 11 мол. %. С ростом температуры процесса в реакционной смеси увеличивается содержание олигомеров.
Таблица 2. Влияние температуры и парциального давления водорода на превращение продуктов деполимеризации лигнина в присутствии катализатора Ni–Ru/SiO2@HPS*
№ | Параметр | Wср, мольсубстрата гМе-1 мин-1 | Sарены, мол. %* | |
давление, МПа | температура, °С | |||
1 | 3.0 | 260 | 0.17 | 43.2 |
2 | 270 | 0.21 | 50.6 | |
3 | 280 | 0.24 | 53.8 | |
4 | 290 | 0.28 | 46.4 | |
5 | 300 | 0.33 | 31.6 | |
6 | 0 | 280 | 0.06 | 97.2 |
7 | 1 | 0.12 | 95.4 | |
8 | 2 | 0.18 | 72.2 | |
9 | 3 | 0.24 | 53.8 | |
10 | 4 | 0.29 | 44.2 | |
11 | 5 | 0.35 | 37.6 | |
*Соотношение субстрата к катализатору – 10 моль субстрата/г металла.
**При конверсии 100%.
Были проведены эксперименты без добавления газообразного водорода в реакционную смесь. В этом случае отмечается преимущественная деоксигенация с образованием аренов, однако скорость расходования субстратов оказывается довольно мала. Кроме того, не наблюдается образования циклических углеводородов, а продукты гидрирования ароматического кольца присутствуют в небольших количествах. Добавление водорода в газообразную среду приводит как к росту скорости превращения продуктов деполимеризации лигнина, так и к изменению соотношения скоростей протекающих реакций. Так, при давлении водорода 1.0–2.0 МПа увеличивается количество циклогексанолов. Повышение парциального давления водорода от 3.0. до 5.0 МПа способствует возрастанию содержания циклических углеводородов как продуктов гидрирования аренов и деоксигенации циклогексанолов. Нужно отметить, что присутствие газообразного водорода в реакционной смеси ингибирует процессы олигомеризации. Таким образом, выбранные в работе [45] условия деполимеризации лигнина (температура 280°С, парциальное давление водорода 3.0 МПа) оказались также оптимальными и для превращения продуктов деполимеризации с точки зрения образования ароматических углеводородов.
ЗАКЛЮЧЕНИЕ
Проведенное исследование позволило определить основные пути превращения продуктов деполимеризации лигнина в среде пропанола-2 при использовании катализатора Ni–Ru/SiO2@HPS. Изученные субстраты подвергаются реакциям гидрирования ароматического кольца и деоксигенации. При конверсии смеси продуктов деполимеризации лигнина превалирует процесс деоксигенации. Конкуренция субстратов за активные центры катализатора ингибирует дальнейшее гидрирование образующихся ароматических углеводородов, тем самым повышая селективность их формирования. Скорости расходования субстратов в смеси снижаются по сравнению с таковыми для индивидуальных субстратов. Помимо процессов гидрирования и деоксигенации наблюдается частичная олигомеризация мономеров лигнина. Было изучено влияние условий проведения процесса на конверсию смеси продуктов деполимеризации лигнина. При температуре 280°С и парциальном давлении водорода 3.0 МПа селективность образования ароматических углеводородов составила около 54 мол. % при средней скорости расходования субстратов 0.24 мольсубстрата гМе-1 мин-1. Стоит отметить, что полученные значения скорости расходования фенольных соединений оказались сопоставимы с данными, представленными в литературе для процессов, протекающих при более высоких температурах (300–350°С). Селективность по аренам в присутствии Ni–Ru/SiO2@HPS оказалась выше, чем при использовании никелевых катализаторов на классических оксидных носителях, однако ниже, чем в случае рутениевых катализаторов на инертных носителях (активированный уголь, сверхсшитый полистирол).
ФИНАНСИРОВАНИЕ
Работа выполнена при финансовой поддержке Российского научного фонда (грант 22-79-10096).
КОНФЛИКТ ИНТЕРЕСОВ
Авторы заявляют об отсутствии конфликта интересов, требующего раскрытия в данной статье.
Об авторах
А. А. Степачёва
Тверской государственный технический университет
Автор, ответственный за переписку.
Email: a.a.stepacheva@mail.ru
Россия, Тверь
Е. Д. Терешина
Тверской государственный технический университет
Email: a.a.stepacheva@mail.ru
Россия, Тверь
А. А. Тарасова
Тверской государственный технический университет
Email: a.a.stepacheva@mail.ru
Россия, Тверь
М. В. Акинчиц
Тверской государственный технический университет
Email: a.a.stepacheva@mail.ru
Россия, Тверь
Е. А. Ершова
Тверской государственный технический университет
Email: a.a.stepacheva@mail.ru
Россия, Тверь
С. Д. Емельянова
Тверской государственный технический университет
Email: a.a.stepacheva@mail.ru
Россия, Тверь
В. Г. Матвеева
Тверской государственный технический университет
Email: a.a.stepacheva@mail.ru
Россия, Тверь
М. Г. Сульман
Тверской государственный технический университет
Email: a.a.stepacheva@mail.ru
Россия, Тверь
Список литературы
- Yan P., Wang H., Liao Y., Wang C. // Renew. Sustain. Energy Rev. 2023. V. 178. P. Art. 113219.
- Jing Y., Guo Y., Xia Q., Liu X., Wang Y. // Chem. 2019. V. 5. № 10. P. 2520.
- Stocker M. // Angew. Chem. Int. Ed. 2008. V. 47. № 48. P. 9200.
- Sun Z., Bottari G., Afanasenko A., Stuart M.C.A., Deuss P.J., Fridrich B., Barta K. // Nature Catal. 2018. V. 1. P. 82.
- Передерий С. // ЛесПромИнформ. 2021. Т. 157. № 3. С. 108.
- Симонова В.В., Шендрик Т.Г., Кузнецов Б.Н. // Журнал Сибирского Федерального Университета. Химия. 2010. Т. 4. № 3. С. 340.
- Gillet S., Aguedo M., Petitjean L., Morais A.R.C., da Costa Lopes A.M., Lukasik R.M., Anastas P.T. // Green Chem. 2017. V. 19. P. 4200.
- Размер рынка лигнина, доля. Прогнозный отчет, 2024-2032. https://www.gminsights.com/ru/industry-analysis/lignin-market
- Jing Y., Dong L., Guo Y., Liu X., Wang Y. // ChemSusChem. 2019. V. 13. № 17. P. 4181.
- Schutyser W., Renders T., Van den Bosch S., Koelewijin S.F., Beckman G.T., Sels B.F. // Chem. Soc. Rev. 2018. V. 47. P. 852.
- Карманов А.П., Монаков Ю.Б. // Успехи химии. 2003. Т. 72. № 8. С. 797.
- Ninomiya K., Ochiai K., Eguchi M., Kuroda K., Tsuge Y., Ogino C., Taima T., Takahashi K. // Ind. Crops Prod. 2018. V. 111. P. 457.
- Wan Z., Zhang H., Niu M., Guo Y., Li H. // Int. J. Biol. Macromol. 2024. V. 272. Part 1. Art. 132922.
- Mukesh C., Huang G., Qin H., Liu Y., Ji X. // Biomass & Bioenergy. 2024. V. 188. Art. 107305.
- Lian P., Liu S., Ma Z., Wang X., Han Y. // Ind. Crops Prod. 2024. V. 212. Art. 118376.
- Кузнецов Б.Н., Чесноков Н.В. // Химия в интересах устойчивого развития. 2018. Т. 26. С. 305.
- Bhatia S.K., Gurav R., Choi T.R., Han Y.H., Park Y.L., Park J.Y., Jung H.R., Yang S.Y., Song H.S., Kim S.H., Choi K.Y., Yang U.H. // Biores. Technol. 2019. V. 289. Art. 121704.
- Hou S., Shen B., Zhang D., Li R., Xu X., Wang K., Lai C., Yong Q. // Biores. Technol. 2022. V. 362. P. 127825.
- Knezevic A., Milovanovic I., Stajic M., Loncar N., Brceski I., Vukojevic J., Cilerdzic J. // Biores. Technol. 2013. V. 138. P. 117.
- Liu E., Segato F., Prade R.A., Wilkins M.R. // Biores. Technol. 2021. V. 338. Art. 125564.
- Долгоносов Б.М., Губернаторова Т.Н. Механизмы и кинетика деструкции органического вещества в водной среде. Москва: URSS. 2011. 208 с.
- Феофилова Е.П., Мысякина И.С. // Прикладная биохимия и микробиология. 2016. Т. 52. № 6. С. 559.
- Ильясов С.Г., Черкашин В.А., Сакович Г.В. // Химия растительного сырья. 2013. Т. 4. С. 21.
- Арапова О.В., Чистяков А.В., Цодиков М.В., Моисеев И.И. // Нефтехимия. 2020. Т. 60. № 3. С. 251.
- Куликова М.В., Крылова А.Ю., Крысанова К.О., Куликов А.Б., Максимов А.Л. // Наногетерогенный катализ. 2023. Т. 8. № 1. С. 3.
- Perez E., Abad-Fernandez N., Lourencon T., Balakshin M., Sixta H., Cocero M.J. // Biomass & Bioenergy. 2022. V. 163. Art. 106536.
- Patil V., Adhikari S., Cross P., Jahromi H. // Renew. Sustain. Energy Rev. 2020. V. 133. Art. 110359.
- Akiya N., Savage P.E. // Chem. Rev. 2002. V. 102. № 8. P. 2725.
- Hu J., Zhang S., Xiao R., Jiang X., Wang Y., Sun Y., Lu P. // Biores. Technol. 2019. V. 279. P. 228.
- Kong X., Liu C., Xu W., Han Y., Fan Y., Lei M., Li M., Xiao R. // Fuel Proces. Technol. 2021. V. 218. Art. 106869.
- Shen D., Liu N., Dong C., Xiao R., Gu S. // Chem. Eng. J. 2015. V. 270. P. 641.
- Kim J.Y., Oh S., Hwang H., Cho T.S., Choi I.G., Choi J.W. // Chemosphere. 2013. V. 93. № 9. P. 1755.
- Nielsen J.B., Jensen A., Madsen L.R., Larsen F.H., Felby C., Jensen A.D. // Energy & Fuels. 2017. V. 31. № 7. P. 7223.
- Huang X., Koranyi T.I., Boot M.D., Hensen E.J.M. // Green Chem. 2015. V. 17. P. 7359.
- Phongpreecha T., Christy K.F., Singh S.K., Hao P., Hodge D.B. // Biores. Technol. 2020. V. 316. Art. 123907.
- Jiang B., Hu J., Qiao Y., Jiang X., Lu P. // Energy & Fuels. 2019. V. 33. P. 8786.
- Sang Y., Wu Q., Liu Q., Bai Y., Chen H., Li Y. // Energy & Fuels. 2021. V. 35. № 1. P. 519.
- Yang X., Feng M., Choi J.S., Meyer H.M., Yang B. // Fuel. 2019. V. 244. P. 528.
- Shu R., Xu Y., Ma L., Zhang Q., Wang C., Chen Y. // Chem. Eng. J. 2018. V. 338. P. 457.
- Kristianto I., Limarta S.O., Lee H., Ha J.M., Suh D.J., Jae J. // Biores. Technol. 2017. V. 234. P. 424.
- Huang S., Mahmood N., Zhang Y., Tymchyshyn M., Yuan Z., Xu C.C. // Fuel. 2017. V. 209. P. 579.
- Li L., Kong J., Zhang H., Liu S., Zheng Q., Zhang Y., Ma H., He H., Long J., Li X. // Appl. Catal. B: Environ. 2020. V. 279. № 15. Art. 119343.
- Deng W., Zhang H., Wu X., Li R., Zhang Q., Wang Y. // Green Chem. 2015. V. 17. P. 5009.
- Tarabanko V.E., Kaygorodov K.L., Kazachenko A.S., Smirnova M.A., Chelbina Y.V., Kosivtsov Y., Golubkov V.A. // Catalysts. 2023. V. 13. № 12. P. 1490.
- Stepacheva A.A., Manaenkov O.V., Markova M.E., Sidorov A.I., Bykov A.V., Sulman M.G., Kiwi-Minsker L. // Catalysts. 2023. V. 13. № 5. P. 856.
- Chen H.-Y.T., Pacchioni G. // ChemCatChem. 2016. V. 8. P. 2492.
- Kirkwood K., Jackson S.D. // Top. Catal. 2021. V. 64. P. 934.
- Peters J.E., Carpenter J.R., Dayton D.C. // Energy & Fuels. 2015. V. 2. P. 909.
- Venkatesan K., Krishna J.V.J., Anjana S., Selvam P., Vinu R. // Catal. Commun. 2021. V. 148. Art. 106164.
- Li X., Liu J., Zhang J., Liu B., Ma W., Wang C., Chen G. // Cellulose. 2019. V. 26. P. 8301.
Дополнительные файлы







