Kinetics of chemical reactions in spray
- Autores: Fedoseev V.B.1, Fedoseeva Е.N.2
-
Afiliações:
- G.A. Razuvaev Institute of Organometallic Chemistry, Russian Academy of Sciences
- Lobachevsky State University of Nizhny Novgorod
- Edição: Volume 65, Nº 2 (2024)
- Páginas: 107-115
- Seção: ARTICLES
- URL: https://ogarev-online.ru/0453-8811/article/view/264989
- DOI: https://doi.org/10.31857/S0453881124020016
- EDN: https://elibrary.ru/DYCONV
- ID: 264989
Citar
Texto integral
Resumo
The number of observations demonstrating a significant effect of droplet sizes on the kinetics of chemical processes has increased with the expansion of the scope of application of spray technology. The equations linking the concentrations of reagents, the volume of droplets, the initial composition of the solution, the composition of the gas medium and the speed of processes are formulated within the framework of formal chemical kinetics. Using the example of second-order reactions (coupling, exchange, condensation, polymerization, polycondensation), it is shown that size kinetic effects occur when chemical processes are accompanied by changes in the droplet sizes in equilibrium with the gas medium. The results of computer simulation of condensation reaction and polycondensation process reproducing size effects are presented. Kinetic curves obtained by modeling the polycondensation process are compared with experimental data.
Palavras-chave
Texto integral
ВВЕДЕНИЕ
Размерные кинетические эффекты в аэрозолях представляют практический интерес для технологических процессов, в которых химический синтез происходит непосредственно в каплях. Широкое распространение получили методы спрей-пиролиза [1, 2], а также менее энергоемкие технологии, такие как аэрозольный проточный реактор (aerosol flow reactor) [3, 4], аэрозольная фотополимеризация (aerosol photopolymerization) [5, 6], реактивная распылительная сушка (reactive spray-drying) [7, 8] и другие. В спрее возникают несуществующие в макроскопических системах метастабильные термодинамические состояния [9, 10], меняются условия протекания реакций [11, 12], формируются материалы с особой структурой [1, 2, 13], составом [6, 14] и свойствами [15].
Достаточно детально в литературе рассмотрены размерные кинетические эффекты при горении топлива в распыленном состоянии [16] и гетерогенном катализе [17–19], где поверхность влияет на порядок реакции, константу скорости (энергию активации и предэкспоненциальный множитель). В [20, 21] проанализированы некоторые иные факторы (морфология и фазовый состав частиц), определяющие размерные эффекты при гетерогенно-каталитических реакциях окисления и гидрирования.
Авторы [22] утверждают, что в большинстве частиц атмосферного аэрозоля фотохимические реакции идут с большей скоростью, чем в макросистеме. В [23] описана сильная нелинейная зависимость времени жизни продуктов озонолиза в аэрозолях. При исследовании кинетики реакций в аэрозольных частицах выявлен быстрый вырожденно-разветвленный режим реакции [24] и ускорение образования сульфатов.
Обзор кинетических эффектов, наблюдаемых в микрокаплях, приведен в [25]. Быстрый синтез полипептидных частиц в процессе распылительной сушки описан в [8]. Там же и в работе [26] обращается внимание на особенности выбора растворителей и заметное снижение требований к чистоте реакционной смеси.
Размерный кинетический эффект обнаружен при полимеризации капель мономера, окруженных несмешивающейся жидкостью раствора инициатора [27]. В работе [28] численно смоделирован размерный кинетический эффект на примере реакции конденсации глицина с глюкозой. При интегрировании кинетического уравнения было показано, что скорость реакции и степень превращения в капле существенно выше, чем в макросистеме.
Цель работы – распространить формализм [28], описывающий размерные кинетические эффекты в спрее, на более широкий круг реакций, проиллюстрировав его сопоставлением модельных расчетов и эксперимента на примере реакции поликонденсации.
ТЕОРЕТИЧЕСКАЯ ИНТЕРПРЕТАЦИЯ РАЗМЕРНЫХ КИНЕТИЧЕСКИХ ЭФФЕКТОВ
В [28] причиной возникновения размерных кинетических эффектов названа зависимость концентрации летучих компонентов (растворителей, реагентов и продуктов) от радиуса капель и состава газовой среды. Она является следствием выравнивания химических потенциалов летучих компонентов в конденсированной и газовой фазах. Инвариантность химических потенциалов при фазовом равновесии отображается законом Рауля (для реальных растворов – закон Генри) и уравнениями Кельвина и Оствальда–Фрейндлиха [29].
В соответствии с уравнением Кельвина концентрация летучего компонента в капле раствора равна:
(1)
где и – давление насыщенного пара над чистым компонентом i и его парциальное давление в газовой фазе, –– коэффициент активности, Vi – мольный объем, A – поверхностное натяжение, r – радиус, R – газовая постоянная, T – температура. Для идеальных растворов , для реальных растворов является функцией концентрации и термодинамических условий.
Уравнение (1) полностью определяет равновесный размер капель идеального раствора, содержащего нелетучие и малорастворимые компоненты [30, 31]. Изменение состава и количества нелетучих компонентов при химических превращениях может вызвать испарение или конденсацию летучих компонентов, что меняет концентрации нелетучих реагентов и, в соответствии с формальной химической кинетикой, скорость химических реакций. Таким образом, уменьшение радиуса капель ускоряет, а увеличение замедляет химические процессы в капле. Это одна из основ размерных кинетических эффектов в спрее.
Другим основанием для обсуждения роли размерных эффектов в кинетике химических процессов являются термодинамические аспекты влияния размера капель аэрозоля на химическое равновесие [12]. Зависимость констант химического равновесия от размера капель предполагает соответствующее изменение скоростей прямой и обратной химических реакций.
Продемонстрируем взаимосвязь концентраций летучих и нелетучих компонентов с размером капель и составом газовой фазы на примере реакций второго порядка. Для этого скорость реакции второго порядка в капле раствора радиусом представим в виде:
(2)
здесь – константа скорости химической реакции, и – концентрация (моль/л) и число молей реагентов в капле, – объем капли, – мольные объемы компонентов. Индексами K = А, В, С, D обозначены нелетучие реагенты и продукты реакции, индекс S ниже соответствует летучему растворителю.
Концентрации реагентов в капле могут меняться не только в результате химических превращений, но и при испарении или конденсации летучих компонентов реакционной смеси, в частности растворителя и продуктов реакции. Тогда изменение объема сопровождается изменением скорости реакции (2).
Ограничим рассмотрение кинетическим режимом протекания реакции. В этом случае применимо изотермическое приближение, позволяющее пренебрегать временем установления межфазного равновесия, а капли считать однородными по составу и температуре [32]. При диффузионном режиме необходимо описание, учитывающее процессы массо- и теплопереноса внутри капель [33, 34], в частности, при полимеризации [35]. В общем случае эволюция капель аэрозоля, содержащего реакционную смесь, представляет собой совокупность кинетических, тепло- и массообменных процессов внутри и в окрестности капель [34–36].
Если капли не обмениваются нелетучими компонентами с внешней средой, равновесный с газовой фазой объем равен:
(3)
где и – суммарное число молей и объем нелетучих компонентов в капле, хi и – мольная доля и мольный объем i-того компонента. Число молей летучих (vol) компонентов в капле связано с составом газовой фазы уравнением (1).
Таким образом, в кинетическом режиме радиус капель определен текущим составом нелетучих компонентов и составом газовой фазы (1) и (3). Те же уравнения позволяют оценить отношение скоростей реакций для капель и макросистемы, из которого следует, что скорость реакций в капле раствора больше, чем в макросистеме:
здесь – порядок реакции, – мольная доля летучего растворителя в окрестности капли (1) и макросистеме (), величина С содержит константы и величины, которые не зависят от .
Сначала рассмотрим реакцию соединения с образованием нелетучего продукта . Степень превращения () и числа молей компонентов для стехиометрической смеси () в процессе превращения равны:
здесь – исходное число молей реагента.
Равновесный с газовой фазой объем капли равен
(4)
где .
Для идеальных растворов трансцендентному уравнению (4) удовлетворяет единственное значение . Соответственно скорость реакции в кинетическом режиме будет функцией тех же параметров ().
Образование летучего продукта, являющегося растворителем , меняет объем капли несколько иначе. В этом случае равновесный объем капли сильнее зависит от степени превращения () для стехиометрической смеси ():
(5)
здесь
Количество летучего компонента определяется количеством нелетучих реагентов: при процесс идет с постоянным ускорением, а капля в конечном итоге полностью испарится. Образование отличных от растворителя летучих продуктов также способствует ускорению реакции, но может заканчиваться образованием монодисперсного аэрозоля [30].
Аналогичные закономерности характерны и для реакций обмена. Рассмотрим реакции с нелетучими реагентами типа (а) и (б). В случае (а) и реагенты, и продукты нелетучие. В случае (б) летучий растворитель одновременно является продуктом реакции (нейтрализации, конденсации, этерификации и др.). Для стехиометрической смеси () степень превращения и количества компонентов равны , , , для растворителя в случае (а) и в случае (б)
Равновесный объем капли зависит от типа реакции. Для (а) имеем:
(6)
где
Для (б) имеем:
(7)
где
Если , размерный кинетический эффект должен наблюдаться только для реакций типа (б), так как в случае (а) объем капли не изменяется (6). Тем не менее, эффект возникнет и при реакциях типа (а), если меняется поверхностное натяжение реакционной смеси. Например, рост поверхностного натяжения в соответствии с (1) способствует уменьшению , объема капли и ускорению химических процессов (2).
Если в реакциях участвует летучий реагент, размерные кинетические эффекты усложняются. Это можно показать на примере реакций второго порядка, в которых реагентом является растворитель. В кинетическом уравнении (2) появляется дополнительный множитель, возрастающий при уменьшении радиуса:
(8)
Схему (8) можно расширить, рассматривая более сложные ситуации. Например, для смесей, в состав которых входит несколько летучих (vol) компонентов, множитель принимает вид (3), а при наличии не участвующих в реакции нелетучих (nvol) компонентов содержание летучих компонентов в капле описывается соотношением . Объем капли этого многокомпонентного раствора равен:
(9)
Скорость реакции между летучими реагентами X и Y в капле имеет вид:
(10)
где n – суммарное число молей в капле.
При (все компоненты реакционной смеси являются летучими) уравнение (1) определяет равновесный с газовой средой состав и радиус капли в соответствии с тождеством
В этом случае скорость реакции в кинетическом приближении зависит только от состава газовой фазы и свойств компонентов:
(11)
здесь – мольный объем раствора.
Возникает ситуация, когда капля непрерывно поглощает реагенты из газовой фазы и испаряет продукты. Если реакция идет и в газовой, и в конденсированной фазе, то присутствие аэрозоля должно способствовать ускорению химических процессов, так как в конденсированной фазе объемная концентрация реагентов выше.
Образование нелетучих продуктов увеличивает все переменные величины, входящие в уравнение (10). В этом случае кинетика процесса зависит от свойств компонентов (мольный объем, поверхностная активность, парциальное давление).
Приведенный формализм можно распространить на реакции разного порядка и многостадийные процессы. В соответствии с (4)–(11) размерные кинетические эффекты связаны с составом реакционной смеси и объемом капли. Оба эти фактора являются существенными при полимеризации или поликонденсации. Естественно ожидать, что размерные кинетические эффекты имеют большое значение и для этих процессов. Рассмотрим их более детально.
Рост цепи полимера описывается реакцией при полимеризации и при поликонденсации (символами M и P обозначены мономер и полимер). Пусть процесс протекает в летучем растворителе S, который при поликонденсации является участником реакции. Степень превращения (конверсия мономера) определяет текущее количество мономера , полимера и растворителя здесь – исходное число молей мономера, – средняя степень полимеризации.
Равновесный объем капли при полимеризации и поликонденсации равен
(12)
(13)
здесь и – контракция при полимеризации и поликонденсации соответственно.
Средняя степень полимеризации может быть описана разными способами. В тривиальном случае можно принять условие . Например, при те же уравнения соответствуют реакции димеризации. Нами использована оценка, основанная на комбинаторной теории разбиений , где – число Авогадро [37, 38]. В этом приближении растет с увеличением конверсии, и ее максимальное значение определено исходным размером капли. Очевидно, что комбинаторное приближение окажется некорректным при действии факторов, влияющих на (инициатор, ингибитор и др.).
Приведенное формальное описание дает обоснование существованию размерных кинетических эффектов. Их практическую значимость подтверждают количественные оценки с их сопоставлением с экспериментом. Пример численного моделирования размерных кинетических эффектов дан в [28]. Аналогичную оценку воспроизведем для более сложного процесса – реакции поликонденсации.
РЕЗУЛЬТАТЫ МОДЕЛИРОВАНИЯ РАЗМЕРНЫХ ЭФФЕКТОВ
В качестве примера рассмотрим реакцию поликонденсации молочной кислоты, идущую с образованием полилактида (ПЛА). Согласно [39], реакции образования лактидов и полилактида из S-молочной кислоты характеризуются небольшими положительными значениями энергии Гиббса. В отличие от реакции конденсации глицина с глюкозой, рассмотренной в [28], поликонденсация молочной кислоты обратима. Процесс может идти самопроизвольно, но при этом в макросистеме равновесие сдвинуто в сторону гидролиза. Экспериментально исследованные особенности ее течения в спрее [40] позволяют сопоставить результаты расчета и опыта.
В условиях спрея конверсия молочной кислоты моделируется уравнением
(14)
здесь и – константы скорости поликонденсации и гидролиза, – эффективная константа скорости димеризации мономера, которая косвенно учитывает обратимость димеризации, .
Реакция димеризации добавлена, чтобы избежать нулевой скорости полимеризации в момент , когда и . Но для того, чтобы образование димера не лимитировало конверсию мономера, константа скорости этой реакции принята малой (). При этом димер отождествляется с полимером, инициируя начало поликонденсации.
Выражая скорость через степень превращения, получим
На рис. 1 показаны кинетические кривые, полученные как результат моделирования процесса поликонденсации водного раствора молочной кислоты (xS = 0.56, влажность – 30%, температура – 298 К) при условии k = kh для капель разного размера. Точность и устойчивость интегрирования определяются шагом kdt, позволяющим при расчетах использовать безразмерное время и произвольные значения констант скорости реакции.
Рис. 1. Результаты моделирования динамики поликонденсации молочной кислоты в каплях с радиусом, мкм: 27 (1), 58 (2), 125 (3), 270 (4), 582 (5). Стрелка указывает положение максимума на кривой 5.
Для сравнения на рис. 2 приведена экспериментально выявленная динамика контракции капель водного раствора молочной кислоты [40]. Контракция является результатом испарения низкомолекулярного продукта (воды) и поликонденсации молочной кислоты. Капли создавали распылением водного раствора молочной кислоты (80 мас. % или x0 = 0.56 , x1 = 0.44, влажность – 33 ± 2%, температура – 23–25°С) на предметное стекло. Каких-либо дополнительных реагентов и воздействий не применяли. Кривые контракции восстанавливали из последовательности цифровых изображений ансамбля капель, записанных цифровым микроскопом (Levenguk D670T).
Рис. 2. Изменение скорости контракции при высыхании сидячих капель раствора молочной кислоты в процессе поликонденсации с радиусом, мкм: 2 (1), 10 (2), 14 (3), 30 (4).
Положение максимума скорости поликонденсации при моделировании определено произведением . При использовании комбинаторного приближения , максимум скорости достигается при α = 1/3. При этом максимальная скорость υmax и время ее достижения имеют вид и .
Поскольку характерное время процесса в спрее (без катализатора при температуре 25°С) [40] сопоставимо с продолжительностью синтеза ПЛА в макросистеме [41–43], для грубой оценки времени достижения максимума скорости процесса было использовано приведенное в [41] значение k ≈ 10–5 моль л–1с–1. В пересчете к температуре 298 К эта величина будет на 3–4 порядка ниже.
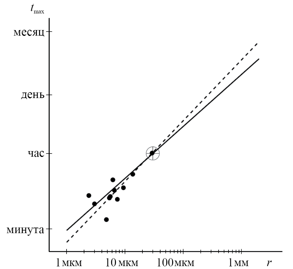
Экспериментальная и теоретическая зависимости (рис. 3) вполне сопоставимы, если принять во внимание, что диаметр микронных капель определяется в опыте с большой погрешностью, а связь между скоростью поликонденсации и контракцией – нелинейная. Различие показателей степени может означать, что комбинаторная оценка завышает степень полимеризации. В r = 30 мкм максимум скорости достигается через 1 ч (рис. 2). При этом обе зависимости прогнозируют, что в миллиметровых каплях максимальная скорость будет достигнута через несколько суток. Для более крупных капель это время бессмысленно велико, следовательно, скорость процесса стремится к нулю.
Рис. 3. Теоретическая и экспериментальная (пунктир) оценки времени достижения максимума скорости поликонденсации в зависимости от радиуса капли. Теоретическая зависимость нормирована по капле радиусом 30 мкм (окружность).
ЗАКЛЮЧЕНИЕ
Формальное рассмотрение реакций второго порядка разного типа позволяет утверждать, что в общем случае размерные кинетические эффекты должны проявляться при химических и фазовых превращениях в аэрозолях. Их результатом может быть и ускорение, и замедление процессов. Это определяется составом конденсированной и газовой фаз, свойствами реагентов и типом реакции.
Приведенные результаты моделирования и эксперимент отчетливо демонстрируют ускорение поликонденсации при уменьшении размеров капель и согласуются с теоретической интерпретацией размерных кинетических эффектов.
Теоретическое описание выявляет ряд факторов, существенно влияющих на кинетику химических процессов в аэрозолях, а именно: изменение объема и числа молей нелетучих компонентов при реакции, а также свойства реагентов и продуктов реакции, оказывающие воздействие на фазовое равновесие жидкость–газ (1) (мольный объем, поверхностная активность, парциальное давление в газовой фазе). Для процессов полимеризации важным фактором является зависимость степени полимеризации от размера капель и конверсии. Именно поэтому чаще всего ускорение химических процессов в аэрозолях обнаруживается при исследованиях полимеризации и фотополимеризации.
Размерный кинетический эффект, вне зависимости от этих факторов, должен проявляться на стадии формирования спрея, когда устанавливается равновесие между раствором и газовой средой [28, 30].
Для быстро протекающих реакций большая удельная поверхность позволяет эффективно удалять низкомолекулярные продукты и выделяющееся в реакции тепло и стабилизировать химические процессы. При этом переход реакции в диффузионный режим может приводить к возникновению дополнительных размерных эффектов, связанных с неоднородным распределением реагентов в капле [27].
ФИНАНСИРОВАНИЕ
Работа выполнена в соответствии с государственным заданием ИМХ РАН с использованием оборудования центра коллективного пользования “Аналитический центр ИМХ РАН” при поддержке гранта “Обеспечение развития материально-технической инфраструктуры центров коллективного пользования научным оборудованием” (Уникальный идентификатор RF-2296.61321X0017, номер соглашения 075-15-2021-670).
КОНФЛИКТ ИНТЕРЕСОВ
Авторы заявляют об отсутствии конфликта интересов, требующего раскрытия в данной статье
Sobre autores
V. Fedoseev
G.A. Razuvaev Institute of Organometallic Chemistry, Russian Academy of Sciences
Autor responsável pela correspondência
Email: vbfedoseev@yandex.ru
Rússia, 49 Tropinina str., Nizhny Novgorod, 603137
Е. Fedoseeva
Lobachevsky State University of Nizhny Novgorod
Email: vbfedoseev@yandex.ru
Rússia, 23, prosp. Gagarina, Nizhny Novgorod, 603022
Bibliografia
- Leng J., Wang Z., Wang J., Wu H.H., Yan G., Li X., Guo H., Liu Y., Zhang Q., Guo Z. // Chem. Soc. Rev. Royal Society of Chemistry. 2019. V. 48. № 11. P. 3015. https://doi.org/10.1039/c8cs00904j
- Łatka L., Pawłowski L., Winnicki M., Sokołowski P., Małachowska A., Kozerski S. // Appl. Sci. 2020. V. 10. № 15. https://doi.org/10.3390/app10155153
- Raula J., Eerikäinen H., Lähde A., Kauppinen E.I. // Nanoparticulate Drug Delivery System. 2007. № 7. P. 111. https://doi.org/10.1201/9781420008449-8
- Bernard F., Fedioun I., Peyroux F., Quilgars A., Daële V., Mellouki A. // J. Aerosol Sci. 2012. V. 43. № 1. P. 14. https://doi.org/10.1016/j.jaerosci.2011.08.005
- Akgün E., Hubbuch J., Wörner M. // Macromol. Mater. Eng. 2014. V. 299. № 11. P. 1316. https://doi.org/10.1002/mame.201400032
- Suvarli N., Perner-Nochta I., Hubbuch J., Wörner M. // Polymers (Basel). 2021. V. 13. № 24. P. 4363. https://doi.org/10.3390/polym13244363
- Reinhold M., Horst C., Hoffmann U. // Chem. Eng. Sci. 2001. V. 56. № 4. P. 1657. https://doi.org/10.1016/S0009-2509(00)00394-8
- Glavas L., Odelius K., Albertsson A.C. // Biomacromol. Am. Chem. Soc. 2016. V. 17. № 9. P. 2930. https://doi.org/10.1021/acs.biomac.6b00747
- Murray B.J., Bertram A.K. // Phys. Chem. Chem. Phys. 2006. V. 8. № 1. P. 186. https://doi.org/10.1039/b513480c
- Федосеев В.Б., Федосеева Е.Н. // Письма в ЖЭТФ. 2013. Т. 97. № 7. С. 473. 10.7868/S0370274X13070072 (Fedoseev V.B., Fedoseeva E.N. // JETP Lett. 2013. V. 97. № 7. P. 408). https://doi.org/10.1134/S0021364013070059
- Lee J.K., Walker K.L., Han H.S., Kang J., Prinz F.B., Waymouth R.M., Nam H.G., Zare R.N. // Proc. Natl. Acad. Sci. 2019. V. 116. № 39. P. 19294. https://doi.org/10.1073/pnas.1911883116
- Федосеев В.Б., Федосеева Е.Н. // Конденсированные среды и межфазные границы. 2022. № 24(1). С. 101. 10.17308/kcmf.2022.24/9060 (Fedoseev V.V., Fedoseeva E.N. // Condensed Matter and Interphases. 2022. V. 24. № 1. P. 101). https://doi.org/10.17308/kcmf.2022.24/9060
- Chen P., Ye N., He C., Tang L., Li S., Sun L., Li Y. // Appl. Sci. 2019. V. 9. № 2. P. 228. https://doi.org/10.3390/app9020228
- Partch R.E., Nakamura K., Wolfe K.J., Matijević E.// J. Colloid Interface Sci. 1985. V. 105. № 2. P. 560. https://doi.org/10.1016/0021-9797(85)90331-5
- Arias V., Odelius K., Albertsson A.C. // Macromol. Rapid Commun. 2014. V. 35. № 22. P. 1949. https://doi.org/10.1002/marc.201400374
- Petranović Z., Edelbauer W., Vujanović M., Duić N. // Fuel. 2017. V. 191. P. 25. https://doi.org/10.1016/j.fuel.2016.11.051
- Roelofs F., Vogelsberger W., Buntkowsky G. // Zeitschrift fur Phys. Chemie. 2008. V. 222. № 8–9. P. 1131. https://doi.org/10.1524/zpch.2008.5393
- Cui Z., Xue Y., Xiao L., Wang, T. // J. Comput. Theor. Nanosci. 2013. V. 10. № 3. P. 569. https://doi.org/10.1166/jctn.2013.2735
- Xue Y., Wang X., Cui Z. // Prog. React. Kinet. Mech. 2011. V. 36. № 4. P. 329. https://doi.org/10.3184/146867811X13103063934186
- Стрижак П.Е., Трипольский, А.И., Космамбетова Г.Р., Диденко О.З., Гурник Т.Н. // Кинетика и катализ. 2011. Т. 52. № 1. С. 131. (Strizhak P.E., Trypolskyi A.I., Kosmambetova G.R., Didenko O.Z., Gurnyk T.N. // Kinet. Catal. 2011. V. 52. № 1. P. 128. https://doi.org/10.1134/S0023158411010186)
- Шишулин А.В., Федосеев В.Б. // Кинетика и катализ. 2019. Т. 60. № 3. С. 334. 10.1134/S0453881119030134 (Shishulin A.V., Fedoseev V.B. // Kinet. Catal. 2019. V. 60. № 3. P. 315. https://doi.org/10.1134/S0023158419030121)
- Corral Arroyo P., David G., Alpert P.A., Parmentier E.A., Ammann M., Signorell R. // Science (New York). 2022. V. 376. № 6590. P. 293. https://doi.org/10.1126/science.abm7915
- Qiu J., Ishizuka S., Tonokura K., Colussi A.J., Enami S. // J. Phys. Chem. Lett. 2019. V. 10. № 19. P. 5748. https://doi.org/10.1021/acs.jpclett.9b01953
- Ермаков А.Н. // Кинетика и катализ. 2023. Т. 64. № 1. С. 86. 10.31857/S045388112301001X (Yermakov А.N. // Kinetics and Catalysis. 2023. V. 64. № 1. P. 74. https://doi.org/10.1134/S0023158423010019)
- Wei Z., Li, Y., Cooks R.G., Yan X. // Annu. Rev. Phys. Chem. 2020. V. 71. P. 31. https://doi.org/10.1146/annurev-physchem-121319-110654
- Raula J., Eerikäinen H., Kauppinen E.I. // Int. J. Pharm. 2004. V. 284. № 1–2. P. 13. https://doi.org/10.1016/j.ijpharm.2004.07.003
- Roshchin D.E., Patlazhan S.A., Berlin A.A. // Eur. Polym. J. 2023. P. 112002. https://doi.org/10.1016/j.eurpolymj.2023.112002
- Федосеев В.Б. // Письма в журнал технической физики. 2023. Т. 49. № 8. С. 32. 10.21883/PJTF.2023.08.55135.19469 (Fedoseev V.B. // Tech. Phys. Lett. 2023. V. 49. № 4. P. 71). https://doi.org/10.21883/TPL.2023.04.55884.19469
- Русанов А.И. // Коллоидный журнал. 2012. Т. 74. № 2. С. 148. (Rusanov, A.I. // Colloid J. 2012. V. 74. № 2. P. 136). https://doi.org/10.1134/S1061933X1202010X
- Федосеев В.Б., Федосеева Е.Н. // Инженерно-физический журнал. 2020. Т. 93. № 5. С. 1154. (Fedoseev V.B., Fedoseeva E.N. // J. Eng. Phys. Thermophys. 2020. V. 93. № 5. P. 1116). https://doi.org/10.1007/s10891-020-02212-6
- Федосеев В.Б., Федосеева Е.Н. // Инженерно-физический журнал. 2019. Т. 92. № 5. С. 2229. (Fedoseev, V.B., Fedoseeva E.N. // J. Eng. Phys. Thermophys. 2019. V. 92. № 5. P. 1191). https://doi.org/10.1007/s10891-019-02033-2
- Франк-Каменецкий Д.А. Основы макрокинетики. Диффузия и теплопередача в химической кинетике. Долгопрудный: Издательский Дом “Интеллект”, 2008. 408 с.
- Marin A., Karpitschka S., Noguera-Marín D., Cabrerizo-Vílchez M.A., Rossi M., Kähler C.J., Rodríguez Valverde M.A. // Phys. Rev. Fluids. 2019. V. 4. № 4. P. 041601. https://doi.org/10.1103/PhysRevFluids.4.041601
- Zaveri R.A., Easter R.C., Shilling J.E., Seinfeld, J.H. // Atmos. Chem. Phys. 2014. V. 14. № 10. P. 5153. https://doi.org/10.5194/acp-14-5153-2014
- Säckel W., Nieken U. // Macromol. Symp. 2013. V. 333. № 1. P. 297. https://doi.org/10.1002/masy.201300058
- Fisenko S.P., Wang W., Wuled Lenggoro I., Okyuama K. // Chem. Eng. Sci. 2006. V. 61. № 18. P. 6029. https://doi.org/10.1016/j.ces.2006.05.028
- Федосеев В.Б. // Вестник ННГУ. 2000. № 1. С. 146.
- Эндрюс Г. Теория разбиений. Москва: Наука, 1982. 256 с.
- Емельяненко В.Н., Веревкин С.П., Шик К., Степурко Е.Н., Роганов Г.Н., Георгиева М.К. // Журнал физической химии. 2010. Т. 84. № 9. С. 1638. (Emel'yanenko V.N., Verevkin S.P., Schick C., Stepurko E.N., Roganov G.N., Georgieva M.K. // Russ. J. Phys. Chem. A. 2010. V. 84. № 9. P. 1491). https://doi.org/10.1134/S0036024410090074
- Федосеев В.Б., Федосеева Е.Н. // Инженерно-физический журнал. 2023. Т. 96, № 5. С. 1204. (Fedoseev V.B., Fedoseeva E.N. // J. Eng. Phys. Thermophys. 2023. V. 96. № 5. P. 1196). https://doi.org/10.1007/s10891-023-02785-y
- Harshe Y.M., Storti G., Morbidelli M., Gelosa S., Moscatelli D. // Macromol. React. Eng. 2007. V. 1. № 6. P. 611. https://doi.org/10.1002/mren.200700019
- Kim K.W., Woo S.I. // Macromol. Chem. Phys. 2002. V. 203. № 15. P. 2245. https://doi.org/10.1002/1521-3935(200211)203:15<2245::AID-MACP2245>3.0.CO;2-3
- Ren J. // Biodegradable Poly(Lactic Acid): Synthesis, Modification, Processing and Applications. Berlin, Heidelberg: Springer Berlin Heidelberg, 2010. P. 15.
Arquivos suplementares




