Catalytic Synthesis of Butene-1 and Hexene-1 in the Homogeneous Oligomerization of Ethylene in the Presence of Nickel Complexes Based on N-Heteroaryl-Substituted α-Diphenylphosphinoglycines
- Authors: Soficheva О.S.1, Bekmukhamedov G.E.2, Yakhvarov D.G.2
-
Affiliations:
- Arbuzov Institute of Organic and Physical Chemistry, Kazan Scientific Center of the Russian Academy of Sciences
- Kazan Federal University
- Issue: Vol 65, No 1 (2024)
- Pages: 12-21
- Section: ARTICLES
- URL: https://ogarev-online.ru/0453-8811/article/view/259631
- DOI: https://doi.org/10.31857/S0453881124010029
- EDN: https://elibrary.ru/HAELEK
- ID: 259631
Cite item
Full Text
Abstract
It has been experimentally shown that N-heteroaryl-substituted α-diphenylphosphinoglycines N-(pyrazin-2-yl)-α-diphenylphosphinoglycine, N-(pyridin-2-yl)-α-diphenylphosphinoglycine and N-(pyrimidin-2-yl)-α-diphenylphosphinoglycine obtained by the reaction of three-component condensation of diphenylphosphine, the corresponding primary amine and glyoxylic acid monohydrate are capable in combination with Ni(COD)₂, where COD is cyclooctadiene-1,5, to form active forms of catalysts for selective homogeneous dimerization and trimerization of ethylene with the formation of butene-1 and hexene-1 as the main products. It has been established that the obtained organo-nickel catalytic systems provide a yield of short-chain (C₄–C₆) olefins at the level of 90% with a selectivity for linear α-olefins of 97%. The study of the influence of temperature on the process of homogeneous ethylene oligomerization using the obtained compounds made it possible to establish that the optimal temperature for ethylene oligomerization, providing the highest selectivity to butene-1 and hexene-1, is 80–105°C at the optimum pressure of ethylene is 20–35 atm. Under these conditions, the selectivity for butenes is 71.4–72.6% (selectivity for butene-1 – 69.3–71.1%), for hexenes 20.6–21.2% (selectivity for hexene-1 – 19.2–19.5%), and the optimal duration of the oligomerization process at a temperature 105°C is 1.5 h, which provides the rate of formation of butene-1 equal to 168.1 golig gNi⁻¹h⁻¹) and the rate of formation of hexene-1 – 47.3 golig gNi⁻¹h⁻¹).
Full Text
Сокращения и обозначения: ЯМР – ядерно-магнитный резонанс; ГХ/МС – хромато-масс-спектрометрия; ТГФ – тетрагидрофуран; TON – число оборотов (turnover number); TOF – частота оборотов (turnover frequency).
ВВЕДЕНИЕ
Комплексы никеля привлекают внимание исследователей в качестве компонентов каталитических систем олигомеризации этилена после открытия в 1950-х гг. “никелевого эффекта”, заключающегося в том, что наличие следовых количеств никеля на триалкилалюминии в процессе полимеризации этилена смещает реакцию от полимеризации этилена к димеризации [1]. Это послужило толчком к изучению и разработке каталитических систем олигомеризации и полимеризации на основе никеля [2], а ключевым этапом в переходе к промышленному использованию комплексов никеля стала разработка Каймом семейства бидентатных (Р, О)-лигандов – производных фосфино-функционализированных карбоновых кислот [3, 4] – и коммерческого получения линейных α-олефинов по технологии SHOP (Shell Higher Olefin Process) [5–12]. Несмотря на наличие большого объема работ, опубликованных в 1970–1990 гг., интерес к каталитическим системам олигомеризации этилена на основе (P, O)-комплексов никеля сохраняется и в настоящее время [13–16]. Однако отмечается смещение фокуса исследований от α-олефинов С₁₀–С12 [4, 8] в сторону короткоцепных олигомеров – бутена-1 и гексена-1, что обусловлено ростом потребности в полиэтилене марок LLDPE и HDPE [18–22]. Повышение селективности образования С₄–С₆-олигомеров достигается тонкой настройкой донорных свойств Pи O-атомов путем варьирования заместителей, входящих в состав лиганда [23, 24], и увеличения электрофильности металлического центра за счет создания катионных (P, O)-комплексов никеля [25–31]. Однако, как показали исследования, для протекания селективной димеризации и тримеризации этилена этого оказалось недостаточно. Внимание нашего научного коллектива обращено к изучению влияния заместителя при аминогруппе производных α-фосфиноглицинов [32–34], которые содержат в своей структуре тот же РССО-хелатный фрагмент, что и известные лиганды никельорганических катализаторов компании Shell, на селективное получение отдельных фракций короткоцепных α-олефинов в результате гомогенной олигомеризации этилена [35–39]. Данный интерес к α-фосфиноглицинам вызван возможностью проводить тонкую настройку электрофильности металлического центра активной формы никельорганического катализатора на их основе путем варьирования заместителя при атоме азота в лиганде и тем самым смещать молекулярно-массовое распределение продуктов в сторону короткоцепных α-олефинов. Согласно квантово-химическим расчетам [40], каталитическое превращение этилена в олигомеры в процессах его гомогенной олигомеризации с участием никельорганических катализаторов может протекать по двум конкурирующим механизмам: кинетическим путем, ведущим к высокомолекулярным олигомерам, и термодинамическим путем, приводящим к образованию бутена-1. Ключевым различием между ними является превращение (LPO)NiH(C2H4), где LРО – лиганд на основе N-замещенных α-фосфиноглицинов, содержащие (Р, О)-хелатный центр, в свой цис-изомер. Кинетический путь предполагает пониженный барьер активации, а термодинамический, напротив, включает в себя стадию изомеризации с повышенным барьером активации, но при этом образуется термодинамически более стабильный промежуточный продукт. Согласно описанным ранее в работе [40] результатам, олигомеризация этилена с участием системы N-(пиразин-2-ил)-α-дифенилфосфиноглицина/Ni(COD)₂ протекает именно по термодинамически контролируемому механизму из-за сниженных барьеров активации для превращения активной формы катализатора в цис-изомер. Мы предположили, что подобное явление может быть связано с наличием замещенного гетероатома (азота) в орто-положении бензольного кольца заместителя при аминогруппе в α-дифенилфосфиноглицинах, потому что N-гетероарилзамещенные α-дифенилфосфиноглицины, в которых азот находился только в метаили пара-положении [40], оказались менее селективными по отношению к короткоцепным олигомерам (суммарный выход короткоцепных фракций линейных α-олефинов С₄–С₁₀ составил 68%).
Таким образом, целью настоящей работы является исследование влияния термодинамических параметров, в частности температуры, на протекание гомогенной олигомеризации этилена с участием никельорганических комплексов на основе N-гетероарилзамещенных α-дифенилфосфиноглицинов, в которых азот находится только в орто-положении бензольного кольца, для оптимизации процесса и обеспечения максимального выхода бутена-1 и гексена-1.
ЭКСПЕРИМЕНТАЛЬНАЯ ЧАСТЬ
Все эксперименты, связанные с синтезом лигандов и каталитическими исследованиями, проводили в инертной атмосфере (азот, 99.999 об. %) с использованием стандартной аппаратуры Шленка. Растворители (диэтиловый эфир, метанол, тетрагидрофуран) абсолютировали стандартными методами и перед применением подвергали свежей перегонке. Моногидрат глиоксиловой кислоты, 2-аминопиридин, 2-аминопиримидин, 2-аминопиразин и бис(циклооктадиен-1,5) никеля(0) были приобретены у “Sigma-Aldrich” и использованы без дополнительной очистки. Дифенилфосфин, N-(пиразин-2-ил)-α-дифенилфосфиноглицин (1) получили по опубликованным методикам [38, 40]. Спектры ЯМР регистрировали на спектрометре MSL-400 (“Bruker”, Германия). Химические сдвиги (δ, м. д.) измеряли относительно тетраметилсилана для ¹H и ¹³С и H₃PO₄ (85%) для ³¹P. Элементный анализ выполнен на приборе EuroVector CHNS-O Elemental Analyzer EA3000 (“EuroVector”, Италия). Газообразные и жидкие продукты олигомеризации анализировали методом хромато-масс-спектрометрии (ГХ/МС) на газовом хроматографе 7890B GC (“Agilent”, США), совмещенном с масс-селективным электронно-ионизационным детектором MSD5977B (“Agilent”, США). Для деления компонентов использовали капиллярную колонку HP-5MS Ultra Inert (длина – 30 м; диаметр – 0.25 мм; толщина пленки неподвижной фазы – (5%-фенил)-метилполисилоксана – 0.50 мкм). Вещества были идентифицированы с помощью программы масс-спектрального поиска NIST (National Institute of Standards and Technology – Национальный институт стандартов и технологии, США), версия 2.2. С₄-фракцию также анализировали методом газовой хроматографии на приборе ГХ-1000 (“Хромос”, Россия) с пламенно-ионизационным детектором и капиллярной колонкой VP-Alumina/KCl длиной 50 м, диаметром 0.53 мм, толщиной пленки 10 мкм (“VICI Valco”, США).
Получение N-(пиридин-2-ил)-α-дифенилфосфиноглицина (2)
Моногидрат глиоксиловой кислоты (0.106 г, 1.15 ммоль) растворяли в диэтиловом эфире (10 мл) и добавляли к раствору дифенилфосфина (0.2 мл, 1.15 ммоль) и 2-аминопиридина (0.11 г, 1.16 ммоль) в диэтиловом эфире (10 мл). Реакционную смесь перемешивали 3 суток, после чего отфильтровывали светло-желтый осадок, промывали диэтиловым эфиром дважды и полученный порошок высушивали в вакууме в течение 5 ч. Получено 0.275 г (с выходом 71.2%) соединения 2.
¹H ЯМР (400 MГц, CD₃OD, 300 K): δ (м. д.) = 3.79 (д, ²JPH = 2.8 Гц, ¹H, PCH), 4.65 (с, ¹H, NH), 6.81 (д, ³JHH = 3.3 Гц, ¹H, N-арил), 7.13 (д, JHH = 2.1 Гц, 2H, N-арил), 7.10–7.40 (м, 4H, Ph), 7.47–7.49 (м, 6H, Ph), 7.55–7.60 (м, 2H, N-арил). 13C{¹H} ЯМР (100 MГц, CD₃OD, 300 K): δ (м. д.) = 65.7 (д, ¹JPC = 20.4 Гц, PCN), 107.51 (с, о-CH, N-арил), 117.35 (с, p-CH, N-арил), 123.53 (д, ³JPC = 4.1 Гц, m-CH, Ph), 125.61 (д, ³JPC = 5.9 Гц, m-CH, Ph), 128.7 (с, p-CH, Ph), 129.24 (с, p-CH, Ph), 132.71 (д, ²JPC = 16.2 Гц, 2 o-CH, Ph), 134.26 (д, ²JPC =15.2 Гц, 2 o-CH, Ph), 135.18 (д, ¹JPC=15.9 Гц, i-Cq, Ph), 135.29 (д, ¹JPC=16.2 Гц, i-Cq, Ph), 136.04 (с, m-CH, N-арил), 144.32 (с, o-CH, N-арил), 155.50 (с, i-Cq, N-арил), 174.94 (д, ²JPC = 9.8 Гц, COОН). ³¹P{¹H} ЯМР (161 MГц, CD₃OD, 300 K): δ (м. д.) = 1.49 (с).
Элементный анализ для С₁₉H₁₇N₂O₂P (336.33 г/ моль). Рассчитано: С, 67.85; H, 5.09; N, 8.33; найдено: C, 67.82; H, 5.08; N, 8.31.
Получение N-(пиримидин-2-ил)-α-дифенилфосфиноглицина (3)
Моногидрат глиоксиловой кислоты (0.26 г, 2.87 ммоль) растворяли в диэтиловом эфире (10 мл) и добавляли к раствору дифенилфосфина (0.5 мл, 2.87 ммоль) и 2-аминопиримидина (0.27 г, 2.87 ммоль) в метаноле (15 мл). Перемешивали в течение 10 дней, после чего декантировали растворитель, осадок промывали дважды в диэтиловом эфире и высушивали бледно-желтые кристаллы в вакууме в течение 5 ч. Получено 0.694 г (71.7%) соединения 3.
¹H-NMR (400 MГц, CD₃OD, 300 K): δ (м. д.) = 4.10 (д, ²JPH = 2.2 Гц, ¹H, PCH), 4.90 (умеренный с, 3H, OH, NH), 6.61 (с, 1 Н, р-CH, N-арил), 7.24–7.32 (м, 4H, Ph), 7.58–7.80 (м, 6H, Ph), 7.94–8.13 (м, 2H, N-арил). 13C{¹H} ЯМР (100 MГц, CD₃OD, 300 K): δ (м. д.) = 53.23 (д, ¹JPC = 20.9 Гц, PCN), 109.30 (с, р-CH, N-арил), 128.67 (д, ³JPC = 7.33 Гц, 2 m-CH, Ph), 129.84 (д, ³JPC = 7.45 Гц, 2 m-CH, Ph), 129.34 (с, p-CH, Ph), 130.61 (с, p-CH, Ph), 134.78 (д, ²JPC = 18.1 Гц, 2 o-CH, Ph), 135.12 (д, ²JPC = 17.9 Гц, 2 o-CH, Ph),136.37 (д, ¹JPC = 17.9 Гц, i-Cq, Ph), 136.53 (д, ¹JPC = 15.9 Гц, i-Cq, Ph), 163.98 (с, i-Cq, N-арил), 175.16 (д, ¹JPC = 11.7 Гц, COOH). ³¹P{¹H} ЯМР (161 MГц, CD₃OD, 300 K): δ (м. д.) = 1.95.
Элементный анализ C₁₈H₁₆N₃O₂P (M = =337.32 г/моль). Рассчитано: C, 64.09, H, 4.78, N, 12.46; найдено: C, 64.01, H, 4.82, N, 11.98.
Гомогенная олигомеризация этилена
Предварительно взвешенный автоклав высушивали при пониженном давлении (2 × 10⁻⁵ атм) в течение 30 мин. Навеску α-фосфорилированной α-аминокислоты в количестве 0.1 ммоль вакуумировали (2 × 10⁻⁵ атм) в колбе Шленка в течение 20 мин. После этого добавляли 10 мл тетрагидрофурана (ТГФ). Перемешивали содержимое до полного растворения в течение ~15 мин. Параллельно в другую колбу Шленка помещали навеску в количестве 0.1 ммоль бис(циклооктадиен-1,5) никеля(0), вакуумировали (2 × 10⁻⁵ атм) в течение 20 мин. Затем добавляли 10 мл ТГФ. Перемешивали содержимое до полного растворения в течение ~15 мин. Раствор лиганда медленно приливали к раствору комплекса никеля(0). Образовавшийся комплекс перемешивали в течение 5 мин. Переносили полученный раствор в токе азота в автоклав с помощью шприца с тефлоновой трубкой. Автоклав взвешивали. После подавали в автоклав этилен под давлением 30–32 атм. Нагревали автоклав до температуры эксперимента на масляной бане при постоянном перемешивании с помощью магнитного якоря внутри автоклава. После достижения заданной температуры автоклав термостатировали в течение 14–20 ч. С помощью электронного датчика давления его изменение во времени записывали в память компьютера. По завершении каталитического цикла автоклав сначала охлаждали на водяной бане и взвешивали, затем охлаждали на изопропанольной бане (–30°C) в течение 15–20 мин для обеспечения конденсации бутеновой фракции, после чего газовую фазу стравливали в резиновую камеру. После стравливания газа автоклав снова взвешивали с целью определения массы жидких продуктов олигомеризации. На основе массы полученных продуктов рассчитывали показатели активности катализатора – число оборотов TON (turnover number) и частоту оборотов TOF (turnover frequency) по формулам (1) и (2), соответственно:
(1)
(2)
где mолиг – масса продуктов олигомеризации этилена, г; МС₂Н₄ – молярная масса этилена, 28 г/моль; nNi – количество комплекса [системы “лиганд/Ni(COD)₂”], взятого на каталитические испытания, моль; τ – длительность каталитического цикла, ч.
На основе результатов ГХ/МС-анализа по молярному соотношению С₆-, С₈и С₁₀-олефинов рассчитывали среднее значение параметра Шульца–Флори α, характеризующее отношение скорости роста цепи к сумме скоростей роста и обрыва цепи в соответствии c формулой (3):
(3)
где и – мольная концентрация олефинов с числом атомов углерода n и n+2, соответственно, в продукте гомогенной олигомеризации этилена, мол. %.
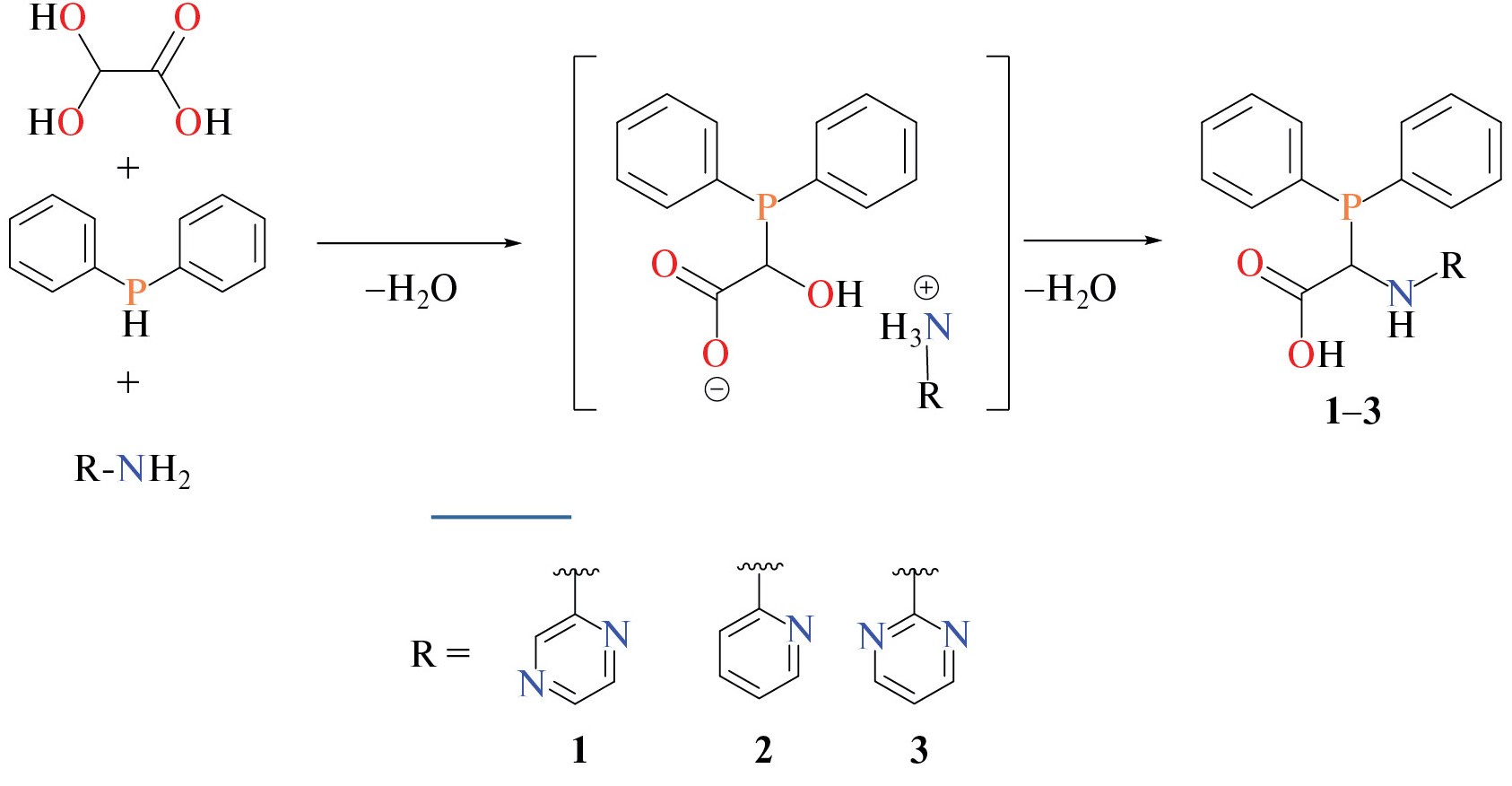
Схема 1. Реакция трехкомпонентной конденсации дифенилфосфина, моногидрата глиоксиловой кислоты и первичного амина.
РЕЗУЛЬТАТЫ И ИХ ОБСУЖДЕНИЕ
Реакция трехкомпонентной конденсации дифенилфосфина, первичного амина и моногидрата глиоксиловой кислоты является самым простым способом получения N-гетероарилзамещенных α-фосфиноглицинов (схема 1) [32–40]. Она протекает one-pot при комнатной температуре путем смешения растворов дифенилфосфина и соответствующего амина в диэтиловом эфире либо в метаноле с раствором моногидрата глиоксиловой кислоты в том же растворителе.
Как показали проведенные ранее исследования, наиболее перспективной для селективного получения бутена-1 гомогенной олигомеризацией этилена оказалась каталитической система N-(пиразин-2-ил)-α-дифенилфосфиноглицин 1/Ni(COD)₂ с селективностью по бутену-1 более 70% [38]. Однако было интересно также синтезировать и изучить в данном процессе свойства N-(пиридин-2-ил)-α-дифенилфосфиноглицин 2 и N-(пиримидин-2-ил)-α-дифенилфосфиноглицин 3, в которых атом азота расположен только в одном или двух орто-положениях бензольного кольца заместителя, соответственно, для его оптимизации с целью селективного получения отдельных фракций бутена-1 и гексена-1.
Соединения 2 и 3 были выделены и охарактеризованы физико-химическими методами анализа.
Рис. 1. Кривая изменения давления этилена в реакции гомогенной олигомеризации с участием каталитических систем на основе комплексов никеля(0) и N-гетероарилзамещенных α-дифенилфосфиноглицинов 1–3.
Рис. 2. Распределение продуктов олигомеризации этилена с участием N-гетероарилзамещенных α-дифенилфосфиноглицинов 1–3 в комбинации с Ni(COD)₂.
Гомогенная олигомеризация этилена с участием N-гетероарилзамещенных α-дифенилфосфиноглицинов 1–3 в комбинации с комплексом никеля(0)
N-(пиразин-2-ил) 1, а также новые N-(пиридин-2-ил) 2 и N-(пиримидин-2-ил) 3 –α-дифенилфосфиноглицины – в комбинации с комплексом Ni(COD)₂ были протестированы в процессе каталитической олигомеризации этилена. Как и предполагалось, никельорганические катализаторы на основе новых N-гетероарилзамещенных α-дифенилфосфиноглицинов 2 и 3 проявили высокую каталитическую активность в реакциях гомогенной олигомеризации этилена с образованием короткоцепных α-олефинов аналогично каталитической системе на основе ранее исследованного в [38, 40] соединения 1, что указывает на особую роль гетероатома азота в орто-положении бензольного кольца заместителя при аминогруппе в α-дифенилфосфиноглицинах. Условия протекания гомогенного катализа и полученные результаты приведены в табл. 1.
Таблица 1. Результаты каталитических испытаний системы N-гетероарилзамещенных α-дифенилфосфиноглицинов 1–3 в комбинации с Ni(COD)₂ в процессе олигомеризации этилена1
Лиганд | α² | Распределение олигомеров, мас. % | S(αC=)³, % | TOF⁴, ч⁻¹ | TON⁵ | Выход бутенов, голиг /гNi | Выход гексенов, голиг /гNi | Время снижения Давления этилена, ч | |||
C₄–C₁₀ | C₁₂–C₂₀ | C₂₂–C₃₀ | C₃₂₊ | ||||||||
1 | 0.19 | 99.6 | 0.4 | 0 | 0 | 90 | 52 | 783 | 379 | 108 | 15.0 |
2 | 0.44 | 89.0 | 9.0 | 0 | 1.0 | 94 | 411 | 822 | 1556 | 1039 | 1.2 |
3 | 0.55 | 70.0 | 16.0 | 1.0 | 13.0 | 97 | 384 | 461 | 881 | 722 | 2.0 |
Динамика изменения давления в каталитическом цикле олигомеризации этилена на системах 1/Ni(COD)₂, 2/Ni(COD)₂, 3/Ni(COD)₂ в период наиболее активного снижения давления представлена на рис. 1. Анализ полученных кривых показывает, что каталитическая система 1/Ni(COD)₂ олигомеризует основное количество этилена плавно в течение первых 15 ч процесса, тогда как для систем 2/Ni(COD)₂ и 3/Ni(COD)₂ отмечено уменьшение давления этилена уже через 1.2–2 ч после начала реакции.
Таким образом, несмотря на значительно более высокую селективность системы 1/Ni(COD)₂ по отношению к фракциям линейных α-олефинов С₄–С₁₀, система 2/Ni(COD)₂ обладает наибольшей активностью в процессах гомогенной олигомеризации этилена, демонстрируя максимальное значение фактического TOF = 411 ч⁻¹ в период основного снижения давления (в течение 1.2 ч с момента начала реакции), по сравнению с другими двумя системами (1/Ni(COD)₂ и 3/Ni(COD)₂) в тех же условиях. Стоит отметить, что по этой же причине данная система имеет и более высокие показатели выхода бутенов (1556 голиг/гNi) и гексенов (1039 голиг/гNi), однако анализ распределения Шульца–Флори продуктов олигомеризации этилена (рис. 2), определенного на основании результатов хроматографического анализа, показывает, что самой эффективной в образовании бутеновой фракции остается каталитической система 1/Ni(COD)₂.
Именно по этой причине для обеспечения селективности по бутену-1 и гексену-1 более 70% были проведены каталитические тесты с целью оптимизации процесса олигомеризации этилена на примере системы N-(пиразин-2-ил)-α-дифенилфосфиноглицина 1/Ni(COD)₂ путем варьирования температуры реакции. Результаты приведены в табл. 2.
Рис. 3. Зависимость числа оборотов TON от температуры в процессе олигомеризации этилена в присутствии системы 1/Ni(COD)₂.
На рис. 3 показано влияние температуры на активность (TON) системы 1/Ni(COD)₂. Из рис. 3 следует, что данная зависимость носит экстремальный характер, максимальные значения TON наблюдаются в интервале 55–105°C. Наименьшие значения TON при Т = 30°C обусловлены тем, что этой температуры недостаточно для полной трансформации композиции 1/Ni(COD)₂ в металл-гидридный комплекс [12], который, согласно литературным данным, является активной формой катализатора в процессах гомогенной олигомеризации этилена, а снижение TON с 763 до 406 голиг/гNi с повышением температуры со 105 до 130°C (табл. 2), вероятнее всего, связано с возможным термическим разрушением активных металл-гидридных центров.
При Т = 55°C наблюдается образование олигомеров с относительно высокой молекулярной массой – содержание фракции С22+ в этих условиях составляет 51.4 мас. %. Повышение температуры от 55°C до 80–105°C сопровождается снижением показателя Шульца–Флори α от 0.66 до 0.19–0.20 и, соответственно, увеличением селективности по бутенам (с 16.9% до 71.4–72.6%) и гексенам (с 16.8% до 20.6–21.2%). Резкое возрастание выхода бутенов и скорости образования бутена-1 с ростом температуры олигомеризации от 55°C до 80–105°C хорошо видно на рис. 4.
Рис. 4. Зависимость выхода бутенов (а) и гексенов (б) от температуры в процессе олигомеризации этилена в присутствии системы 1/Ni(COD)₂.
Необходимо отметить, что с повышением температуры до 105–130°C время снижения давления (т. е. длительность процесса олигомеризации) резко сокращается, что обусловлено ростом активности катализатора. Вследствие этого фактическое значение частоты оборотов TOF резко возрастает в 10 раз (с 52 до 509 мольС₂Н₄ мольNi⁻¹ч⁻¹) при нагреве от 80 до 105°C (табл. 2). Это эквивалентно отражается на скоростях образования бутена-1 и гексена-1, значения которых увеличиваются с 16.8 до 168.1 и с 4.6 до 47.3 голиг гNi⁻¹ч⁻¹, соответственно, (рис. 5).
Рис. 5. Зависимость скорости образования бутена-1 (а) и гексена-1 (б) от температуры в процессе олигомеризации этилена в присутствии системы 1/Ni(COD)₂.
Рис. 6. Зависимость селективности образования линейных α-олефинов от температуры в процессе олигомеризации этилена в присутствии системы 1/Ni(COD)₂.
Селективность образования линейных α-олефинов также имеет экстремальную зависимость от температуры в интервале 30–130°C (рис. 6). Снижение этого показателя с повышением температуры олигомеризации от 80 до 130°C обусловлено возрастанием скорости процессов изомеризации олефинов и ее преобладанием над скоростью олигомеризации этилена.
Таблица 2. Результаты каталитических испытаний системы 1/Ni(COD)₂ в процессе олигомеризации этилена при температурах 30–130°С1
№ опыта | Т,°С | α² | Распределение олигомеров, мас. % | S(αС=)3 % | TOF₄, ч⁻¹ | TON⁵ | Выход бутенов, голиг/гNi | Выход гексенов, голиг/гNi | Скорость образования бутена-1, голиг гNi⁻¹ч⁻¹ | Скорость образования гексена-1, голиг гNi⁻¹ч⁻¹ | |||
C₄ | C₆ | C8 | C₁₀+ | ||||||||||
1 | 30 | 0.52 | 39.2 | 26.1 | 15.5 | 19.2 | 79 | н.о.6 | 28 | 5.5 | 3.7 | н.о. | н.о. |
2 | 55 | 0.66 | 16.9 | 16.8 | 14.9 | 51.4 | 85 | 48 | 717 | 57.8 | 57.5 | 3.3 | 3.3 |
3 | 80 | 0.19 | 72.6 | 20.6 | 5.2 | 1.6 | 93 | 52 | 783 | 270.8 | 76.8 | 16.8 | 4.8 |
4 | 105 | 0.20 | 71.4 | 21.2 | 5.6 | 1.8 | 90 | 509 | 763 | 259.9 | 77.2 | 168.1 | 47.3 |
5 | 130 | 0.41 | 31.3 | 19.2 | 10.5 | 39.0 | 86 | 203 | 406 | 60.4 | 37.1 | 26.0 | 15.9 |
1 Условия реакции: количество лиганда/Ni(COD)₂ – 0.1/0.1 ммоль; растворитель – ТГФ (20 мл); начальное давление этилена – 30–32 атм; время реакции – 18–22 ч.
2 α – постоянная Шульца–Флори.
3 S(αC=) – селективность по линейным α-олефинам, рассчитанная как среднее значение для фракций C₁₀, C₁₂, C₁₄ и C₁₆.
4 TOF – фактическая частота оборотов (с учетом времени снижения давления этилена).
5 TON – число оборотов, выраженное как количество прореагировавшего этилена на моль катализатора (мольC2H4 × мольNi⁻¹).
6 н.о. – не определено.
ЗАКЛЮЧЕНИЕ
Таким образом, можно заключить, что наличие гетероатома азота в одном орто-положении бензольного кольца заместителя при аминогруппе в α-дифенилфосфиноглицинах – наиболее благоприятный фактор для селективного получения короткоцепных α-олефинов по реакции гомогенной олигомеризации этилена с участием комплексов никеля на основе α-дифенилфосфиноглицинов. Оптимальной каталитической системой для селективного получения бутенов и гексенов является композиция Ni(COD)₂ с лигандом N-(пиразин-2-ил) α-дифенилфосфиноглицин, обеспечивающая суммарный выход С₄и С₆-олефинов на уровне 90% при селективности образования линейных α-олефинов 97%. Определены оптимальные условия проведения реакций димеризации и тримеризации этилена: температура 80–105°C при давлении этилена 20–35 атм.
ФИНАНСИРОВАНИЕ
Работа выполнена при финансовой поддержке Российского фонда фундаментальных исследований (РФФИ, проект № 19-29-08051) и за счет средств субсидии, предоставленной Казанскому федеральному университету для выполнения государственного задания в сфере научной деятельности, № FZSM-2023-0020.
БЛАГОДАРНОСТИ
Авторы благодарят ЦКП-САЦ ФИЦ КазНЦ РАН за предоставление необходимого оборудования для выполнения настоящей работы.
КОНФЛИКТ ИНТЕРЕСОВ
Авторы заявляют об отсутствии конфликта интересов, требующего раскрытия в данной статье.
About the authors
О. S. Soficheva
Arbuzov Institute of Organic and Physical Chemistry, Kazan Scientific Center of the Russian Academy of Sciences
Author for correspondence.
Email: olga.soficheva@iopc.ru
Russian Federation, Arbuzov str., 8, Kazan, 420088
G. E. Bekmukhamedov
Kazan Federal University
Email: olga.soficheva@iopc.ru
Russian Federation, Kremlyovskaya str., 18, Kazan, 420008
D. G. Yakhvarov
Kazan Federal University
Email: olga.soficheva@iopc.ru
Russian Federation, Kremlyovskaya str., 18, Kazan, 420008
References
- Fischer K., Jonas K., Misbach P., Stabba R., Wilke G. // Angew. Chem. Int. Ed. Engl. 1973. V. 12. P. 943.
- Wilke G. // J. Organomet. Chem. 1980. V. 200. P. 349.
- Peuckert M., Keim W. // Organometallics. 1983. V. 2. P. 594.
- Breuil P.-A.R., Magna L., Olivier-Bourbigou H. // Catal. Lett. 2015. V. 145. № 1. P. 173.
- Keim W., Kowaldt F. H., Goddard R., Krüger C. // Angew. Chem. Int. Ed. Engl. 1978. V.17. P. 466.
- Peuckert M., Keim W., Storp S., Weber R. S. // J. Mol. Catal. 1983. V. 20. P. 115.
- Keim W., Behr A., Gruber B., Hoffmann B., Kowaldt F., Kürschner U., Limbäcker B., Sistig F. // Organometallics. 1986. V. 5. P. 2356.
- Keim W., Schulz R. // J. Mol. Catal. 1994. V. 92. P. 21.
- Keim W. // Vysokomol. Soedin. Ser. A. 1994. V. 36. P. 1644.
- Pietsch J., Braunstein P., Chauvin Y. // New J. Chem. 1998. P. 467.
- Heinicke J., Köhler M., Peulecke N., Keim W. // J. Catal. 2004. V. 225. P. 16.
- Keim W. // Angew. Chem. Int. Ed. 2013. V. 52. P. 12492.
- Britovsek G. J.P., Malinowski R., McGuinness D.S., Nobbs J. D., Tomov A. K., Wadsley A. W., Young C. T. // ACS Catal. 2015. V. 5. P. 6922.
- Herrmann W. A., Beller M., Paciello R. Applied Homogeneous Catalysis with Organometallic Compounds. Wiley, 2017.
- Olivier-Bourbigou H., Breuil P. A.R., Magna L., Michel T., Fernandez Espada Pastor M., Delcroix D. // Chem. Rev. 2020. V. 120. № 15. P. 7919.
- Bekmukhamedov G. E., Sukhov A. V., Kuchkaev A. M., Yakhvarov D. G. // Catalysts. 2020. V. 10. № 5. P. 498.
- Petit J., Magna L., Mézailles N. // Coord. Chem. Rev. 2022. V. 50. № 214227.
- Mecking S. // Angew. Chem., Int. Ed. 40. 2001. V. 3. P. 534.
- McGuinness D.S., Wasserscheid P., Keim W., Morgan D., Dixon J. T., Bollmann A., Maumela H., Hess F., Englert U. // J. Am. Chem. Soc. 2003. V. 125. P. 5272.
- Speiser F., Braunstein P., Saussine L. // Acc. Chem. Res. 2005. V. 38. P. 784.
- McGuinness D.S. // Chem. Rev. 2011. V. 111. P. 2321.
- Hao P., Song S., Xiao T., Li Y., Redshaw C., Sun W. H. // Polyhedron. 2013. V. 52. P. 1138.
- Kuhn P., Sémeril D., Jeunesse C., Matt D., Lutz P., Welter R. // Eur. J. Inorg. Chem. 2005. P. 1477.
- Kuhn P., Semeril D., Jeunesse C., Matt D., Neuburger M., Mota A. // Chem. Eur. J. 2006. V. 12. P. 5210.
- Braunstein P., Chauvin Y., Mercier S., Saussine L. // Chimie. 2005. V. 8. P. 31.
- Heinicke J., He M., Dal A., Klein H., Hetche O., Keim W., Flörke U., Haupt H. // Eur. J. Inorg. Chem. 2000. P. 431.
- Wasserscheid P., Hilgers C., Keim W. // J. Mol. Catal. A: Chem. 2004. V. 214. P. 83.
- Heinicke J., Köhler M., Peulecke N., Kindermann M. K., Keim W., Köckerling M. // Organometallics. 2005. V. 24. P. 344.
- Kuhn P., Semeril D., Jeunesse C., Matt D., Lutz P. J., Louis R., Neuburger M. // Dalton Trans. 2006. P. 3647.
- Scholz J., Hager V., Wang X., Kohler F. T.U., Sternberg M., Haumann M., Szesni N., Meyer K., Wasserscheid P. // ChemCatChem. 2014. V. 6. P. 162.
- Kohler F. T.U., Gärtner K., Hager V., Haumann M., Sternberg M., Wang X., Szesni N., Meyer K., Wasserscheid P. // Catal. Sci. Technol. 2014. V. 4. P. 936.
- Heinicke J., Lach J., Basvani K. R., Peulecke N., Jones P. G., Köckerling M. // Phosphorus Sulfur Silicon Relat. Elem. 2011. V. 186. P. 666.
- Фомина (Софьичева) О.С., Синяшин О. Г., Хайнике И., Яхваров. Д.Г. // Бутлеровские сообщения. 2012. Т. 10. С. 63.
- Ghalib M., Lach J., Fomina O. S., Yakhvarov D. G., Jones P. G., Heinicke J. // Polyhedron. 2014. V. 77. P. 10.
- Lach J., Peulecke N., Kindermann M. K., Palm G. J., Köckerling M., Heinicke J. W. // Tetrahedron. 2015. V.71. P. 4933.
- Fomina O. S., Heinicke J. W., Sinyashin O. G., Yakhvarov D. G. // Phosphorus Sulfur Silicon Relat. Elem. 2016. V. 191. P. 1478.
- Peulecke N., Yakhvarov D. G., Heinicke J. W. // Eur J. Inorg. Chem. 2019. P. 1507.
- Soficheva O. S., Bekmukhamedov G. E., Dobrynin A.B, Heinicke J. W., Sinyashin O. G., Yakhvarov D. G. // Mendeleev Commun. 2019. V. 29. P. 575.
- Soficheva O. S., Nesterova A. A., Dobrynin A. B., Zueva E. M., Heinicke J. W., Sinyashin O. G., Yakhvarov D. G. // Mendeleev Commun. 2020. V. 30. P. 516.
- Kagileva A. A., Kagilev A. A., Kantyukov A. O., Gafurov Z. N., Sakhapov I. F., Bekmukhamedov G. E., Khayarov K. R., Zueva E. M., Soficheva O. S., Yakhvarov D. G. // New J. Chem. 2022. V. 46. P. 17303.
Supplementary files








