The Radical-Chain Oxidation of Tetrahydrofuran Inhibited by Tocopherol and Ascorbic Acid
- Authors: Yakupova L.R.1, Migranov A.R.1, Nasibullina R.A.1, Safiullin R.L.1
-
Affiliations:
- Ufa Institute of Chemistry, Ufa Federal Research Center, Russian Academy of Sciences
- Issue: Vol 64, No 6 (2023)
- Pages: 730-736
- Section: ARTICLES
- URL: https://ogarev-online.ru/0453-8811/article/view/231812
- DOI: https://doi.org/10.31857/S0453881123060217
- EDN: https://elibrary.ru/JVDOLX
- ID: 231812
Cite item
Full Text
Abstract
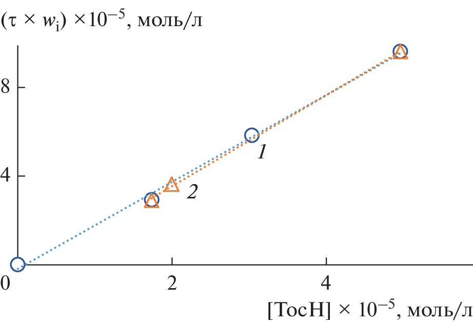
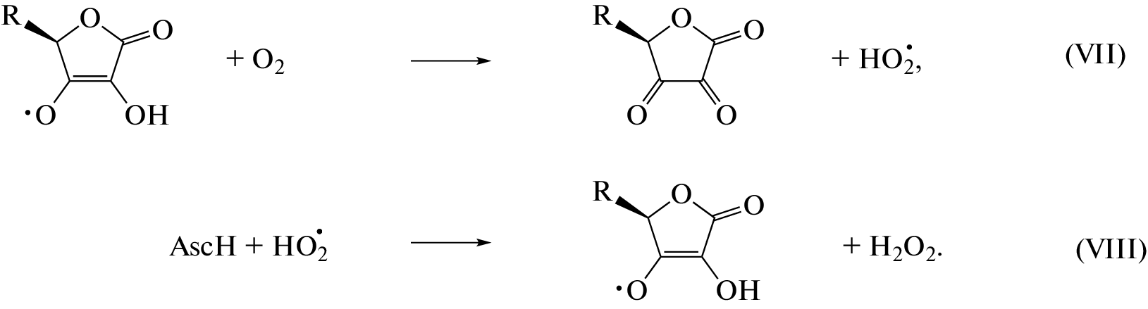
The effect of ascorbic acid and α-tocopherol on the radical chain oxidation of tetrahydrofuran was studied at a temperature of 309 K. The reaction was initiated by 2,2'-azo-bis-isobutyronitrile. The process rate was monitored by the oxygen absorption. The rate constant of the tetrahydrofuran peroxyl radical reaction with α-tocopherol were measured k7 = (2.9 ± 0.6) × 105 l mol–1 s–1. The effect of an aqueous solution ascorbic acid on the oxidation rate of tetrahydrofuran was studied. The rate constant of the tetrahydrofuran peroxyl radical reaction with ascorbic acid were measured k7 = (10.2 ± 1.0) × 104 l mol–1 s–1. The effect of ascorbic acid on the tetrahydrofuran oxidation inhibited by α-tocopherol is considered. It has been shown that when both inhibitors are used together, the induction period is equal to the sum of the induction periods of individual compounds. The effective inhibition rate constant in this case is equal to k7 = (2.5 ± 0.5) × 105 l mol–1 s–1.
About the authors
L. R. Yakupova
Ufa Institute of Chemistry, Ufa Federal Research Center,Russian Academy of Sciences
Author for correspondence.
Email: stargar@inbox.ru
Russia, 450054, Bashkortostan, Ufa
A. R. Migranov
Ufa Institute of Chemistry, Ufa Federal Research Center,Russian Academy of Sciences
Email: stargar@inbox.ru
Russia, 450054, Bashkortostan, Ufa
R. A. Nasibullina
Ufa Institute of Chemistry, Ufa Federal Research Center,Russian Academy of Sciences
Email: stargar@inbox.ru
Russia, 450054, Bashkortostan, Ufa
R. L. Safiullin
Ufa Institute of Chemistry, Ufa Federal Research Center,Russian Academy of Sciences
Email: stargar@inbox.ru
Russia, 450054, Bashkortostan, Ufa
References
- Niki E., Saito T., Kawakami A., Kamiya Y. // J. Biol. Chem. 1984. V. 259. № 7. P. 4177.
- Amorati R., Pedulli G.F., Valgimigli L. // Org. Biomol. Chem. 2011. V. 9. № 10. P. 3792.
- Грабовский С.А., Грабовская Ю.С., Антипин А.В., Кабальнова Н.Н. // Вестник Башкирского университета. 2019. Т. 24. № 4. С. 830.
- Amorati R., Baschieri A., Morroni G., Gambino R., Valgimigli L. // Chem. Eur. J. 2016. V. 22. № 23. P. 7924.
- Якупова Л.Р., Насибуллина Р.А., Сафиуллин Р.Л. // Кинетика и катализ. 2023. Т. 64. № 2. С. 173. (Yakupova L.R., Nasibullina R.A., Safiullin R.L. // Kinet. Catal. 2023. V. 64. № 2. P. 154.)
- Якупова Л.Р., Проскуряков С.Г., Зарипов Р.Н., Рамеев Ш.Р., Сафиуллин Р.Л. // Бутлеров. сообщ. 2011. Т. 28. № 19. С. 71.
- Зарипов Р.Н., Сафиуллин Р.Л., Рамеев Ш.Р., Ахунов И.Р., Комиссаров В.Д. // Кинетика и катализ. 1990. Т. 31. № 5. С. 1086. (Zaripov R.N., Safiullin R.L., Rameev Sh.R., Akhunov I.R., Komissarov V.D. // Kinet. Katal., 1990. V. 31. № 5. P. 1086.)
- Denisov E.T., Afanas’ev I.B. Oxidation and Antioxdants in Organic Chemistry and Biology. Boca Raton: FL: CRC Press, Taylor and Francis Group, 2005. 981 c.
- Мокшина Н.Я., Савушкин Р.В., Селеменев В.Ф., Хохлов В.Ю. // Аналитика и контроль. 2004. Т. 8. № 4. С. 346.
- Якупова Л.Р., Диниахметова Д.Р., Сахаутдинов И.М., Сафиуллин Р.Л. // Кинетика и катализ. 2022. Т. 63. № 5. С. 543. (Yakupova L.R., Diniakhmetova D.R., Sakhautdinov I.M., Safiullin R.L. // Kinet. Catal., 2022, V. 63. № 5. P. 463.)
- Варданян Р.Л., Варданян Л.Р., Айрапетян С.А., Арутюнян Л.Р., Арутюнян Р.С. // Химия растительного сырья. 2015. № 1. С. 113.
- Amorat R., Ferroni F., Lucarini M., Pedulli G.F., Valgimigli L. // J. Org. Chem. 2002. V. 67. № 26. P. 9295.
Supplementary files







