Kinetic Study of para-tert-Butylcumene Oxidation in the Presence of N-Hydroxyphthalimide
- 作者: Frolov А.S.1, Kurganova E.A.1, Sapunov V.N.2, Kozlovskiy R.A.2, Koshel G.N.1, Yarkina E.M.1
-
隶属关系:
- Yaroslavl State Technical University
- Mendeleev University of Chemical Technology of Russia
- 期: 卷 64, 编号 6 (2023)
- 页面: 720-729
- 栏目: ARTICLES
- URL: https://ogarev-online.ru/0453-8811/article/view/231806
- DOI: https://doi.org/10.31857/S0453881123060072
- EDN: https://elibrary.ru/KTUAWJ
- ID: 231806
如何引用文章
全文:
详细
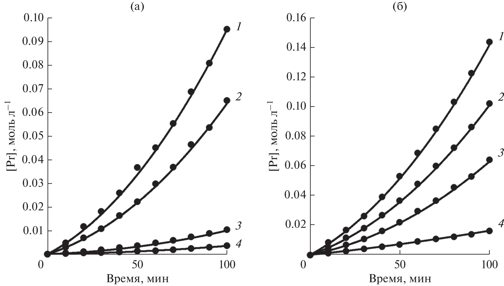
The kinetics of the oxidation of para-tert-butylcumene to hydroperoxide by molecular oxygen in the presence of N-hydroxyphthalimide has been studied. Based on the study of the regularities in the formation of hydroperoxide and non-target reaction products, a mathematical model of the process was obtained that adequately describes the change in the main components of the reaction concentration over time. The main role of N-hydroxyphthalimide is that it converts peroxide radicals into the corresponding hydroperoxides, thereby reducing the formation of non-target reaction products by reducing the quadratic termination rate. Simultaneously formed N-oxyphthalimide radicals increase the rate of hydrocarbon oxidation. Thus, the use of N-hydroxyphthalimide in hydrocarbon oxidation processes results in an increase in the rate and selectivity of hydroperoxide formation.
作者简介
А. Frolov
Yaroslavl State Technical University
Email: koshelgn@ystu.ru
Russia, 150023, Yaroslavl, Moskovskiy prosp., 88
E. Kurganova
Yaroslavl State Technical University
Email: koshelgn@ystu.ru
Russia, 150023, Yaroslavl, Moskovskiy prosp., 88
V. Sapunov
Mendeleev University of Chemical Technology of Russia
Email: koshelgn@ystu.ru
Russia, 125047, Moscow, Miusskaya square, 9, build. 6
R. Kozlovskiy
Mendeleev University of Chemical Technology of Russia
Email: koshelgn@ystu.ru
Russia, 125047, Moscow, Miusskaya square, 9, build. 6
G. Koshel
Yaroslavl State Technical University
编辑信件的主要联系方式.
Email: koshelgn@ystu.ru
Russia, 150023, Yaroslavl, Moskovskiy prosp., 88
E. Yarkina
Yaroslavl State Technical University
Email: koshelgn@ystu.ru
Russia, 150023, Yaroslavl, Moskovskiy prosp., 88
参考
- Fukuda O., Sakaguchi S., Ishi Y. // Adv. Synth. Catal. 2001. V. 343. № 8. P. 809.
- Koshino N., Cai Y., Espenson J.H. // J. Phys. Chem. A. 2003. V. 107. P. 4262.
- Hermans I., Vereecken L., Jacobs P.A., Peeters J. // Chem. Commun. 2004. P. 1140.
- Ishii Y., Sakaguchi S. // Catal. Surv. Jpn. 1999. V. 3. P. 27.
- Курганова Е.А., Румянцева Ю.Б., Кошель Г.Н., Иванова А.А., Смирнова Е.В. // Химическая промышленность сегодня. 2012. № 4. С. 20.
- Recupero F., Punta C. // Chem. Rev. 2007. V. 107. P. 3800.
- Кузнецова Л.И., Кузнецова Н.И., Яковина О.А., Зудин В.Н., Бальжинимаев Б.С. // Кинетика и катализ. 2018. № 6. С. 694.
- Sheldon R.A., Arends I.W.C.E. // J. Mol. Catal. A: Chem. 2006. V. 251. P. 200.
- Yan-ping W.D., Jiang W.H., Luo W.-P., Tan Z., Jiang Q., Guo C.-C. // Catal. Lett. 2014. V. 144. № 2. P. 333.
- Kurganova E.A., Frolov A.S., Korshunova A.I., Koshel´ G.N., Yarkina E.M. // Russ. Chem. Bull. Int. Ed. V. 70. № 10. P. 1951.
- Saha M., Hossain M.K., Ashaduzzama M., Afroza S.T., Galib M., Sharif N. // Bangladesh J. Sci. Ind. Res. 2009. V. 44. № 1. P. 131.
- Sapunov V.N., Kurganova E.A., Koshel G.N. // Int. J. Chem. Kinet. 2018. V. 50. № 1. P. 3.
- Sapunov V.N., Koshel’ G.N., Rumyantseva Yu.B., Kurganova E.A., Kukushkina N.D. // Petrol. Chem. 2013. V. 53. № 3. P. 171.
- Yarkina E.M., Kurganova E.A., Frolov A.S., Koshel G.N., Nesterova T.N., Shakun V.A., Spiridonov S.A. // Fine Chem. Technol. 2021. V. 16. № 1. P. 26.
- Антоновский В.Л., Бузланова М.М. Аналитическая химия органических пероксидных соединений. Москва: Химия, 1978. 309 с.
- Bhattacharya A. // Chem. Eng. J. 2008. V. 137. P. 308.
- Hattori K., Tanaka Y., Suzuki H., Ikawa T., Kubota H. // J. Chem. Eng. Jpn. 1971. V. 3. № 1. P. 72.
- Makgwanea P.R., Harmsea N.I., Fergb E.E., Zeeli B. // Chem. Eng. J. 2010. V. 162. P. 341.
- Chianese A. // Chem. Eng. Commun. 1982. V. 17. P. 261.
- Schmid R., Sapunov V.N. // Monographs in Modern Chemistry. 1982. V. 14. P. 65.
- Denisov E.T., Afanas’ev I.B. Oxidation and Antioxdants in Organic Chemistry and Biology. Boca Raton: CRC Press, Taylor and Francis Group, 2005. 992 c.
- Hermans I., Jacobs P., Peeters J. // Phys. Chem. Chem. Phys. 2008. V. 10. P. 1125.
- Benderskii V.A., Goldanskii V.I. // Int. Rev. Phys. Chem. 1992. V. 11. P. 1.
- Hermans I., Jacobs P., Peeters J. // Phys. Chem. Chem. Phys. 2007. V. 9. P. 686.
- Opeida I., Litvinov Yu.E., Kushch O.V., Kompanets M.O., Shendrik O.M. // Int. J. Chem. Kinet. 2013. V. 45. № 9. P. 514.
补充文件







