Kinetics, Mechanism, and Reactivity of the Cerium(IV)-Oxalatereaction in a Sulphate Medium
- Autores: Voskresenskaya O.O.1, Skorik N.A.2
-
Afiliações:
- Joint Institute for Nuclear Research,
- Tomsk State University
- Edição: Volume 64, Nº 6 (2023)
- Páginas: 697-709
- Seção: ARTICLES
- URL: https://ogarev-online.ru/0453-8811/article/view/231793
- DOI: https://doi.org/10.31857/S0453881123060205
- EDN: https://elibrary.ru/GHTWMT
- ID: 231793
Citar
Texto integral
Resumo
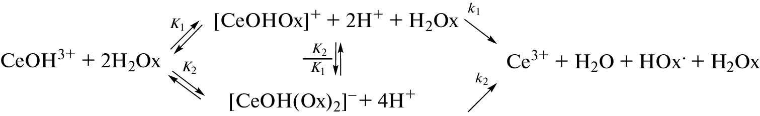
This work presents an approach for studying the kinetics, mechanism, and reactivity of intermediates in a wide class of the redox reactions for which the rate-limiting step is the redox-decomposition of an intermediate complex. This approach is applied to investigate the oxalic acid (H2Ox) oxidation by cerium(IV) in sulfuric acid medium, which is an integral part of the cerium-catalyzed oscillatory Belousov–Zhabotinsky (BZ) reaction. Using experimental, mathematical and computational techniques commonly used to study metal complexes in a stable oxidation state (OS), kinetically generalized by the authors for studying variable-valence metal complexes, the characteristics of intermediate complexes of the cerium(IV)-oxalate reaction were studied, the general rate law was derived on the basis of a set of equations describing the rapid establishment of preequilibria in the system and the subsequent nonequilibrium process. A quantitative reaction model is proposed that includes two parallel reaction pathways, for which two different intermediate cerium(IV)-oxalate complexes with close reactivity have been identified and characterized that may be due to the similarity in the structure of their inner coordination spheres and an inner sphere mechanism of electron transfer in the complexes. Based on the developed model, the distribution diagram was also constructed for the computed fractions of all the detectable cerium(IV) species under conditions of the BZ reaction, which testify to the necessity to take into account under these conditions the formation of intermediate complexes CeOHOx (n = 1, 2) during oxidation of oxalic acid. The main difference of the proposed model of the cerium(IV)-oxalate reaction as part of the BZ-reaction from the previous models is the explicit accounting of the formation of intermediate cerium(IV) complexes with anions of oxalic acid and sulfate background.
Sobre autores
O. Voskresenskaya
Joint Institute for Nuclear Research,
Autor responsável pela correspondência
Email: voskr@jinr.ru
Russia, 141980, Moscow region, Dubna, 6, Joliot-Curie St.
N. Skorik
Tomsk State University
Email: voskr@jinr.ru
Russia, 634050, 36, Lenin Ave.
Bibliografia
- Issa G., Dimitrov M., Ivanova R., Kormunda M., Henych J., Tolasz J., Kovachev D., Tsoncheva T. // Reac. Kinet. Mech. Catal. 2022. V. 135. № 2−3. P. 105.
- Dalanta F., Kusworo T.D. // Chem. Eng. J. 2022. V. 434. Article ID 134687.
- Матышак В.А., Сильченкова О.Н., Ильичев А.Н., Корчак В.Н. // Кинетика и катализ. 2021. Т. 62. № 3. С. 354. (Matyshak V.A., Sil’chenkova O.N., Ilichev A.N., Korchak V.N. // Kinet. Catal. 2021. V. 62. № 3. P. 404.)
- Chen X., Yang H., Au C., Tian S., Xiong Y., Chang Y. // Chem. Eng. J. 2020. V. 390. P. 124480.
- Матус Е.В., Шляхтина А.С., Сухова О.Б., Исмагилов И.З., Ушаков В.А., Яшник С.А., Никитин А.П., Bharali P., Керженцев М.А., Исмагилов З.Р. // Кинетика и катализ. 2019. Т. 60. № 2. С. 245. (Matus E.V., Shlyakhtina A.S., Sukhova O.B., Ismagilov I.Z., Ushakov V.A., Yashnik S.A., Nikitin A.P., Bharali P., Kerzhentsev M.A., Ismagilov Z.R. // Kinet. Catal. 2019. V. 60. № 2. P. 221.)
- Ye B., Chen Z., Li X., Liu J., Wu Q., Yang C., Hu H., Wang R. // Front. Environ. Sci. Eng. 2019. V. 13. № 6.
- Садливская М.В., Михеева Н.Н., Зайковский В.И., Мамонтов Г.В. // Кинетика и катализ. 2019. Т. 60. № 4. С. 464. (Sadlivskaya M.V., Mikheeva N.N., Zaikovskii V.I., Mamontov G.V. // Kinet. Catal. 2019. V. 60. № 4. P. 432.)
- Лопатин С.И., Шугуров С.М., Курапова О.Ю. // Журн. общей химии. 2021. V. 91. № 10. С. 1568. (Lopatin S.I., Shugurov S.M., Kurapova O.Y. // Russ. J. Gen. Chem. 2021. V. 91. № 10. P. 2008.)
- Zhang J., Wenzel M., Schnaars K., Hennersdorf F., Schwedtmann K., Maerz J., Rossberg A., Kaden P., Kraus F., Stumpf T., Weigand J.J. // Dalton Trans. 2021. V. 50. P. 3550.
- Jacobsen J., Wegner L., Reinsch H., Stock N. // Dalton Trans. 2020. V. 49. P. 11396.
- Козлова Т.О., Баранчиков А.Е., Иванов В.К. // Журн. неорган. химии. 2021. Т. 66. № 12. С. 1647. (Kozlova T.O., Baranchikov A.E., Ivanov V.K. // Russ. J. Inorg. Chem. 2021. V. 66. № 12. P. 1761.)
- Čupić Ž., Lente G. // Reac. Kinet. Mech. Catal. 2022. V. 135. № 3. P. 1137.
- Muzika F., Górecki J. // Reac. Kinet. Mech. Catal. 2022. V. 135. № 3. P. 1187.
- Pribus M., Orlik M., Valent I. // Reac. Kinet. Mech. Catal. 2022. V. 135. P. 1211.
- Chern M.S., Watanabe N., Okamoto Y., Umakoshi H. // Membrane. 2021. V. 46. № 4. P. 233.
- Мальфанов И.Л., Ванаг В.К. // Успехи химии. 2021. Т. 90. № 10. С. 1263. (Mallphanov I.L., Vanag V.K. // Russ. Chem. Rev. 2021. V. 90. № 10. P. 1263.)
- Voskresenskaya O.O. / Proc. 2nd Intern. Conf. on Kinetics, Mechanisms and Catalysis, 20−22 May 2021, Budapest, Hungary. P. 122.
- Kasperek G.T., Bruice T.C. // Inorg. Chem. 1971. V. 10. P. 382.
- Zhabotinsky A.M. / In: Oscillations and Traveling Waves in Chemical Systems. Eds. Field R.G., Burger M. New York: Interscience, 1985. P. 379.
- Chern M.S., Faria R.B. // ACS Omega. 2019. V. 4. P. 11581.
- Gao J., Zhang Y., Ren J., Wu Yang W. // J. Mex. Chem. Soc. 2013. V. 57. № 1. P. 25.
- Machado P.B., Faria R.B. // J. Phys. Chem. A. 2010. V. 114. № 10. P. 3742.
- Pereira J.A.M., Faria R.B. // Quim. Nova. 2007. V. 30. № 3. P. 541.
- Rastogi R.P., Prem Chand, Pandey M.K., Das M. // J. Phys. Chem. A. 2005. V. 109. P. 4562.
- Pereira J.A.M., Faria R.B. // J. Braz. Chem. Soc. 2004. 15. P. 976.
- Pelle K., Wittmann M., Lovric K., Noszticzius Z., Turco Liveri M.L., Lombardo R. // J. Phys. Chem. A. 2004. V. 108. P. 7554.
- Hlavačova J., Ševčík P. // Chem. Phys. Lett. 1991. V. 182. P. 588.
- Field R.J., Boyd P.M. // J. Phys. Chem. 1985. V. 89. P. 3707.
- Noszticzius Z., Bodiss J. // J. Am. Chem. Soc. 1979. V. 101. P. 3177.
- Györgyi L., Turányi T., Field R.J. // J. Phys. Chem. A. 1990. V. 94. P. 7162.
- Field R.J., Körös E., Noyes R.M. // J. Am. Chem. Soc. 1972. V. 94. P. 8649.
- Richardson W.H. / In: Organic Chemistry. Ed. A.T. Blomquist. New York, London: Academic Press, 1965. V. 5. Ch. IV. P. 244.
- Sengupta K.K., Aditya S. // Z. Phys. Chem. (NF). 1963. Bd. 38. S. 25.
- Yu Y.-O., Jwo J.-J. // J. Chin. Chem. Soc. 2000. V. 47. P. 433.
- Kvernberg P.O., Hansen E.W., Pedersen B., Rasmussen A., Ruoff P. // J. Phys. Chem. A. 1997. V. 101. P. 2327.
- Tsai R.-F., Jwo J.-J. // Int. J. Chem. Kinet. 2001. V. 33. P. 101.
- Rustici M., Lombardo R., Mangone M., Sbriziolo C., Zambrano V., Turco Liveri M.L. // Faraday Discuss. 2001. V. 120. P. 47.
- Voskresenskaya O. Kinetic and Thermodynamic Stability of Cerium(IV) Complexes with a Series of Aliphatic Organic Compounds. New York: Nova Science Publishers, Inc., 2013. 171 p.
- Dodson V.H., Blach A.Y. // J. Amer. Chem. Soc. 1957. V. 79. P. 1325.
- Van den Berg J.A., Breet E.L.G., Pienaar J.J. // S. Afr. J. Chem. 2000. V. 53. № 2. P. 119.
- Лузан A.A., Яцимирский K.Б. // Журн. неорган. химии. 1968. Т. 13. С. 3216.
- Воскресенская О.О., Скорик Н.А. // Журн. физ. химии. 2015. Т. 89. № 10. С. 1619. (Voskresenskaya O.О., Skorik N.A. // Russ. J. Phys. Chem. A. 2015. V. 89. P. 1821.)
- Соколовская И.П., Малкова В.И. // Сиб. хим. журн. 1992. № 5. С. 51.
- Вахрамова Г.П., Печурова Н.И., Спицын В.И. // Вестн. МГУ. 1974. № 6. С. 682.
- Перминов П.С., Федоров С.T., Maтюхa В.Ф., Милов Б.Б., Крот Н.Н. // Журн. неорган. химии. 1968. Т. 13. С. 651.
- Леванов А.В., Исайкина О.Я., Грязнов Р.А. // Кинетика и катализ. 2022. Т. 63. № 2. С. 207. (Levanov A.V., Isaikina O.Ya., Gryaznov R.A. // Kinet. Catal. 2022. V. 63. № 2. P. 180.)
- Темкин О.Н., Брук Л.Г., Зейгарник А.В. // Кинетика и катализ. 1993. Т. 34. С. 445.
- Skorik N.A., Chernov E.B. Calculations with the Use of Personal Computers in the Chemistry of Complex Compounds. Tomsk: TSU Publisher, 2009. 90 p.
- Binnemans K. / Handbook on the Physics and Chemistry of Rare Earts, V. 36. Ed. Gschneidner K.A. North-Holland: Elsevier, 2006. P. 281.
- Singh R.S., Jha P.N., Prasad R.K. // Proc. Nation. Sci., 1987. V. LVII. № III. P. 272.
- Nazareth J.L. The Newton−Cauchy Framework. A Unified Approach to Unconstrained Nonlinear Minimization. Berlin: Springer-Verlag, 1994. 108 p.
- Neumann B., Steinbock O., Müller S., Dalal Nar S. // J. Phys. Chem. A. 1996. V. 100. P. 12342.
- Voskresenskaya O.O., Skorik N.A. // Russ. J. Phys. Chem. A. 2023. V. 97. № 4. P. 663.
- Casari B.M., Lander V. // Acta Crystallogr. C. 2007. V. 63. № 4. P. i25.
- Vilkov L.V., Pentin Yu.A. Physical Methods of Investigation in Chemistry. Structural Methods and Optical Spectroscopy. Moscow: Vysshaya Shkola, 1987. 367 p.
Arquivos suplementares










