Influence of Soot Particles on the Gas-Phase Methane Conversion into Synthesis-Gas. The Role of H2O and CO2 Additives
- Autores: Akhunyanov A.R.1, Vlasov P.A.1,2, Smirnov V.N.1, Arutyunov A.V.1, Mikhailov D.I.1, Arutyunov V.S.1,3
-
Afiliações:
- Semenov Federal Research Center for Chemical Physics of the Russian Academy of Sciences
- National Research Nuclear University MEPhI
- Federal Research Center for Problems of Chemical Physics and Medicinal Chemistry, Russian Academy of Sciences
- Edição: Volume 64, Nº 6 (2023)
- Páginas: 681-696
- Seção: ARTICLES
- URL: https://ogarev-online.ru/0453-8811/article/view/231790
- DOI: https://doi.org/10.31857/S0453881123060011
- EDN: https://elibrary.ru/JTLUGG
- ID: 231790
Citar
Texto integral
Resumo
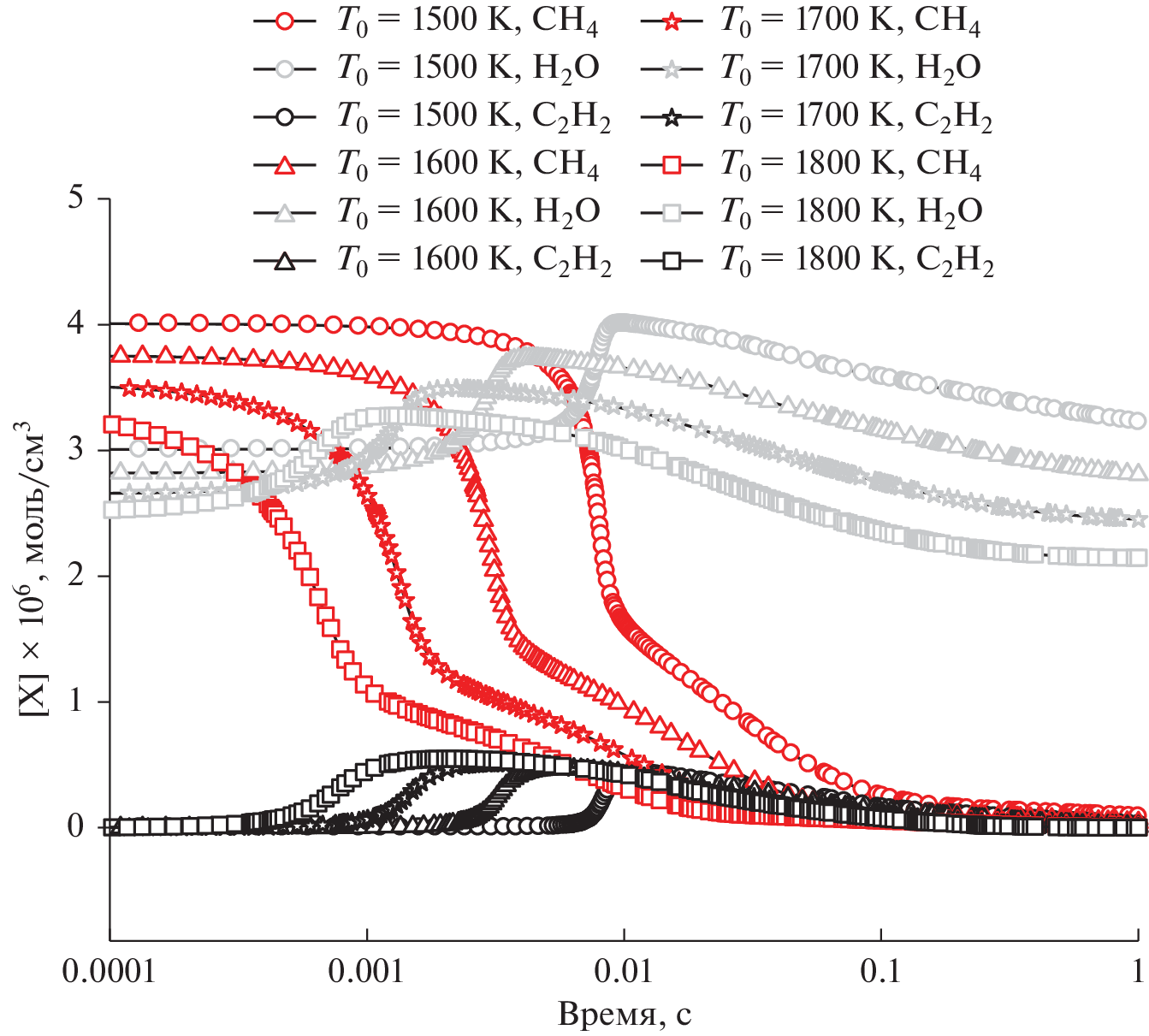
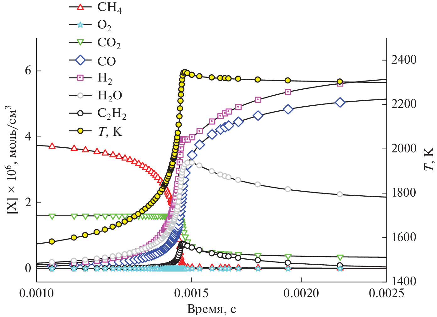
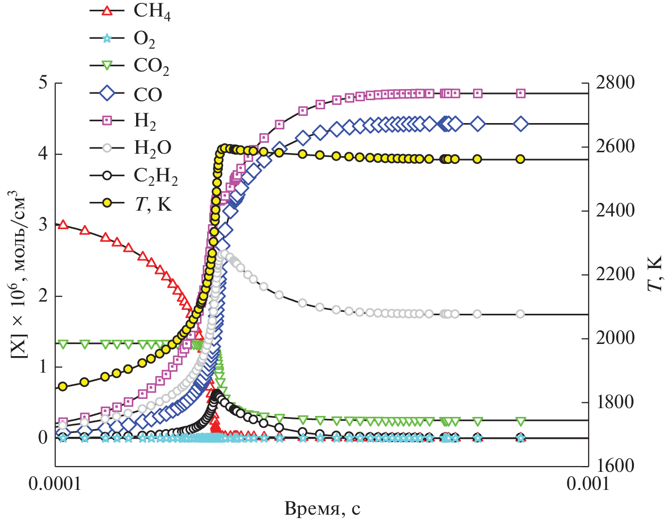
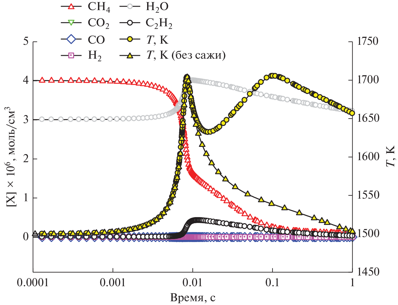
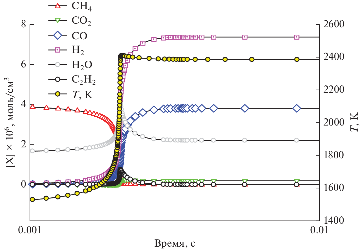
The influence of the formation of microheterogeneous soot particles on the gas-phase conversion of rich mixtures of methane with oxygen into synthesis gas in the temperature range from 1500 to 1800 K under the conditions of an adiabatic reactor was studied by kinetic modeling. The effect of CO2 and H2O additives on this process was studied. The appearance of soot particles is observed in rich mixtures, starting from the fuel excess factor ϕ = 3.33. At relatively low temperatures ~1500 K, a small amount of microheterogeneous soot particles is formed, which do not significantly affect the other components of the reacting system. A noticeable effect of soot particles at this temperature is observed at a higher value of ϕ = 8.0. This is most clearly manifested in the temperature profile of the process, in which, with the addition of water, two maxima are observed at times of the order of 0.01 and 0.1 s. In the case of CO2 additions, the second maximum on the temperature profile is almost not pronounced. A complex temperature profile leads to the appearance of the second maximum concentration of OH hydroxyl radicals at times of ~0.1 s. The addition of H2O and CO2 makes it possible to vary the H2/CO ratio in the synthesis gas over a wide range, which is necessary for the synthesis of various products. Since the added CO2 under these conditions is actually involved in the chemical process of obtaining synthesis gas, its partial recirculation from the conversion products makes it possible to reduce its emission during the production of synthesis gas.
Palavras-chave
Sobre autores
A. Akhunyanov
Semenov Federal Research Center for Chemical Physicsof the Russian Academy of Sciences
Autor responsável pela correspondência
Email: shocktube@yandex.ru
Russia, 119991, Moscow, 4, Kosygin Str.
P. Vlasov
Semenov Federal Research Center for Chemical Physicsof the Russian Academy of Sciences; National Research Nuclear University MEPhI
Email: shocktube@yandex.ru
Russia, 119991, Moscow, 4, Kosygin Str.; Russia, 115409, Moscow, 31, Kashirskoe Sh.
V. Smirnov
Semenov Federal Research Center for Chemical Physicsof the Russian Academy of Sciences
Email: shocktube@yandex.ru
Russia, 119991, Moscow, 4, Kosygin Str.
A. Arutyunov
Semenov Federal Research Center for Chemical Physicsof the Russian Academy of Sciences
Email: shocktube@yandex.ru
Russia, 119991, Moscow, 4, Kosygin Str.
D. Mikhailov
Semenov Federal Research Center for Chemical Physicsof the Russian Academy of Sciences
Email: shocktube@yandex.ru
Russia, 119991, Moscow, 4, Kosygin Str.
V. Arutyunov
Semenov Federal Research Center for Chemical Physicsof the Russian Academy of Sciences; Federal Research Center for Problems of Chemical Physics and Medicinal Chemistry,
Russian Academy of Sciences
Email: shocktube@yandex.ru
Russia, 119991, Moscow, 4, Kosygin Str.; Russia, 142432, Chernogolovka, 1, Academician Semenov Ave., Moscow region
Bibliografia
- Арутюнов В.С., Голубева И.А., Елисеев О.Л., Жагфаров Ф.Г. Технология переработки углеводородных газов. Учебник для вузов. Москва: Юрайт. 2020. 723 с. ISBN 978-5-534-12398-2
- Арутюнов В.С. // Нефтехимия. 2022. Т. 62. № 4. С. 459. https://doi.org/10.1134/S0965544122040065
- Nikitin A., Ozersky A., Savchenko V., Sedov I., Shmelev V., Arutyunov V. // Chem. Eng. J. 2019. V. 377. Article 120883. https://doi.org/10.1016/j.cej.2019.01.162
- Алдошин С.М., Арутюнов В.С., Савченко В.И., Седов И.В., Никитин А.В., Фокин И.Г. // Химическая физика. 2021. Т. 40. № 5. С. 46. https://doi.org/10.31857/S0207401X21050034
- Savchenko V.I., Zimin Ya.S., Nikitin A.V., Sedov I.V., Arutyunov V.S. // J. CO2 Utilization. 2021. V. 47. 101490. https://doi.org/10.1016/j.jcou.2021.101490
- Savchenko V.I., Nikitin A.V., Zimin Ya.S., Ozerskii A.V., Sedov I.V., Arutyunov V.S. // Chem. Eng. Res. Des. 2021. V. 175. P. 250. https://doi.org/10.1016/j.cherd.2021.09.009
- Савченко В.И., Зимин Я.С., Бузилло Э., Никитин А.В., Седов И.В., Арутюнов В.С. // Нефтехимия. 2022. Т. 62. № 3. С. 375. https://doi.org/10.1134/S0965544122050048
- Агафонов Г.Л., Билера И.В., Власов П.А., Колбановский Ю.А., Смирнов В.Н., Тереза А.М. // Кинетика и катализ. 2015. Т. 56. № 1. С. 15. https://doi.org/10.7868/S0453881115010013
- Ахуньянов А.Р., Арутюнов А.В., Власов П.А., Смирнов В.Н., Арутюнов В.С. // Кинетика и катализ. 2023. Т. 64. № 2. С. 153. https://doi.org/10.31857/S0453881123020016
- Frenklach M. // Chem. Eng. Sci. 1985. V. 40. P. 1843.
- Frenklach M., Taki S., Matula R.A. // Combust. Flame. 1983. V. 49. P. 275.
- Appel J., Bockhorn H., Frenklach M. // Combust. Flame. 2000. V. 121. № 1–2. P. 122.
- Wang H., Frenklach M. // Combust. Flame. 1997. V. 110. № 1–2. P. 173.
- Frenklach M., Wang H. Detailed Mechanism and Modeling of Soot Particle Formation / Soot Formation in Combustion: Mechanisms and Models. Ed. H. Bockhorn, Springer Series in Chemical Physics, Berlin: Springer-Verlag, 1994. V. 59. P. 162.
- Richter H., Granata S., Green W.H., Howard J.B. // Proc. Combust. Inst. 2005. V. 30. № 1. P. 1397.
- Deuflhard P., Wulkow M. // Impact Comput. Sci. Eng. 1989. V. 1. P. 269.
- Wulkow M. // Macromol. Theory Simul. 1996. V. 5. P. 393.
- Wang H., You X., Joshi A.V., Davis S.G., Laskin A., Egolfopoulos F., Law C.K. USC Mech Version II. High temperature combustion reaction model of H2/CO/C1–C4 compounds. http://ignis.usc.edu/USC-MechII.htm
- Агафонов Г.Л., Билера И.В., Власов П.А., Жильцова И.В., Колбановский Ю.А., Смирнов В.Н., Тереза А.М. // Кинетика и катализ. 2016. Т. 57. № 5. С. 571.
- Skjøth-Rasmussen M.S., Glarborg P., Østberg M., Johannessen J.T., Livbjerg H., Jensen A.D., Christensen T.S. // Combust. Flame. 2004. V. 136. P. 91.
- Richter H., Granata S., Green W.H., Howard J.B. // P. Combust. Inst. 2005. V. 30. P. 1397.
- Frenklach M., Warnatz J. // Combust. Sci. Technol. 1987. V. 51. P. 265.
- Wang H., Dames E., Sirjean B., Sheen D.A., Tangko R., Violi A. A high-temperature chemical kinetic model of n-alkane (up to n-dodecane), cyclohexane, and methyl-, ethyl-, n-propyl and n-butyl-cyclohexane oxidation at high temperatures. JetSurF Version 2.0, 2010.http://web.stanford.edu/group/haiwanglab/JetSurF/JetSurF2.0/index.htm
- Correa C., Niemann H., Schramm B., Warnatz J. // P. Combust. Inst. 2000. V. 28. P. 1607.
- Hansen N., Klippenstein S.J., Westmoreland P.R., Kasper T., Kohse-Hoinghaus K., Wang J., Cool T.A. // Phys. Chem. Chem. Phys. 2008. V. 10. P. 366.
- Agafonov G.L., Mikhailov D.I., Smirnov V.N., Tereza A.M., Vlasov P.A., Zhiltsova I.V. // Combust. Sci. Technol. 2016. V. 188. № 11–12. P. 1815. https://doi.org/10.1080/00102202.2016.1211861
- Vlasov P.A., Zhiltsova I.V., Smirnov V.N., Tereza A.M., Agafonov G.L., Mikhailov D.I. // Combust. Sci. Technol. 2018. V. 190. № 1. P. 57. https://doi.org/10.1080/00102202.2017.1374954
- Власов П.А., Ахуньянов А.Р., Смирнов В.Н. // Кинетика и катализ. 2022. Т. 63. № 2. С. 160. https://doi.org/10.31857/S0453881122020149
- Agafonov G.L., Borisov A.A., Smirnov V.N., Troshin K.Ya., Vlasov P.A., Warnatz J. // Combust. Sci. Technol. 2008. V. 180. № 10. P. 1876. https://doi.org/10.1080/00102200802261423
- Agafonov G.L., Smirnov V.N., Vlasov P.A. // Combust. Sci. Technol. 2010. V. 182. № 11. P. 1645. https://doi.org/10.1080/00102202.2010.497331
- Agafonov G.L., Naydenova I., Vlasov P.A., Warnatz J. // P. Combust. Inst. 2007. V. 31. P. 575. https://doi.org/10.1016/j.proci.2006.07.191
- Naydenova I., Nullmeier M., Warnatz J., Vlasov P.A. // Combust. Sci. Technol. 2004. V. 176. P. 1667. https://doi.org/10.1080/00102200490487544
- Vlasov P.A., Agafonov G.L., Mikhailov D.I., Smirnov V.N., Tereza A.M., Zhiltsova I.V., Sychev A.E., Shchukin A.S., Khmelenin D.N., Streletskii A.N., Borunova A.B., Stovbun S.V. // Combust. Sci. Technol. 2019. V. 191. № 2. P. 243. https://doi.org/10.1080/00102202.2018.1451995
- Vlasov P.A., Warnatz J. // P. Combust. Inst. 2002. V. 29. P. 2335.
- Agafonov G.L., Smirnov V.N., Vlasov P.A. // P. Combust. Inst. 2011. V. 33. P. 625. https://doi.org/10.1016/j.proci.2010.07.089
- Власов П.А., Варнатц Ю. // Химическая физика. 2004. Т. 23. № 10. С. 42.
- Власов П.А., Варнатц Ю., Найденова И. // Химическая физика. 2004. Т. 23. № 11. С. 36.
- Власов П.А., Смирнов В.Н., Тереза А.М., Агафонов Г.Л., Колбановский Ю.А., Билера И.В., Михайлов Д.И., Жильцова И.В. // Химическая физика. 2016. Т. 35. № 12. С. 35. https://doi.org/10.7868/S0207401X16120165
- Агафонов Г.Л., Билера И.В., Власов П.А., Колбановский Ю.А., Смирнов В.Н., Тереза А.М. // Химическая физика. 2016. Т. 35. № 8. С. 21. https://doi.org/10.7868/S0207401X16080033
- Агафонов Г.Л., Власов П.А., Смирнов В.Н. // Кинетика и Катализ. 2011. Т. 52. № 3. С. 368.
- Agafonov G.L., Smirnov V.N., Vlasov P.A. // Combust. Sci. Technol. 2012. V. 184. № 10–11. P. 1838. https://doi.org/10.1080/00102202.2012.690644
Arquivos suplementares















