The Study of Catalysis Mechanism in “Copper- and Ligand-Free” Sonogashira Reaction Using the Analysis of Phase Trajectories
- Autores: Larina E.V.1, Kurokhtina A.A.1, Lagoda N.A.1, Grigoryeva T.A.1, Schmidt A.F.1
-
Afiliações:
- Irkutsk State University, Chemical Department
- Edição: Volume 64, Nº 4 (2023)
- Páginas: 428-436
- Seção: 7-я Международная школа-конференция молодых ученых “Катализ: от науки к промышленности”
- URL: https://ogarev-online.ru/0453-8811/article/view/137031
- DOI: https://doi.org/10.31857/S0453881123040068
- EDN: https://elibrary.ru/RQZGXZ
- ID: 137031
Citar
Texto integral
Resumo
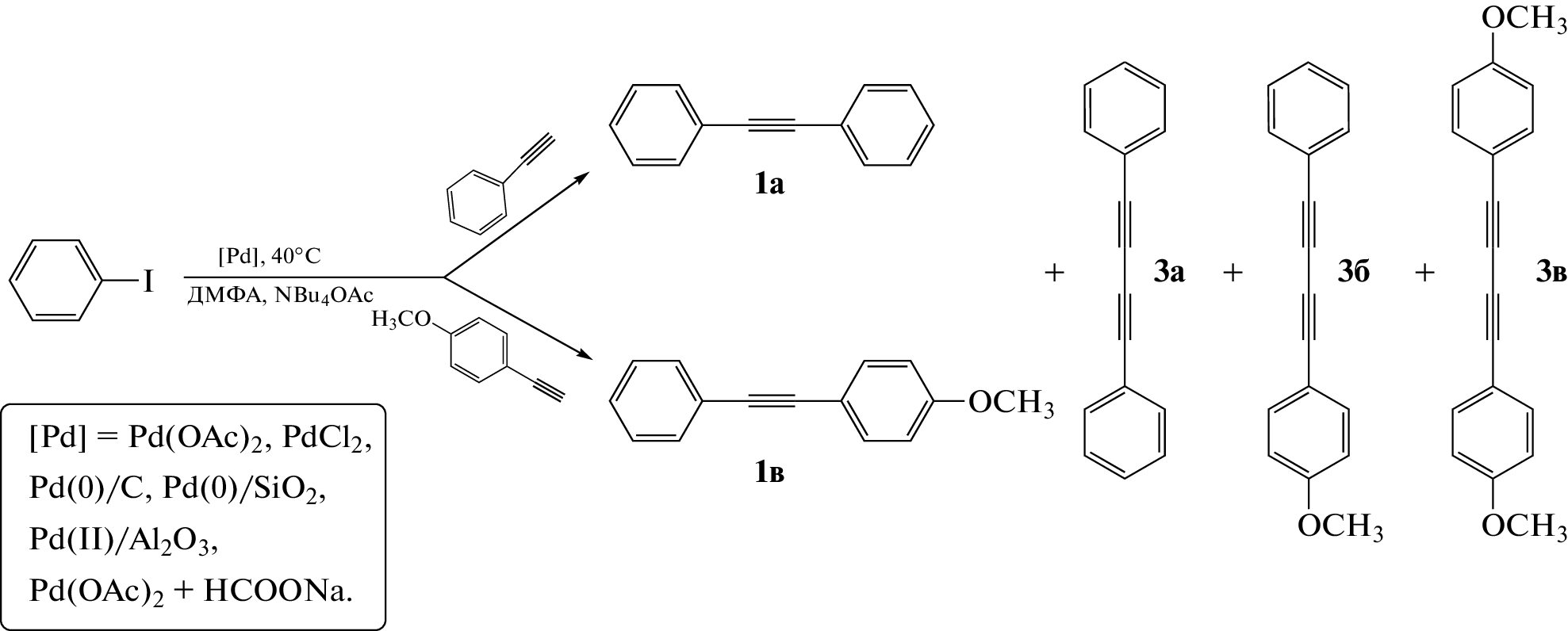
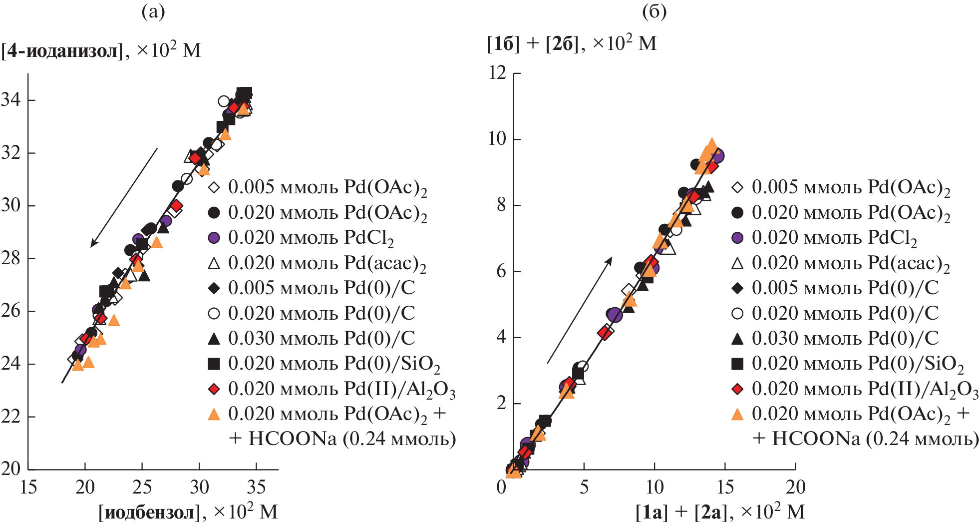
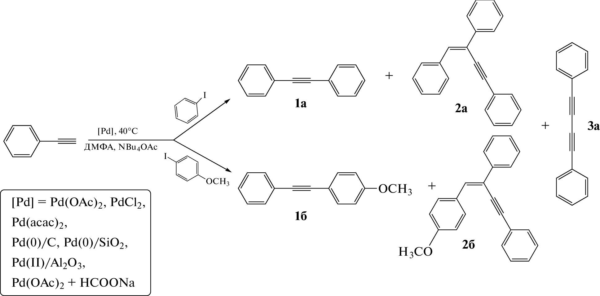
The results are presented on the comparative studies of the differential selectivity patterns in “copper- and ligand-free” Sonogashira reaction under so-called artificial multiroutness aimed at the distinguishing between homogeneous and heterogeneous catalysis mechanisms. Using various amounts of soluble and insoluble heterogeneous catalyst precursors resulted in the same values of the differential selectivity of competing aryl iodides, of arylacetylenes, or of the reaction products. The observed patterns conform to the hypothesis about Sonogashira reaction proceeding through homogeneous catalysis mechanism even when heterogeneous insoluble catalyst precursors are used.
Palavras-chave
Sobre autores
E. Larina
Irkutsk State University, Chemical Department
Email: aschmidt@chem.isu.ru
Russia, 664003, Irkutsk, K. Marx str., 1
A. Kurokhtina
Irkutsk State University, Chemical Department
Email: aschmidt@chem.isu.ru
Russia, 664003, Irkutsk, K. Marx str., 1
N. Lagoda
Irkutsk State University, Chemical Department
Email: aschmidt@chem.isu.ru
Russia, 664003, Irkutsk, K. Marx str., 1
T. Grigoryeva
Irkutsk State University, Chemical Department
Email: aschmidt@chem.isu.ru
Russia, 664003, Irkutsk, K. Marx str., 1
A. Schmidt
Irkutsk State University, Chemical Department
Autor responsável pela correspondência
Email: aschmidt@chem.isu.ru
Russia, 664003, Irkutsk, K. Marx str., 1
Bibliografia
- Rayadurgam J., Sana S., Sasikumar M., Gu Q. // Org. Chem. Front. 2021. V. 8. № 2. P. 384.
- Heravi M.M., Ghanbarian M., Ghalavand N., Nazari N. // Curr. Org. Chem. 2018. V. 22. № 14. P. 1420.
- Martek B.A., Gazvoda M., Urankar D., Košmrlj J. // Org. Lett. 2020. V. 22. № 13. P. 4938.
- Leyva-Pérez A., Oliver-Meseguer J., Rubio-Marqués P., Corma A. // Angew. Chem. Int. Ed. 2013. V. 52. № 44. P. 11554.
- Djakovitch L., Rollet P. // Adv. Synth. Catal. 2004. V. 346. № 13–15. P. 1782.
- Ananikov V.P., Beletskaya I.P. // Organometallics. 2012. V. 31. P. 1595.
- Prima D.O., Kulikovskaya N.S., Galushko A.S., Mironenko R.M., Ananikov V.P. // Curr. Opin. Green Sustain. Chem. 2021. V. 31. P. 100502.
- Eremin D.B., Ananikov V.P. // Coord. Chem. Rev. 2017. V. 346. P. 2.
- Biffis A., Centomo P., del Zotto A., Zecca M. // Chem. Rev. 2018. V. 118. P. 2249.
- Шмидт А.Ф., Курохтина А.А., Ларина Е.В. // Кинетика и катализ. 2012. Т. 53. № 1. С. 86. (Schmidt A.F., Kurokhtina A.A., Larina E.V. // Kinet. Catal. 2012. V. 53. P. 84.)
- Шмидт А.Ф., Курохтина А.А., Ларина Е.В. // Кинетика и катализ. 2019. Т. 60. № 5. С. 555. (Schmidt A.F., Kurokhtina A.A., Larina E.V. // Kinet. Catal. 2019. V. 60. P. 551.)
- Excel for Scientists and Engineers: Numerical Methods. E.J. Billo. John Wiley & Sons, 2007. 480 p.
- Мироненко Р.М., Бельская О.Б., Лихолобов В.А. // Российский химический журнал. Т. 62. № 1–2. С. 141. (Mironenko R.M., Belskaya O.B., Likholobov V.A. // Russ. J. Gen. Chem. 2020. V. 90. P. 532.)
- Mikhaylov V.N., Sorokoumov V.N., Liakhov D.M., Tskhovrebov A.G., Balova I.A. // Catalysts. 2018. V. 8. № 4. P. 141.
- Zhao X., Liu X., Zhu Y., Lu M. // Appl. Organomet. Chem. 2015. V. 29. № 10. P. 674.
- Genelot M., Dufaud V., Djakovitch L. // Adv. Synth. Catal. 2013. V. 355. P. 2604.
- Thathagar M.B., Kooyman P.J., Boerleider R., Jansen E., Elsevier C.J., Rothenberg G. // Adv. Synth. Catal. 2005. V. 347. № 15. P. 1965.
- Dubey P., Singh A.K. // ChemistrySelect. 2020. V. 5. № 10. P. 2925.
- Goncalves R.S.B., de Oliveira A.B.V., Sindra H.C., Archanjo B.S., Mendoza M.E., Carneiro L.S.A., Buarque C.D., Esteves P.M. // ChemCatChem. 2016. V. 8. № 4. P. 743.
- Ezugwu C.I., Mousavi B., Asrafa A., Mehta A., Vardhan H., Verpoort F. // Catal. Sci. Technol. 2016. V. 6. № 7. P. 2050.
- Kuchkina N.V., Sorokina S.A., Bykov A.V., Sulman M.G., Bronstein L.M., Shifrina Z.B. // Nanomater. 2021. V. 11. № 12. P. 3345.
- Alapour S., Farahani M.D., Ramjugernath D., Koorbanally N.A., Friedrich H.B. // ACS Sustain. Chem. Eng. 2019. V.7. № 15. P. 12697.
- Gholinejad M., Esmailoghli H., Khosravi F., Sansano J.M. // J. Organomet. Chem. 2022. V. 963. P. 122295.
- Karami K., Abedanzadeh S., Afroomand M., Hervés P., Bayat P. // Catal. Lett. in press.
- Widegren J.A., Finke R.G. // J. Mol. Catal. A: Chem. 2003. V. 198. P. 317.
- Crabtree R.H. // Chem. Rev. 2012. V. 112. № 3. P. 1536.
- Шмидт А.Ф., Курохтина А.А. // Кинетика и катализ. 2012. Т. 53. № 6. С. 760. (Schmidt A.F., Kurokhtina A.A. // Kinet. Catal. 2012. V. 53. P. 714.)
- Köhler K., Kleist W., Pröckl S.S. // Inorg. Chem. V. 46. P. 1876.
- Schmidt A.F., al Halaiqa A., Smirnov V.V. // Synlett. 2006. V.18. P. 2861.
- Wussow K., Abram A., Köhler K. // Catal. Commun. 2022. V.165. P. 106441.
- Finke R.G., Ozkar S. // J. Phys. Chem. C. 2019. V. 123. P. 54.
- Siemsen P., Livingston R.C., Diederich F. // Angew. Chem., Int. Ed. 2000. V. 39. № 15. P. 2632.
- Темкин О.Н. // Кинетика и катализ. 2012. Т. 53. С. 326. (Temkin O.N. // Kinet. Catal. 2012. V. 53. № 3. P. 313.)
- Schmidt A.F., Kurokhtina A.A., Larina E.V. // Catal. Sci. Technol. 2014. V. 4. P. 3439.
- Bandini M., Luque R., Budarin V., Macquarrie D.J. // Tetrahedron. 2005. V. 61. № 41. P. 9860.
Arquivos suplementares






