Превращения молекулярной каталитической системы Pd/(N-гетероциклический карбен) в реакции Мизороки–Хека
- Авторы: Костюкович А.Ю.1, Патиль Е.Д.1, Бурыкина Ю.В.1, Анаников В.П.1
-
Учреждения:
- ФГБУН Институт органической химии им. Н.Д. Зелинского РАН
- Выпуск: Том 64, № 1 (2023)
- Страницы: 53-64
- Раздел: СТАТЬИ
- URL: https://ogarev-online.ru/0453-8811/article/view/137016
- DOI: https://doi.org/10.31857/S0453881123010033
- EDN: https://elibrary.ru/KGSNIQ
- ID: 137016
Цитировать
Полный текст
Аннотация
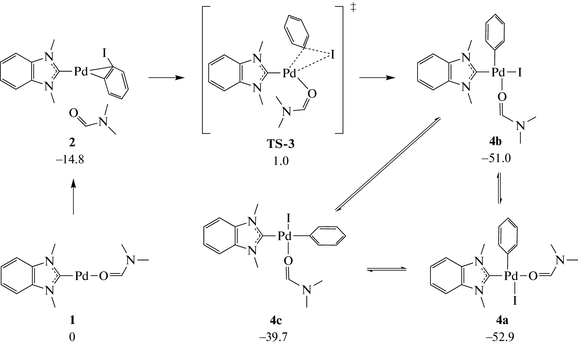
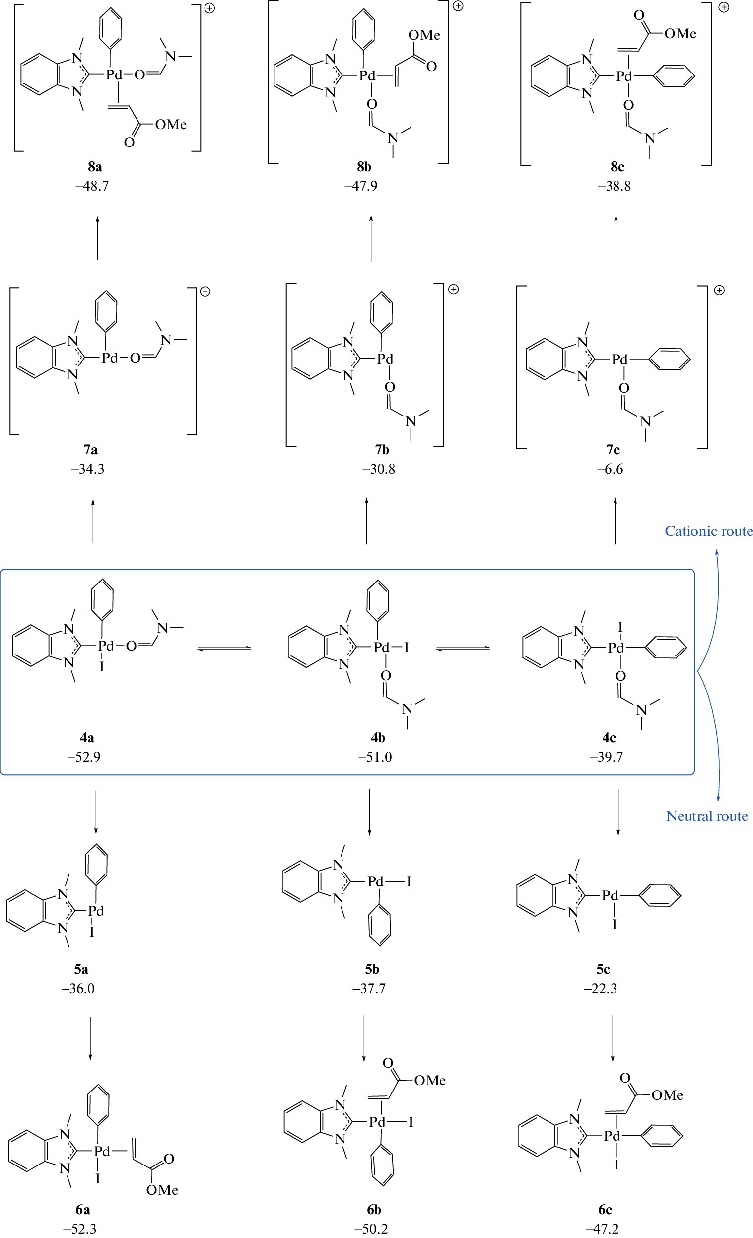
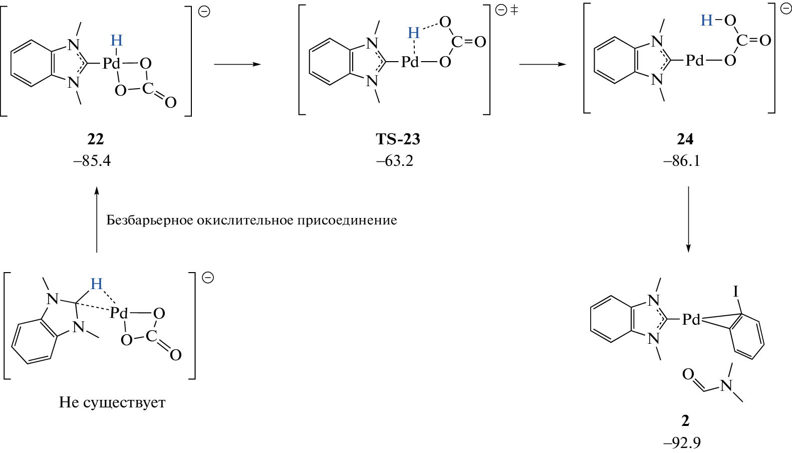
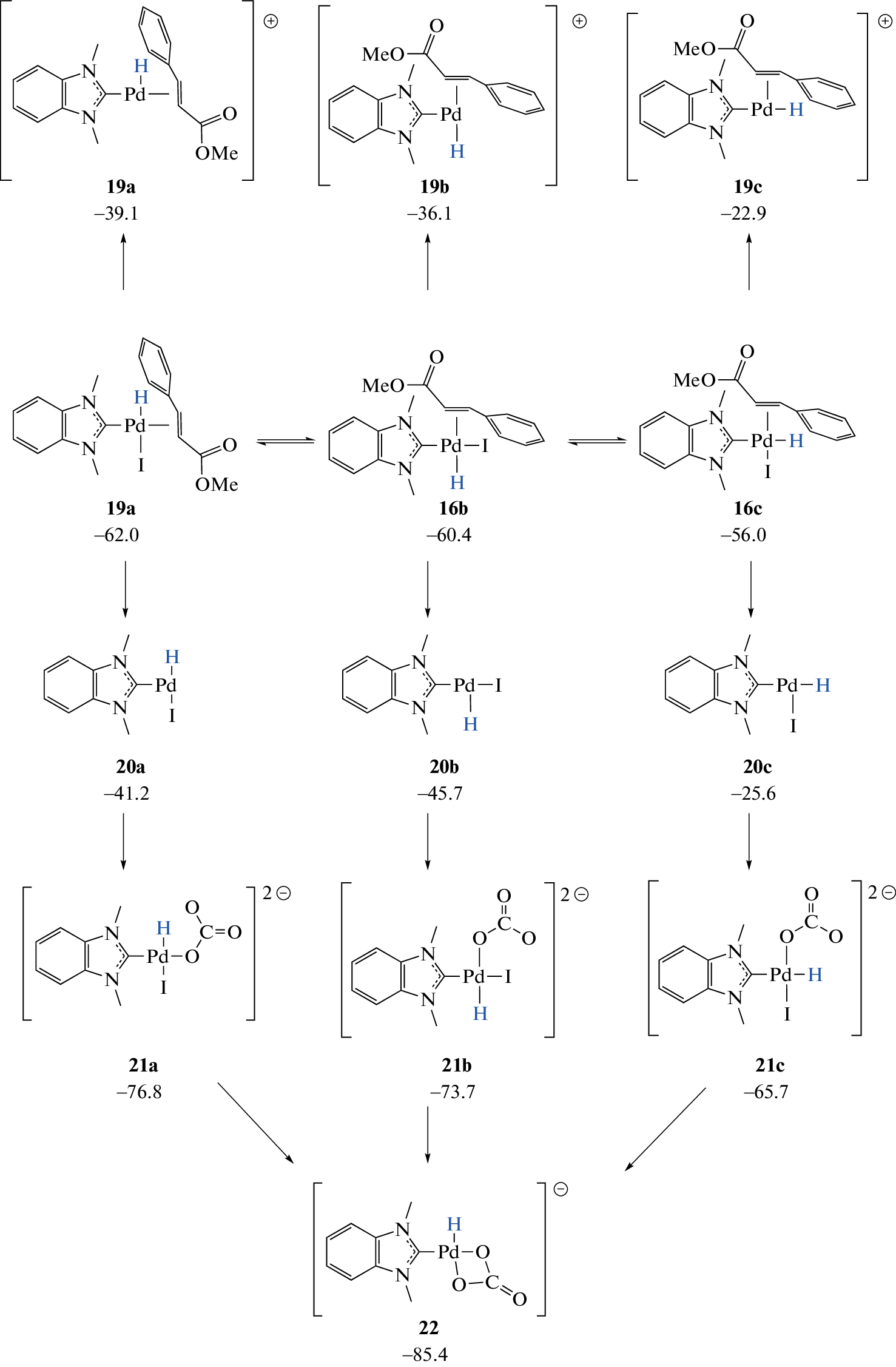
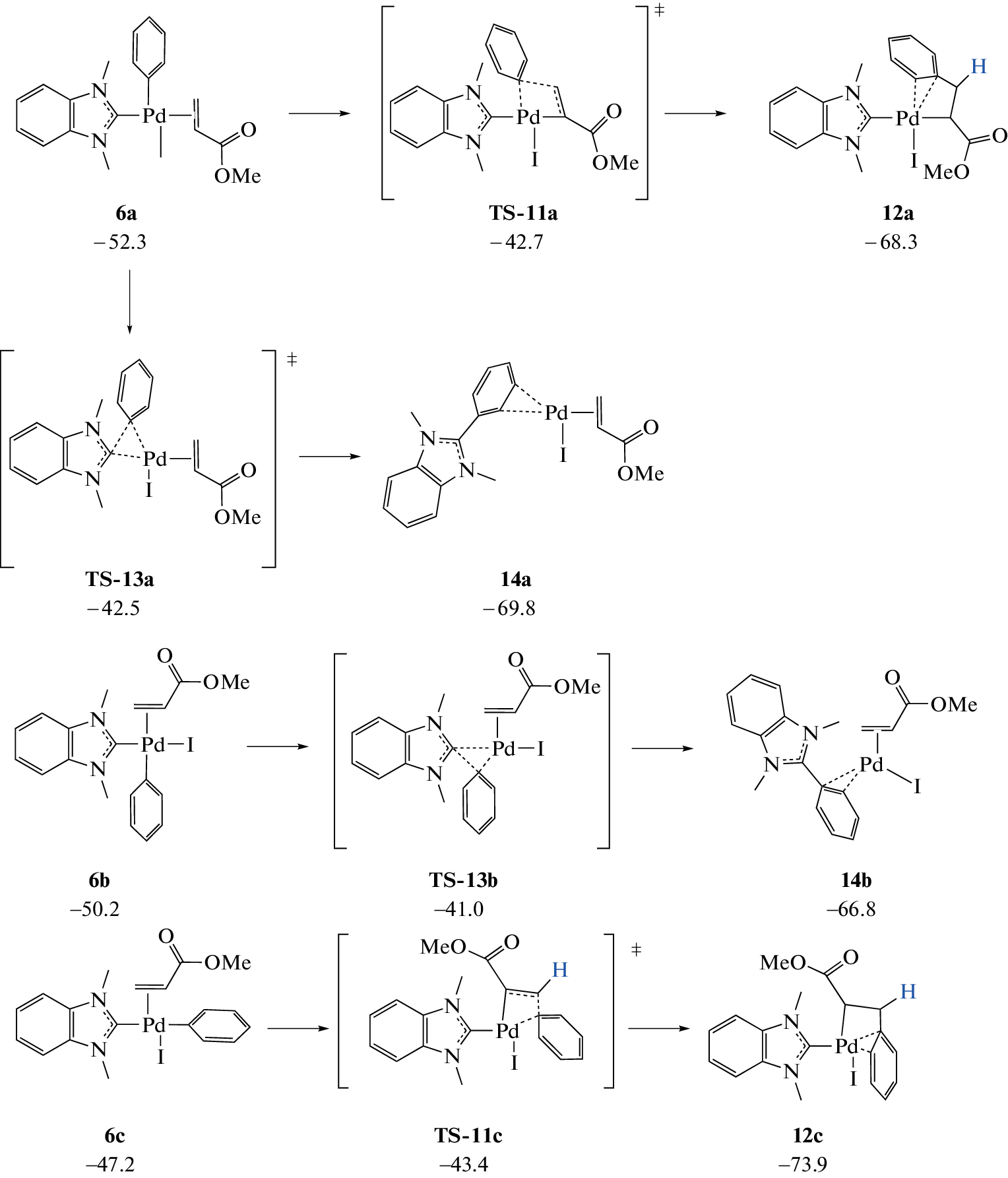
Изучен механизм формирования каталитических центров в практически важной реакции Мизороки–Хека, востребованной в современном тонком органическом синтезе. Обнаружено, что в условиях реакции Мизороки–Хека катализаторы на основе комплексов палладия с N-гетероциклическими карбеновыми лигандами трансформируются в “безлигандную” форму. Молекулярное моделирование, проведенное с использованием квантово-химических методов, показало, что данные процессы конкурируют с целевой реакцией на трех из шести стадий каталитического цикла. Наличие продуктов превращения катализатора в реакционной системе было подтверждено экспериментально методами ядерного магнитного резонанса и масс-спектрометрии. Получены важные механистические данные для рационального дизайна каталитических систем реакций кросс-сочетания.
Ключевые слова
Об авторах
А. Ю. Костюкович
ФГБУН Институт органической химии им. Н.Д. Зелинского РАН
Email: val@ioc.ac.ru
Россия, 119991, Москва, Ленинский просп., 47
Е. Д. Патиль
ФГБУН Институт органической химии им. Н.Д. Зелинского РАН
Email: val@ioc.ac.ru
Россия, 119991, Москва, Ленинский просп., 47
Ю. В. Бурыкина
ФГБУН Институт органической химии им. Н.Д. Зелинского РАН
Email: val@ioc.ac.ru
Россия, 119991, Москва, Ленинский просп., 47
В. П. Анаников
ФГБУН Институт органической химии им. Н.Д. Зелинского РАН
Автор, ответственный за переписку.
Email: val@ioc.ac.ru
Россия, 119991, Москва, Ленинский просп., 47
Список литературы
- Cazin C.S.J. N-Heterocyclic carbenes in transition metalcatalysis and organocatalysis. Springer Science & Business Media, 2010. 336 p. https://doi.org/10.1007/978-90-481-2866-2.
- Темкин О.Н. “Золотой век” гомогенно-каталитической химии алкинов: димеризация и олигомеризация алкинов // Кинетика и катализ. 2019. Т. 60. № 6. С. 683. https://doi.org/10.1134/S0453881119060157
- Díez-González S., Nolan S.P. Stereoelectronic parameters associated with N-heterocyclic carbene (NHC) ligands: a quest for understanding // Coord. Chem. Rev. 2007. V. 251. P. 874. https://doi.org/10.1016/j.ccr.2006.10.004
- Jacobsen H., Correa A., Poater A., Costabile C., Cavallo L. Understanding the M-(NHC) (NHC = N-heterocyclic carbene) bond // Coord. Chem. Rev. 2009. V. 253. P. 687. https://doi.org/10.1016/j.ccr.2008.06.006
- Van Leeuwen P.W. Decomposition pathways of homogeneous catalysts // Appl. Catal. A: Gen. 2001. V. 212. P. 61. https://doi.org/10.1016/S0926-860X(00)00844-9
- Magill A.M., Yates B.F., Cavell K.J., Skelton B.W., White A.H. Synthesis of N-heterocyclic carbene palladium (II) bis-phosphine complexes and their decomposition in the presence of aryl halides // Dalton Trans. 2007. V. 31. P. 3398. https://doi.org/10.1039/B706053J
- Курохтина А.А., Ларина Е.В., Лагода Н.А., Шмидт А.Ф. Роль процессов формирования–дезактивации катализатора и свидетельства нелинейного механизма в реакции Мицороки–Хека с арилхлоридами // Кинетика и катализ. 2022. Т. 63. № 5. С. 614–627. https://doi.org/10.31857/S0453881122050070
- Ларина Е.В., Курохтина А.А., Лагода Н.А., Шмидт А.Ф. Влияние добавок солей и фосфинов на состав активных комплексов палладия в реакции Мицороки–Хека с ангидридами ароматических кислот // Кинетика и катализ. 2022. Т. 63. № 2. С. 234. https://doi.org/10.31857/S0453881122020058
- Eremin D.B., Boiko D.A., Kostyukovich A.Yu., Burykina J.V., Denisova E.A., Anania M., Martens J., Berden G., Oomens J., Roithová J., Ananikov V.P. Mechanistic study of Pd/NHC-catalyzed sonogashira reaction: discovery of NHC-ethynyl coupling process // Chem. Eur. J. 2020. V. 26. P. 15672. https://doi.org/10.1002/chem.202003533
- Denisova E.A., Eremin D.B., Gordeev E.G., Tsedilin A.M., Ananikov V.P. Addressing reversibility of R-NHC coupling on palladium: is nano-to-molecular transition possible for the Pd/NHC System? // Inorg. Chem. 2019. V. 58. P. 12218. https://doi.org/10.1021/acs.inorgchem.9b01630
- Chernyshev V.M., Khazipov O.V., Shevchenko M.A., Chernenko A.Y., Astakhov A.V., Eremin D.B., Pasyukov D.V., Kashin A.S., Ananikov V.P. Revealing the unusual role of bases in activation/deactivation of catalytic systems: O-NHC coupling in M/NHC catalysis // Chem. Sci. 2018. V. 9. P. 5564. https://doi.org/10.1039/C8SC01353E
- Gaussian 16, Revision C.01, Frisch M.J., Trucks G.W., Schlegel H.B., Scuseria G.E., Robb M.A., Cheeseman J.R., Scalmani G., Barone V., Petersson G.A., Nakatsuji H., Li X., Caricato M., Marenich A.V., Bloino J., Janesko B.G., et al., Fox, D.J. Gaussian, Inc., Wallingford CT, 2016.
- Adamo C., Barone V. Toward reliable density functional methods without adjustable parameters: The PBE0 model // J. Chem. Phys. 1999. V. 110. P. 6158. https://doi.org/10.1063/1.478522
- Weigend F., Ahlrichs R. Balanced basis sets of split valence, triple zeta valence and quadruple zeta valence quality for H to Rn: Design and assessment of accuracy // Phys. Chem. Chem. Phys. 2005. V. 7. P. 3297. https://doi.org/10.1039/B508541A
- Grimme S., Ehrlich S., Goerigk L. Effect of the damping function in dispersion corrected density functional theory // J. Comput. Chem. 2011. V. 32. P. 1456. https://doi.org/10.1002/jcc.21759
- Scalmani G., Frisch M.J. Continuous surface charge polarizable continuum models of solvation. I. General formalism // J. Chem. Phys. 2010. V. 132. P. 114110. https://doi.org/10.1063/1.3359469
Дополнительные файлы













