Application of graphenes in supercapacitors (review)
- Authors: Volfkovich Y.M.1
-
Affiliations:
- A. N. Frumkin Institute of Physical Chemistry and Electrochemistry of the Russian Academy of Sciences
- Issue: Vol 61, No 1 (2025)
- Pages: 5-46
- Section: Special issue based on the reports at the 17th International Meeting “Fundamental and Applied Problems of Solid State Ionics” (Chernogolovka, June 16–23, 2024)
- URL: https://ogarev-online.ru/0424-8570/article/view/296360
- DOI: https://doi.org/10.31857/S0424857025010019
- EDN: https://elibrary.ru/DLGFKH
- ID: 296360
Cite item
Full Text
Abstract
This review examines the literature, mainly of recent years, on the current topic of using graphenes in supercapacitors. The influence of the porous structure of graphenes, the influence of doping and irradiation of graphenes are considered. Methods for producing graphenes, composites of graphenes with metal oxides, sulfides and selenides, with metal particles, with electron-conducting polymers, with MXenes, as well as quantum dots are considered. Electrochemical characteristics are given for the types of graphene considered.
Full Text
Оглавление
Введение
- Графены и их комбинации с другими углеродными материалами
1.1. Влияние пористой структуры
1.2. Влияние допирования и облучения
1.3. Способы получения восстановленного оксида графена
- Композиты с графенами
2.1. Композиты с оксидами металлов
2.2. Композиты с сульфидами и селенидами металлов
2.3. Композиты с частицами металлов
- Композиты с электронопроводящими полимерами (ЭПП)
- Композиты с MXenes
- Квантовые точки
Заключение
Список сокращений
АУ – активированный уголь
ВОГ – восстановленный оксид графена
ДЭС – двойной электрический слой
ОСУНТ – одностенные углеродные нанотрубки
ПВС – поливиниловый спирт
ПЭМ – просвечивающая электронная микроскопия
УНТ – углеродные нанотрубки
УП – площадь удельной поверхности
ЦВА – циклическая вольтамперометрия
ЭИС – электрохимическая импедансная спектроскопия
AC – активированный уголь
CNT – углеродные нанотрубки
EDX – энергодисперсионная рентгеновская спектроскопия
EIS – электрохимическая импедансная спектроскопия
FESEM – полевая эмиссионная сканирующая электронная микроскопия
FTIR – рамановская инфракрасная спектроскопия с преобразованием Фурье
GCD – гальваностатическое циклирование
GO – оксид графена
GQD – графеновые квантовые точки
HRTEM – просвечивающая электронная микроскопия высокого разрешения
PANi – полианилин
PL – фотолюминисценция
PP – полипорфин
PPy – полипиррол
PT – политиофен
rGO – восстановленный оксид графена
SEM – сканирующая электронная микроскопия
TEM – просвечивающая электронная микроскопия
Uv-vis – ультрафиолетовая видимая спектроскопия
WSC – проволочный суперконденсатор
XRD – рентгеновская дифракция
Введение
В последнее время в качестве перспективных электродных материалов для электрохимических суперконденсаторов (ЭХСК) стали использовать графены и их производные [1, 2, 3–44]. Графены были открыты всего около 15 лет назад, за что их создатели получили Нобелевскую премию, и практически сразу были обнаружены замечательные свойства графенов, которые открывают широкие возможности их применения в различных отраслях народного хозяйства, в том числе в химических источниках тока и в электрохимических конденсаторах в частности. Единичный слой графенового листа обеспечивает удельную внешнюю поверхность вплоть до 2675 м2/г, доступную для жидкого электролита, по сравнению с внешней удельной поверхностью приблизительно 1300 м2/г для единичной одностенной углеродной нанотрубки. Графеновые слои образуют пластинки из нескольких единичных графеновых слоев, в результате чего доступная для электролита поверхность уменьшается. Тем не менее в последнее время были получены обнадеживающие результаты для ЭХСК с графеновыми электродами. Часто графеновые электроды кроме емкости двойного электрического слоя обладают также псевдоемкостью фарадеевских редокс-реакций.
Восстановленный оксид графена обычно получают по модифицированному методу Хаммерса. Согласно этой методике, исходный порошок графита при перемешивании и охлаждении добавляется в смесь концентрированных серной и азотной кислот, и через некоторое время в эту же смесь добавляется трехкратное по отношению к графиту количество перманганата калия. Затем к ней добавляют раствор пероксида водорода и через час разбавляют троекратным количеством дистиллированной воды. После отстаивания в течение нескольких часов верхний прозрачный слой декантируют. Взвешенный осадок фильтруют, промывают дистиллированной водой и сушат при комнатной температуре до постоянного веса. В результате получают сухой порошкообразный оксид графита, который восстанавливают методом быстрого нагревания до температуры 1000°С. В момент восстановления происходит расслоение материала с многократным увеличением его объема (эксфолиация). Конечный продукт представляет собой порошок из тонких монослоев, содержащих от 1 до 10 графеновых монослоев в пластинках, которые имеют разброс по размерам от 1 до 10 мкм в латеральном направлении. Эти монослои, в свою очередь, группируются в агломераты, между которыми образуются поры с широким (в 4–5 порядков) спектром размеров: микропоры, мезопоры и макропоры [8, 19–44].
Следует отметить, что в обзоре проанализировано много публикаций за последние годы – с 2019 по 2024 г. В самые последние годы был опубликован ряд обзоров по применению графенов в суперконденсаторах, например [20, 21, 43]. Однако в них отсутствовали следующие важные разделы, которые систематически рассмотрены в настоящем обзоре: влияние допирования и облучения, влияние пористой структуры, квантовые точки, композиты графенов с оксидами металлов, с электронопроводящими полимерами, с MXenes.
В обзоре важное место занимают материалы, представляющие из себя композиты графенов с электронопроводящими полимерами (полианилин, полипиррол), с оксидами металлов и с MXenes. Суперконденсаторы с этими материалами покаывают высокие электрохимические характеристики.
1. Графены и их комбинации с другими углеродными материалами
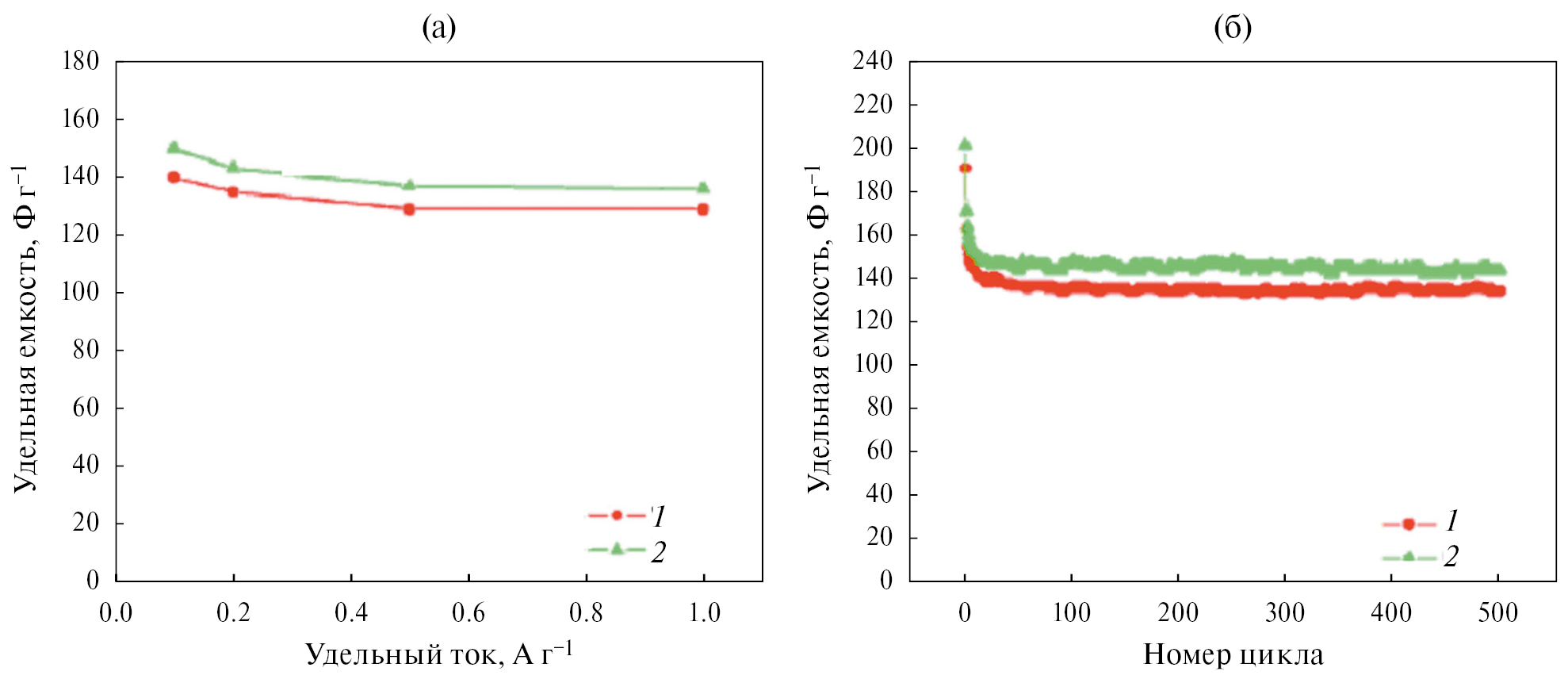
Графеновые электроды отличаются высокой обратимостью зарядно-разрядных процессов. Это наглядно видно из рис. 1, на котором приведены зависимости удельной емкости от удельного тока и от числа гальваностатических циклов заряда/разряда для двух разных электродов с площадью удельной поверхности 450 и 520 м2 г–1, изготовленных на основе ВОГ, который наносился на никелевый войлок. Электрохимические измерения проводились в 30 вес. % КОН [45]. Как видим, при изменении удельного тока на порядок емкость почти не изменилась. Также видно, что в течение 500 циклов емкость практически оставалась постоянной.
Рис. 1. Зависимости удельной емкости от удельного тока (a) и зависимости удельной емкости в 30 вес. % КОН от числа гальваностатических циклов заряда/разряда (б) при удельном токе 0.1 А/г для двух электродов на основе ВОГ с разными величинами удельной поверхности [45].
В [18] было установлено, что оксид графена обладает протонной проводимостью, а в [19] на этом основании был изготовлен суперконденсатор, состоящий из сепаратора из оксида графена и двух электродов на основе восстановленного оксида графена.
В работе [46] графены были получены тремя различными методами и были исследованы в качестве электродных материалов в электрохимических суперконденсаторах. Образцы, полученные эксфолиацией оксида графита и превращением наноалмаза, обладают высокой удельной емкостью в H2SO4, значение достигает 117 Ф/г. При использовании ионной жидкости рабочее напряжение было увеличено до 3.5 В (вместо 1 В в случае водного раствора H2SO4), удельная емкость и плотность энергии составляют 75 Ф/г и 31.9 Вт ч/кг соответственно. Эксплуатационные характеристики графенов, напрямую связанные с количеством слоев и величиной УП, превосходят одностенные и многостенные углеродные нанотрубки.
В последнее время было опубликовано много статей по применению графенов в ЭХСК. Исследование [47] представляет собой краткое изложение последних разработок по использованию графена в качестве электрода суперконденсатора в форме пенопласта (3D), тонких слоев (2D), нановолокон (1D) и наноточек (0D). В этой статье представлен краткий взгляд на открытие и продвижение графена с последующим изучением теоретических и экспериментальных подходов, используемых для производства графена высшего качества. Кроме того, в статье основное внимание уделяется изготовлению электродов с сохранением их основных характеристик. Подчеркивается их особенная эффективность в качестве анода в суперконденсаторах. Статья завершается выявлением основных возникших проблем и потенциальных перспектив.
Графеновая кислота (ГК) представляет собой проводящее производное графена, диспергируемое в воде, которое может быть получено в больших масштабах из фторографена. В работе [48] описывается исследование синтеза с высокой воспроизводимостью для изготовления ГК. Было проведено зарядно/разрядное циклирование. ГК испытывали в двухэлектродной ячейке с сернокислотным электролитом. Тест на стабильность скорости показал, что ГК можно многократно циклировать при плотности тока в диапазоне от 1 до 20 А/г без потерь емкости. Эксперимент по циклической стабильности показал, что даже после 60 000 циклов материал сохранял 95.3% своей удельной емкости при высокой плотности тока 3 А/г.
В [49] концепция биполярной электрохимии используется для разработки одноступенчатого и контролируемого процесса одновременного отшелушивания источника графита и для осаждения оксида графена и восстановленных слоев оксида графена на проводящие подложки. Электрохимический анализ, проведенный на симметричных ячейках, показал удельную емкость 1932 мФ/см2 для высококачественного восстановленного оксида графена, осажденного на отрицательном электроде, и 0.404 мФ/см2 для оксида графена, осажденного на положительный электрод со скоростью сканирования 2 мВ/с. Устройства также показали высокую стабильность к периодическим и повторяющимся циклам заряда/разряда постоянным током, что подходит для накопления энергии в суперконденсаторах. В частотной области получены частоты 1820 и 1157 Гц при фазовом угле импеданса –45° для устройств на основе положительного и отрицательного электродов соответственно, что является перспективной характеристикой для применений фильтрации переменного тока.
В последнее время быстрое развитие суперконденсаторов на основе графена привело к тому, что возникла потребность в устройствах с определенной адаптируемостью, что станет фундаментальным преимуществом в инновационных электронных устройствах. Тестируются различные материалы, чтобы убедиться в соответствующих свойствах. Графен, обладающий уникальными свойствами, такими как высокая УП, высокая проводимость, рассматривается как потенциальный кандидат для использования в качестве строительного материала сверхпроводников. В работе [50] изучили различные аспекты сверхпроводников на основе графена, их типы, допирование металлом/неметаллом/полимером, а также оксиды и восстановленные оксиды сверхпроводников, включенных в графен. Подводя итоги, были проведены сравнения процессов, которым следовали исследователи, чтобы выяснить, какой из них является наиболее подходящим способом получения наилучших электрохимических характеристик.
В работе [51] было обнаружено, что суперконденсатор с электродами на основе графена имеет удельную плотность энергии 85.6 Вт ч/кг при комнатной температуре и 136 Вт ч/кг при 80°C при 1 А/г. Эти значения плотности энергии сопоставимы с таковой у никель-металлогидридного аккумулятора, но суперконденсатор можно заряжать или разряжать за секунды или минуты. Ключом к успеху стала возможность в полной мере использовать высокую УП однослойного графена путем подготовки изогнутых графеновых листов, что позволяет образовывать мезопоры, доступные и смачиваемые экологически безопасными ионными жидкостями, способными работать при напряжении >4 В.
1.1. Влияние пористой структуры
Характеристики пористой структуры существенно влияют на электрохимические характеристики графеновых электродов и соответствующих суперконденсаторов. К характеристикам пористой структуры относится площадь удельной поверхности, соотношение объемов микро- (иерархический тип пористой нано) пор, мезопор и макропор, суммарная пористость и структуры электродов. Иерархический тип пористой структуры означает, что наиболее мелкие частицы слипаются между собой в агломераты, которые, в свою очередь, агломерируются в более крупные агломераты и т. д.
В работе [52] установили, что хлорид цинка является идеальным порообразователем и в сочетании с капиллярной сушкой может задать удельную поверхность графена от 370 до более чем 1000 м2/г. Обладая хорошим балансом пористости и плотности, гранулированный электрод из графена толщиной до 400 мкм обеспечивает емкость 150 Ф/см3 в ионно-жидкостном электролите, соответствующую объемной плотности энергии ~65 Вт ч/л. В этом исследовании представлен принцип проектирования электродных материалов для накопителей энергии следующего поколения.
Суперконденсаторы на основе графена привлекают все большее внимание из-за возможной высокой УП, высокой подвижности электронов и многих других превосходных свойств графена. Тем не менее в некоторых экспериментах современные графеновые электроды рассматриваются в [53] с целью решения проблем комбинации графена с другими видами (например, с ЭПП, оксидами металлов, атомными кластерами, с электродами с наноструктурой и т. д.) для преодоления таких препятствий, как малая площадь поверхности, низкая электропроводность и низкая емкость, что значительно ограничивает их электрохимические характеристики для суперконденсаторов. В этом обзоре обсуждаются различные принципы гибридизации (гибридизация проводников), рекомендаций по подходам к гибридизации для решения этих проблем. Приводятся высокие величины УП до 960, 1330 и 1530 м2/г и очень высокие величины удельной емкости 530, 780 и 990 Ф/г.
Волоконные суперконденсаторы (FSC) могут использоваться для питания гибких устройств, таких как носимая электроника и умный текстиль. В работе [54] описывается высокопористый активированный графен (АГ), который встраивается в графеновые волокна для улучшения электрохимических характеристик FSC на основе емкости двойного электрического слоя. Мокрое прядение AГ в смеси с оксидом графена и последующее химическое восстановление GO до восстановленного оксида графена позволяют изготавливать непрерывные и проводящие графеновые волокна. Порошки АГ с очень большой УП значительно улучшают электрохимические характеристики FSC. В частности, волокно rGO/AГ с массовым соотношением rGO/AГ 80/20 достигает удельной поверхностной емкости 145.1 мФ/см2 при плотности тока 0.8 мА/см2 с гелевым электролитом PVA/LiCl. Это соответствует поверхностной энергии и плотности мощности 5.04 мкВт ч/см2 и 0.50 мВт/см2 для FSC соответственно. Кроме того, гибкие FSC, использующие волокна rGO/AГ, демонстрируют высокую циклическую способность с сохранением 91.5% емкости после 10 000 циклов. Эта работа показывает значительный потенциал в производстве волокон на основе AГ для разработки высокоэффективных гибких FSC.
В [55–57] было описано, как имеющиеся в изобилии биоотходы эффективно преобразуются в пористые графеновые листы при низкой температуре 900°C путем использования гидроксида калия (KOH) в качестве активационного агента для создания пористости, а также катализатора для индуцирования графитизации с помощью простого синтетического подхода. Полученный углеродный материал обладает хорошими текстурными свойствами, такими как высокая УП (2308 м2/г), большой объем пор (1.3 см/г), графеновая листовая морфология с межслойным d-расстоянием 0.345 нм и высокоупорядоченный sp-углерод, что подтверждается детальным текстурным анализом. Благодаря многочисленным синергетическим свойствам материал был протестирован в качестве эффективного электродного материала для применения в суперконденсаторах и обеспечивал высокую удельную емкость 240 Ф/г при 1 А/г. Кроме того, собранный симметричный суперконденсатор продемонстрировал быструю способность удерживать 87% емкости при высоком токе (50 А/г), исключительную циклическую стабильность (удержание 93% емкости после 25 000 циклов) и высокую плотность энергии 21.37 Вт ч/ кг при высокой плотности мощности 13 420 Вт/кг.
Получение углеродного электрода с высокой гравиметрической и объемной емкостью при больших нагрузках имеет решающее значение для суперконденсаторов. При этом дефектные графеновые наносферы (ГНС) хорошо удовлетворяют вышеуказанным требованиям [56–62]. Морфология и структура ГНС контролируются временем микроволнового нагрева и содержанием железа. Типовая ГНС с УП 2794 м2/г, объемом пор 1.48 см3/г и плотностью упаковки 0.74 г/см3 задают высокие гравиметрические и объемные емкости 529 Ф/г и 392 Ф/см3 при 1 А/г с удержанием 62.5% емкости при 100 А/г в трехэлектродной системе в 6 моль/л КОН. В двухэлектродной системе ГНС обладает плотностью энергии 18.6 Вт ч/кг (13.8 Вт ч/л) при высокой удельной мощности 504 Вт/кг.
Окислительно-восстановительные ковалентные органические каркасы (COFs) представляют собой новый класс материалов для хранения энергии из-за значительного количества их активных центров, четко очерченных каналов и высокой площади поверхности. Однако их низкая электропроводность и низкая электрохимическая доступность к активным центрам серьезно ограничивают их практическое применение. В статье [57] описано изготовление электрода на основе антрахинона COFs/композитного аэрогеля и графена (DAAQ–COFs/GA) путем электростатической самосборки между отрицательно заряженными нанослоями оксида графена и модифицированными положительно заряженными наноцветками DAAQ–COFs. Благодаря иерархической пористой структуре и быстропротекающим реакциям окислительно-восстановительных центров электрод обладает высокой удельной емкостью 378 Ф/г при 1 А/г и быстрой кинетикой с емкостным вкладом около 93.4% при 3 мВ/с. Кроме того, электрод DAAQ–COFs/GA, не содержащий связующего вещества, и электрод из чистого графенового аэрогеля (GA) были собраны в асимметричный суперконденсатор (ASC) с плотностью энергии до 30.5 Вт ч/кг при удельной мощности 700 Вт/кг. Данная работа демонстрирует большой потенциал разработки высокопроизводительных накопителей энергии на основе COF.
В работе [58] представлен простой метод получения графена с иерархической пористой структурой путем активации оксида графена с помощью двухступенчатого процесса термического отжига. Сначала GO обрабатывали при 600°C быстрым термическим отжигом на воздухе с последующим термическим отжигом в N2. Приготовленный графеновый порошок содержал большое количество щелевых нанопор с большой УП 653.2 м2/г и с площадью микропористой поверхности 367.2 м2/г. Пористую структуру можно было легко настроить, контролируя степень окисления GO и второй процесс отжига. При использовании графенового порошка в качестве электрода суперконденсатора была достигнута удельная емкость 372.1 Ф/г при 0.5 А/г в электролите 1 М H2SO4. Производительность суперконденсатора была очень стабильной, демонстрируя сохранение удельной емкости на 103.8% после 10 000 циклов при 10 А/г. Систематически исследовано влияние пористой структуры на производительность суперконденсатора путем варьирования соотношений между микро-, мезо- и макропорами.
Активированный восстановленный оксид графена (a-rGO) представляет собой материал с жесткой 3D-пористой структурой, высокой УП и иерархическим типом пористой структуры. Используя варьирование параметров активации и механическую обработку после синтеза, в [59] получили два набора материалов с широким диапазоном УП по БЭТ ~1000–3000 м2/г, а также существенные различия в распределении пор по размерам и содержании поверхностного кислорода. Эффективность активированного графена в качестве электрода в суперконденсаторе с электролитом КОН коррелировала со структурными параметрами материалов и водосорбционными свойствами. Было установлено, что a-rGO является гидрофобным материалом, о чем свидетельствует пренебрежимо малая величина УП БЭТ по H2О, определяемая с помощью анализа изотерм сорбции водяного пара. Однако общий объем пор, определенный с помощью сорбции водяного пара и сорбции жидкой воды, практически не отличался от объема, полученного при анализе изотерм сорбции азота. Наилучшие гравиметрические и объемные емкости в электролите КОН были достигнуты не для образцов с наибольшим значением УП БЭТ (N2) для материалов с 80–90% от общего объема пор в микропорах и повышенно УП по БЭТ (H2О). Сравнение характеристик электродов, изготовленных с использованием rGO и a-rGO, показывает, что более гидрофильная поверхность благоприятна для хранения заряда в суперконденсаторах с электролитом КОН.
На рис. 2 приведены интегральная и дифференциальная кривые распределения пор по размерам (ширине). Как видим, дифференциальная кривая имеет два явных максимума и один слабо выраженный максимум. УП по БЭТ равна очень большой величине 3030 м2/г.
Рис. 2. Интегральная и дифференциальная кривые распределения пор по размерам (ширине) [59].
В [60] сообщается о разработке бесшовного мезопористого углеродного листа, состоящего из сплошных графеновых стенок, который проявляет необычайно высокую стабильность в условиях высокого напряжения. Данный материал имеет высокую УП 1500 м2/г и содержит очень мало краевых участков углерода (всего 4% от количества, присутствующего в обычных активированных углях), и его можно использовать для сборки симметричных суперконденсаторов с высокой стабильностью для электролита 1 MEt3MeNBF4/карбонат пропилена. Работа при высоком напряжении 4.4 В приводит к увеличению плотности энергии в 2.7 раза по сравнению с использованием обычного активированного угля.
Производство черного щелока, лигнина, углеродных нанослоев и многослойного графена, полученного при каталитической никелевой графитизации, было осуществлено с целью получения электродных материалов суперконденсаторов (Ni@WE) экологически чистым способом [61]. NaCO-активация, допирование никелем и каталитическая графитизация выполнялись синхронно; при этом естественная иерархическая пористая структура древесины частично сохранялась. Циклическая вольтамперометрия (CV), гальваностатическая спектроскопия заряда-разряда и электрохимическая импедансная спектроскопия Ni@WE подтвердили, что образец, спеченный при 1000°C, имеет удельную емкость 163.7 Ф/г при частоте сканирования 0.2 В/с. Кроме того, более высокая плотность энергии 26.2 Вт ч/кг при плотности мощности 124.6 Вт/кг была получена в ЭХСК, а 89.37% емкости сохраняется даже после 2000 циклов.
В [3] описаны электрохимические свойства и характеристики аккумулирования энергии высокой плотности твердотельного суперконденсатора на основе графеновых нанослоев. Графеновый электрод изготовлен в электролите, содержащем 1-бутил-3-метилимидазолия тетрафторборат (BMIMBF4) (ионная жидкость) LiClO4. Допирующая добавка была заключена в полимерную матрицу в виде геля. Мезопористый графеновый электрод был сформирован путем диспергирования в аморфном поливинилиденфториде, в результате чего был получен графен с минимальным количеством слоев (<5 слоев). Используя обилие ионов в ионно-жидкостном гелевом электролите и их эффективный доступ к графеновым слоям через мезопоры, на основе данных циклической вольтамперометрии была получена высокая удельная емкость 214 Ф/г. Импедансные исследования показывают низкое сопротивление переносу заряда и импеданс Варбурга, что указывает на высокую диффузионную способность к переносу ионов. Данные заряда-разряда показывают, что графеновый суперконденсатор, вследствие наличия широкого (~2 В) окна потенциалов в ионно-жидкостном электролитном геле, значительно повысил плотность энергии до 33.3 Вт ч/кг при плотности мощности 3 кВт/кг при высокой ~3 A/г плотности разрядного тока. Сообщается об интеграции графеновых суперконденсаторов с солнечными элементами и хранении электроэнергии, генерируемой светом.
Трехмерный (3D) пористый графен с плоскими нанопорами и иерархической пористой структурой привлек большой интерес в [48] вследствие его применения в суперконденсаторах из-за большой УП, очень высокой проводимости и уникальной пористой структуры. Сочетая в себе преимущества как пористых материалов, так и графена, 3D-пористый графен рассматривается как воплощение идеи для создания иерархического гибрида с комплексными электрохимическими характеристиками с целью получения высокой удельной энергии. В данном обзоре были обобщены достижения последних лет в области изготовления 3D-пористых структур на основе графена с микро-, мезо- и макропорами, а также исследованы взаимосвязи между структурой и электрохимическими свойствами, а также обсуждено их применение в суперконденсаторах. На рис. 3 приведено СЭМ-изображение 3D-графена с макропорами, образованными путем удаления порообразователя Na2CO3.
Рис. 3. СЭМ-изображение 3D-графена с макропорами, образованными путем удаления порообразователя Na2CO3 [48].
В работе [48] пористые частицы с иерархической пористой структурой активированного угля, покрытые графеном, получали методом распылительной сушки водной суспензии GO/мальтодекстрина с последующей карбонизацией и активацией. Изготовленные частицы типа “ядро-оболочка” имели высокую удельную поверхность (до 2457 м2/г) и показали очень высокую удельную емкость (до 405 Ф/г при 0.2 А/г, 299 Ф/г при 1 А/г и 199 Ф/г при 50 А/г) наряду с превосходной стабильностью циклирования, высокой плотностью энергии и высокой плотностью мощности в электролите KOH. Кроме того, самопроизвольное формирование структуры “ядро-оболочка” в процессе распылительной сушки было подтверждено расчетами по методу DFT с использованием химического анализа XPS и метода TEM. Эта проектируемая и контролируемая стратегия распылительной сушки может быть внедрена для разработки новых композитных материалов со структурой “ядро-оболочка” для потенциальных применений в хранении энергии, катализе и адсорбции.
На рис. 4 изображены дифференциальные кривые распределения пор по размерам (по ширине) для различных материалов с иерархической пористой структурой, описанных в [48].
Рис. 4. Дифференциальные кривые распределения пор по размерам (по ширине) для различных материалов с иерархической пористой структурой, описанных в [48].
1.2. Влияние допирования и облучения
Одним из эффективных способов повышения электрохимических характеристик графенов является их допирование различными химическими веществами. Согласно [50], графен, допированный азотом, получают микроволновым методом с ЭДА (этилендиамином) в качестве источника азота. Результаты экспериментов показывают, что атомы азота из привитых молекул ЭДА на поверхности графена эффективно допируются в графеновые решетки. Образец NGS (допированные азотом графеновые нанолисты) демонстрирует высокие удельные емкости 197 и 151 Ф/г при плотности тока 0.5 и 5 A/г в водном растворе 6.0 моль KOH соответственно. Кроме того, суперконденсатор демонстрирует высокую способность работы при больших токах: сохранение 77 и 70% при плотностях тока 5 и 40 А/г соответственно. Кроме того, при этом достигается снижение емкости ниже 2% после 5000 циклов заряда и разряда, что свидетельствует о длительной электрохимической стабильности.
В работе [51] N-допированные графены на основе оксида графена и 3,3′,4,4′-тетрааминодифенилоксида (TADPO) были получены с помощью одностадийного гидротермального метода. Полученные данные свидетельствуют о том, что в ходе реакции образовывались бензимидазольные кольца, а весовое содержание азота в полученном материале варьировалось от 12.3 до 14.7% в зависимости от исходной концентрации TADPO. Благодаря окислительно-восстановительной активности бензимидазольных колец новые N-допированные графеновые материалы продемонстрировали высокую удельную емкость, достигавшую 340 Ф/г при 0.1 А/г, что было значительно выше, чем у образца восстановленного оксида графена, полученного в аналогичных условиях без применения TADPO (169 Ф/г при 0.1 А/г). Полученный суперконденсатор также продемонстрировал хорошую циклическую стабильность после 5000 циклов.
В работе [52] двухступенчатый золь-гель-метод применялся для получения образцов графена, допированных азотом, с большой площадью поверхности, различающихся по величинам УП и по содержанию азота. В некоторых электролитах наблюдалось более высокое влияние удельной поверхности и пористости на емкостные характеристики графена, чем содержание азота. Все образцы обладали более высокими емкостными характеристиками, чем оксид графена и образец без азота, но с более высоким содержанием кислотного электролита, чем щелочной, что дает объемную удельную емкость ~118 Ф/см3 с кулоновской эффективностью >99% и удержанием емкости >80% после 10 000 последовательных циклов. Исходя из веса активного материала, максимальная гравиметрическая плотность энергии достигала 39 Вт ч/кг в кислом электролите при 0.1 А/г, что почти в 2.6 раза больше, чем у оксида графена без азота, используемого в этом исследовании.
В [63] для синтеза графена, допированного азотом, был разработан однокамерный, не использующий растворителей и катализаторов мгновенный джоулев нагрев и получен графен, флэш-допированный азотом (FNG). Прекурсоры аморфного технического углерода и мочевины быстро превращаются в высококачественный графен менее чем за 1 с под действием короткого электрического импульса с яркой вспышкой излучения абсолютно черного тела. Готовый продукт FNG отличается высокой графитизацией и иерархической пористой структурой. Он обеспечивает высокую нормированную по площади поверхности емкость 152.8 мкФ/см2 при 1 А/г, высокую скорость зарядно-разрядных процессов с большим сохранением емкости 86.1% даже при очень большом токе 128 А/г, а время релаксации составляет 30.2 мс. Кроме того, собранный симметричный квазитвердотельный суперконденсатор обладает высокой плотностью энергии 16.9 Вт ч/кг и максимальной удельной мощностью 16.0 кВт/кг, а также большой циклической стабильностью (91.2% от начальной емкости сохраняется после 10 000 циклов). Эти высокие характеристики показывают, что FNG является многообещающим кандидатом для использования высокопроизводительных суперконденсаторов.
3D-губчатый графен, допированный азотом (АГ), был экономично приготовлен в работе [53] с помощью нового одностадийного метода из отходов полиэтилентерефталата (ПЭТ), смешанных с мочевиной при различных температурах. Исследовано влияние температуры и количества мочевины на образование АГ. Измерения с помощью циклической вольтамперометрии и импедансной спектроскопии показали, что фиксация азота, влияющая на структуру и морфологию приготовленных материалов, улучшает распространение заряда и диффузию ионов. Полученные материалы демонстрируют высокие характеристики электродов суперконденсаторов с удельной емкостью до 405 Ф/г при 1 А/г. Для оптимального образца регистрировали высокие величины плотности энергии 68.1 Вт ч/кг и удельной мощности 558.5 Вт/кг в 6 М КОН. Образцы АГ показали высокую циклическую стабильность с удержанием 87.7% емкости после 5000 циклов при 4 А/г. Таким образом, приготовленный АГ считается перспективным, дешевым материалом, используемым в системах хранения энергии, а используемый метод является экономически эффективным и экологически чистым методом массового производства АГ, а также открывает возможности переработки отходов для широкого спектра применений. На рис. 5 представлены ЦВА-кривые, из которых следует, что они имеют форму, близкую к прямоугольной, что соответствует заряжению ДЭС. При малых же токах видно влияние также фарадеевских реакций, что выражается в характерном отклонении формы этих кривых от прямоугольной.
РИС. 5. ЦВА-кривые для супереконденсатора на основе электродов, разработанных в [53].
В работе [64] описывается высокоориентированный, эффективно допированный азотом графеновый пленочный электрод (NGF), включая его конструкцию. NGF обладает уникальной структурой, обеспечивающей высокую плотность упаковки (до 1.64 г/см3) и эффективный перенос ионов одновременно. Симметричные суперконденсаторы на основе NGF (NGF-SC) показали удельную емкость 370 Ф/см3 или 226 Ф/г при навеске 11.2 мг/см2 в водном электролите. В этом случае сохранение емкости составило 90.1% после 100 000 циклов. В ионной жидкости NGF-SC показал высокую емкость 352 Ф/см3 или 215 Ф/г при 11.2 мг/см2 и при окне потенциалов 0–3.5 В, обеспечивая сверхвысокую плотность энергии 138 Вт ч/л. При 3H-конструкции и высокой массовой нагрузке плотность энергии всего ЭХСК NGF-SC достигает 65 Вт ч/л, что намного выше, чем у коммерческих суперконденсаторов. Примечательно, что такой NGF-SC продемонстрировал длительный срок службы до 50 000 циклов с сохранением 84.8%, что является рекордом.
Пористые волокна графена, допированные азотом и серой (NS-GFs), синтезировались путем гидротермальной самосборки с последующим термическим отжигом, демонстрируя высокие емкостные характеристики 401 Ф/см3 при 400 мА/см3 из-за синергетического эффекта двойного допирования гетероатомами [65]. Изготовленый симметричный полностью твердотельный суперконденсатор с поливиниловым спиртом/H2SO4 гелевым электролитом и оксидом графена обладал высокой емкостью 221 Ф/см3 и высокой плотностью энергии 7.7 мВт ч/см3 при 80 мА/см3. Интересно, что преобразование солнечно-тепловой энергии с 0.1 мас. % оксида графена расширяет диапазон рабочих температур суперконденсатора до 0°C. Кроме того, эффект фотокатализа гетероатомов с двойным допированием увеличивает емкость NS-GFs. При температуре окружающей среды 0°C емкость увеличивается до 182 Ф/см3 при солнечном излучении из-за отличного поглощения солнечного света и эффективного преобразования солнечно-тепловой энергии оксидом графена, предотвращая замерзание водного электролита.
В [20] представлен композит углерода/графена (PCG), полученный из пыльцы, с допированием азотом и серой с взаимосвязанной структурой “сфера в слое”, в которой углеродные микросферы с иерархической структурой могут служить “пористыми прокладками”, предотвращающими агломерацию нанослоев графена. Оптимизированный композит PCG, изготовленный с 0.5 мас. % оксида графена (PCG-0/5), продемонстрировал высокую удельную емкость (420 Ф/г при 1 А/г), скоростные характеристики (280 Ф/г при 20 А/г) и отличную циклическую стабильность с сохранением 94% емкости после 10000 циклов. Симметричный ЭХСК обеспечивает высокую плотность энергии 31.3 Вт ч/кг в нейтральной среде.
В работе [66] были исследованы суперконденсаторные характеристики с допированными фосфором графеновыми электродами, которые были синтезированы в одну стадию по методу Юджеля. Образование графеновых слоев в структуре мезопор наблюдали методом сканирующей электронной микроскопии. Методом рентгеновской фотоэлектронной спектроскопии идентифицированы обычный фосфор и фосфор, включенный в функциональные группы –[(–PO)] и –(PO), образующиеся на внутренней поверхности электрода. Для электрохимической характеризации электродов использовали циклическую вольтамперометрию и электрохимическую импедансную спектроскопию. Также были проведены циклические испытания заряда-разряда в течение 1000 циклов для определения циклической стабильности электродных материалов. По мере увеличения числа циклов в процессе синтеза электродов количество различных молекулярных функциональных групп на поверхности увеличивалось. Наибольшая емкость равна 301.3 мФ/см2 при плотности тока 10 мA/cм2 в растворе серной кислоты.
В работе [67] приводится простой подход к получению фосфатно-функционализированных углеродистых композитов на основе графена. Гомогенное осаждение тонкого слоя фенольной смолы на поверхность слоев оксида графена достигалось с использованием ортофосфорной кислоты в качестве катализатора полимеризации и функционализационного агента. В результате последующего пиролиза композита были получены однородные пластинчатые микроструктурированные пористые углерод-графеновые композиты, сочетающие в себе ускоренную молекулярную диффузию и ускоренный перенос электронов. Для выяснения влияния GO и пористости на работу суперконденсатора также были получены и испытаны свободный от графена образец и KOH-активированный композит с использованием водных и органических электролитов. Установлено, что наличие активации GO и КОН приводит к увеличению удельной поверхности в сочетании с прогрессирующим расширением пор. В результате КОН-активированный композит достиг удельных емкостей 211 и 105 Ф/г при использовании 1 M H2SO4 и 1.5 M Et4NBF4 электролитов соответственно. Установлено также, что фосфорная функционализация электродов дает возможность достичь рабочее напряжение 1.3 В в водном электролите, что приводит к значительному увеличению плотности энергии ячейки. Наконец, как неактивированные, так и активированные композиты на основе графена обеспечивают очень хорошее сохранение емкости, плотности энергии и мощности, а также стабильности циклирования.
В [68] описано использование графеновых аэрогелей, допированных бором (B-GA), которые были изготовлены простым гидротермальным методом. Эти B-GA характеризуются высокой УП и большой мезопористостью. Суперконденсаторы с B-GA обладают высокой удельной емкостью 308.3 Ф/г при 1 А/г. Более того, B-GA обеспечивают высокую стабильность при циклировании, а именно 92% сохранения емкости после 5000 циклов при 1 А/г, что выше, чем у недопированных графеновых аэрогелей (86%). Улучшение характеристик происходит за счет сочетания мезопористой структуры, высокой УП и обилия дефектов B-GA. Данное исследование демонстрирует значительный потенциал электродов B-GA для высокопроизводительных суперконденсаторов. На рис. 6 приведено схематическое изображение молекулярного строения графенового аэрогеля, допированного бором (B-GA).
Рис. 6. Схематическое изображение молекулярного строения графенового аэрогеля, допированного бором (B-GA) [68].
В [69] методом химического осаждения из газовой фазы с помощью электронных нитей (EA-HFCVD) был синтезирован допированный бором алмаз (BG/BDD). Атомы бора эффективно допируют графен и алмаз, а листы борированного графена (BG) выращиваются вертикально на борированном алмазе (BDD). Содержание бора в BG влияет на характеристики BG/BDD-электрода, и электрод имеет высокую удельную емкость. Электрохимическое поведение электрода BG/BDD анализировалось как при положительных, так и отрицательных окнах потенциалов в трехэлектродных электрохимических ячейках с использованием насыщенного водного NaCl в качестве электролита. Затем изготавливался симметричный суперконденсатор (SSC) для оценки практического применения электрода BG/BDD. Устройство на базе BG/BDD работает при высоком напряжении 3.2 В. SSC обеспечивает высокую плотность энергии 79.5 Вт ч/кг при удельной мощности 221 Вт/кг и высокую удельную мощность 18.1 кВт/кг при плотности энергии 30.7 Вт ч/кг; он также сохраняет 99.6% своей удельной емкости в диапазоне 0–2.5 В. Следовательно, данный ЭХСК имеет существенное преимущество в стабильности при высоких рабочих напряжениях.
Таким образом, было показано, что суперконденсаторы, в которых используется допирование графенов бором, обладают высокими электрохимическими характеристиками.
В исследовании [70] был реализован одностадийный метод изготовления различных электродов из оксида графена, допированых гетероатомами –S, –N, –Cl, в качестве электродных материалов для суперконденсаторов большой емкости. Методом рентгеновской фотоэлектронной спектроскопии установлено образование групп –ClO2, –ClO3, –SOx (x:2, 3) и –NO2 в электродах на основе оксида графена. Исследованы детальные механизмы образования этих групп. Электроды из оксида графена, легированные серой, азотом и хлором, использовались в качестве электродных материалов для суперконденсаторов. Емкости электродов из оксида графена, допированых –S, –N и –Cl, были определены как 206.4, 533.2 и 1098 мФ/см2 соответственно, при плотности тока 10 мА/см2.
В [71] была исследована стабильность и электрохимические свойства графена, допированного атомами B, N, P и S. Атомы B, N, P и S прочно связываются с графеном, и все исследованные системы проявляют металлическое поведение. В то время как графен с большой УП может увеличивать емкость ДЭС, его низкая квантовая емкость ограничивает его применение в суперконденсаторах. Это прямой результат ограниченной плотности состояний вблизи точки Дирака в исходном графене. Установлено, что допирование N и S с одной вакансией имеет относительно стабильную структуру и высокую квантовую емкость. Предполагается, что такие электроды могут быть использованы в качестве идеальных электродов для симметричных суперконденсаторов. Преимущества некоторых содопированныхграфеновых систем были продемонстрированы путем вычисления квантовой емкости. Было обнаружено, что графен, допированный N/S и N/P с одной вакансией, подходит для асимметричных суперконденсаторов. Повышенная квантовая емкость способствует формированию локализованных состояний вблизи точки Дирака и/или сдвигов уровня Ферми за счет введения допирующего и вакантного комплекса. На рис. 7 приведена диаграмма Рагона для симметричного ЭХСК на основе BG/BDD и других исследованных ЭХСК на основе графена. Как видим, в работе [71] получены высокие характеристики.
Рис. 7. Диаграмма Рагона для симметричного ЭХСК на основе BG/BDD и других исследованных ЭХСК на основе графена [71].
1.3. Способы получения восстановленного оксида графена
Получение высококачественных графеноподобных структур и материалов экологически чистым способом до сих пор трудно достижимо. Недавние исследования показали, что лазерное облучение соответствующих прекурсоров представляет большой потенциал и универсальность для реализации высококачественного выращивания графеноподобных материалов при низких затратах. В работе [72] представлено подробное исследование лазерной трансформации гомогенизированного сушеного коринфского изюма (Vitisvinifera L., var. Apyrena) в графеноподобный материал. Это одноэтапный процесс, так как преобразование сырья из биомассы происходит в условиях окружающей среды. Дифракция, комбинационное рассеяние света и электронная микроскопия показали, что структура продукта, облученного лазером, значительно отличается от структуры графитового углерода. Анализ XPS показывает очень высокое соотношение C/O, равное 19, после разложения сырой биомассы. Сочетание турбостратической структуры и практически полного удаления форм кислорода приводит к сверхнизкому сопротивлению, что подтверждает успешную модификацию сырья до графеноподобной структуры с высокой степенью sp-гибридизации. Дополнительным достоинством данного подхода является то, что этот процесс может индуцировать как рост графеноподобных структур на облучаемой мишени, так и дает высококачественные графеноподобные порошки. Последние были использованы для подготовки электродов для симметричных суперконденсаторов, демонстрирующих более высокую производительность по сравнению с суперконденсаторами на основе графена, приготовленного другими лазерными методами.
В работе [73] сообщается об одновременном отшелушивании и восстановлении оксида графена и графеновых нанослоев (GNPs) способом быстрого микроволнового облучения, чтобы преодолеть препятствия, связанные с низкой электрической проводимостью и склонностью к повторному агрегированию, а также реализовать весь свой потенциал в качестве материалов для электродов суперконденсаторов. Морфологические исследования выявили пористую структуру микроволнового оксида графена (MW-GO) и микроволновых графеновыхнанослоев (MW-GNPs), что показало отшелушивание материалов на основе графена. Суперконденсатор был изготовлен с использованием смеси MW-GO, MW-GNP и полипиррола и показал удельную емкость 137.2 Ф/г при циклировании, стабильность 89.8% после 1000 циклов заряда/разряда.
В работе [74] графен получали путем облучения эксимерным лазером оксида графита, растворенного в водном электролите при различных энергиях лазера и времени облучения. Морфологию и структуру лазерно-восстановленного графена охарактеризовали с помощью сканирующей электронной микроскопии, малоугловой рентгеновской дифракции и рентгеновской фотоэлектронной спектроскопии. Результаты рентгеновской дифракции подтверждают, что деоксигенация слоев оксида графита происходила практически полностью для всех использованных условий лазерного облучения. Графен, полученный данным методом, представляет собой хаотично агрегированный, скомканный, неупорядоченный и мелкий листовой твердый материал. В качестве электродного активного материала для суперконденсаторов использовали восстановленный лазером графен, а его удельную емкость оценивали в двухэлектродной ячейке с водным раствором 0.5 М Na2SO4 или в 1 М электролите на основе тетраэтиламмония тетрафторбората ацетонитрила. Установлено, что удельная емкость графена, изготовленного с использованием лазера, зависит от энергии и времени облучения лазером. Наибольшая удельная емкость была определена равной 141 Ф/г при 1.04 А/г и 84 Ф/г при 1.46 А/г в водных электролитах и электролитах с ACN (ацетонитрил) соответственно. Сравнение характеристик суперконденсаторов на основе графена затруднено из-за разнообразия методов получения материалов.
В работе [75] сравниваются графены, полученые несколькими способами. К ним относятся анодный и катодный электрохимически вспученный графен, жидкофазный вспученный графен, оксид графена, восстановленный оксид графена и графеновые наноленты. Восстановленный оксид графена показал самую высокую емкость около 154 Ф/г в 6 М КОН при 0.5 А/г, что было объяснено влиянием функциональных кислородсодержащих групп, дающих дополнительную псевдоемкость. Однако сохранение емкости было плохим из-за низкой проводимости. Для сравнения, анодный электрохимически вспученный графен показал емкость около 44 Ф/г и продемонстрировал превосходное удержание емкости благодаря своей более высокой проводимости. Эти результаты подчеркивают важность соответствия метода производства графена конкретному применению. Например, оксид графена и анодный электрохимически вспученный графен лучше всего подходят для применения в ЭХСК с высокой энергией и мощностью соответственно.
Часто синтез графенов включает в себя использование токсичных химических веществ, которые угрожают окружающей среде. В связи с недавним смещением внимания к синтезу наноматериалов из сельскохозяйственных отходов из-за их легкой доступности, экономичности и, самое главное, экологичности, в работе [76] впервые был представлен новый и “зеленый” синтез малослойных графеновых слоев с использованием кожуры граната в качестве прекурсора при низкой температуре 80°C. Морфология поверхности и микроструктурные свойства определялись с помощью просвечивающей электронной микроскопии, энергодисперсионной рентгеновской спектроскопии, рентгеновской дифракции, инфракрасной спектроскопии с преобразованием Фурье (FTIR), УФ-видимой спектроскопии (UV-vis), а электрические свойства определялись измерениями эффекта Холла. Суперконденсатор также исследовался с помощью циклической вольтамперометрии (CV), гальваностатического зарядно-разрядного циклирования и электрохимической импедансной спектроскопии. Полученный суперконденсатор обеспечивал емкость 3.39 мФ/см2 при плотности тока 15.6 мкА/см2, что делает такой графен хорошим материалом для электрохимических запоминающих устройств.
В [77] сообщается о простом и экономичном способе изготовления водорастворимых графеновых слоев с использованием угля. Синтезированные слои графена, полученного из угля (CDG), были охарактеризованы методами рентгеновской дифракции, просвечивающей электронной микроскопии высокого разрешения (HRTEM), полевой эмиссионной сканирующей электронной микроскопии (FESEM), рамановской инфракрасной (FTIR) с преобразованием Фурье (FTIR), ультрафиолетовой видимой (UV–vis) спектроскопии и фотолюминесценции (PL). Наличие краевых кислородных функций в листах CDG приводит к индуцированию флуоресцентных свойств. Для определения электрохимических свойств CDG были проведены измерения циклической вольтамперометрии (CV), заряда-разряда и электрохимической импедансной спектроскопии в различных электролитах. Значение удельной емкости CDG в 1 М Na2SO4 оказалось равным 277 Ф/г при скорости развертки 5 мВ/с. CDG демонстрируют стабильность длительных циклов, т. е. значение удельной емкости остается на уровне ~91% после 2000 циклов при плотности тока 10 мА/г.
Учитывая небиоразлагаемую природу пластика, его переработка и вторичная переработка имеют решающее значение для обеспечения эффективного управления отходами и сохранения ресурсов. В работе [78] сообщается о малозатратном и экологически чистом способе переработки пластиковых отходов для производства большого количества графеновых нанослоев (GN) с помощью двухступенчатого процесса пиролиза. Чтобы проанализировать полезность GN, синтезированных этим способом, было изучено их емкостное поведение с различными токоотводами, такими как медная лента (CuT), стекло из оксида индия-олова (ITO), графитовый лист (GS) и алюминиевый лист (AlS) в PVA (поливиниловый спирт)-H3PO4 в гелевом электролите. Полученные результаты подтверждают, что токоотвод AlS обеспечил самую высокую удельную емкость 38.78 Ф/г. Таким образом, настоящее исследование показывает экономически эффективный вариант достижения экономики замкнутого цикла за счет переработки пластиковых отходов с использованием систем хранения энергии.
В [79] сообщается о процессе переработки пластиковых отходов в графеновые нанослои (GN) и их последующее применение в сенсибилизированных красителем солнечных элементах (DSSC) и суперконденсаторах. Бентонитовая наноглина была использована в качестве агента для разложения пластиковых отходов с использованием двухстадийных методов пиролиза при 450 и 945°C в инертной атмосфере N2 для получения GN. Наличие GN с небольшим количеством слоев было подтверждено рамановской спектроскопией, XRD и HRTEM. Кроме того, для идентификации и количественного анализа функциональных групп в GN также были проведены ИК-фурье и EDX-анализы. Использование GN в качестве материала активного слоя электродов суперконденсаторов обеспечило высокую удельную емкость 398 Ф/г при скорости развертки 0.005 В/с. Суперконденсатор также показал значительную плотность энергии и плотности мощности 38 Вт ч/кг и 1009.74 Вт/кг соответственно. Таким образом, этот метод показал пользу переработки пластиковых отходов для сохранения экологии и высоких электрохимических характеристик.
Многие виды сельскохозяйственных отходов можно рассматривать в качестве обильного и недорогого источника углерода для крупномасштабного производства материалов графенового типа. В [80] было показано, что широко доступные кокосовые отходы могут быть эффективно преобразованы в восстановленный оксид графена путем простого каталитического процесса с использованием ферроцена в качестве эффективного и недорогого катализатора. Структура и морфология изготовленных материалов были охарактеризованы методами XRD, SEM и TEM. Полученные результаты подтвердили образование высококачественного восстановленного оксида графена. Было обнаружено, что этот материал показал высокие характеристики в ЭХСК и отличную циклическую стабильность. Таким образом, восстановленный оксид графена, полученный простым экологически чистым способом из этого типа сельскохозяйственных отходов, может быть хорошим кандидатом на роль электродов суперконденсатора.
Древесина, как разновидность материалов биомассы, имеет потенциальную прикладную ценность во многих аспектах. В работе [81] спроектировали и изготовили композитный материал из карбонизированного оксида графена oxide@PVA (CWCC–rGO@ПВС) с высокой удельной емкостью, высокой гибкостью, деформируемостью и способностью вырабатывать электроэнергию из окружающей среды, используя в качестве основы карбонизированные древесные ячейки (CWCC). GO, как промежуточный продукт, связывается с CWCC в виде связей C–C, а полученный промежуточный продукт CWCC–rGO соединяется с ПВС (поливиниловый спирт) с образованием водородных связей. Получившийся в результате окончательный гибрид CWCC–rGO@ПВС демонстрирует высокие электрохимические характеристики, включая высокую удельную емкость 288 Ф/г, удержание емкости 91%, плотность энергии 36 Вт ч/кг и плотность мощности 3600 Вт/кг.
В работе [82] рассмотрены конструкция и способ сборки наноцеллюлозно-графеновых композиционных материалов, применяемых для гибких суперконденсаторов. Механическая гибкость, удельная емкость, электрохимические характеристики, циклическая стабильность, возобновляемость и биоразлагаемость принимаются во внимание, чтобы оценить характеристики композитных материалов и достоинства этого материала.
В статье [83] описывается новая методика получения хлопьев графена высокой плотности (HDGF) для высокопроизводительных суперконденсаторов. HDGF получают путем измельчения на мелкие кусочки термически восстановленной пленки оксида графена. Высокая плотность упаковки, а также быстрый перенос электронов и ионов были достигнуты одновременно за счет нарушения непрерывности графеновой пленки при сохранении ее плотной структуры. Изготовленный HDGF обладал высокой гравиметрической емкостью (237 Ф/г) и объемной емкостью 261 Ф/см3, а также превосходной стабильностью циклов с 98% от начальной емкости после 10 000 циклов. Кроме того, симметричный суперконденсатор, использующий HDGF в качестве электродных материалов, может получить объемную емкость до 16 Вт ч/л при плотности мощности 88 Вт/л в водной системе. Эта стратегия обеспечивает новый способ разработки суперконденсаторов большой объемной емкости для хранения энергии в будущем.
Миниатюризация накопителей энергии имеет решающее значение для разработки портативных электронных устройств следующего поколения. Микросуперконденсаторы (МСК) обладают большим потенциалом для работы в качестве встроенных микроисточников питания и накопителей энергии, дополняющих аккумуляторы и системы сбора энергии. Масштабируемое производство материалов для суперконденсаторов с использованием экономически эффективных и высокопроизводительных методов обработки имеет решающее значение для широкого применения МСК. В [84] сообщается, что мокроструйное фрезерование графита позволяет увеличить производство графена в качестве материала для суперконденсаторов. Рецептура получения графеновых чернил на водной/спиртовой основе позволяет выполнять трафаретную печать гибких МСК, не содержащих металлов. Эти МСК обладают поверхностной емкостью до 5.296 мФ/см2 для одного электрода, что соответствует очень высокой объемной емкости 1.961 Ф/см3. МСК с трафаретной печатью могут работать при плотности мощности более 20 мВт/см2. Устройства демонстрируют превосходную устойчивость к циклам заряда-разряда (10 000 циклов), циклам изгиба (100 циклов при радиусе изгиба 1 см) и складыванию (до углов 180°).
В последнее время технологии печати стали перспективными методами изготовления электрохимических накопителей энергии (ЭХНЭ), в то время как недавно разработанные принтеры позволили значительно улучшить напечатанные электроды за счет более низкой стоимости, более легкой подготовки, более высокой производительности и улучшенных электрохимических и механических свойств. В [85] представлен обзор технологий печати для производства ЭХНЭ и основное внимание уделено материалам на основе графена. Была рассмотрена струйная, аэрозольная, трафаретная, рулонная и 3D-печать, проведен обзор новейшей литературы, представлены иллюстративные примеры технического применения технологий печати для хранения энергии и электрохимические характеристики.
2. Композиты с графенами
2.1. Композиты с оксидами металлов
Композиты графенов с оксидами переходных металлов, как правило, отличаются высокими электрохимическими характеристиками, обусловленными как эффективными характеристиками графенов, так и псевдоемкостными свойствами оксидов переходных металлов [41, 86–137]. Оксиды металлов являются распространенными материалами для электродов суперконденсаторов, демонстрируя высокую плотность энергии и мощности, а также длительный срок службы. В композитах графен и оксиды металлов продемонстрировали сочетание высокой циклической стабильности графена и высокой емкости оксидов металлов, которые значительно улучшают комплексные свойства нанокомпозитов. В [41] освещены современные разработки графеновых композитов с оксидами металлов (MGr) (и при допировании азотом) в области электрохимических конденсаторов с учетом их синергетических свойств. Показано, что композиты MGr, по сравнению с индивидуальными материалами, достигли существенного повышения скоростной способности, емкости и стабильности циклирования. Изложен обзор характеристик, подходов к приготовлению и применению графена (Gr). Подробно описан механизм реализации различных видов электрохимической емкости. Наконец, обсуждались будущие перспективы и проблемы композитов MGr для хранения энергии.
В исследовании [86] металлическая токосъемная пленка была нанесена на гибкую подложку в виде микросетки путем селективного лазерного спекания наночастиц серебра.
Удельная емкость составила 5.8 мФ/см2 при 1.5 мА/см2 с электролитом ПВС-H3PO4. Затем было проведено электроосаждение наночастиц диоксида марганца (MnO2), что еще больше увеличило емкость до 49.1 мФ/см2 при 1 мА/см2 в 0.5 М Na2SO4. В результате уменьшение емкости оставалось ниже 10% в течение 10 000 циклов заряда/разряда.
В работе [87] был представлен новый подход к созданию электродов с иерархической структурой, позволяющей суперконденсаторам сохранять свою емкость при механической деформации. Электроды изготавливаются сначала путем выращивания вертикальных графеновых нанослоев (VGN), а затем осаждения диоксида марганца (MnO2) на проволоках из пластичного никеля. Из двух таких электродов изготавливают симметричный суперконденсатор, использующий твердотельный электролит, содержащий карбоксиметилцеллюлозу и сульфат натрия. Этот суперконденсатор достигает высокой емкости до 56 мФ/см2, высокой плотности энергии 7.7 МВт ч/см2 и и высокой плотности мощности 5 МВт ч/см2. Эти исключительные свойства обусловлены синергией между VGN и MnO2, где высокопористые VGN выполняют важную функцию механически прочной платформы с большой площадью поверхности, позволяющей наносить на нее псевдоемкостной материал MnO2. Суперконденсаторам, изготовленным из этих электродов, можно придавать различные формы путем сгибания и скручивания с небольшой потерей производительности. Многообещающие результаты, представленные в этом исследовании, открывают новый путь для изготовления высокопроизводительных накопителей энергии для носимой электроники и беспроводной связи.
В работе [88] созданы электроды из углеродного волокна (CF), модифицированного вертикально ориентированными графенами (VG), и диоксида марганца (MnO2), а также при допировании азотом. Результаты показывают, что гибридизация VG и MnO2 создает значительный синергетический эффект, приводящий к увеличению поверхностной емкости электрода. Этот синергетический эффект объясняется двойным влиянием на VG-увеличение эффективной площади поверхности и электропроводности, которые обеспечивают лучшее распределение MnO2, а также высокопроводящую сеть. Суперконденсатор на основе гибридного электрода CF/VG/ MnO2 и полимерного электролита имеет удельную емкость на площадь поверхности 30.7 мФ/см2, плотность энергии 12.2 мВт/кг, а плотность мощности 2210.3 мВт/кг. Кроме того, механические характеристики демонстрируют прочность на растяжение 86 МПа и прочность на изгиб 32 МПа для этой конструкции суперконденсатора.
Работа [89] посвящена получению композитных тонких пленок диоксида марганца (MnO2)/оксида графена (GO), допированных серебром (Ag) и азотом. Исследование методом БЭТ показало, что нанолисты MnO2–Ag3/GO обладают удельной поверхностью 192 м2/г. Специально заданная морфология в виде цветка и соединенные между собой нанослои электродов MnO2–Ag3/GO позволили достичь высоких электрохимических характеристик. Максимальная удельная емкость 877 Ф/г при скорости сканирования 5 мВ/с получена для электрода MnO2–Ag3/GO, испытанного в 1 М Na2SO4 с сохранением 94.57% емкости после 5000 циклов. Гибкий твердотельный симметричный суперконденсатор на основе композита – MnO2Ag3/GO выдавал удельную энергию 57 Вт ч/кг при удельной мощности 1.6 кВт/кг и сохранении 94% емкости после 10 000 циклов.
В работе [39] гидротермальным методом были синтезированы нанокристаллы CuMnO и композит CuMnO/графеновая квантовая точка (с допированием фосфором), и они были использованы при создании суперконденсатора нового типа. GQD были применены для увеличения удельной емкости и повышения эффективности суперконденсатора. Как известно, ква́нтовая то́чка – это фрагмент проводника или полупроводника, носители заряда которого ограничены в пространстве по всем трем измерениям. Размер квантовой точки настолько мал, чтобы квантовые эффекты были существенными. Для идентификации синтезированного нанокомпозита, изучения его морфологии, структуры и площади поверхности использовались различные методы. Для регистрации и отслеживания электрохимического поведения синтезированного нанокомпозита, используемого в качестве электродного материала, применялись циклическая вольтамперометрия (CV) и электрохимическая импедансная спектроскопия (EIS). Исследование изменения емкости электродов CuMnO/GQD и CuMnO2 в течение 5000 последовательных циклов заряда/разряда показало, что стабильность электрода из нанокомпозита выше и его емкость после этого количества циклов достигает 83.3%, в то время как емкость электрода, изготовленного из наночастиц CuMnO, достигает 65.4% от исходной. Удельная емкость нанокомпозита CuMnO/GQD и наночастиц CuMnO при плотности тока 1 А/г составила 520.2 и 381.5 Кл/г соответственно. Максимальная удельная энергия асимметричного суперконденсатора CuMnO/GQD/AC, полученная при удельной мощности 1108.1 Вт/кг, равна большой величине 47.9 Вт ч/кг. Емкость асимметричного суперконденсатора уменьшилась всего на 13.3% после 5000 циклов заряда и разряда, что является очень хорошим сроком службы по сравнению с аналогичными материалами. Все эти результаты указывают на то, что нанокомпозит CuMnO/GQD может рассматриваться как возможный вариант скоростного и стабильного суперконденсатора.
Миниатюрные суперконденсаторы на основе графена, полученные путем лазерной конверсии подходящих прекурсоров, в последнее время привлекают внимание для производства малогабаритных устройств для хранения энергии. В работе [90] с помощью технологии LightScribe ® был осуществлен однокамерный синтез наночастиц TiO, встроенных в пористые электроды на основе графена, путем преобразования материалов-прекурсоров методом поглощения инфракрасного лазерного излучения. Улучшенные электрохимические характеристики суперконденсаторов были достигнуты благодаря сочетанию фарадеевских реакций, происходящих с наночастицами оксида металла, с обычным заряжением ДЭС, имеющим место в пористом графене. Микросуперконденсаторы, состоящие из TiO-графеновых электродов, были протестированы с использованием двух гидрогелевых полимерных электролитов на основе поливинилового спирта/HPO и поливинилового спирта/HSO соответственно. В устройствах на основе TiO-графен получена удельная емкость до 9.9 мФ/см2, что соответствует объемной емкости 13 Ф/см3 и удваивает характеристики суперконденсаторов на основе графена. Микросуперконденсаторы достигли удельной поверхностной энергии и удельной поверхностной мощности 0.22 и 39 мкВт/см2, а также цикличности более 3000 циклов. Эти высокие результаты позволяют предположить, что наноструктуры TiO-графена, полученные лазером, являются замечательными кандидатами в микросуперконденсаторы для экологически чистых, крупномасштабных и недорогих применений. На рис. 8 показано изменение емкости на протяжении 3000 зарядно-разрядных циклов при токе 5 мA/cм2 для микросуперконденсаторов, разработанных в [90].
Рис. 8. Изменение емкости на протяжении 3000 зарядно-разрядных циклов при токе 5 мA/cм2 для микросуперконденсаторов, разработанных в [90].
В работе [91] продемонстрирован простой метод получения функционализированного губчатого нанокомпозита графена/гидрогенизированного из нанотрубок диоксида титана (FG–HTiO2), допированного бором (в виде взаимосвязанных, пористых 3-мерных (3D) сетевых слоев. Такая структура 3D-сети обеспечивает лучший контакт на границе электрод/электролит и ускоряет кинетику переноса заряда. Изготовленный композит FG–TiO2 охарактеризовался методами рентгеновской дифракции, ИК-фурье, сканирующей электронной микроскопии (FESEM), спектроскопии комбинационного рассеяния света, термогравиметрического анализа (ТГА), спектроскопии поглощения и просвечивающей электронной микроскопии. Синтезированные материалы оценены применительно к их использованию в суперконденсаторах в 0.5 M H2SO4 с использованием циклической вольтамперометрии (CV) при различных скоростях сканирования потенциалов и гальваностатических испытаний заряда/разряда при различных плотностях тока. FG–HTiO2 электроды показали максимальную удельную емкость 401 Ф/г при 1 мВ/с. Плотность энергии составила 78.66 Вт ч/кг при плотности мощности 466.9 Вт/кг при 0.8 А/г.
В [92] описывается простая и не требующая связующих веществ методика получения слоистых двойных гидроксидов β-Ni(OH)2/никель-кобальта (β-Ni(OH)2/NiCo) в сочетании с графеном, модифицированным фтором (FG) в качестве электрода суперконденсатора. Электроды (β-Ni(OH)2/NiCo) получены гидротермальным методом путем синхронного электрохимического расслоения графита во фтормодифицированный графен и использования композита (β-Ni(OH)2/NiCo). Эта гибридная структура (β-Ni(OH)2/NiCo) модифицированного графена в качестве электрода суперконденсатора демонстрирует высокую проводимость, быструю диффузию ионов и высокую механическую прочность. В результате электрод β-Ni(OH)2/NiCo@FG обладает очень высокой емкостью (3996 мФ/см2 при 1 мА/см2), высокой скоростной способностью и увеличенным сроком службы. β-Ni(OH)2/NiCo в сочетании с недопированным электрохимически расслоенным графеном демонстрирует значительно улучшенную циклическую стабильность (сохранение емкости 79% после 1000 циклов при токе 5 мА/см2), превосходящую таковую у β-Ni(OH). Таким образом, эта методика имеет большой потенциал для улучшения характеристик электродов.
В работе [93] сообщается о простом синтезе пористых нанокомпозитов графен-NiO (PGNO) с помощью уникальной системы смешанных растворителей с использованием сольвотермического подхода. Микроскопическая характеристика пористого графена (PG) показывает наличие пор в листах графена; NiO (NO) показывает чешуйчатую структуру, а композит PGNO показывает закрепление нанохлопьев NO на листах PG. Серия электродных материалов была получена путем варьирования процентного состава PG (и материалы были обозначены как 5–30 PGNO соответственно). Электрохимическое исследование показало высокую величину емкости 511 Ф/г при скорости развертки 5 мВ/с для композита 10 PGNO в 3-электродном методе и 80% сохранения начальной емкости после 10 000 циклов при плотности тока 8 А/г. Изготовленный симметричный гибридный суперконденсатор с использованием электродов PGNO также показал хорошее значение емкости 86.0 Ф/г при скорости развертки 5 мВ/с. Изготовленное устройство сохраняло 84% начальной емкости в конце 10 000 циклов при плотности тока 8 А/г, демонстрируя хорошую электрохимическую устойчивость и скоростную способность материала. Также был оценен процентный вклад емкости ДЭС и псевдоемкости в общую удельную емкость суперконденсатора PGNO.
Нанолисты оксида графена, а также двумерный Ni(OH)2 с очень хорошей однородностью были получены методом Хаммерса и гидротермальным методом соответственно [94]. Нанолисты Ni(OH)2, обработанные катионными поверхностно-активными веществами и оксидом графена с отрицательными зарядами, перемешивали друг с другом методом электростатической самосборки. После отжига были получены гибридные двумерные нанолистыкомпозита восстановленного оксида графена NiO–(NiO–rGO). Благодаря синергетическим эффектам электрод NiO–rGO обладает оптимизированными электрохимическими характеристиками, в отличие от чистых NiO или rGO. Результаты показывают, что нанолисты NiO однородно диспергированы на поверхности нанолистов rGO, а гибридный электрод с нанолистами NiO–rGO может обеспечить высокую емкость 343 Кл/г (при 1 A/г). Кроме того, электроды, состоящие из нанолистов NiO–rGO, использовались для сборки симметричного суперконденсатора. Плотность энергии изготовленного суперконденсаторного устройства может достигать 5.4 Вт ч/кг при плотности мощности 0.43 кВт/кг при работе в диапазоне напряжений 0–1.4 В. Кроме того, симметричный суперконденсатор также демонстрирует превосходное удержание емкости на уровне 90% после 10 000 циклов (10 А/г).
В [95, 96] изучали композитные структуры из никель-кобальтита/графена (NiCo O/GQD), которые демонстрируют повышенную электропроводность и функционируют как электродные материалы с более высокой плотностью энергии по сравнению с GQD (GQD это графеновые квантовые точки) и NiCoO. Электрохимические характеристики композита NiCoO/GQD получены методом гальваностатического заряда-разряда для трехэлектродных систем с электролитом 0.1 М гидроксидом калия. Обнаружено, что наблюдаемая удельная емкость для композита составляет большую величину 481.4 Ф/г при 0.35 A/г. Это выше, чем у графеновых квантовых точек (45.6 Ф/г) и связано с повышением электропроводности и диффузией ионов, которые быстрее перемещаются между электродами и электролитом. Эти результаты демонстрируют уникальные характеристики изготовленных композитов в качестве перспективных электродных материалов для применения в суперконденсаторах.
Нанокомпозит W18O49 с восстановленным оксидом графена (rGO) из нанопроволок (NW) рассматривается в [97] в качестве нового активного материала для электродов суперконденсаторов. Он демонстрирует высокую удельную емкость и отличные скоростные характеристики в водном электролите AlCl3. Электрохимические исследования показывают, что присутствие rGO ускоряет диффузию ионов Al3+ в нанокомпозите, тем самым обеспечивая больше ионов для интеркаляционной псевдоемкости. Изготовленный асимметричный суперконденсатор W18O49NWs-rGO//rGO демонстрирует высокую удельную емкость 365.5 Ф/г при 1 А/г и отличную циклическую стабильность с сохранением 96.7% емкости при 12 000 циклов. Важно отметить, что он обеспечивает высокую плотность энергии 28.5 Вт ч/кг при плотности мощности 751 Вт/кг, что является самым высоким значением плотности энергии для всех известных устройств на основе суперконденсатора W18O49.
В [98] были получены многослойные графеновые пленки, равномерно покрытые тонким слоем V2O5 (композит графен/V2O5), за счет сочетания лазерного восстановления и низкотемпературного атомно-слоевого осаждения. Чтобы проверить влияние кристалличности на электрохимические характеристики композита графен/V2O5, сначала проводили высокотемпературный отжиг, а затем детальное сравнительное исследование аморфного и кристаллического покрытия композитом. Было показано, что графен, покрытый аморфным V2O5, может обеспечить более высокую производительность электрода суперконденсатора (т. е. удельную емкость, плотность энергии и циклическую стабильность), чем у кристаллического аналога.
В работе [30] пентаоксид ванадия (V2O5) был выращен на графене микроволновым методом, который является простым, быстрым, энергосберегающим и эффективным. Благодаря этому методу микроволнового синтеза однородные наночастицы V2O5 с размерами примерно 20 нм равномерно распределены по графену. Результирующий композит V2O5/графен использовался в симметричных суперконденсаторах, показав удельную емкость 673.2 и 474.6 Ф/г при 1 и 10 А/г соответственно, и сохранение 96.8% емкости после 10 000 циклов при 1 А/г. Кроме того, суперконденсаторы продемонстрировали высокие характеристики плотности энергии и мощности (46.8 Вт ч/кг при 499.4 Вт/кг и 32.9 Вт ч/кг при 4746.0 Вт/кг), которые превосходят многие аналогичные устройства.
Композиты наночастиц оксидов металлов (MONP)-графен являются высоко ценными кандидатами в качестве электродных материалов для электрохимических суперконденсаторов. В [99] была описана разработка универсального подхода к изготовлению электродов ЭХСК путем импрегнирования MONP (M = Ti, Ni, Sn), синтезированных методом лазерной абляции в жидкости на лазерно-индуцированном графене (LIG). Типичный микросуперконденсатор (МСК) SnO2/LIG обеспечивает удельную емкость 18.58 мФ/см2 при скорости сканирования 10 мВ/с, что в 5.2 раза больше, чем у немодифицированного LIG. Кроме того, микросуперконденсатор демонстрирует длительную циклическую стабильность (сохраняет 82.15% удельной емкости после 5000 циклов) и хорошую механическую гибкость (удельная емкость снижается на 5% при угле изгиба 150°). MONP и LIG изготавливаются с использованием одной и той же системы лазерной обработки, без использования химических лигандов или восстановителей в процессе синтеза, что является экономически эффективным и экологически чистым методом. Этот простой и понятный метод обеспечивает высокоэффективное решение для крупномасштабного изготовления МСК.
В работе [100] получены нанокомпозиты восстановленного оксида графена/оксида лантана. Восстановленный оксид графена с большой удельной поверхностью был удачно допирован оксидом лантана. Восстановленные композиты оксида графена/оксида лантана изготавливались в качестве электродного материала для суперконденсатора, который продемонстрировал значительную удельную емкость 156.25 Ф/г при плотности тока 0.1 А/г и высокую стабильность циклирования. Материал сохраняет 78% своей первоначальной эффективности заряда-разряда после 500 циклов. Высокие электрохимические характеристики композитного материала могут быть связаны с нанесением наночастиц оксида лантана на поверхность восстановленного оксида графена, которые увеличивают эффективную проводящую площадь восстановленного оксида графена и площадь контакта между электролитом и графеном. Композиты из оксида графена и лантана могут значительно улучшить стабильность и электрические характеристики суперконденсаторов и имеют большой потенциал для химических датчиков, микроэлектроники, хранения и преобразования энергии.
В работе [101] представлен гибридный тип накопителя энергии, состоящий из электродов на основе композита из пластин графена и оксида цинка. Этот композит проявляет как электрохимические характеристики суперконденсатора с высокой плотностью мощности, так и аккумулятора с достаточно высокой плотностью энергии, по сравнению с каждым отдельным материалом. Улучшенные характеристики гибрида коррелировали со структурой электродов. Для повышения электрохимических характеристик суперконденсаторов необходимо иметь четко определенную массу, форму и площадь поверхности электродных материалов. В этой работе была представлена оригинальная конструкция монтажного устройства, позволяющая точно определить все критические параметры электродных материалов – конкретную массу и площадь поверхности. С помощью первоначальной установки было создано суперконденсаторное устройство, которое также могло действовать как аккумулятор из-за его высоких значений плотности энергии, поэтому его назвали superbat. В данной работе в качестве первого электрода была использована 3D-графеновая пена из-за ее большой поверхности, в то время как для второго электрода были использованы нанокристаллы ZnO из-за их дефектной структуры. Было получено высокое значение удельной емкости 448 Ф/г, что было связано не только с качеством синтеза, но и с выбором материалов электродов и электролитов. Более того, каждый компонент, использованный в конструкции гибридного суперконденсатора, также сыграл ключевую роль в достижении высокого значения емкости. Результаты продемонстрировали высокую производительность и стабильность устройства.
В работе [102] были синтезированы композиты Ni3Si2/NiOOH/графеновые наноструктуры путем химического осаждения из газовой фазы при низком давлении. В атмосфере, богатой углеродом, атомы высоких энергий бомбардировали поверхность Ni и Si и уменьшали свободную энергию при термодинамическом равновесии твердых частиц Ni–Si, значительно катализируя рост нанокристаллов Ni–Si. Электрохимические измерения показали, что данные наноструктуры обладают сверхвысокой удельной емкостью 1193.28 Ф/г при 1 A/г. При их интеграции в твердотельный суперконденсатор он обеспечивает высокую плотность энергии до 25.9 Вт ч/кг при плотности мощности 750 Вт/кг, что можно отнести отдельно к Ni3Si2/графеновому скелету, обеспечивающему большую УП, а также к NiOOH в щелочном растворе. На рис. 9 приведены TEM-изображения Ni3Si2/NiOOH/графеновых наноструктур, полученных в работе [102].
Рис. 9. TEM-изображения Ni3Si2/NiOOH/графеновых наноструктур, полученных в работе [102].
В работе [113] положительные электроды без связующего изготавливались методом электрохимического осаждения, при котором наностержни (CuONRs), выращенные непосредственно на медной пене (CF), декорируются биметаллическими наноматрицами кобальт–цинк–сульфид (Co–Zn–S NAs). Изготовленные композиты Co–Zn–S@CuO–CF обладают очень высокой удельной емкостью 317.03 мА ч/г при 1.76 А/г, а также очень хорошей циклической стабильностью (удержание 113% после 4500 циклов). Отрицательные электроды были дополнительно изготовлены путем прямого осаждения нанолистов сульфида железа (Fe–S NSs) на оксид графена, показав замечательную удельную емкость 543.9 Ф/г при 0.79 A/г. Имея преимущества вследствие получения высоких значений удельной энергии и удельной мощности (25.71 Вт ч/кг и 8.73 кВт/кг) наряду с приемлемой стабильностью, изготовленный асимметричный суперконденсатор является очень перспективным.
В [104] описывается изготовление гибких микросуперконденсаторов на основе гибридных материалов из одностенных углеродных нанотрубок с лазерно-индуцированными графеновыми волокнами (LIGF), декорированными наночастицами диоксида марганца (MnO2). ОСУНТ наносят на поверхность LIGF и пространство между ними, что может связывать LIGF с образованием более проводящих путей и обеспечивать более активные области для роста наночастиц MnO2. Благодаря синергетическому эффекту между проводящей сетью LIGF одностенными наноуглеродистыми наночастицами и наночастицами MnO2 с высокой теоретической емкостью, полученные гибкие МСК на основе гибридных электродов LIGF–C4/MnO2 обеспечивают высокую емкость 156.94 мФ/cм2, что примерно в 8 раз выше, чем у МСК на основе LIGF–MnO2 (20 мФ/см2). Кроме того, LIGF–C4/MnO2 также демонстрируют значительную удельную энергию 21.8 мкВт ч/см2, долговременную стабильность циклирования, существенную модульную интеграцию и очень высокую механическую гибкость (с сохранением 90.5% емкости после 1200 циклов гибки). Таким образом, предложенная в данной работе конструкция гибридных электродных материалов обеспечивает простой и новый метод разработки гибких накопителей энергии с высокими эксплуатационными характеристиками, что открывает большие перспективы для применения в носимой электронике.
Таким образом, было показано, что суперконденсаторы, в которых используются композиты графенов с оксидами металлов, обладают высокими электрохимическими характеристиками.
2.2. Композиты с сульфидами и селенидами металлов
Другими видами интенсивно разрабатываемых в последнее время композитов с графенами являются композиты с сульфидами и селенидами переходных металлов. В работах [105–135] была разработана система сорастворения в глубоком эвтектическом растворителе (DES) путем смешивания воды и ацетонитрила с типичным электролитом DES, состоящим из ацетамида и перхлората лития. Добавление сорастворителей не только решает проблемы высокой вязкости и низкой проводимости DES, но и создает некоторые уникальные свойства. Например, наличие воды улучшает огнезащитные свойства электролита DES. Напротив, добавление ацетонитрила дополнительно улучшает ионную проводимость без ущерба для широкого окна электрохимической стабильности (ESW). Было исследовано влияние количества сорастворителя в DES и оптимального молярного соотношения между сорастворителями. Когда молярное соотношение ацетонитрила к воде составляет 4.4 : 1, гибридный DES демонстрирует лучшие физические свойства, включая широкое окно потенциалов ESW (2.55 В), высокую проводимость (15.6 мСм/см) и низкую вязкость (5.82 мПа с). Кроме того, была проведена серия спектроскопических измерений, чтобы понять взаимодействие между компонентами электролита. С другой стороны, было продемонстрировано использование гидрогеля, состоящего из MoS2 и восстановленного оксида графена (rGO) в качестве электродных материалов для суперконденсаторов. Этот гидрогель унаследовал пористую структуру гидрогеля rGO и высокую проводимость MoS2. Наконец, были изготовлены высоковольтные симметричные суперконденсаторы с использованием гибридного DES и гидрогеля в качестве электролита и электрода соответственно. Оптимизированный суперконденсатор работает при широком окне рабочего напряжения 2.3 В и достигает максимальной плотности энергии 31.2 Вт ч/кг при плотности мощности 1164 Вт/кг. Кроме того, этот ЭХСК продемонстрировал сохранение 91% емкости после 20 000 циклов.
Композит полипиррол (PPy) на восстановленном графене с вертикально ориентированным сульфидом MoS2 изготавливался в [106] с помощью одноступенчатого гидротермального метода (MP–rGO). Ультратонкие нанолисты MoS2, смешанные с ламелями PPy, хорошо покрываются rGO, образуя тройную наноструктуру. Ламели PPy формируются на rGO с помощью нанолистов MoS2 в результате окислительно-восстановительной реакции между тетратиомолибдатом аммония и пирролом. Проводимость MoS2 была эффективно повышена за счет использования PPy и rGO, а MoS2/PPy (MP) наногибрид наделяет MoS2 низкокристалличностью, а PPy – аморфностью. Электрод MP–rGO имеет высокую удельную емкость 1942 Ф/г (215.8 мА ч/г) при плотности тока 1 А/г и удовлетворительную устойчивость при циклировании. Был собран асимметричный суперконденсатор MP-rGO/AC, обладающий высокой плотностью энергии 39.1 Вт ч/кг при удельной мощности 0.70 кВт/кг, что подтверждает его потенциальное применение в накопителях энергии. На рис. 10 приведены зависимости удельной емкости от удельного тока для образцов, разработанных в [106].
Рис. 10. Зависимости удельной емкости от удельного тока для образцов, разработанных в [106].
Кобальтовый пентландит (CoS) в последнее время стал перспективным электродным материалом для накопителей энергии. Гибрид CoS и графена синтезировали гидротермальным методом [107]. Хлопья CoS небольшого размера тонко осаждаются на поверхности графенового листа, и получается взаимосвязанная структура CoS/графен. Результаты электрохимических испытаний показали, что электрод CoS/графен обеспечивает высокую зарядную емкость 540 Кл/г в течение 1 мин и сохраняет 74.5% емкости в течение 14 с. Гибридный суперконденсатор в сборе с электродом, включающим CoS, обеспечивает высокую плотность энергии 37 Вт ч/кг при плотности мощности 170 Вт/кг, а 15.3 Вт ч/кг может поддерживаться даже при высокой плотности мощности 12 кВт/кг. Очень высокие электрохимические характеристики следует объяснить большим количеством активных центров, улучшенными характеристиками переноса заряда и максимальным емкостным вкладом электрода CoS/графен.
Селенид никеля и его нанокомпозиты (селенид-графен никеля; NiSe/G, графен, легированный азотом и бором, обозначенные как NiSe/NG и NiSe/BG соответственно), были получены с использованием гидротермального метода, и эти материалы были использованы для хранения энергии [108]. Данные материалы были исследованы с помощью различных аналитических и морфологических методов, таких как рентгеновская дифрактометрия и анализ FESEM. Далее подготовленные материалы были исследованы электрохимическими методами, такими как вольтамперометрия и контролируемый потенциостатический тест для расчета емкости, энергии и плотности мощности изготовленного электрода. Электрохимическое поведение графеновых нанокомпозитов селенида никеля было исследовано в электролите КОН. Было обнаружено, что NiSe/NG показал удельную емкость 99.03 Ф/г при плотности мощности 0.55 Вт/кг. Результаты доказали, что допирование графеном дает синергетический эффект.
В [109] разработали легкий шаблонный метод получения пористых полых микросфер селенида меди-кобальта, обернутых в проводящие сети восстановленного оксида графена (rGO–CCSe). Синтезированный электрод способен обеспечить значительное сохранение емкости на уровне 91.5% после 6000 циклов заряда благодаря продуманному структурному дизайну и использованию преимуществ биметаллической синергии на атомном уровне, с очень высокой удельной емкостью 724 Кл/г при 2 А/г. Кроме того, была изготовлена асимметричная ячейка с использованием полого микросферического электрода rGO–CCSe для достижения очень высоких значений плотности энергии (57.8 Вт ч/кг). Графеновый проводящий носитель вместе с кубиками CCSe аккумуляторного типа создают синергетический эффект, который объясняет столь высокие электрохимические характеристики (рис. 11а). Из рис. 11б видно, что существенный вклад в емкость rGO–CCSe и CCSe вносит псевдоемкость. Из рис. 11в видно, что имеет место незначительное уменьшение емкости в процессе циклирования электрода rGO–CCSe на протяжении 6000 циклов [109].
Рис. 11. (а) Схематическое образование полых структур селенида кобальта и меди (rGO–CCSe), обернутых графеном; (б) ЦВА-кривые для rGO–CCSe и CCSe; (в) изменение емкости в процессе циклирования rGO–CCSe [109].
В работе [110] сообщается о получении наночастиц NiSe2 при допировании азотом восстановленного оксида графена (N–rGO/NiSe2) с помощью простого двухстадийного метода, который включает гидротермальное получение Ni(OH)2 прекурсорный, а затем сольвотермический синтез композитов N–rGO/NiSe2 с различным содержанием N–rGO. Свежеприготовленные композиты N–rGO/NiSe2 охарактеризованы методами рентгеновской дифракции, рамановской спектроскопии, рентгеновской фотоэлектронной спектроскопии высокого разрешения, автоэмиссионной сканирующей электронной микроскопии, просвечивающей электронной микроскопии, энергодисперсионной рентгеновской спектроскопии и БЭТ. Результаты показывают, что N–rGO действует как защитник наночастиц NiSe2, предотвращая их агрегацию, что приводит к увеличению удельной поверхности и электропроводности материала. Оптимизированный композит N–rGO/NiSe2 может обеспечить очень высокую удельную емкость 2451.4 Ф/г при плотности тока 1 A/г (рис. 12). Используя активированный уголь (AC) в качестве отрицательного электрода и оптимизированный композит N–rGO/NiSe2 качестве положительного электрода, был создан асимметричный суперконденсатор. Он стабильно работал в потенциальном окне 0–1.6 В и обеспечивал высокую максимальную плотность энергии 40.5 Вт ч/кг при плотности мощности 841.5 Вт/кг. Кроме того, асимметричный суперконденсатор N–rGO/NiSe2/AC продемонстрировал хорошую циклическую стабильность (рис. 12).
Рис. 12. Зависимости удельной емкости ЭХСК N–rGO/ NiSe2 от удельного тока [121].
Таким образом, было показано, что суперконденсаторы, в которых используются композиты графенов с селенидами, обладают высокими электрохимическим характеристиками.
2.3. Композиты с частицами металлов
Высокую эффективность работы в суперконденсаторах продемонстрировали электроды на основе композитов, допированных частицами металлов. В [122], чтобы увеличить запасенную энергию, дефектный графен был допирован наночастицами Ni. Во время первого цикла заряда в водном электролите (3.5 М KOH) было обнаружено, что Ni, прикрепленный к графену, легко превращается в Ni(OH) на наноуровне. Такой обратимый фарадеевский механизм приводил к увеличению удельной емкости электродов на порядок, достигая очень высокой величины 1900 Ф/г при 2 мВ/с в 3.5 М КОН. Был изготовлен асимметричный суперконденсатор путем сопряжения отрицательного электрода из чистого графена с положительным графеновым электродом, декорированным никелем. Такой суперконденсатор был успешно циклирован в диапазоне напряжений 0–1.5 В, достигнув максимальной удельной энергии 37 Вт ч/кг и максимальной удельной мощности 5 кВт/кг. Суперконденсатор показал хорошую обратимость и сохранение 72% удельной энергии на протяжении 10 000 циклов.
В [123] был изготовлен электрод методом получения бумаги с волокнами, модифицированными серебром, и волокнами, модифицированными оксидом графена (GO), с последующим восстановлением GO. Ag- и GO-модифицированные волокна были получены путем in situ выращивания наночастиц Ag и самосборки листов GO на целлюлозных волокнах соответственно. Волокна, модифицированные Ag, действуют как гибкий токоприемник с многочисленными трехмерными взаимосвязанными путями переноса электронов, что позволяет использовать восстановленные GO-модифицированные волокна в качестве электродных материалов для достижения высокой проводимости и высокой производительности. Простая сушка может снизить вес суперконденсатора на 40%, чтобы облегчить транспортировку и хранение, а эффективность емкости может быть восстановлена при необходимости путем смачивания.
В [124] был успешно получен эффективный электрод на текстильной основе путем введения наночастиц серебра (AgNPs) на поверхность хлопчатобумажной ткани (CF) с восстановленным оксидом графена (rGO). Электрод CF с покрытием Ag/rGO показал высокую удельную емкость 426 ±10 Ф/г в 0.5М NaOH. Симметричные суперконденсаторные ячейки на основе композита Ag/rGO/CF обладали очень большим ресурсом (126% сохранение начальной удельной емкости после 1000 циклов заряда-разряда) и хорошими скоростными характеристиками. Слой покрытия rGO наделяет электрод отличной электропроводностью, большой УП и большой емкостью ДЭС. В то же время химическое покрытие серебром улучшает емкостные свойства за счет увеличения проводимости и индуцирует псевдоемкостные эффекты. Таким образом, благоприятные синергетические эффекты rGO, AgNPs и 3D-иерархической структуры CF приводят к высоким электрохимическим характеристикам. Полностью твердотельный гибкий симметричный суперконденсатор был собран с использованием этой композитной ткани. Он продемонстрировал высокую электрохимическую стабильность при механическом изгибе (89% начальной емкости сохраняется после 1000 циклов гибки) и обеспечил высокую плотность энергии до 34.6 Вт ч/кг (при плотности мощности 125 Вт/кг).
3. Композиты с электронопроводящими полимерами (ЭПП)
Одним из достижений электрохимии последних 25–30 лет была разработка ЭПП. Электронная проводимость ЭПП осуществляется в процессе его допирования противоионами вследствие образования делокализованных π-электронов или дырок и переноса их под воздействием электрического поля по системе полисопряженных двойных связей, которыми обладает любой ЭПП. К ЭПП относятся: полиацетилен (PAc), полианилин (PANi), поли- (п-фенилен) (PPh), политиофен (PT), полипиррол (PPy), полипорфин (PP) и их производные. Поскольку во многих ЭПП могут протекать квазиобратимые электрохимические зарядно-разрядные процессы, то они широко используются в ЭХСК [125–150]. ЭПП добавляют псевдоемкостную фарадеевскую емкость в суммарную емкость композитов.
Растущее развитие гибких и носимых суперконденсаторов стимулировало индустрию интеллектуальной электроники. Проводящие полимерные гидрогели считаются наиболее перспективными и жизнеспособными источниками для изготовления гибких суперконденсаторов, а также для питания гибких миниатюрных электронных устройств. Как сообщается в [127], проводящие полимерные гидрогели могут быть синтезированы с помощью многочисленных способов физического и химического связывания. Проводящие полимерные гидрогели в качестве электродов обладают сочетанием высокой электропроводности, выдающихся электрохимических характеристик и уникальной трехмерной пористой морфологии с характеристиками набухания, идеального взаимодействия с электролитом, экологичности, прочности и механической гибкости. Эти особенности делают их идеальными вариантами для гибких суперконденсаторов. Проводящие полимеры, такие как полипиррол, полианилин и поли (3,4-этилендиокситиофен): полистиролсульфонат (PEDOT: PSS), являются эффективными электродными материалами для суперконденсаторов с вышеупомянутыми важными свойствами. Эти проводящие полимеры в композитном гибриде с графеновым гидрогелем применяются в качестве электродных материалов в высокоэффективных и стабильных гибких суперконденсаторах. Впоследствии эти высокоэффективные гибкие суперконденсаторы будут способствовать развитию носимой электроники, а также экологически чистого транспорта.
Электронопроводящие полимеры потенциально могут стать электродами ЭХСК следующего поколения из-за их низкой стоимости, легких методов синтеза и высокой псевдоемкости. Композиты на основе графена/ЭПП демонстрируют достаточно высокие электрохимические характеристики при использовании в качестве электродных материалов для ЭХСК. В [128] обобщены методы синтеза и электрохимические характеристики композитов графен/ЭПП для ЭХСК. Кроме того, обсуждается метод синтеза электродных материалов для улучшения электрохимических характеристик.
В работе [129] для сборки суперконденсатора успешно использовался прочный высокоэффективный графеновый электрод, модифицированный полианилином. Графен ковалентно связался с допированным полианилином (SPANi) и поэтому используется в суперконденсаторах. Слоистый же графен, модифицированный 4-аминобензойной кислотой (ABF–G), сначала был прикреплен к анилиновым функциональным группам. Затем анилин, мономер о-аминобензолсульфоновой кислоты и окислитель добавляли в водную дисперсию ABF–G для достижения полимеризации на поверхности ABF–G. Этот ковалентно связанный тонкопленочный электродный материал ABF–G (SPANi–ABF–G), модифицированный SPANi, затем использовался для изготовления суперконденсаторов. Суперконденсатор с предлагаемыми электродами SPANi–ABF–G обладает высоким значением удельной емкости 642.6 Ф/г при плотности тока 1 А/г. После испытаний на срок службы 5000 циклов этот суперконденсатор продемонстрировал сохранение зарядной и разрядной емкости 100 и 98.13% при плотности тока 1 и 2 А/г соответственно. Эти удержания емкости выше, чем у суперконденсаторов с проводящими полимерными электродами. Полученные результаты доказывают, что электродные материалы, приготовленные с использованием ковалентно связанного графена и PANi, могут значительно улучшить характеристики суперконденсаторов.
В [130] пленка на основе графена (CNT@PANi/rGO/TA) была изготовлена из биомассы с использованием электроактивного танина (TA), который служит клеем, приклеивающим углеродные нанотрубкик композиту (CNT@PANi), и для склеивания с восстановленным оксидом графена. Благодаря тонкому слою PANi на CNT@PANi нанопроволоки интеркалируются в промежуточные слои rGO, тем самым связывая нанослои и образуя четко определенную пористую многослойную структуру. Полученная пленка CNT@PANi/rGO/TA обладает высокой механической прочностью (174.6 МПа) и ударной вязкостью (9.17 МДж м3). Между тем полностью твердотельный гибкий суперконденсатор в сборе с CNT@PANi/rGO/TA демонстрирует высокую емкость 548.6 Ф/см3 и очень высокую производительность 70.5% от 1 до 50 А/г. Даже при –40°C удельная емкость суперконденсатора составляет до 454.9 Ф/см–3, т. е. примерно 83% от емкости, получаемой при комнатной температуре.
В обзорной статье [131] представлены последние достижения в области синтеза, изготовления и характеризации гибридных нанокомпозитов PANi@r–GO для суперконденсаторов. Также представлены рыночные данные для таких ЭХСК.
Для разработки высокоэффективных суперконденсаторов в [132] химическим методом были успешно изготовлены исходный PANi и нанокомпозиты PANi с высокопроводящим двумерным графеном. Электрохимические свойства готовых твердотельных суперконденсаторов, установленные для исходных полианилиновых композитов (PANi/PVA/PANi) и нанокомпозитов на основе полианилина/графена (PANi-графен/PVA/PANi-графен), были исследованы методами ЦВА, гальваностатики и электрохимической импедансной спектроскопии. Электрохимическое устройство на основе электродов PANi обладает емкостью ~160 Ф/г при сохранении ~64% емкости. Эта емкость полианилиновых электродов была значительно увеличена до ~1412 Ф/г с сохранением ~89% емкости после 10 000 циклов заряда-разряда, при содержании 8 мас. % графеновых нанослоев в электродах ПАНи. Суперконденсатор на основе нанокомпозита полианилина с содержанием 8 мас. % графена также обладал очень высокими значениями плотности энергии (~1382 Вт ч/кг) и мощности (~49 786 Вт/кг).
В качестве перспективных материалов для электродов суперконденсаторов широко изучены нанокомпозиты графеновых материалов и проводящих полимеров. В работе [133] была исследована гетероструктура композита графен/PANi, состоящая из монослоя графена и полианилина, а также его электрохимическая работа в суперконденсаторе. Синтез основан на функционализации графена фениленсульфоновыми группами и окислительной полимеризации анилина персульфатом аммония в условиях реакции, и не дающих объемного полианилина. Сканирующая электронная микроскопия, атомно-силовая микроскопия и рамановская спектроскопия показали селективное образование полианилина на графене. Рамановская спектроскопия in situ и циклическая вольтамперометрия (обе в микрокапельной установке) подтвердили обратимость полианилиновых окислительно-восстановительных переходов и электрохимического допирования графена. После увеличения в течение начальных 200 циклов из-за образования дефектов бензохинон-гидрохинон в полианилине удельная поверхностная емкость сохранялась в течение 2400 циклов с удержанием ±1% при 21.2 мкФ см–2; это на порядок выше, чем емкость исходного графена.
В работе [134] демонстрируется простой синтетический метод ковалентной прививки анилинового тетрамера (TANI), основного строительного блока PANi к 3D-графеновым сетям с перфторфенилазида для создания гибридного электродного материала для суперконденсаторов со сверхдлительным сроком службы. Конструкция, которая заменяет длинноцепочечный PANi на короткоцепочечный TANI и вводит ковалентные связи между TANI и 3D-графеном, значительно повышает стабильность циклического заряда-разряда суперконденсаторов на основе PANi. Материал электрода, а также изготовленные симметричные полностью твердотельные суперконденсаторы демонстрируют необычайно долгий срок службы (сохранение емкости >85% после 30 000 циклов заряда-разряда). Емкость может быть дополнительно увеличена за счет быстрых и обратимых окислительно-восстановительных реакций на поверхности электрода с использованием окислительно-восстановительного электролита при сохранении превосходной стабильности циклов (сохранение 82% емкости после 100 000 циклов для симметричного полностью твердотельного устройства). Несмотря на то что проводящие полимеры, как известно, ограничены своей низкой циклической стабильностью, эта работа предлагает эффективную стратегию для достижения увеличенного срока службы суперконденсаторов.
В работе [135] представлено получение гидрофильных нанослоев оксида графена методом жидкостно-сдвигового отслаивания. Нанослои оксида графена применялись для синтеза трехмерных композитов графен/полианилин, которые применялись непосредственно в качестве электродов суперконденсаторов. Композиты обладают лучшими электрохимическими свойствами (гравиметрическая емкость 483 Ф/г при 1 А г) по сравнению с материалами, изготовленными из смеси графена, оксида графена и полианилина в качестве прекурсоров. Кроме того, симметричный суперконденсатор, изготовленный из композитов, продемонстрировал высокую плотность энергии 17.9 Вт ч/кг при плотности мощности 500 Вт/кг.
В работе [9] при полимеризации для получения PANi контролировали время электрохимической полимеризации, что привело к образованию графеновой бумаги с покрытием (PANi-Графен). Свежеприготовленный электрод показал высокую поверхностную емкость 176 мФ/см2 в трехэлектродной ячейке при плотности тока 0.2 мА/см2, что примерно в 10 раз больше, чем у чистой графеновой бумаги из-за псевдоемкостного поведения PANi. Что еще более важно, полностью твердотельный симметричный конденсатор, собранный с двумя электродами PANi-Графен с полимерным электролитом, имел поверхностную емкость 123 мФ/см2, что соответствует поверхностной плотности энергии 17.1 мкВт·ч/см2 и поверхностной плотности мощности 0.25 мВт/см2. Симметричный конденсатор сохранил 74.8% емкости после 500 испытаний на изгиб от 0 до 120°, что свидетельствует о хорошей гибкости и механической стабильности.
В [136] был исследован синтез стабильного, проводящего и высокоактивного политиофена, обогащенного графеновыми нанопластинками (GNPL), путем химической полимеризации in situ. Рентгеноструктурные исследования подтвердили формирование готовых наноматериалов. Морфологические исследования показали, что политиофен успешно закрепляется на поверхности GNPL в процессе полимеризации. Элементное картирование показало наличие углерода, кислорода и серы в электроде GNPLs/PTh. Измерения методом циклической вольтамперометрии показали, что электрод GNPLs/PTh имеет максимальную удельную емкость 960.71 Ф/г при скорости сканирования 10 мВ/с. Гравиметрическая емкость изготовленных электродов достигала 673 Ф/г при плотности тока 0.25 А/г, что соответствует плотности энергии 2.25 Вт ч/кг. Исследование циклической стабильности показало, что суперконденсатор на основе GNPLs/PTh может сохранять 84.9% начальной емкости после 1500 последовательных циклов CV, что свидетельствует об отличной циклической стабильности материала.
В исследовании [137] композитные пленки восстановленного оксида графена (rGO) и поли(3,4-этилендиокситиофен) полистиролсульфоната (PEDOT: PSS) были приготовлены методом испарения растворителя с использованием PEDOT: PSS в качестве связующего для фиксации ориентированного графена с целью обеспечения его хорошей проводимости и сильных π–π-упаковочных взаимодействий со слоями графена. Анализы с использованием сканирующей электронной микроскопии (СЭМ), адсорбции-десорбции азота и малоуглового рассеяния рентгеновских лучей показали, что слои графена были хорошо выровнены при приложении магнитного поля, хотя без магнитного поля они были ориентированы случайным образом. В качестве материала электрода конденсатора композит ориентированного rGOи (PEDOT: PSS) продемонстрировал удельную емкость 169/г с сохранением около 70% емкости при плотности тока 50 А/г, а его кривые CV сохраняют прямоугольную форму при скорости сканирования напряжения 2 В/с.
В [138] разработали высокоактивную 2D-наноструктуру, состоящую из армированного проводящего полипиррола с декорированным rGO и гибридным комплексом оксидов металлов Ni/W (PPy–G–Ni–W) для применения в суперконденсаторах. Гибридная 2D-платформа показала замечательную удельную емкость 597 и 557 Ф/г при измерениях CV- и гальваностатического анализа соответственно, при использовании трехэлектродной системы. Разработанный суперконденсатор продемонстрировал очень высокую стабильность, сохранив 98.2% своей общей производительности после 5000 циклов заряда-разряда. Аналогичным образом, исследования в двухэлектродной электрохимической ячейке, состоящей из PPy–G–Ni–W/PPy–G–Ni–W, показало удельные емкости 361 и 342 Ф/г при скорости сканирования и плотности тока 2 мВ/с и 0.5 А/г с использованием методов CV и гальваностатики соответственно. При этом была получена высокая плотность энергии 14.4 Вт ч/кг при плотности мощности 275 Вт/ кг. Что еще более важно, устройство сохранило 96.4% своей общей удельной емкости после 5000 циклов заряда-разряда (рис. 13), что подчеркивает высокую емкость, мобильность и сверхстабильность разработанного ЭХСК по отношению к реальным энергетическим приложениям.
Рис. 13. Трехмерная демонстрация циклической устойчивости трехэлектродной системы суперконденсатора на основе (а) PPy, (б) G–Ni–W [138].
4. Композиты с MXenes
MXenes представляют собой класс двумерных неорганических соединений, которые состоят из атомарно тонких слоев карбидов, нитридов или карбонитридов переходных металлов. MXenes имеют различные гидрофильные поверхностные группы. О MXenes впервые сообщили в 2012 г., и их исследования претерпевают экспоненциальный рост. С 2020 г. количество патентов о MXenes превысило количество журнальных статей о MXenes, что свидетельствует о том, что они потенциально являются коммерчески успешными материалами. В последние годы MXenes стали применяться в суперконденсаторах [5, 139–146].
Большая популярность портативной умной электроники интенсивно стимулировала развитие накопителей энергии и других передовых продуктов, таких как дисплеи и сенсорные панели. Интерактивные устройства, такие как смартфоны, планшеты и другие сенсорные устройства, требуют механически прочных прозрачных проводящих электродов (TCE). Разработка прозрачного суперконденсатора в качестве источника питания имеет важное значение для прозрачной электроники следующего поколения. В последнее время графен и MXene – два представителя большого двумерного семейства, показали отличную электронную проводимость и привлекли большое внимание исследователей в области хранения энергии. Важно отметить, что высокопроизводительные TCE являются необходимыми условиями для создания прозрачных суперконденсаторов. В обзорах [139, 140] представлен всесторонний анализ гибких TCE на основе графена и MXene, охватывающий подробные методы изготовления тонких пленок, оценки, ограничения производительности, а также подходы к преодолению этих ограничений. Особое внимание уделено фундаментальным аспектам TCE, таким как перколяция и проводимость.
Новый материал 2D Ti3C2TxMXene (Tx – поверхностные функциональные группы) широко изучается в области суперконденсаторов. Тем не менее электрохимические характеристики суперконденсаторов снижаются из-за присутствия Ti3C2Tx. Однако синтезированный в [140] гибкий композит Ti3C2Tx/композитная мембрана/графен эффективно устраняет этот недостаток. В отличие от использования традиционного восстановленного оксида графена, структурная целостность и крупные чешуйки графена синтезировались в данной работе с помощью безводного хлорида железа FeCl3. Собранный симметричный суперконденсатор без связующего показал высокую плотность энергии 13.1 Вт ч/кг при удельной мощности 75 Вт/кг. В статье представлен новый взгляд на анализ механизма ингибирования самоукладки MXene.
Несмотря на то что при использовании электродов с MXene в суперконденсаторах были получены большие емкости, относительно высокое сопротивление ограничивает область применения этих материалов. В работе [141] сообщается об инновационном простом методе изготовления MXene, обернутого графеном в сочетании с плазменным отшелушиванием. Этот метод включает в себя два ключевых аспекта: 1) включение оксида графена (GO) в MXene и 2) плазменное отшелушивание GO-модифицированного MXene. Полученные материалы, обозначаемые как MXene@rGO, имеют слоистую структуру с восстановленным оксидом графена на поверхности MXene. Были изготовлены полностью твердотельные гибкие суперконденсаторы из материалов MXene@rGO. По сравнению с обычными MXene, суперконденсаторы MXene@rGO показали в два раза более высокую удельную емкость, а также отличную циклируемость и механическую стабильность.
В работе [142] изготавливался суперконденсатор сверхвысокой емкости с использованием нанослоистого MXene в качестве активного электродного материала, а никелевая фольга использовалась в качестве токосъемника. Высококачественный титан для Ti3C2Tx, получаемый из надосадочной жидкости, в процессах травления и промывки существенно повышает удельную емкость. В качестве другой методики на поверхность никелевой фольги наносился графен, выращенный методом химического осаждения из газовой фазы. Графен, выращенный непосредственно на никелевой фольге, используется в качестве токосъемника, образуя электродную структуру Ti3C2Tx/графен/Ni. Установлено, что емкость суперконденсаторов на основе графена более чем в 1/5 раза превышает емкость без графена. Высокая удельная емкость ~542 Ф/г достигается при скорости сканирования 5 мВ/с. Кроме того, суперконденсатор на основе графена демонстрирует квазипрямоугольную форму на циклических вольтамперометрических кривых и симметричное поведение на гальваностатических кривых заряда/разряда. Циклическая стабильность до 5000 циклов подтверждается сохранением высокой емкости при высокой скорости сканирования 1000 мВ/с.
Из известной формулы для плотности энергии [2] следует, что расширение окна напряжения и увеличение емкости являются эффективными способами повышения плотности энергии суперконденсаторов. Тем не менее устройства на основе водного электролита обычно имеют окно напряжения менее 1.2 В с учетом электролиза воды, а химически преобразованный графен дает посредственную емкость. Согласно [143], многоэлектронные окислительно-восстановительные, структурно стабильные π-каркасы индантрона (IDT:(6,15-дигидродинафто[2,3-а;2’,3’-h]феназин-5,9,14,18-тетраон)) были эффективно связаны с восстановленным оксидом графена для образования молекулярного гетероперехода IDT@rGO. Такие электроды, не содержащие проводящих агентов и связующих веществ, обеспечивали максимальную емкость до 345 Ф/г в диапазоне потенциалов от –0.2 до 1.0 В. Пленочный электрод-партнер – Ti3C2Tx MXene, работающий в диапазоне отрицательных потенциалов от –0.1 до –0.6 В, давал емкость до 769 Ф/г. Благодаря реализованным потенциалам IDT@rGO гетеропереходного положительного электрода Ti3C2Tx MXene и отрицательного электрода – поливиниловый спирт/H2SO4 – гибкий асимметричный суперконденсатор на основе гидрогелевого электролита обеспечивал увеличенное окно напряжения 1.6 В и впечатляющую плотность энергии 17 Вт ч/кг при высокой удельной мощности 8 кВт/кг, а также эффективную скоростную способность и большой срок службы (сохранение 90% емкости после 10 000 циклов), а также исключительную гибкость.
По мере роста спроса на носимые электронные устройства растет и интерес к небольшим, легким и деформируемым устройствам хранения энергии. Среди этих устройств проволочные суперконденсаторы считаются ключевыми компонентами носимых устройств из-за их геометрического сходства с тканым волокном. Одним из потенциальных методов создания устройств WSC является метод послойной сборки (LbL), который представляет собой метод изготовления электродов “снизу вверх”. WSC означает конформное и адгезионное покрытие функционального материала на проволочной подложке, что трудно получить с помощью других методов обработки, таких как вакуумная фильтрация или нанесение покрытий распылением. Технология сборки LbL позволяет получать удобные и прочные покрытия, которые можно наносить на различные подложки и формы, включая проволоку. В исследовании [144] сообщается о WSC, изготовленных с использованием LbL-сборки чередующихся слоев положительно заряженного восстановленного оксида графена, функционализированного поли(диаллилдиметиламмония хлоридом) и отрицательно заряженными нанослоями Ti3C2Tx MXene, эффективно нанесенными на нити из активированного угля. В этой конструкции добавленная пленка LbL увеличивает емкость, плотность энергии и плотность мощности на 240, 227 и 109% соответственно, по сравнению с пряжей с активированным углем без покрытия, обеспечивая высокую удельную и объемную емкость (237 Ф/г, 2193 Ф/см3). Кроме того, WSC обладает хорошей механической стабильностью, сохраняя 90% своей первоначальной производительности после 200 циклов гибки. Данное исследование демонстрирует, что LbL-покрытия на углеродных нитях перспективны в качестве накопителей энергии для волокнистой электроники.
Материалы 2D-MXene привлекли пристальное внимание в области хранения энергии. Тем не менее MXene обычно подвергаются серьезной переукладке для повышения стабильности, что значительно препятствует их дальнейшему коммерческому применению. В статье [145] для подавления окисления и самоукладки MXene демонстрируется эффективный и быстрый способ самосборки для получения 3D-пористого композита MXene/графен (PMG), устойчивого к окислению. Самоорганизующаяся 3D-пористая архитектура может эффективно предотвращать окисление слоев MXene без видимых изменений электропроводности на воздухе при комнатной температуре, гарантируя высокую электропроводность и большое количество электрохимических активных центров, доступных ионам электролита. Электрод PMG обладает высокой удельной емкостью 393 Ф/г при 10 В/с, превосходной производительностью и выдающейся устойчивостью при циклировании. Кроме того, асимметричный суперконденсатор в собранном виде обладал высокой плотностью энергии 50.8 Вт ч/кг и замечательной стабильностью циклов с ухудшением удельной емкости всего на 4.3% после 10 000 циклов. Эта работа прокладывает новый путь для решения важных проблем с MXene в будущем.
Ожидается, что двумерные (2D) материалы войдут в число самых эффективных соединений для использования в энергетике. Способность накапливать энергию в двух двумерных материалах, восстановленном оксиде графена и NbCMXene за счет создания гетеросборки, впервые было осуществлено в работе [146] путем двойного допированияазотом на обеих решетках с использованием метода сверхкритической обработки флюидов. Как известно, сверхкритический флюидный синтез гетеросборки на основе 2D/2D MXene уникален и самобытен. Высокая способность к аккумулированию заряда композитами N–(NbC/rGO) и типичная кинетика реакции способствуют очень высоким электрохимическим характеристикам благодаря этой уникальной синтетической методике. Таким образом, N–(NbC/rGO) демонстрирует исключительные электрохимические характеристики с высокой удельной емкостью 816 Ф/г при плотности тока 1 А/г и замечательной плотностью энергии 29 Вт ч/кг в водном электролите H2SO4 и 33 Вт ч/кг в неводном электролитеTEABF4/ацетонитрил. Кроме того, после 100 000 циклов сохраняется 100% от начальной емкости в квазитвердотельном электролите на основе PVA/HSO4.
5. Квантовые точки
Нобелевскую премию по химии в 2023 г. получили сразу три ученых за одно открытие. Мунги Бавенди, Луис Брюс и Алексей Екимов удостоились высшей научной награды за открытие и синтез квантовых точек – полупроводниковых нанокристаллов с уникальными оптическими и электронными свойствами.
Ква́нтовая то́чка – это фрагмент проводника или полупроводника, носители заряда которого ограничены в пространстве по всем трем измерениям. Размер квантовой точки должен быть настолько мал, чтобы квантовые эффекты были существенными.
Включение новых функциональных компонентов в трехмерный графеновый (3DG) каркас улучшает характеристики суперконденсаторов на основе 3DG в электродах за счет адаптации структуры и свойств каркаса. В последнее время материалы с квантовыми точками стали применяться суперконденсаторах [7, 32, 94, 113, 147–150]. В работе [147] графеновые квантовые точки были включены в 3DG путем одноступенчатой гидротермической обработки GQD и оксида графена (GO). Путем простой регулировки соотношения GQDs/GO по весу были сформированы различные композиты GQD/3DG. Максимальное соотношение составило 80%, в то время как композиты, полученные с соотношением GQDs/GO 40% для электродов, показали максимальную удельную емкость 242 Ф/г для суперконденсаторов, что означает увеличение на 22% по сравнению с чистыми электродами 3DG (198 Ф/г). Это улучшение характеристик было, в основном, связано с более высокой электропроводностью и большей площадью поверхности композитов GQD/3DG. Изготовленные композиты GQD/3DG в качестве электродов для суперконденсаторов показали высокую электрохимическую стабильность. Их емкость сохраняла 93% от первоначального значения после 10 000 циклов заряда-разряда.
Несмотря на то что активированные угли с большой площадью поверхности широко используются в суперконденсаторах, они обычно имеют ограниченные емкость и скоростные характеристики, в первую очередь из-за низкой проводимости и медленной электрохимической кинетики, вызванной их аморфной микропористой структурой. В статье [148] предлагается простая стратегия повышения электрохимических характеристик АУ путем встраивания высококристаллизованных графеновых квантовых точек. Благодаря образованию общих проводящих сетей кинетика переноса заряда и миграции ионов в АУ значительно улучшается, облегчая транспортировку и хранение ионов электролита в глубоких и разветвленных микропорах. В результате квантовые точки графена встраиваются в активированный уголь, обладающий микропористой структурой с удельной площадью поверхности 2829 м2/г. Это приводит к получению высокой двойнослойной емкости 388 Ф/г при 1А/г, а также к отличным скоростным характеристикам с сохранением 60% емкости при 100 А/г в двухэлектродной системе. Емкостные и скоростные характеристики намного выше, чем у АУ без графеновых квантовых точек, а также у большинства пористых углей, о которых сообщается в литературе. Эта стратегия открывает новые возможности для разработки современных пористых углеродных материалов для высокопроизводительного хранения энергии.
В работе [149] сообщается о математическом моделировании для исследования вклада квантовых точек в общую дифференциальную емкость функционализированного графена в качестве материала электродов суперконденсаторов на водной основе. Рассмотрены эффекты включения азота и кислорода в квантовую и двойнослойную емкость графена в четырех различных моделях суперконденсаторов с водными электролитами Li2SO4 и LiTFSI. Было обнаружено, что суммарная дифференциальная емкость ограничена двойнослойной емкостью. Лучшая модель системы электрод/электролит была получена для симметричного суперконденсатора, собранного из эпоксидных/гидроксил-функционализированных графеновых электродов, пропитанных 1 М Li2SO4 водным электролитом.
В [150] сообщаетcя о простом гидротермальном методе синтеза квантовых точек CeO2/Ce2O3, закрепленных на слоях восстановленного оксида графена (rGO) различных весовых фракций, для применения в качестве электрода суперконденсатора. Из всех протестированных образцов образец, содержащий 7 мас. % rGO (CrGO3), измеренный методом термогравиметрии, продемонстрировал самую высокую удельную емкость 1027 Ф/г при 1 А/г наряду с хорошей циклической стабильностью. При плотности тока 4 А/г образец CrGO3 показал сохранение заряда 79% после 5000 циклов, тогда как при 20 А/г он показал сохранение заряда в 85% после 3000 циклов. Значения, полученные для электрода CrGO3, выше, чем для всех предыдущих электродов на основе церия и rGO, что позволяет предположить его потенциальное использование в суперконденсаторах. Просвечивающая электронная микроскопия высокого разрешения четко выявила кристаллические наночастицы CeO2 (~5 нм), равномерно распределенные на слоях rGO, а также несколько плоскостей решетки, указывающих на присутствие некоторого количества Ce2O3, смешанного с CeO2. Рентгеновская фотоэлектронная спектроскопия (РФЭС) выявила наличие смешанных оксидов, содержащих, в основном, CeO2 с некоторой фазой Ce2O3 на поверхности.
Заключение
В данном обзоре рассмотрена литература, в основном последних лет, по актуальной теме применения графенов в суперконденсаторах. Проанализировано влияние пористой структуры графенов, влияние допирования и облучения графенов. Рассмотрены способы получения графенов, композиты графенов с оксидами, сульфидами и селенидами металлов, композиты с частицами металлов, с электронопроводящими полимерами, с MXenes, а также квантовые точки. Для различных типов графенов и их композитов приведены электрохимические характеристики.
Особенно высокие электрохимические характеристики получены для композитов графенов с полианлином, с оксидами металлов, с селенидами, с MXenes и при допировании графенов бором.
Были получены следующие максимальные величины удельной энергии: 40.5 Вт ч/кг (для NiSe2), 78.66 Вт ч/кг (для TiO2), 79.5 Вт ч/кг (для допирования бором), 1382 Вт ч/кг (полианилин).
Благодарность
Работа выполнена при финансовой поддержке Министерства науки и высшего образования Российской Федерации.
Конфликт интересов
Автор заявляет, что у него нет конфликта интересов.
About the authors
Yu. M. Volfkovich
A. N. Frumkin Institute of Physical Chemistry and Electrochemistry of the Russian Academy of Sciences
Author for correspondence.
Email: yuvolf40@mail.ru
Russian Federation, Moscow
References
- Pandolfo, A.G. and Hollenkamp, A.F., Carbon properties and their role in supercapacitors, J. Power Sources, 2006, vol. 157, p. 11.
- Dhaka, T.P., Chapter 8 – Simple Parallel-Plate Capacitors to High–Energy Density Future Supercapacitors: A Materials Review (Carbide–Derived Carbon – an overview), Emerging Mater. for Energy Conversion and Storage, 2018, p. 247.
- Chee, W.K., Lim, W.K., Zainal, H.N, Huang, Z., Harrison, N.M., and Andou, Y., Flexible Graphene-Based Supercapacitors: A Review, J. Phys. Chem. C, 2016, vol. 120, p. 4153.
- Hussain, N., Abbas, Z., and Nabeela, K., Free-standing metal–organic frameworks on electrospun core–shell graphene nanofibers for flexible hybrid supercapacitors, J. Mater. Chem. A, 2024. https://doi.org/10.1039/D4TA02221A
- Karim, G.M., Dutta, P., Majumdar, A., Patra, A., and Deb, S.K., Ultra-fast electro-reduction and activation of graphene for high energy density wearable supercapacitor asymmetrically designed with MXene, Carbon, 2023, vol. 23, p. 191.
- Liu, L., Xie, Z., Du, X., Yu, D., Yang, B., Li, and Liu, X., Large-scale mechanical preparation of graphene containing nickel, nitrogen and oxygen dopants as supercapacitor electrode materia, Chem. Engineering J., 2022, vol. 430, 132815.
- Xiaoshan, L., Ruiyi, L., Zaijun, L., and Yongqiang, Y., Construction of advanced Nb9VO25 electrode material by introducing graphene quantum dot for high energy supercapacitors with exceptionally high diffusive, J. Industrial and Engineering Chem., 2024. https://doi.org/10.1016/j.jiec.2024.06.036
- Haridas, H., Kader, A.K., and Sellathurai, A., Noncovalent functionalization of graphene nanoplatelets and their applications in supercapacitors, ACS Appl. Mater. Interfaces, 2024, vol. 16, p. 16630. https://doi.org/10.1021/acsami.3c18174
- Morenghi, A., Scaravonati, S., Magnani, G., and Sidoli, M., Asymmetric supercapacitors based on nickel decorated graphene and porous graphene electrodes, Electrochim. Acta, 2022, vol. 424, p. 140626.
- Liu, B., Zhang, Q., Zhang, L., Xu, C., and Pan, Z., Electrochemically exfoliated chlorine doped graphene for flexible all solid state microsupercapacitors with high volumetric energy density, Advanced Mater., 2022, vol. 34, p. 2106309.
- Mohanty, G.C., Gowda, C.C., and Gakhad, P., Enhanced energy density of high entropy alloy (Fe-Co-Ni-Cu-Mn) and green graphene hybrid supercapacitor, Energy Storage, 2024, vol. 6, p. e668. https://doi.org/10.1002/est2.668
- Tyagaraj, H.B., Mahamiya, V., and Marje, S.J., Waste-to-Energy Material: Winery-Waste Derived Heteroatoms Containing Graphene-like Porous Carbon for High-Voltage Supercapacitor, Mater. Today Sustainability, 2024, p. 100901. https://doi.org/10.1016/j.mtsust.2024.100901
- Mohamed, N.B. and El Kady, M.F., Macroporous graphene frameworks for sensing and supercapacitor applications, Advanced Functional Mater., 2022, vol. 32, p. 2203101.
- Najafi, M.D., Ehsani, A., Nabatian, M., and Hamza, Z., Advanced Supercapacitor Electrodes: Synthesis and Electrochemical Characterization of Graphene xide–Bismuth Metal–Organic Framework Composites for, Electrochim. Acta, 2024, p. 144636. https://doi.org/10.1016/j.electacta.2024.144636
- Subrahmanian, S.K. and Palliyal, K.V., In-situ green gram scale synthesis of carbon sphere/graphene for high-performance supercapacitors, Nano-Structures & Nano-Objects, 2024, vol. 37, p. 101107. https://doi.org/10.1016/j.nanoso.2024.101107
- Shi, Z. Sun, G., Yuan, R., Chen, W., Wang, Z., and Zhang, L., Scalable fabrication of NiCo2O4/reduced graphene oxide composites by ultrasonic spray as binder-free electrodes for supercapacitors with ultralong lifetime, J. Mater. Sci. & Technol., 2022, vol. 99, p. 260.
- Mupit, M., Islam, M.R., Azam, M.A., and Yunus, R., Magnetic particle-filled polyaniline-doped graphene oxide nanocomposite-based electrode in application of supercapacitor, Energy & Fuels, 2024, vol. 35. https://doi.org/10.1177/0958305X221145
- Hoque, M.I., Donne, S.W., and Holze, R., Graphene Nanocomposite Materials for Supercapacitor Electrodes, Encyclopedia, 2024, vol. 4, p. 101. https://doi.org/10.3390/encyclopedia4010009
- Kalicharan, A., Pitchaimani, J., and Kanna, C.B., Green Chemistry Approach for One Step Synthesis of Iodinated Graphene Material for Supercapacitor Applications, Chem. Europe, 2024, vol. 9, e202400820.
- Ahmad, F., Zahid, M., Jamil, H., Khan, M.A., and Atiq, S., Advances in graphene-based electrode materials for high-performance supercapacitors: a review, J. Energy Storage, 2023, vol. 72, p. 108731.
- Smaisim, G.F., Abed, A.M., Al-Madhhachi, H., and Hadrawi, S.K., Graphene-Based Important Carbon Structures and Nanomaterials for Energy Storage Applications as Chemical Capacitors and Supercapacitor Electrodes: A Review, BioNanoSci., 2023, vol. 13, p. 219.
- Kumar, R., Sahoo, S., Joanni, E., Singh, R.K., and Yadav, R.M., Graphene-metal oxide hybrid materials with 2D and 3D morphologies for advanced supercapacitor electrodes: status, challenges and prospects, Mater. Today Nano, 2023, vol. 24, 100399.
- Mousavi, S.M., Hashemi, S.A., and Kalashgrani, M.Y., Recent advances in energy storage with graphene oxide – for supercapacitor technology, Sustainable Energy Fuels, 2023, vol. 7, p. 5176.
- Xia, C., Ren, T., Darabi, R., and Shabani-Nooshabadi, M., Spotlighting the boosted energy storage capacity of CoFe2O4/Graphene nanoribbons: A promising positive electrode material for high-energy-density asymmetric supercapacitor, Energy, 2023, vol. 270, p. 126914.
- Ran, J., Liu, Y., Feng, H., Shi, H., and Ma, Q., A review on graphene-based electrode materials for supercapacitor, J. Industrial and Engineering Chem., 2024. https://doi.org/10.1016/j.jiec.2024.03.043
- Li, Z., Xiong, Z., Pan, H., and Shang, N., Graphene Oxide-Based Aluminum Complex Ion Supercapacitor, ACS Appl. Energy Mater., 2023, vol. 6, p. 10554.
- Youssry, S.M., Abd Elkodous, M., Kumar, R., and Kawamura, G., Thermal-assisted synthesis of reduced graphene oxide-embedded Ni nanoparticles as high-performance electrode material for supercapacitor, Electrochim. Acta, 2023, vol. 463, p. 142814.
- Sayahi, H., Mehrvar, Z., Mohsenzadeh, F., and Darabi, H.R., Room-temperature defect-controlled fabrication of graphene via sustainable electrochemical exfoliation: An ultra-performance supercapacitor, J. Energy Storage, 2023, vol. 68, p. 107646.
- Anagbonu, P., Ghali, M., and Allam, A., Low-temperature green synthesis of few-layered graphene sheets from pomegranate peels for supercapacitor applications, Sci. Rep., 2023, vol. 13, p. 15627.
- Méndez-Reséndiz, A. and Méndez-Romero, U.A., Highly crystalline selectively oxidized graphene for supercapacitors, FlatChem, 2023, vol. 38, vol. 201, p. 100483.
- Peng, Q., Tan, X., Venkataraman, M., and Militký, J., Application of Graphene in Supercapacitor and Wearable Sensor, Advanced Structured Mater., 2023, vol. 201. https://doi.org/10.1007/978-981-99-6002-6_3
- Zhou, Q., Wang, L., Ju, W., Su, D., Zhu, J., Yong, Y., and Wu, S., Quantum capacitance of graphene-like/graphene heterostructures for supercapacitor electrodes, Electrochim. Acta, 2023, vol. 461, p. 142655.
- Wu, C., Zhu, J., Zhang, B., Shi, H., Zhang, H., and Yuan, S., Efficient pH-universal aqueous supercapacitors enabled by an azure C-decorated N-doped graphene aerogel, J. Colloid and Interface Sci., 2023, vol. 650, p. 1871.
- He, M., Wu, L., Yu, A., Li, X., Guan, S., Han, Q., and Wang, H., Surface functionalization of vertical graphene significantly enhances the energy storage capability for symmetric supercapacitors, Carbon, 2024, vol. 216, p. 118511. https://doi.org/10.1016/j.carbon.2023.118511
- Bo, W., Zhang, H., Yin, G., Zhang, L., and Qin, J., Recent advances in graphene-based mesoporous nanosheets for supercapacitors, J. Carbon Res., 2023, vol. 9, p. 91. https://doi.org/10.3390/c9040091
- Madhushani, K.A. and Gupta, R.K., 3D Graphene for High-Performance Supercapacitors, Graphene: Fundamentals, Synthesis, Carbon Nanostructures. Springer, Cham., 2023. https://doi.org/10.1007/978-3-031-36249-1_16
- Kumar, R., Sahoo, S., Joanni, E., and Singh, R.K., A review on the current research on microwave processing techniques applied to graphene-based supercapacitor electrodes: An emerging approach beyond, J. Energy Chem., 2022, vol. 74, p. 252.
- Arvas, M.B., Gürsu, H, Gencten, M., and Sahin, Y., Supercapacitor applications of novel phosphorus doped graphene-based electrodes, J. Energy Storage, 2022, vol. 55, p. 105766.
- Saad, A.G., Emad-Eldeen, A., and Tawfik, W.Z., Data-driven machine learning approach for predicting the capacitance of graphene-based supercapacitor electrodes, J. Energy Storage, 2022, vol. 55, p. 105411.
- Zhu, S., Zhang, F., Lu, H.G., Sheng, J., and Wang, L., Flash nitrogen-doped graphene for high-rate supercapacitors, ACS Mater. Lett., 2022, vol. 4, p. 1863.
- Li, X., Li, Y., Zhao, X., Kang, F., and Dong, L., Elucidating the charge storage mechanism of high-performance vertical graphene cathodes for zinc-ion hybrid supercapacitors, Energy Storage Mater., 2022, vol. 53, p. 505.
- Ibrahim, M., Abdelhamid, H.N., and Abuelftooh, A.M., Covalent organic frameworks (COFs)-derived nitrogen-doped carbon/reduced graphene oxide nanocomposite as electrodes materials for supercapacitors, J. Energy Storage, 2022, vol. 55, p. 105375.
- Athanasiou, M., Yannopoulos, S.N., and Ioannides, T., Biomass-derived graphene-like materials as active electrodes for supercapacitor applications: A critical review, Chem. Engineering J., 2022, vol. 446, p. 137191.
- Sawant, S.A., Patil, A.V., Waikar, M.R., and Rasal, A.S., Advances in chemical and biomass-derived graphene/graphene-like nanomaterials for supercapacitors, J. Energy Storage, 2022, vol. 51, p. 104445.
- Shulga, Yu.M., Baskakova, S.A., Baskakova, Yu.V., Lobach, A.S., Kabachkov, Volfkovich, Yu.M., Sosenkin, V.E., Shulga, N. Yu., Nefedkin, S.I., Kumar, Y., and Michtchenko, A., Preparation of graphene oxide-humic acid composite-based ink for printing thin film electrodes for micro-supercapacitors, J. Alloys and Compounds, 2018, vol. 730, p. 88.
- Shulga, Yu.M., Baskakov, S.A., Baskakova, Y.V., Lobach, A.S., Volfkovich, Yu.M., Sosenkin, N.Y., Shulga, Parkhomenko, Y.N., Michtchenko, A., and Kumar, Y., Hybrid porous carbon materials derived from composite of humic acid, Microporous and Mesoporous Mater., 2017, vol. 245, p. 24.
- Kryazhev, Yu.G., Volfkovich, Yu.M., Mel’nikov, V.P., Rychagov, A. Yu., Trenikhin, M.V., Solodovnichenko, V.S., and Likholobov, V.A., Synthesis and study of electrochemical properties of nanocomposites with graphene-like particles integrated into a high-porosity carbon matrix, Protection Metals and Phys. Chem. Surfaces, 2017, vol. 53, p. 422.
- Shulga, Yu.M., Baskakov, S.A.,.Baskakova, Yu.V., Volfkovich, Yu.M., Shulga, N. Yu., Skryleva, E.A., Parkhomenko, Y.N., Belay, K.G., Gutsev, G.L., Rychagov, A.Y., Sosenkin, V.E., and Kovalev, I.D., Supercapacitors with graphene oxide separators and reduced graphite oxide electrodes, J. Power Sources, 2015, vol. 279, p. 722.
- Ke, Q. and Wang, J., Graphene-based materials for supercapacitor electrodes. A review, J. Materiomics, 2016, vol. 2, p. 37.
- Lee, H. and Lee, K.S., Interlayer distance controlled graphene, supercapacitor and method of producing the same, US Patent 10, 214, 422 B2, 2019.
- Yang, X., Cheng, C., Wang, Y., Qiu, L., and Li, D., Liquid-Mediated Dense Integration of Graphene Materials for Compact Capacitive Energy Storage, Science, 2013, vol. 341, p. 534.
- Aboutalebi, H., Chidembo, A.T., Salari, M., Konstantinov, K., Wexler, D., Liu, H.K., and Dou, S.X., Comparison of GO, GO/MWCNTs composite and MWCNTs as potential electrode materials for supercapacitors, Energy Environ. Sci., 2011, vol. 4, p. 1855.
- Zhong, M., Song, Y., Li, Y., Ma, C., Zhai, X., Shi, J., Guo, Q., and Liu, L., Effect of reduced graphene oxide on the properties of an activated carbon cloth/polyaniline flexible electrode for supercapacitor application, J. Power Sources, 2012, vol. 217, p. 6.
- Sun, D., Yan, X., Lang, J., and Xue, Q., High performance supercapacitor electrode based on graphene paper via flame-induced reduction of graphene oxide paper, J. Power Sources, 2013, vol. 222, p. 52.
- Zhou, Z. and Wu, X.F., Graphene-beaded carbon nanofibers for use in supercapacitor electrodes: Synthesis and electrochemical characterization, J. Power Sources, 2013, vol. 222, p. 410.
- Mohammadi, A., Arsalani, N., Tabrizi, A.G., Moosavifard, S.E., Naqshbandi, Z., and Ghadimi L. S., Engineering rGO-CNT wrapped Co3S4 nanocomposites for high-performance asymmetric supercapacitors, Chem. Engineering J., 2018, vol. 334, p. 66.
- Smirnov, V.A., Denisov, N.N., Dremova, N.N., Volfkovich, Yu.M., Rychagov, A. Yu., Sosenkin, V.E., Belay, K.G., Gutsev, G.L., Shulga, N. Yu., and Shulga, Yu.M., A comparative analysis of graphene oxide films as proton conductors, Appl. Phys. A, 2014, vol. 117, p. 1859.
- Volfkovich, Yu.M., Lobach, A.S., Spitsyna, N.G., Baskakov, S.A., Sosenkin, V.E., Rychagov, A. Yu., Kabachkov, E.N., Sakars, A., Michtchenko, A., and Shulga, Yu.M., Hydrophilic and Hydrophobic Pores in Reduced Graphene Oxide Aerogel, J. Porous Mater., 2019, vol. 26, p. 1111.
- Rychagov, A.Yu., Volfkovich, Yu.M., Vorotyntzev, M.A., Kvacheva, L.D., Konev, D.V., Krestinin, A.V., Kryazhev, Yu.G., Kuznetzov, V.L., Kukushkina, Yu.A., Mukhin, V.M., Sokolov, V.V., and Chervonobrodov, S.P., Promising Electrode Materials for Supercapacitors, Electrochemical Energetiks.
- Yang, Z., Tian, J., Yin, Z., Cui, C., Qian, W., and Wei, F., Carbon nanotube and graphene-based nanomaterials and applications in high-voltage supercapacitor: A review, Carbon, 2019, vol. 141, p. 467.
- Volfkovich, Yu.M., Rychagov, A. Yu., Sosenkin, V.E., Efimov, O.N., Os’makov, M.I., and Seliverstov, A.F., Measuring the Specific Surface Area of Carbon Nanomaterials by Different Methods, Russ. J. Electrochem., 2014, vol. 50, p. 1099.
- Eftekhari, A., Shulga, Y.M., Baskakov, S.A., and Gutsev, G.L., Graphene oxide membranes for electrochemical energy storage and conversion. Intern, J. Hydrogen Energy, 2018, vol. 43, p. 2307.
- Liu, H., Wang, Y., Gou, X., Qi, T., Yang, J., and Ding, Y., Three-dimensional graphene/polyaniline composite material forhigh-performance supercapacitor applications, Mater. Sci. and Engineering B, 2013, vol. 178, p. 293.
- Inagaki, M., Konno, H., and Tanaike, O., Carbon materials for electrochemical capacitors, J. Power Sources, 2010, vol. 195, p. 7880.
- Vivekchand, S.R., Rout, C.S., and Subrahmanyam, K.S., Graphene-based electrochemical supercapacitors, J. Chem. Sci., 2008, vol. 120, p. 9.
- Šedajová, V., Jakubec, P., Bakandritsos, A., and Ranc, V., New limits for stability of supercapacitor electrode material based on graphene derivative, Nanomaterials, 2020, vol. 10, p. 1731.
- Khakpour, I., Rabiei, and Baboukani, A., Bipolar exfoliation and in situ deposition of high-quality graphene for supercapacitor application, ACS Appl. Energy Mater., 2019, vol. 2, p. 4813.
- Malik, M.T., Sarker, A., and Rahat, S.M., Performance enhancement of graphene/GO/rGO based supercapacitors: A comparative review, Mater. Today, 2021, vol. 28, p. 102685.
- Liu, C., Yu, Z., Neff, D., Zhamu, A., and Jang, B.Z., Graphene-based supercapacitor with an ultrahigh energy density, Nano Lett., 2010, vol. 10, p. 4863.
- Li, H., Tao, Y., Zheng, X., Luo, J., and Kang, F., Ultra-thick graphene bulk supercapacitor electrodes for compact energy storage, Energy Environ. Sci., 2016, vol. 9, p. 3135.
- Zhang, H., Yang, D., Lau, A., Ma, T., Lin, H., and Jia, B., Hybridized graphene for supercapacitors: Beyond the limitation of pure graphene, Small, 2021, vol. 17, p. 2007311.
- Ho, B.T., Lim, T.G., Jeong, M.H., and Suk, J.W., Graphene fibers containing activated graphene for high-performance solid-state flexible supercapacitors, ACS Appl. Energy Mater., 2021, vol. 4, p. 8883.
- Sarada, K.B.V., Varadaraju, U.V., and Rao, T.N., A novel approach to synthesize porous graphene sheets by exploring KOH as pore inducing agent as well as a catalyst for supercapacitors with ultra-fast rate capability, Renewable Energy, 2021, vol. 172, p. 502.
- An, N., Guo, Z., Xin, J., He, Y., Xie, K., and Sun, D., Hierarchical porous covalent organic framework/graphene aerogel electrode for high-performance supercapacitors, J. Mater. Chem. А, 2021, vol. 9, p. 16824.
- Yan, Z., Gao, Z., Zhang, Z., Dai, C., Wei, W., and Shen, P.K., Graphene nanosphere as advanced electrode material to promote high performance symmetrical supercapacitor, Small, 2021, vol. 17, p. 2007915.
- Kim, J., Eum, J.H., Kang, J., Kwon, O., Kim, H., and Kim, D.W., Tuning the hierarchical pore structure of graphene oxide through dual thermal activation for high-performance supercapacitor, Sci. Rep., 2021, vol. 11, p. 2063.
- Iakunkov, A., Skrypnychuk, V., and Nordenström, A., Activated graphene as a material for supercapacitor electrodes: Effects of surface area, pore size distribution and hydrophilicity, Phys. Chem.Chem. Phys., 2019, vol. 21, p. 17901.
- Nomura, K., Nishihara, H., and Kobayashi, N., V supercapacitors based on super-stable mesoporous carbon sheet made of edge-free graphene walls, Energy Environ. Sci., 2019, vol. 12, p. 1542.
- Sun, D., Yu, X., Ji, X., Sun, Z., and Sun, D., Nickel/woodceramics assembled with lignin-based carbon nanosheets and multilayer graphene as supercapacitor electrode, J. Alloys and Compounds, 2019, vol. 805, p. 327.
- Obeidat, A.M., Luthra, V., and Rastogi, A.C., Solid-state graphene-based supercapacitor with high-density energy storage using ionic liquid gel electrolyte: electrochemical properties and performance in storing solar electricity, J. Solid State Electrochem., 2019, vol. 23, p. 1667.
- Xiong, C., Li, B., Lin, X., Liu, H., Xu, Y., Mao, J., and Duan, C., The recent progress on three-dimensional porous graphene-based hybrid structure for supercapacitor, Composites Part B: Engineering, 2019, vol. 165, p. 10.
- Huang, Y., Shi, Y., Gong, Q., Weng, M., Li, Y., and Gan, J., Scalable preparation of hierarchical porous activated carbon/graphene composites for high-рerformance supercapacitors, J. Mater. Chem. А, 2019, vol. 7, p. 10058.
- Wang, K., Li, L., Zhang, T., and Liu, Z., Nitrogen-doped graphene for supercapacitor with long-term electrochemical stability, Energy, 2014, vol. 70, p. 612.
- Gorenskaia, E.N. and Kholkhoev, B.C., Hydrothermal synthesis of N-doped graphene for supercapacitor electrodes, J. Nanosci. and Nanotechnol., 2020, vol. 20, p. 3258.
- Karaman, K., Bayram, E., and Aktash, O., Preparation of high surface area graphene doped with nitrogen to evaluate the influence of morphological properties and nitrogen content on supercapacitors, J. Electroanal. Chem., 2020, vol. 868, p. 114197.
- Elessawy, N.A., Nady, J.E., Wazeer, W., and Kashyout, A.B., Development of high-performance supercapacitor based on a novel controllable green synthesis for 3D nitrogen doped graphene, Sci. Rep., 2019, vol. 9, p. 1129.
- Huang, T., Chu, X., Cai, S., Yang, Q., Chen, H., and Liu, Y., Tri-high designed graphene electrodes for long cycle-life supercapacitors with high mass loading, Energy Storage Mater., 2019, vol. 17, p. 349.
- Zhao, T., Yang, D., Xu, T., and Zhang, M., Cold Resistant Nitrogen/Sulfur Dual Doped Graphene Fiber Supercapacitors with Solar–Thermal Energy Conversion Effect, Chemistry A Europ. J., 2021, vol. 27, p. 3473.
- Cao, L., Li, H., Liu, X., Liu, S., Zhang, L., Xu, W., and Yang, H., Nitrogen, sulfur co-doped hierarchical carbon encapsulated in graphene with “sphere-in-layer” interconnection for high-performance supercapacitor, J. Colloid and Interface Sci., 2021, vol. 599, p. 443.
- Moreno-Fernández, G. and Gómez-Urbano, J.L., Flat-shaped carbon–raphene microcomposites as electrodes for high energy supercapacitors, J. Mater. Chem. А, 2019, vol. 7, p. 14646.
- Li, J., Li, X., Xiong, D., Wang, L., and Li, D., Enhanced capacitance of boron-doped graphene aerogels for aqueous symmetric supercapacitors, Appl. Surface Sci., 2019, vol. 475, p. 285.
- Cui, D., Li, H., Li, M., Li, C., Qian, L., and Zhou, B., Boron-doped graphene directly grown on boron-doped diamond for high-voltage aqueous supercapacitors, ACS Appl. Energy Mater., 2019, vol. 2, p. 1526.
- Arvas, M.B., Gürsu, H., Gencten, M., and Sahin, Y., Preparation of different heteroatom doped graphene oxide based electrodes by electrochemical method and their supercapacitor applications, J. Energy Storage, 2021, vol. 35, 102328.
- Xu, Q., Yang, G., Fan, X., and Zheng, W., Improving the quantum capacitance of graphene-based supercapacitors by the doping and co-doping: first-principles calculations, ACS Omega, 2019, vol. 4, p. 13209.
- Athanasiou, M., Samartzis, N., Sygellou, L., and Dracopoulos, V., High-quality laser-assisted biomass-based turbostratic graphene for high-performance supercapacitors, Carbon, 2021, vol. 172, p. 750.
- Hamra, A.A., Lim, H.N., and Huang, H.N., Microwave exfoliated graphene-based materials for flexible solid-state supercapacitor, J. Molec. Structure, 2020, vol. 1220, p. 128710.
- Yang, D. and Bock, C., Laser reduced graphene for supercapacitor applications, J. Power sources, 2017, vol. 337, p. 73.
- Le Fevre, L.W., Cao, J., Kinloch, I.A., and Forsyth, A.J., Systematic comparison of graphene materials for supercapacitor electrodes, Chem. Open, 2019, vol. 8, p. 418.
- Singh, A. and Ojha, A.K., Coal derived graphene as an efficient supercapacitor electrode material, Chem. Physics, 2020, vol. 530, p. 110607.
- Karakoti, M., Pandey, S., and Jangra, R., Waste plastics derived graphene nanosheets for supercapacitor application, Materials and Manufacturing Proc. Mater., 2021, vol. 36, p. 171.
- Pandey, S., Karakoti, M., Surana, K., and Dhapola, P.S., Graphene nanosheets derived from plastic waste for the application of DSSCs and supercapacitors, 2021, Sci. Rep., vol. 11, p. 3916.
- Tamilselvi, R., Ramesh, M., Lekshmi, G.S., and Bazaka, O., Graphene oxide-based supercapacitors from agricultural wastes: A step to mass production of highly efficient electrodes for electrical transportation systems, Renewable Energy, 2020, vol. 151, p. 731.
- Xiong, C. and Li, B., Carbonized wood cell chamber-reduced graphene oxide@PVA flexible conductive material for supercapacitor, strain sensing and moisture-electric generation applications, Chem. Engineering J., 2021, vol. 15, 129518.
- Xing, J., Tao, P., Wu, Z., Xing, C., Liao, X., and Nie, S., Nanocellulose-graphene composites: A promising nanomaterial for flexible supercapacitors, Carbohydrate Polymers, 2019, vol. 207, p. 447.
- Peng, X., Cao, H., Qin, Z., Zheng, C., Zhao, M., Liu, P.Z., and Xu, B., A simple and scalable strategy for preparation of high density graphene for high volumetric performance supercapacitors, Electrochim. Acta, 2019, vol. 305, p. 56.
- Bellani, S., Petroni, E., and Del Rio Castillo, A.E., Scalable production of graphene inks via wet-jet milling exfoliation for screen-printed microsupercapacitors, Advanced Functional Mater., 2019, vol. 29, p. 1807659.
- Mensing, J.P., Lomas, T., and Tuantranont, A., 2D and 3D printing for graphene based supercapacitors and batteries: A review, Sustainable Mater. and Technol., 2020, vol. 25, p. 190.
- Nandi, D., Mohan, V.B., and Bhowmick, A.K., Metal/metal oxide decorated graphene synthesis and application as supercapacitor: a review, J. Mater. Sci., 2020, vol. 55, p. 63752020.
- Choi, H., Nguyen, P.T., Van Tran, P.T., and In, J.B., Micro-patterned metal current collectors for high aspect ratio flexible graphene supercapacitors, Appl. Surface Sci., 2020, vol. 510, 145432.
- Zhou, Y., Cheng, X., Huang, F., Sha, Z., Han, Z, and Chen, J., Hierarchically structured electrodes for moldable supercapacitors by synergistically hybridizing vertical graphene nanosheets and MnO2, Carbon, 2021, vol. 172, p. 272.
- Sha, Z., Huang, F., Zhou, Y., Zhang, J., Wu, S., and Chen, J., Synergies of vertical graphene and manganese dioxide in enhancing the energy density of carbon fibre-based structural supercapacitors, Composites Sci. and Technol., 2021, vol. 201, p. 108568.
- Mane, V.J., Kale, S.B., Ubale, S.B., and Lokhande, V.C., Enhanced specific energy of silver-doped MnO2/graphene oxide electrodes as facile fabrication symmetric supercapacitor device, Mater. Today Chem., 2021, 20, p. 100473.
- Ashourdan, M., Semnani, A., and Hasanpour, F., Synthesis of CuMnO2/graphene quantum dot nanocomposites as novel electrode materials for high performance supercapacitors, J. Energy Storage, 2021, vol. 36, p. 102449.
- Fornasini, L., Scaravonati, S., Magnani, G., and Morenghi, A., In situ decoration of laser-scribed graphene with TiO2 nanoparticles for scalable high-performance micro-.supercapacitors, Carbon, 2021, vol. 176, p. 296.
- El-Gendy, D.M., Ghany, N.A., and Allam, N.K., Black titania nanotubes/spongy graphene nanocomposites for high-performance supercapacitors, RSC advances, 2019, vol. 9, 12555.
- Jiang, D., Zheng, M., You, Y., Li, F., Yuan, H., and Zhang, W., β-Ni(OH)2/nickel-cobalt layered double hydroxides coupled with fluorine-modified graphene as high-capacitance supercapacitor electrodes with improved cycle life, J. Alloys and Compounds, 2021, vol. 875, p. 159929.
- Sethi, M., Shenoy, U.S., and Bhat, D.K., Simple solvothermal synthesis of porous graphene-NiO nanocomposites with high cyclic stability for supercapacitor application, J. Alloys and Compounds, 2021, vol. 854, p. 157190.
- Gao, X., Zhang, H., Guo, E., Yao, F., Wang, Z., and Yue, H., Hybrid two-dimensional nickel oxide-reduced graphene oxide nanosheets for supercapacitor electrodes, Microchem. J., 2021, vol. 164, p. 105979.
- Le, K., Wang, Z., Wang, F., Wang, Q., and Shao, Q., Sandwich-like NiCo layered double hydroxide/reduced graphene oxide nanocomposite cathodes for high energy density asymmetric supercapacitors, Dalton Trans., 2019, vol. 48, p. 5193.
- Kharangarh, P.R., Ravindra, N.M., and Rawal, R., Graphene quantum dots decorated on spinel nickel cobaltite nanocomposites for boosting supercapacitor electrode material performance, J. Alloys and Compounds, 2021, vol. 876, 159990.
- Thalji, M.R., Ali, G.A., Liu, P., and Zhong, Y.L., W18O49 nanowires-graphene nanocomposite for asymmetric supercapacitors employing AlCl3 aqueous electrolyte, Chem. Engineering J., 2021, vol. 409, p. 128216.
- Lee, S.M., Park, Y.J., Kim, J.H., and Lee, K., Effects of annealing on electrochemical performance in graphene/V2O5 supercapacitor, Appl. Surface Sci., 2020, vol. 512, p. 145626.
- Fu, M., Zhuang, Q., Zhu, Z., Zhang, Z., Chen, W., and Liu, Q., Facile synthesis of V2O5/graphene composites as advanced electrode materials in supercapacitors, J. Alloys and Compounds, 2021, vol. 862, p. 158006.
- Zhu, C., Dong, X., Mei, X., Gao, M., Wang, K., and Zhao, D., General fabrication of metal oxide nanoparticles modified graphene for supercapacitors by laser ablation, Appl. Surface Sci., 2021, vol. 568, p. 150978.
- Zhang, J., Zhang, Z., Jiao, Y., Yang, H., Li, Y., and Zhang, J., The graphene/lanthanum oxide nanocomposites as electrode materials of supercapacitors, J. Power Sources, 2019, vol. 419, p. 99.
- Kasap, S., Kaya, I.I., Repp, S., and Erdem, E., Superbat: battery-like supercapacitor utilized by graphene foam and zinc oxide (ZnO) electrodes induced by structural defects, Nanoscale Advances, 2019, vol. 1, p. 2586.
- Ning, J., Xia, M., Wang, D., Feng, X., Zhou, H., and Zhang, J., Ni3Si2/NiOOH/Graphene Nanostructure for an All-Solid-State Supercapacitor, Nano-Micro Letters, 2021, vol. 13, p. 2.
- Shahi, M., Hekmat, F., and Shahrokhian, S., Hybrid supercapacitors constructed from double-shelled cobalt-zinc sulfide/copper oxide nanoarrays and ferrous sulfide/graphene oxide nanostructures, J. colloid and interface, 2021, vol. 585, p. 750.
- Yuan, M., Luo, F., Rao, Y., Yu, J., Wang, Z., Li, H., and Chen, X., SWCNT-bridged laser-induced graphene fibers decorated with MnO2 nanoparticles for high-performance flexible micro-supercapacitors, Carbon, 2021, vol. 183, p. 128.
- Lien, C.W., Vedhanarayanan, B., Chen, J.H., and Lin, J.Y., Optimization of acetonitrile/water content in hybrid deep eutectic solvent for graphene/MoS2 hydrogel-based supercapacitors, Chem. Engineering J., 2021, vol. 405, p. 126706.
- Hao, J., Liu, H., Han, S., and Lian, J., MoS2 Nanosheet-Polypyrrole Composites Deposited on Reduced Graphene Oxide for Supercapacitor Applications, ACS Appl. Nano Mater., 2021, vol. 4, p. 2339.
- Xie, B., Yu, M., Lu, L., Feng, H., Yang, Y., Chen, Y., and Cui, H., Pseudocapacitive Co9S8/graphene electrode for high-rate hybrid supercapacitors, Carbon, 2019, vol. 141, p. 134.
- Sitaaraman, S.R., Santhosh, R., Kollu, P., and Jeong, S.K., Diamond and Related Mater., 2020, vol. 108, p. 107983.
- Moosavifard, S.E., Mohammadi, A., and Darzi, M.E., A facile strategy to synthesis graphene-wrapped nanoporous copper-cobalt-selenide hollow spheres as an efficient electrode for hybrid supercapacitors, Chem. Engineering J., 2021, vol. 415, p. 128662.
- Gu, Y., Fan, L.Q., Huang, J.L., Geng, C.L., and Lin, J.M., N-doped reduced graphene oxide decorated NiSe2 nanoparticles for high-performance asymmetric supercapacitors, J. Power Sources, 2019, vol. 425, p. 60.
- Huang, Q., Yang, Y., Chen, R., and Wang, X., High performance fully paper-based all-solid-state supercapacitor fabricated by a papermaking process with silver nanoparticles and reduced graphene oxide-modified pulp fibers, EcoMat, 2021, vol. 3, p. 12076.
- Karami, Z., Youssefi, M., Raeissi, K., and Zhiani, M., An efficient textile-based electrode utilizing silver nanoparticles/reduced graphene oxide/cotton fabric composite for high-performance wearable supercapacitors, Electrochim. Acta, 2021, vоl. 368, p. 137647.
- Conway, B., Electrochemical Supercapacitors: Scientific Fundamentals and Technological Applications, Berlin: Springer Science & Business Media, Germany, 2013.
- Bagotsky, V.S., Skundin, A.M., and Volfkovich, Yu.M., Electrochemical Power Sources. Batteries, Fuel Cells, Supercapacitors. N.J.: Jhon Wiely & Sons Inc. Publisher, 2015.
- Snook, G.A., Kao, P., and Best, A.S., Conducting-polymer-based supercapacitor devices and electrodes, J. Power Sources, 2011, vol. 196, p. 1.
- Peng, C., Zhang, S., Jewell, D., and Chen, G.Z., Carbon nanotube and conducting polymer composites for supercapacitors, Progress in Natural Sci., 2008, vol. 8, p. 777.
- Huang, Z., Li, L., Wang, Y., Zhang, C., and Liu, T., Polyaniline/graphene nanocomposites towards high-performance supercapacitors: A review, Composites Commun., 2018, vol. 8, p. 83.
- Wang, J., Xu, Y., Chen, X., and Sun, X., Capacitance properties of single wall carbonnanotube/polypyrrole composite films, Composites Sci. and Technol., 2007, vol. 67, p. 2981.
- Kim, B.C., Kwon, J.S., Ko, J.M., Park, J.H., Too, C.O., and Wallace, G.G., Preparation and enhanced stability of flexible supercapacitor prepared from Nafion/polyaniline nanofiber, Synthetic Metals, 2010, vol. 160, p. 94.
- Cong, H.P., Ren, X.C., Wang, P., and Yu, S.H., Flexible graphene–polyaniline composite paper for high-performance supercapacitor, Energy Environ. Sci., 2013, vol. 6. p. 1185.
- Qin, W., Jian-ling, L., Fei, G., Wen-sheng, L., Ke-zhong, W., and Xin-dong, W., Poly(ethylenedioxythiophene) (PEDOT) as polymer electrode in redox supercapacitor, New Carbon Mater., 2008, vol. 1, p. 275.
- Cai, J.J., Kong, L.B., Zhang, J., Luo, Y.C., and Kang, L., A novel polyaniline/mesoporous carbon nano-composite electrode for asymmetric supercapacitor, Chinese Chem. Letters, 2010, vol. 21, p. 1509.
- Yang, M., Cheng, B., Song, H., and Chen, X., Preparation and electrochemical performance of polyaniline-based carbon nanotubes as electrode material for supercapacitor, Electrochim. Acta, 2010, vol. 55, p. 7021.
- Fang, Y., Liu, J., Yu, D.J., Wicksted, J.P., Kalkan, K., Topal, C.Q., Flanders, B.N., Wu, J., and Li, J., Self-supported supercapacitor membranes: Polypyrrole-coated carbon nanotube networks enabled by pulsed electrodeposition, J. Power Sources, 2010, vol. 195, p. 674.
- Vorotyntsev, M.A., Konev, D.V., Devillers, Ch.H., Bezverkhyy, I., and Heintz, Electroactive polymeric material with condensed structure on the basis of magnesium (II) polyporphine, Electrochim. Acta, 2011, vol. 56, p. 3436.
Supplementary files
Note
2 Based on the materials of the lecture at the 17th International Meeting “Fundamental and Applied Problems of Solid State Ionics”, Chernogolovka, June 16–23, 2024.















