Investigation of the properties of soft carbons and graphite by electrochemical impedance spectroscopy. Analysis of the distribution function of relaxation times
- Authors: Kolosnitsyn D.V.1, Kuzmina E.V.1, Egorova N.V.1, Kolosnitsyn V.S.1
-
Affiliations:
- Ufa Federal Research Centre of the Russian Academy of Sciences
- Issue: Vol 60, No 12 (2024): Special issue “Electrochemistry-2023”, part 3
- Pages: 826–840
- Section: Articles by participants of the All-Russian Conference “Electrochemistry-2023” (Moscow, October 23–26, 2023)
- URL: https://ogarev-online.ru/0424-8570/article/view/284483
- DOI: https://doi.org/10.31857/S0424857024120035
- EDN: https://elibrary.ru/NNFXGL
- ID: 284483
Cite item
Full Text
Abstract
In this work, using the Distribution of Relaxation Times (DRT) function, we analyzed the changes in the electrochemical impedance spectra of lithium-carbon cells during cathodic polarization of a carbon electrode. Soft carbon and graphite were studied as carbon materials. It is shown that the analysis of electrochemical impedance spectra of lithium-carbon cells using the distribution function of relaxation times allows us to establish the number of electrochemical elements and calculate their parameters. Application of DRT functions for modeling of electrochemical impedance showed that there are 8 electrochemical elements in lithium-carbon cells and allowed to quantify their parameters. The obtained results are in good agreement with theoretical ideas about the structure of carbon materials and electrochemical processes occurring during their polarization. The analysis of electrochemical impedance spectra of lithium-carbon cells using the relaxation time distribution function is a more objective method compared to the method of equivalent electrical circuits.
Keywords
Full Text
Введение
Разупорядоченные углероды (РУ) являются перспективными материалами для отрицательных электродов литий-ионных и пост-литий-ионных аккумуляторов. Из-за особенностей своей структуры РУ имеют более высокую электрохимическую емкость [1] по сравнению с графитом. Так, при катодной поляризации РУ в дополнение к интеркаляции катионов лития в межслоевое пространство графитовых структур также происходит их адсорбция в нанопорах, пустотах и дефектах [2, 3]. Благодаря более широкому диапазону потенциалов (1.5–0 В) обратимой электрохимической интеркаляции лития в разупорядоченные углероды, возможность выделения металлического лития при катодной поляризации может быть сведена к нулю [4]. Более того, РУ способны к обратимой интеркаляции лития при больших токовых нагрузках по сравнению с графитами [5, 6].
Спектроскопия электрохимического импеданса (СЭИ) является одним из наиболее информативных методов, позволяющих in situ исследовать закономерности процессов, протекающих в электрохимических ячейках. При проведении импедансных исследований преследуются две цели: структурная идентификация исследуемой электрохимической системы, т. е. определение ее структуры, и параметрическая идентификация – определение физических параметров компонентов системы.
Суть метода СЭИ состоит в определении комплексного передаточного коэффициента системы в широком диапазоне частот, т. е. в определении передаточной функции системы. Определяется передаточный комплексный коэффициент путем возмущения исследуемой системы, и регистрации отклика системы. Если система линейна, то сигналы на входе и на выходе будут иметь одну и ту же частоту, но будут отличаться по амплитуде и фазе.
Полученная таким способом передаточная функция будет отражать как стационарные, так и нестационарные свойства системы. В случае если система не стационарна, то ее необходимо исследовать с помощью преобразований Лапласса, в случае линейности системы можно воспользоваться более простыми преобразованиями Фурье. Найденная с помощью преобразований Фурье передаточная функция будет отражать свойства стационарной, линейной и причинно обусловленной системы.
Таким образом, при проведении импедансных исследований на исследуемую систему и условия эксперимента накладываются некоторые ограничения [7, 8]:
- Линеарезация. Достигается как путем наложения сигналов с малой амплитудой, так и ограничением нижнего диапазона частот.
- Одномерность. Все параметры системы, за исключением входа и выхода, должны поддерживаться постоянными. Достигается прежде всего путем термостатирования.
- Стационарность. Предполагает, что в системе не протекают какие-либо процессы и она не изменяется во времени.
- Причинность. Предполагает, что сигнал на выходе системы полностью обусловлен сигналом на ее входе.
- Отсутствие эффекта памяти. Исследуемая система не должна “запоминать” историю эксперимента, т. е. получаемые результаты не должны зависеть от порядка проведения измерений.
В качестве входного сигнала при СЭИ может выступать как ток, так и напряжение, а сигналом на выходе – напряжение или ток соответственно. В первом случае передаточную функцию можно рассматривать как импеданс, а во втором случае – как адмитанс.
Одним из способов проверки (хотя и достаточно дискуссионным) выполнения условия причинности является проверка с использованием соотношений Крамерса–Кронига. Невыполнение данных соотношений свидетельствует о том, что полученные данные не являются передаточной функцией, и их необходимо интерпретировать более широким образом, нежели с позиций импеданса.
Для интерпретации результатов импедансных исследований, как правило, используется метод эквивалентных электрических схем (ЭЭС) [9]. Для этого строится структурная модель исследуемого электрохимического объекта [10], которая описывает физико-химические процессы, протекающие в объекте при воздействии на него электрического тока или потенциала. Модель представляет собой электрическую схему, состоящую из идеальных электротехнических элементов (сопротивлений, конденсаторов и т. д.), каждый из которых эквивалентен, с электротехнической точки зрения, элементу исследуемой электрохимической системы.
Поскольку электрохимические системы являются объектами с распределенными параметрами, при составлении модели помимо классических элементов со средоточенными параметрами (сопротивление, конденсатор и т. д.) используют элементы с распределенными параметрами [11, 12], такие как диффузионный импеданс (элемент Варбурга, конечный диффузионный импеданс), элемент постоянной фазы (CPE – Constant Phase Element), конченый элемент постоянной фазы, NUD1, NUC2, NUP3. Наиболее часто используемыми элементами при составлении ЭЭС являются элемент постоянной фазы и элемент Варбурга (который, с математической точки зрения, является частным случаем элемента постоянной фазы).
Элемент постоянной фазы используется как формальная модель, которая хорошо аппроксимирует импеданс объекта сложной физической природы [7]. Сложная физическая природа исследуемого объекта может быть объяснена дисперсией постоянных времени (τ = R0 CDl), которая может быть вызвана либо распределением сопротивления электролита (R0), либо распределением емкости двойного электрического слоя (CDl) или кинетической дисперсией (кинетически ограниченной (медленной) адсорбцией ионов [13, 14]). Дисперсию постоянных времени первоначально объясняли микроскопической шероховатостью электродов [15], однако впоследствии данная гипотеза была подвергнута сомнениям [16, 17].
Сложность данного подхода заключается в том, что ЭЭС составляется либо из представлений исследователя о структуре изучаемой электрохимической системы, либо исходя из формы годографа экспериментально полученного импеданса. Зачастую строение исследуемой электрохимической системы неизвестно, а форма годографа импеданса сложна, и предположить структуру электрохимической системы затруднительно. В ряде случаев возникают трудности и при вычислении параметров элементов ЭЭС из экспериментально полученного спектра электрохимического импеданса. Много вопросов возникает и при интерпретации элемента постоянной фазы, который очень часто используется при составлении ЭЭС, но физический смысл которого в большинстве случаев неясен.
На основе рассчитанных параметров элементов ЭЭС могут быть вычислены различные электрохимические (и физические) параметры электрохимической системы, такие как коэффициенты диффузии, толщина поверхностной пленки на электродах и т. д.
Однако в последние годы все большее распространение при анализе данных, полученных с помощью спектроскопии электрохимического импеданса, приобретает метод анализа функции распределения времен релаксации (Distribution of Relaxation Times – DRT), который в ряде случаев более информативен и обладает более высокой разрешающей способностью по сравнению с классическим методом эквивалентных схем [18].
Импеданс системы Z(ω) связан с функцией распределения времен релаксации γ(τ) следующим уравнением:
(1)
где Z(ω) – импеданс, R0 – омическая (частотно независимая) часть импеданса, Zpol (ω) – поляризационная (частотно зависимая) часть импеданса, ω – циклическая частота, Rpol – поляризационное сопротивление импеданса, γ(τ) – функция распределения времен релаксации, удовлетворяющая ограничениям не отрицательности и нормировки:
. (2)
В графическом виде функция распределения времен релаксации представляет собой кривую с несколькими пиками различной формы, распределенными по оси времени (либо частоты). Положения пиков определяют времена релаксации, а площадь под пиками величину сопротивлений [19].
Поскольку интегрирование в уравнении (1) идет по линейному масштабу времени, а сетка времени, на которой определяют значение γ(τ), является эквидистантной в логарифмическом масштабе, для увеличения точности вычислений в работе [20] была предложена следующая замена:
(3)
где s = lnτ – новая переменная интегрирования, G(s) = τγ(τ) = esγ(es) – модифицированная функция распределения времен релаксации, зависящая от переменной s “линейного масштаба” [18].
Данная замена используется достаточно часто, и во многих работах вместо функции распределения времен релаксации γ(τ) приводят функцию G(s). Использование новой переменной интегрирования s вместо τ позволяет увеличить точность численного интегрирования.
В физическом смысле любая электрохимическая система может рассматриваться как последовательность элементарных электрохимических ячеек. Каждая такая ячейка моделируется элементом Войта (параллельно соединенными резистором и конденсатором), а вся электрохимическая система – последовательностью из n элементов Войта [21]. По форме графика функции DRT можно определить количество элементарных электрохимических ячеек (количество пиков), т. е. осуществить структурную идентификацию, а вычислив площадь под пиками, рассчитать емкость и сопротивление, т. е. осуществить параметрическую идентификацию исследуемой электрохимической системы.
Для нахождения функции DRT одним из применяемых методов является метод регуляризации Тихонова [18]. При использовании метода регуляризации Тихонова важным является выбор значения коэффициента регуляризации, значение которого влияет на точность вычисления функции DRT (формы пиков, а иногда и их количества).
Целью данной работы являлась оценка информативности метода DRT при анализе спектров электрохимического импеданса литий-углеродных ячеек с различными типами углеродных материалов – графита и разупорядоченного углерода.
Экспериментальная часть
Подготовка объектов исследования
Разупорядоченный углерод был получен термообработкой нефтяного кокса (ТУ 0258-098-00151807-98 с изм. 1–4, ТУ 38.1011320-90 с изм. 1–4 Новоуфимский НПЗ г. Уфа, Россия) при 1000°C в течение 10 ч в закрытом керамическом тигле. Графит (Dianshi, Китай) использовали без предварительной обработки.
Измерение физико-химических свойств углеродов
Удельную площадь поверхности углеродного материала измеряли методом низкотемпературной сорбции азота на приборе TOP-200 (Altamira Instruments, Китай). Удельное объемное сопротивление измеряли в кондуктометрических ячейках с блокирующими электродами, изготовленных из нержавеющей стали, при фиксированном давлении 6.4 ·104 кг/см2. Ошибка эксперимента не превышала 3%.
Насыпную плотность измеряли как отношение объема порошка углерода к его объему. Для измерения использовали мерный цилиндр. В предварительно взвешенный мерный цилиндр насыпали образец углерода и взвешивали снова для расчета массы образца. Цилиндр с образцом несколько раз встряхивали для уплотнения слоя углерода и записывали объем образца. По отношению массы образца к объему рассчитывали насыпную плотность.
Пикнометрическую плотность измеряли в пикнометрах, объемом 5 мл, при температуре 30°C. В предварительно взвешенный пикнометр загружали образец примерно на 1/3 объема и вновь взвешивали для расчета точной массы образца. Затем на 2/3 пикнометр заполняли 70%-ным водным раствором спирта, встряхиванием перемешивали содержимое и помещали в вакуумный эксикатор. Для полного заполнения пор углеродного материала раствором спирта пикнометры вакуумировали, сканируя вакуум в эксикаторе не менее 5 раз. Заполненные пикнометры термостатировали при 30°C в течение нескольких часов и, в случае необходимости, доводили до метки уровень жидкости в пикнометре спиртовым раствором. Полностью заполненные пикнометры взвешивали и рассчитывали пикнометрическую плотность образцов по уравнению
ρпик. = ρ30жид , (4)
где ρпик. – пикнометрическая плотность, г/см3; m1 – масса пустого пикнометра, г; m2 – масса пикнометра с навеской образца, г; m3 – масса пикнометра с навеской и жидкостью, г; m4 – масса пикнометра, заполненного только с жидкостью, г; ρ30жид – плотность инертной жидкости при 30°С, г/см3.
Измерение электрохимических свойств углеродов
Исследование электрохимических свойств углеродных материалов проводили в двухэлектродных дисковых разборных ячейках типа Swagelock cell®. Давление поджима электродов друг к другу составляло 0.3 кг/см2.
Рабочие углеродные электроды изготавливали отливкой водной суспензии смеси, состоящей из 94 мас. % активного материала (разупорядоченный углерод или графит), 1 мас. % сажи (Super P, Китай) и 5 мас. % связующего LA-132 (Китай), на медную фольгу, толщиной 16 мкм. После отливки суспензии на медную фольгу электроды сушили при 40°С в течение 1 ч. Затем каландрировали и вырубали в размер. Готовые электроды сушили в статическом вакууме при 40°С над молекулярными ситами 4Å не менее 24 ч. Содержание РУ или графита в электродах составляло 5.7 мг/см2.
Литиевые вспомогательные электроды вырубали из металлической литиевой фольги толщиной 100 мкм (China Lithium Energy Ltd., Китай), в размер.
В качестве сепаратора использовали 2 слоя нетканого полипропилена и 1 слой микропористого полипропилена Celgard®3501.
Электролитом был 1М раствор LiPF6 в смеси диметилкарбоната (DMC), этилметилкарбонат (EMC) и этиленкарбоната (EC) (25:50:25 мас. %) с добавкой виниленкарбоната (VC, 1%). Количество электролита в ячейках составляло 30 мкл/см2.
Все операции по сборке электрохимических ячеек выполняли в перчаточном боксе в атмосфере сухого воздуха (содержание воды не превышало 2 ppm).
После сборки все электрохимические ячейки до измерения электрохимического импеданса и установки на циклирование термостатировали при 30°C не менее 1 ч. Точность стабилизации температуры составляла ± 0.1°C.
Гальваностатическое катодно-анодное циклирование литий-углеродных ячеек осуществляли с помощью потенциостата-гальваностата Р-45Х (Electrochemical Instruments, Россия). Плотность тока составляла 33 мА/г (≈ 0.1С).
Электрохимический импеданс регистрировали в диапазоне частот 0.05 Гц – 0.5 МГц, амплитуда возмущения была 5 мВ относительно НРЦ. Температура – 30 ± 0.1°C.
Измерения проводили следующим образом. Первоначально измеряли импеданс литий-углеродной ячейки. Затем рабочий углеродный электрод катодно поляризовали в течение 1 ч, отключали поляризацию и выдерживали ячейку в разомкнутом состоянии с регистрацией НРЦ в течение не менее 2 ч до достижения стационарного состояния, и вновь измеряли электрохимический импеданс. Шаги – катодная поляризация, выдержка в разомкнутом состоянии, регистрация импеданса повторяли по достижению ячейкой потенциала 10 мВ отн. Li/Li+. После окончания литирования углеродных электродов проводили аналогичный эксперимент, но рабочий углеродный электрод поляризовали анодно. Эксперимент останавливали при достижении напряжения на литий-углеродных ячейках 1000 мВ отн. Li/Li+.
Вычисление функций DRT проводили с помощью программы DRTTools [22]. Метод дискретизации – Gaussian, значение параметра регуляризации – 10–5. Параметры ЭЭС вычисляли из полученной функции DRT с помощью программы DRTAnalyzer [23] собственной разработки. Разработанная программа позволяет рассчитывать площадь пиков (сопротивления элементов) и постоянные времени как по разложенной на составляющие DRT спектров, так и по самой функции DRT. В программе предусмотрен экспорт ЭЭС в ПО EC–Lab для дальнейшего моделирования импеданса.
Результаты и обсуждение
Нами были изучены электрохимические свойства электродов на основе РУ и графита. Физико-химические свойства углеродных материалов приведены в табл. 1.
Таблица 1. Физико-химические свойства разупорядоченного углерода и графита
РУ | Графит | |
Насыпная плотность, г/см3 | 0.63 | 0.57 |
Пикнометрическая плотность, г/см3 | 1.98 | 2.11 |
Удельная площадь поверхности по БЭТ, м2/г | 5.95 | 0.89 |
Средний диаметр пор методом BJH, нм | 13 | 25 |
Объем микропор методом BJH, 10–3 см³/г | 12 | 27 |
Удельное сопротивление, Ом · см | 0.03 | 0.10 |
Катодные хронопотенциограммы литий-углеродной ячейки с рабочим электродом на основе разупорядоченного углерода представляют собой плавные, ниспадающие кривые (рис. 1а). На втором цикле скорость уменьшения потенциала выше, а электрохимическая емкость меньше, чем на первом цикле.
Рис. 1. Хронопотенциограммы катодной поляризации на первом и втором цикле углеродного электрода на основе разупорядоченного углерода (а) и графита (б).
Катодные хронопотенциограммы углеродного электрода на основе графита имеют более сложную форму (рис. 1б). На катодной хронопотенциограмме первого цикла наблюдается площадка в диапазоне 0.7–0.3 В. На втором цикле на катодной хронопотенциограмме графитового электрода такой площадки не наблюдается.
Следует отметить, что при окончании катодной поляризации при напряжении на ячейке 100 мВ удельная электрохимическая емкость углеродного электрода на основе РУ на втором цикле составляет 210 мА ч/г, а электрода на основе графита 95 мА ч/г.
Различие в форме катодных хронопотенциограмм литий – углеродной ячейки с рабочим электродом на основе графита на 1-м и 2-м цикле свидетельствует об изменении свойств активного материала в процессе 1-й катодной поляризации.
Годограф импеданса литий-углеродной ячейки с электродом на основе РУ после сборки представляет собой деформированную полуокружность в среднечастотной и высокочастотной областях спектра (рис. 2) и ветвь в среднечастотной и низкочастотной областях. При катодной поляризации, сопротивление электролита незначительно увеличивается, полуокружность в среднечастотной и высокочастотной областях увеличивается (примерно на треть), а ветвь среднечастотной и низкочастотной областях приобретает форму полуокружности с прямой линией под углом к оси абсцисс. С увеличением степени литирования диаметр полуокружности в области средних частот уменьшается.
Рис. 2. Эволюция годографов импеданса литий-углеродных ячеек с рабочими электродами на основе разупорядоченного углерода (левая колонка) и графита (правая колонка) в процессе литирования на 1-м цикле. Ik=0.2 мА/см2. Глубина литирования указана на графиках.
Годограф импеданса литий-углеродной ячейки с электродом на основе графита после сборки (рис. 2) представляет собой сильно деформированную, вытянутую по оси абсцисс полуокружность в среднечастотной и высокочастотной областях, и ветвь в среднечастотной и низкочастотной областях. По мере литирования форма полуокружности усложняется, она становится более ломаной и более вытянутой, ветвь в среднечастотной и низкочастотной областях – уменьшается. По форме полуокружности можно предположить, что она состоит из нескольких перекрывающихся полуокружностей.
До литирования ветвь в средне- и низкочастотной областях у ячейки с электродом на основе графита примерно в 4 раза длиннее, чем у ячейки с РУ. Изменение низкочастотной ветви импеданса у ячеек с электродами на основе РУ и графита происходит по-разному. У ячейки с электродом на основе РУ прямая линия деформируется в полуокружность и диффузионную часть, в то время как у ячейки с графитом происходит уменьшение длины низкочастотной ветви.
У ячейки с электродом на основе РУ, по мере литирования, полуокружность среднечастотной и высокочастотной областей изменяется только в размерах, изменения ее формы не происходит, в отличие от ячейки с графитом, где помимо изменения размеров полуокружности, происходит изменение ее формы.
Литий-углеродную ячейку можно рассматривать как совокупность следующих электрохимических элементов:
- слоя электролита между электродами,
- слоя межфазного твердого электролита (SEI) на литиевом электроде,
- слоя межфазного твердого электролита (SEI) на углеродном электроде,
- границы между углеродными частицами,
- границы углерод/SEI,
- границы электролит/SEI,
- слоя углерода.
В ряде случаев литий-углеродная ячейка может состоять и из большего количество элементов. Каждый из этих элементов должны вносить свой вклад в общий импеданс ячейки и должны быть включены в ЭЭС при моделировании СЭИ [24].
Обычно импеданс SEI имеет форму деформированной полуокружности, причем степень деформации будет зависеть от степени однородности SEI. К импедансу SEI, как правило, относят высокочастотную дугу [25] на годографе импеданса литий-углеродных ячеек. Моделируется импеданс SEI одним или несколькими элементами Войта или RQ- цепочками [26]. В литий-углеродных ячейках SEI будет присутствовать как на углеродном электроде, так и на литиевом электроде. Поскольку литий обладает высокой химической активностью, на его поверхности неизбежно происходит формирование пассивных слоев, состоящих из продуктов взаимодействия металлического лития с атмосферой и с компонентами электролитной системы, и слой SEI будет присутствовать на литиевом электроде до начала поляризации ячейки. При первой катодной поляризации углеродного электрода будет происходить разрушение SEI на литиевом электроде и формирование SEI на углеродном электроде. Можно предположить, что сопротивление SEI на углеродном электроде будет на порядок выше, чем на литиевом, из-за большой разницы в истинной площади электродов. Так, исходя из расчетов, истинная площадь электрода на основе РУ составляла 340 см2 на 1 см2 электрода, а графита – 51 см2. Также высокочастотной дуге на годографе литий-углеродной ячейки иногда приписывают сопротивление границ между углеродными частицами.
Среднечастотную дугу на годографах импеданса, как правило, относят к переносу заряда на границе электролит/SEI или интеркалят/SEI [27].
Низкочастотная часть импеданса литий-углеродных ячеек отражает диффузию в слое углерода. В некоторых работах для моделирования этой части импеданса используют импеданс Варбурга, в других используют элемент постоянной фазы [22, 28].
Таким образом, можно предположить, что ЭЭС, описывающая все электрохимические элементы литий-углеродной ячейки, должна содержать 6 RQ-цепочек, а возможно и больше, так как структура некоторых электрохимических элементов может быть достаточно сложной и для их моделирования может понадобиться более одной RQ-цепи:
где R0 – омическая (частотно независимая) часть импеданса; RLi.SEI/QLi.SEI – импеданс слоя межфазного твердого электролита (SEI) на литиевом электроде; RC.SEI/QC.SEI – импеданс слоя межфазного твердого электролита (SEI) на углеродном электроде; RPB/QPB – импеданс границ между углеродными частицами; RCt/QCt – импеданс границы углерод/SEI; Rint/SEI/Qint/SEI – импеданс границы электролит/SEI; WInt– диффузионный импеданс.
Определение параметров всех электротехнических элементов, входящих в полную ЭЭС, бывает невозможным из-за того, что у ряда электротехнических элементов параметры могут быть сопоставимы по значениям, из-за чего, они “сливаются” на годографе импеданса;
При попытке обработки годографов импеданса литий-углеродных ячеек мы столкнулись с рядом трудностей:
- годографы импеданса ячеек после сборки и в начале литирования аппроксимируются с небольшой точностью из-за присутствия диффузионной ветви, существенно превосходящей по масштабам полуокружности;
- годографы ячейки с электродом на основе графита при катодной поляризации более чем на 117 мА · ч/г состоят из нескольких наложенных друг на друга полуокружностей, параметры которых с приемлемой точностью рассчитать не удается.
Для более подробного анализа СЭИ, полученных при литировании углеродных электродов, были построены графики функций распределения времен релаксации (рис. 3) и вычислены параметры наблюдаемых пиков (табл. 2). Так же, для сравнения был построен график функции DRT литий-литиевой ячейки после сборки. На графиках функции DRT литий-углеродных ячеек после сборки наблюдаются 8 четко разделенных пиков. График функции DRT импеданса симметричной литий-литиевой ячейки включает 9 пиков, некоторые из которых накладываются друг на друга (1 и 2, а также 6, 7 и 8). Меньшее количество пиков на графиках функции DRT литий-углеродных ячеек с более сложной, чем у симметричных литий-литиевых ячеек, электрохимической структурой может быть объяснено тем, что сопротивление некоторых процессов, наблюдаемых в СЭИ симметричной литий-литиевой ячейки, гораздо меньше сопротивления аналогичных процессов в литий-углеродных ячейках.
Рис. 3. Функции DRT импедансов литий-РУ, литий-графит и симметричной литий-литиевой ячейки после сборки. Электрохимическая система указана на графике.
Таблица 2. Параметры элементов литий-углеродных ячеек и симметричной литий-литиевой ячейки после сборки, рассчитанные из функций DRT
Литий-РУ ячейка | Литий-графитовая ячейка | Симметричная литий-литиевая ячейка | |||||||
τ, с | R, Ом | C, Ф | τ, с | R, Ом | C, Ф | τ, с | R, Ом | C, Ф | |
R0 | 4.12 | 0.93 | 1.62 | ||||||
1 | 5.5 · 10–6 | 0.59 | 9.3 · 10–6 | 2.0 · 10–6 | 0.95 | 2.1 · 10–6 | 3.2 · 10–5 | 2.54 | 1.3 · 10–5 |
2 | 3.7 · 10–5 | 2.16 | 1.7 · 10–5 | 7.5 · 10–6 | 2.04 | 3.7 · 10–6 | 9.9 · 10–5 | 8.16 | 1.2 · 10–5 |
3 | 2.3 · 10–4 | 1.14 | 2.0 · 10–4 | 3.1 · 10–5 | 2.98 | 1.1 · 10–5 | 5.1 · 10–4 | 0.58 | 8.7 · 10–4 |
4 | 3.5 · 10–3 | 1.03 | 3.3 · 10–3 | 5.3 · 10–4 | 0.25 | 2.1 · 10–3 | 2.3 · 10–3 | 0.21 | 1.1 · 10–2 |
5 | 0.02 | 6.20 | 3.4 · 10–3 | 8.5 · 10–3 | 1.66 | 5.1 · 10–3 | 9.9 · 10–3 | 0.18 | 5.4 · 10–2 |
6 | 0.12 | 25.16 | 4.7 · 10–3 | 0.08 | 27.62 | 2.8 · 10–3 | 0.05 | 0.26 | 0.2 |
7 | 0.76 | 101.93 | 7.4 · 10–3 | 0.87 | 311.94 | 2.8 · 10–3 | 0.18 | 0.40 | 0.5 |
8 | 14.09 | 2822.72 | 5.0 · 10–3 | 14.09 | 11490.31 | 1.2 · 10–3 | 0.59 | 0.45 | 1.3 |
9 | 4.88 | 2.64 | 1.8 | ||||||
Σ | 2956.01 | 11829.87 | 3.75 | ||||||
Пики на графике функции DRT симметричной литий-литиевой ячейки располагаются в более узком диапазоне времен релаксаций (от 10–5 до 10 с, 16 кГц до 10 мГц), в то время как пики на графиках функций DRT литий-углеродных ячеек лежат в более широком диапазоне времен релаксаций (от 10–6 до 101.5 с). Форма пиков на функциях DRT импеданса симметричных литий-литиевых и полных литий-углеродных ячеек также различна. Функции DRT импеданса полных ячеек имеют более ярко выраженные пики, за исключением пика в низкочастотной области, который судя по его форме, вызван наложением нескольких пиков, с очень близкими временами релаксации. Пики 1, 2 и 6–9 на функции DRT симметричной литий-литиевой ячейки имеют близкие параметры и перекрываются между собой (на рис. 3 и табл. 2). Такая форма пиков может быть объяснена тем, что на обоих электродах симметричной литий-литиевой ячейки (рабочем и вспомогательном) протекают одни и те же процессы, но, из-за различия в электродах, одни и те же процессы на разных электродах имеют незначительные различия в параметрах. Этим так же может быть объяснено большее количество пиков на функции DRT симметричной ячейки, по сравнению с количеством пиков на функциях DRT полных ячеек.
Функцию DRT импеданса симметричной литий-литиевой ячейки можно разбить на 3 группы пиков. Первая группа пиков с τ в диапазоне от 10–5 до 10–3 с (16 кГц – 169 Гц), вторая с τ от 10–3 до 10–1.5 с (169 Гц – 5 Гц) и третья с τ более 10–1.5 с (менее 5 Гц). Первая группа пиков, скорее всего, относится к импедансу границы токовый коллектор (нержавеющая сталь)/металлический литий [29, 30], вторая группа пиков отражает импеданс SEI, а третья группа пиков в области низких частот – диффузионные процессы.
Стоит отметить, что не все пики, наблюдаемые на функции DRT литий-литиевой ячейки, проявляются на DRT функциях полной ячейки. Пики с самым малым временем релаксации (τ ~ 10–5 с) присутствуют как на функциях DRT симметричной литий-литиевой ячейки, так и на функциях DRT полных ячеек, а 4 низкочастотных пика, присутствуют только на функции DRT симметричной ячейки. Это может быть вызвано тем, что низкочастотная часть функций DRT полных ячеек на 2 порядка больше, и столь мелкие пики попросту не заметны. Пики с τ от 10–3 до 10–1.5 с на функциях DRT полных ячеек изменились по сравнению с пиками на функции DRT симметричной ячейки. Это может быть вызвано изменением свойств SEI на литиевом электроде, из-за появления в электролите компонентов положительного электрода.
Пики, соответствующие высокочастотной области (τ < 10–4.5 с) присутствуют на графиках функций DRT только литий-углеродных ячеек. Вероятнее всего это импеданс границ (SEI) между углеродными частицами и импеданс границы углерод/токовый коллектор.
Таким образом, высокочастотная и низкочастотная области импедансов литий-углеродных ячеек определяются свойствами компонентов углеродных электродов, а область средних частот – как свойствами компонентов углеродных электродов, так и свойствами компонентов литиевого электрода.
Наибольший вклад в общий импеданс литий-углеродных ячеек с электродом на основе РУ вносят 2 элемента (рис. 4б), в отличие от импеданса ячейки с электродом на основе графита, где импеданс складывается из импедансов 9 элементов, с практически равным сопротивлением (рис. 4г).
Рис. 4. Экспериментальные годографы импедансов литий-углеродных ячеек с электродами на основе РУ (а) и графита (в) при глубине литирования 428 и 410 мА ч/г, годографы отдельных элементов ячеек, рассчитанные по DRT-функциям, и симулированные годографы импедансов литий-углеродных ячеек с электродами на основе РУ (в) и графита (г).
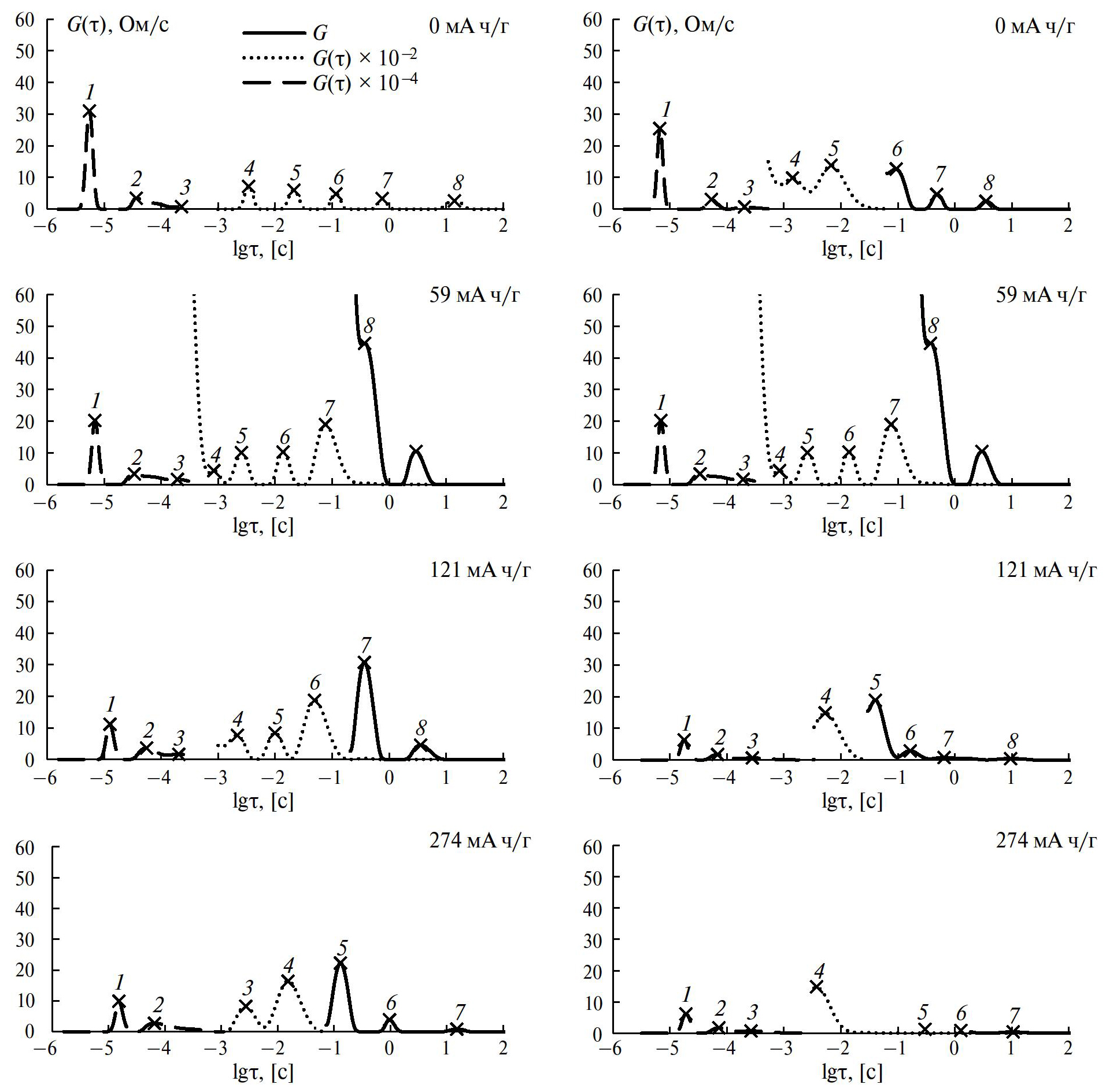
Изменения функций DRT литий-углеродной ячейки с электродом на основе РУ в процессе первой и второй катодной поляризации в основном происходят в области низких частот (рис. 5). При катодной поляризации до 59 мА ч/г, сопротивление элементов, импеданс которых проявляется в низкочастотной области, уменьшается на порядок и продолжает уменьшаться до 121 мА ч/г. Характер изменения функции DRT при 1-й и 2-й катодной поляризации один и тот же. Пики в высокочастотной и среднечастотной области изменяются незначительно.
Рис. 5. Изменение графиков функций DRT импеданса (в различных масштабах) литий-углеродной ячейки с электродом на основе РУ в процессе литирования на первом (левая колонка) и втором (правая колонка) циклах. Глубина литирования указана на графиках.
У ячейки с электродом на основе графита, в процессе 1-й катодной поляризации на графиках функции DRT происходит увеличение площади самого высокочастотного пика (рис. 6). При 2-й катодной поляризации данный пик присутствует изначально, и его площадь существенно не изменяется. Можно предположить, что изменения данного пика отражают изменения свойств (формирование) SEI на графитовом электроде.
Рис. 6. Изменение графиков функций DRT импеданса (в различных масштабах) литий-углеродной ячейки с электродом на основе графита в процессе литирования на первом (левая колонка) и втором (правая колонка) циклах. Глубина литирования указана на графиках.
Заключение
С помощью функции распределения времен релаксации проведен анализ спектров электрохимического импеданса литий-углеродных ячеек с электродами на основе графита и разупорядоченного углерода.
Показано, что в отличие от классического способа анализа импеданса литий-углеродных ячеек с помощью ЭЭС, когда при построении ЭЭС необходимо соблюсти компромисс между сложностью модели и точностью определения параметров этой модели (усложнение модели повышает точность описания электрохимической структуры исследуемой системы, но приводит к снижению точности или вообще к невозможности расчета значений параметров ЭЭС), использование функции DRT позволяет провести структурную идентификацию, т. е. оценить возможное количество компонентов исследуемой ячейки и рассчитать их параметры. Несмотря на то, что метод DRT имеет несомненные достоинства – отсутствие необходимости априорного выбора ЭЭС, более высокую разрешающую способность – недостатком данного метода является необходимость подбора коэффициента регуляризации, от которого зависит точность вычисления функции DRT и как следствие точность определения структуры электрохимической системы и точность вычисляемых из функции DRT параметров электрохимической системы.
Применение функций DRT для моделирования электрохимического импеданса показало, что в литий-углеродных ячейках присутствует 8 электрохимических элементов, и позволило количественно оценить их параметры.
Сложностью обоих методов (метода DRT и метода ЭЭС) является интерпретация полученных данных – отнесение полученных параметров к элементам исследуемой электрохимической системы. Для соотнесения пиков на функциях DRT или электротехнических элементов ЭЭС с электрохимическими процессами исследуемой системы необходимы дополнительные исследования влияния различных факторов (например, состава электродов, температуры и др.) на электрохимический импеданс литий-углеродных ячеек.
Следует отметить, что отсутствие необходимости априорного задания ЭЭС для обработки импедансных данных делает метод DRT потенциально более удобным для автоматизации обработки экспериментальных данных, получаемых методом спектроскопии электрохимического импеданса. Варьируя значение коэффициента регуляризации и оценивая точность получаемого решения, можно оценить количество протекающих в исследуемой системе релаксационных процессов, т. е. провести структурную идентификацию, а затем, используя либо классический метод ЭЭС, либо метод DRT, или комбинацию нескольких методов, рассчитать параметры этих элементов.
Финансирование работы
Работа выполнения в рамках государственного задания: тема “Углеродные материалы и углерод-полимерные композиты как активные компоненты положительных и отрицательных электродов перспективных накопителей энергии. Синтез, строение, свойства” № FMRS-2024-0003 и по теме № 1021062311399-2-1.4.5 “Электродные материалы и электролитные системы для перспективных накопителей энергии”.
Работа выполнена на оборудовании ЦКП “Химия”.
Конфликт интересов
Авторы заявляют, что у них нет конфликта интересов.
1 Неоднородная модель диффузии.
2 Модель неоднородной объемной проводимости.
3 Модель неоднородного фазового элемента.
About the authors
D. V. Kolosnitsyn
Ufa Federal Research Centre of the Russian Academy of Sciences
Author for correspondence.
Email: dkolosnitsyn@gmail.com
Ufa Institute of Chemistry
Russian Federation, UfaE. V. Kuzmina
Ufa Federal Research Centre of the Russian Academy of Sciences
Email: dkolosnitsyn@gmail.com
Ufa Institute of Chemistry
Russian Federation, UfaN. V. Egorova
Ufa Federal Research Centre of the Russian Academy of Sciences
Email: dkolosnitsyn@gmail.com
Ufa
Russian Federation, Ufa Institute of ChemistryV. S. Kolosnitsyn
Ufa Federal Research Centre of the Russian Academy of Sciences
Email: dkolosnitsyn@gmail.com
Ufa Institute of Chemistry
Russian Federation, UfaReferences
- Wang, Y., Ma, Z., and Zhang, X., Mechanism and application in lithium ion batteries of ferrocene catalyzed coal tar pitch to prepare fibrous carbon material with soft and hard carbon hybrid structure, Fuel, 2024, vol. 366, p. 131325. https://doi.org/10.1016/j.fuel.2024.131325
- Babu, B., Carbon–based Materials for Li-ion Battery, Batteries & Supercaps, 2024, vol. 7. https://doi.org/10.1002/batt.202300537
- Mochida, I., Ku, C., Yoon, S., and Korai, Y., Anodic performance and mechanism of mesophase-pitch-derived carbons in lithium ion batteries, J. Power Sources, 1998, vol. 75, Issue 2, p. 214. https://doi.org/10.1016/S0378-7753(98)00101-3
- Чудова, Н. В., Шакирова, Н. В., Кузьмина, Е. В., Колосницын В.С. Влияние диапазона потенциалов заряда и разряда на электрохимическую емкость нефтяного кокса и графита. Башкир. хим. журн. 2021. № 28. С. 85. [Chudova, N.V., Shakirova, N.V., Kuzmina, E.V., and Kolosnitsyn, V.S., Vliyanie diapazona potencialov zaryada i razryada na elektrohimicheskuyu emkost' neftyanogo koksa i grafita, Bashkirskij himicheskij zhurnal (in Russian), 2021, no. 28, p. 85.]
- Schroeder, M., Menne, S., Ségalini, J., Saurel, D., Casas-Cabanas, M., Passerini, S., Winter, M., and Balducci, A., Considerations about the influence of the structural and electrochemical properties of carbonaceous materials on the behavior of lithium-ion capacitors, J. Power Sources, 2014, vol. 266, p. 250. https://doi.org/10.1016/j.jpowsour.2014.05.024
- Kuzmina, E.V., Chudova, N.V., and Kolosnitsyn, V.S., Effect of Current Density on Specific Characteristics of Negative Electrodes for Lithium-Ion Batteries Based on Heat-Treated Petroleum Coke, Russ. J. Electrochem., 2023, vol. 59, p.153.
- Стойнов, З.Б., Графов, Б.М., Савова-Стойнова Б., Елкин, В.В. Электрохимический импеданс. М.: Наука, 1991. 336 с. [Stojnov, Z.B., Grafov, B.M., Savova-Stojnova, B., and Elkin, V.V. Elektrohimicheskij impedans, Moscow: Nauka, 1991. 336p.]
- Импедансная спектроскопия: теория и применение. Учебное пособие. Екатеринбург. Изд-во Урал. ун-та. 2017. [Impedansnaya spektroskopiya: teoriya i primenenie(in Russian). Uchebnoe posobie. Ekaterinburg. Izdatel'stvo Ural'skogo universiteta. 2017.]
- Иванищев, А.В., Чуриков, А.В., Иванищева, И.А. Импедансная спектроскопия литий-углеродных электродов. Электрохимия. 2009. Т. 44. С. 553. [Ivanishchev, A. V., Churikov, A. V., and Ivanishcheva, I. A., Impedance spectroscopy of lithium-carbon electrodes, Russ. J. Electrochem., 2008, vol. 44, p. 510.] https://doi.org/10.1134/S1023193508050030
- Секушин, Н.А. Двухчастотный критерий присутствия индуктивной составляющей в импедансе электрохимической ячейки. Электрохимия. 2010. Т. 46. С. 362. [Sekushin, N. A., Two-frequency criterion of the presence of inductive component in the electrochemical cell impedance, Russ. J. Electrochem, 2010, vol. 46, p. 345.] https://doi.org/10.1134/S1023193510030134
- Ерофеев, А.А. Теория автоматического управления. СПб.: Политехника, 2002. с. 302. [Erofeev, A.A. Teoriya avtomaticheskogo upravleniya (in Russian). St.P.: Politekhnika, 2002. 302 p.]
- Секушин, Н.А. Универсальная эквивалентная схема электрохимической ячейки. Электрохимия. 2009. Т. 45. С. 372. [Sekushin, N.A., Universal equivalent circuit of electrochemical cell, Russ. J. Electrochem., 2009, vol. 45, p. 350.] https://doi.org/10.1134/S1023193509030173
- Kerner, Zsolt & Pajkossy, Tamás, Measurement of adsorption rates of anions on Au(111) electrodes by impedance spectroscopy, Electrochim. Acta, 2002, vol. 47, p. 2055. https://doi.org/10.1016/S0013-4686(02)00073-7
- Lasia, Andrzej. Electrochemical Impedance Spectroscopy and Its Applications. Springer, 2014.
- Schelder, W., Theory of the Frequency Dispersion of Electrode Polarization. Topology of Networks with Fractional Power Frequency Dependence, J. Phys. Chem., 1975, vol. 79, p. 127.
- Kerner, Z. and Pajkossy, T., Impedance of rough capacitive electrodes: The role of surface disorder, J. Electroanal. Chem., 1998, vol. 448, p. 139.
- Kerner, Z. and Pajkossy, T., On the origin of capacitance dispersion of rough electrodes, Electrochim. Acta, 2000, vol. 46, p. 207.
- Гаврилюк, А.Л., Осинкин, Д.А., Бронин, Д.И. О применении метода регуляризации Тихонова для вычисления функции распределения времен релаксации в импедансной спектроскопии. Электрохимия. 2017. Т. 53. С. 651. [Gavrilyuk, A.L., Osinkin, D.A., and Bronin, D.I., The use of Tikhonov regularization method for calculating the distribution function of relaxation times in impedance spectroscopy, Russ. J. Electrochem., 2017, vol. 53, p. 575.] https://doi.org/10.1134/S1023193517060040
- Qu, H., Zhang, X., Ji, W., Zheng, D., Zhang, X., and Ji, W., Impedance investigation of the high temperature performance of the solid-electrolyte-interface of a wide temperature electrolyte, J. Colloid and Interface Sci., 2022, vol. 608, p. 3079.
- Macutkevic, J., Banys, J., and Matulis, A., Determination of the Distribution of the Relaxation Times from Dielectric Spectra, Nonlinear Analysis. Modelling and Control, 2004, vol. 9, p. 75. https://doi.org/10.15388/NA.2004.9.1.15172
- Schönleber, Michael & Ivers-Tiffée, E., Approximability of impedance spectra by RC elements and implications for impedance analysis, Electrochem. Commun., 2015. https://doi.org/10.1016/j.elecom.2015.05.018
- Wan, T.H., Saccoccio, M., Chen, C., and Ciucci, F., Influence of the Discretization Methods on the Distribution of Relaxation Times Deconvolution: Implementing Radial Basis Functions with DRTtools, Electrochim. Acta, 2015, vol. 184, p. 483.
- Свид. 2022665869 РФ. Свидетельство об официальной регистрации программы для ЭВМ. “ElChemLab, DRT Analyzer” / Д.В. Колосницын; правообладатель УФИЦ РАН (RU). Опубл. 23.08.2022, Реестр программ для ЭВМ. 1 с. [2022665869 RF. “ElChemLab, DRT Analyzer” / D.V. Kolosnitsyn; UFRC RAS (RU). – published. 23.08.2022]
- Прилежаева, И.Н., Соловьев, Н.П., Храмушин, Н.И. Способ преобразования спектров импеданса для определения механизма электрохимической реакции. Электрохимия. 2004. Т. 40. С. 1425. [Prilezhaeva, I.N., Solov'ev, N.P., and Khramushin, N.I., A procedure for transforming impedance spectra for the determination of mechanism of electrochemical reactions, Russ. J. Electrochem., 2004, vol. 40, p. 1223.] https://doi.org/10.1023/B:RUEL.0000048659.28543.0c
- Zhang, S. and Shi, P., Electrochemical impedance study of lithium intercalation into MCMB electrode in a gel electrolyte, Electrochim. Acta, 2004, vol. 49, p. 1475. https://doi.org/10.1016/j.electacta.2003.10.033
- Zaban, A., Zinigrad, E., and Aurbach, D., Impedance Spectroscopy of Li Electrodes. 4. A General Simple Model of the Li-Solution Interphase in Polar Aprotic Systems, J. Phys. Chem., 1996, vol. 100, p. 3089.
- Wang, C., Appleby, A.J., and Little, F., Low-Temperature Characterization of Lithium-Ion Carbon Anodes via Microperturbation Measurement, J. Electrochem. Soc., 2002, vol. 149, p. A754. https://doi.org/10.1149/1.1474427
- Holzapfel, M., Martinent, A., Alloin, F., Le Gorrec, B., Yazami, R., and Montella, C., First lithiation and charge/discharge cycles of graphite materials, investigated by electrochemical impedance spectroscopy, J. Electroanal. Chem., 2003, vol. 546. p. 41. https://doi.org/10.1016/S0022-0728(03)00144-X
- Plank, Christian & Rüther, Tom & Jahn, Leonard & Schamel, Maximilian & Schmidt, Jan & Ciucci, Francesco & Danzer, Michael, A review on the distribution of relaxation times analysis: A powerful tool for process identification of electrochemical systems. J. Power Sources, 2023, vol. 594. https://doi.org/10.1016/j.jpowsour.2023.233845
- Lu, Yang & Zhao, Chen-zi & Huang, Jia-Qi & Zhang, Qiang, The timescale identification decoupling complicated kinetic processes in lithium batteries, Joule, 2022, vol. 6, p. 1172. https://doi.org/10.1016/j.joule.2022.05.005
Supplementary files








