Зависимость анодного поведения силицидо-германидов марганца в водном растворе сульфата натрия от содержания германия
- Авторы: Ракитянская И.Л.1, Мясников Д.А.1
-
Учреждения:
- Пермский государственный национальный исследовательский университет
- Выпуск: Том 60, № 8 (2024)
- Страницы: 563-573
- Раздел: Статьи
- URL: https://ogarev-online.ru/0424-8570/article/view/275154
- DOI: https://doi.org/10.31857/S0424857024080049
- EDN: https://elibrary.ru/POWXTK
- ID: 275154
Цитировать
Полный текст
Аннотация
Методами вольтамперометрии и импедансной спектроскопии изучено электрохимическое поведение тройных систем силицидо-германидов марганца с различным соотношением в них германия и кремния в 0.5 M водном растворе сульфата натрия. Показано, что устойчивость материалов к окислению уменьшается с ростом доли германия, не способного, в отличие от кремния, образовывать на поверхности материала слой устойчивых оксидов.
Ключевые слова
Полный текст
ВВЕДЕНИЕ
Трехкомпонентные силициды металлов активно исследуются в последние десятилетия и могут найти свое применение как электрокатализаторы процессов электрохимического выделения газов, противокоррозионные покрытия и даже конструкционные материалы [1–5].
Силицидо-германиды марганца представляют собой малоизученные тройные системы, электрохимическое поведение которых рассматривается не как сумма вкладов отдельных компонентов, но как поведение самостоятельного материала. Эта особенность связана с тем, что параметры связей Mn–Mn, Si–Si и Ge–Ge в простых веществах значительно отличаются от таковых в силицидах и германидах марганца [6].
Силицидо-германиды марганца являются удобными моделями для исследования влияния неметаллической компоненты на коррозионную стойкость трехкомпонентного материала, поскольку марганец является чрезвычайно активным металлом с множеством степеней окисления [7, 8], а кремний и германий являются близкородственными элементами с похожим набором свойств. При этом кремний является достаточно пассивным к коррозии материалом [9–11], а германий напротив, не обладает значительной стойкостью к анодному воздействию [12].
Силицидо-германиды марганца представляют собой твердые растворы, состоящие из нескольких фаз, занимающие с точки зрения электрохимии промежуточное положение между силицидами и германидами и обладающие смешанным комплексом свойств, характерных для обоих этих соединений [6, 13, 14]. В кислых средах коррозионно-электрохимическое поведение германия и кремния различается: при увеличении доли кремния в материале происходит увеличение коррозионной устойчивости силицидо-германида к действию агрессивной среды [14]. Поскольку при изменении состава раствора, в том числе при переходе от кислот к нейтральным средам, характер взаимодействия поверхности материала со средой будет меняться [15] и исследование подробностей такого изменения для тройных систем силицидо-германидов марганца до сих пор не проводилось, изучение процессов, происходящих на силицидо-германидах марганца в среде раствора сульфата натрия, являлось целью данной работы.
ЭКСПЕРИМЕНТАЛЬНАЯ ЧАСТЬ
Силицидо-германиды марганца составов Mn5Si3-2.85Ge2.85, Mn5Si3-2.40Ge2.40 и Mn5Si3-0.60Ge0.60, а также силицид Mn5Si3 и германид Mn5Ge3 марганца, полученные по методике, описанной в работе [1], подвергались анодной поляризации от потенциала открытой цепи до +1.6 В (относительно ст.в.э.). Электрохимические измерения проводились в трехэлектродной ячейке ЯСЭ-2 с термостатированием при 25°С посредством потенциостата-гальваностата Metrohm Autolab PGSTAT302N (Нидерланды). Эксперименты проводились в условиях естественной аэрации и стационарной диффузии. Подробно методика эксперимента изложена в работе [10]. Диапазон используемых в импедансных измерениях частот f (ω/2π) составлял от 25000 Гц до 0.05 Гц, амплитуда переменного сигнала 10 мВ. Перед проведением импедансных измерений электрод выдерживался в растворе при соответствующих потенциалах до стабильных значений плотности тока. Для обработки импедансных данных были использованы программы NOVA 2.1.4. и ZView.
РЕЗУЛЬТАТЫ И ОБСУЖДЕНИЕ
Для успешного анализа электрохимического поведения силицидо-германидов марганца обязательным условием является изучение и подтверждение кристаллической структуры образцов. На рис. 1 представлены дифрактограммы для силицидо-германидов марганца различного состава.
Рис. 1. Дифрактограммы для силицидо-германидов Mn5Si3-0.60Ge0.60 (а), Mn5Si3-2.40Ge2.40 (б) и Mn5Si3-2.85Ge2.85 (в)
Было выяснено, что все изучаемые образцы силицидо-германидов марганца относятся к поликристаллическим материалам, из-за наличия набора пиков, характерных для разных фаз. Все обнаруженные фазы относятся к гексагональной сингонии. Фазовый состав образцов и их процентное соотношение приведены в табл. 1. На основе данных рентгеноструктурного анализа можно заключить, что с увеличением доли атомов германия в образце фазы состав материала изменяется от преимущественного содержания фазы силицида марганца к фазе германида марганца.
Таблица 1. Фазовый состав образцов и тип сингонии фаз силицидо-германидов марганца
Образец | Фаза 1 | % | Фаза 2 | % |
Mn5Si2,40Ge0,60 | Mn5Si3 | 64.1 | Mn5Si2.40Ge0.60 | 35.9 |
Mn5Si0,60Ge2,40 | Mn5Si0.90Ge2.10 | 73.8 | Mn5Ge3 | 26.2 |
Mn5Si0,15Ge2,85 | Mn5Ge3 | 91.9 | Mn5Si3 | 8.1 |
Методом поляризационных кривых (ПК) было исследовано анодное поведение силицидо-германидов марганца различного состава в среде водного раствора сульфата натрия (рис. 2). Установлено, что из всех исследованных в работе материалов силицид марганца Mn5Si3 наиболее стоек к анодному окислению и практически пассивен в данных условиях. Максимальное значение плотности тока на силициде марганца составило 10–7 А/см2. Такие невысокие плотности тока объясняются наличием пассивной пленки, состоящей из диоксида кремния, которая блокирует поверхность образца и сильно замедляет скорость окисления [9].
Рис. 2. Поляризационные кривые для Mn5Ge3 (1), Mn5Si3-2.85Ge2.85 (2), Mn5Si3-2.40Ge2.40 (3), Mn5Si3-0.60Ge0.60 (4) в растворе 0.5 М Na2SO4, скорость изменения потенциала 1 мВ/с. На врезке – поляризационная кривая Mn5Si3 (5) в аналогичных условиях
Германид марганца Mn5Ge3 растворяется с высокими плотностями тока (до десятков мА). При этом его анодное поведение гораздо сложнее, чем у силицида, и характеризуется наличием большого числа интермедиатов. При потенциалах, аноднее +1.4 В, процесс протекает сложным образом, с наличием осцилляций плотности тока. Поскольку в данной области начинается выделение кислорода, эти осцилляции могут быть обусловлены растрескиванием и деформацией образовавшегося ранее оксидного слоя, предположительно состоящего из соединений германия [10].
ПК для силицидо-германидов марганца в значительной степени похожи на кривую для германида марганца. С увеличением содержания кремния скорость анодного окисления снижается за счет образования слоя SiO2, препятствующего дальнейшему окислению поверхности материала. Германий же при анодной поляризации образует гидратированный оксидный слой, защитные качества которого существенно ниже, чем у пленки из диоксида кремния. Значительные величины плотности анодного тока на образцах силицидо-германидов марганца позволяют предположить протекание селективного растворения марганца из-под оксидной пленки на участках, занятых гидратированным слоем оксидов германия и пленкой оксида кремния, а также удаление продуктов его окисления с поверхности. Характерный для германида марганца Mn5Ge3 пик анодного растворения при потенциале E = 0.6 В с уменьшением содержания германия в образце становится менее выраженным вследствие уменьшения количества интермедиатов германия, образованных в ходе анодного процесса. После поляризации образцов Mn5Si3-2.40Ge2.40 и Mn5Si3-2.85Ge2.85 наблюдалось помутнение в растворе электролита, связанное с присутствием взвешенных частиц оксидов, попавших в раствор после деформации оксидного слоя, при этом образцы оказывались покрытыми слоем желто-коричневого цвета, достаточно легко отслаивающимся с поверхности. Ранее было показано, что в кислых средах и нейтральных средах силицидо-германиды могут растворяться с образованием толстого слоя фазы оксидов сложного состава [9, 10].
Методом электрохимической импедансной спектроскопии (ЭИС) были получены наборы графиков Найквиста для каждого из исследуемых силицидо-германидов марганца. Кривые на спектрах получены с помощью соотношений Кромерса – Кранига, для подтверждения стабильности исследуемых систем во времени и их линейности [11].
При низких анодных потенциалах годограф импеданса Mn5Si3-0.60Ge0.60 (рис. 3) представляет собой две слабо разделенные емкостные полуокружности. Смещенный центр у низкочастотной (НЧ) полуокружности дает основания предполагать наличие скрытого индуктивного эффекта, характеризующего накопление интермедиатов реакции на поверхности электрода. При анализе спектров следует помнить, что данный образец преимущественно состоит из фазы силицида марганца. В связи с этим активно-пассивный переход начинается раньше, чем на других образцах. С повышением потенциала поляризации годограф разделяется на две полуокружности со значительно смещенными центрами относительно мнимой составляющей импеданса и низкочастотную дугу, стремящуюся в квадрант с отрицательными значениями Z'', что характерно для пассивирующихся электродов [12].
Рис. 3. Графики Найквиста для Mn5Si3-0.60Ge0.60 при анодной поляризации в 0.5 М растворе Na2SO4 при потенциалах Е, В: – 0.1 (1), 0.0 (2), 0.1 (3), 0.2 (4), 0.3 (5), 0.4 (6), 0.5 (7), 0.6 (8), 0.7 (9), 0.8 (10), 0.9 (11), 1.0 (12)
Моделирование сложных годографов импеданса для двухфазных образцов должно начинаться с составления общей схемы процесса, которая в данном случае представляет собой параллельно соединенные импедансы для марганца, кремния и германия (рис. 4) [13].
Рис. 4. Общая эквивалентная схема для анодного растворения образцов
В связи с высокой сложностью моделирования эквивалентной схемы для двух параллельно окисляющихся фаз было принято решение составить несколько наиболее простых схем, содержащих наименьшее количество параметров для каждого отдельного образца с учетом индивидуальных особенностей их электрохимического поведения. За основную модель для составления эквивалентных схем была принята модель Максвелла для параллельно протекающих процессов [14], которые, предположительно, происходят в ходе анодного растворения силицидо-германидов марганца.
Для образца Mn5Si3-0.60Ge0.60, содержащего в себе большое количество фазы Mn5Si3, предложены две схемы, моделирующие процесс анодного растворения (рис. 5). Здесь R1 моделирует сопротивление раствора, CPE1 – емкость двойного электрического слоя с учетом шероховатости поверхности, а цепочка R2С1 моделирует сопротивление переноса заряда через межфазную границу и псевдоемкость адсорбированных на поверхности ионов. На графике Найквиста в области низких частот при E = + 0.4 В содержится скрытая индуктивная дуга, характеризующая превращение одной формы адсорбированных ионов в другую при изменении степени заполнения поверхности, поэтому схема на рис. 5б для данного годографа предполагает наличие цепочки R3L1.
Рис. 5. Эквивалентные схемы для годографов импеданса Mn5Si3-0.60Ge0.60 в интервале потенциалов Е = 0.4 В (а) и Е = 0.5 – 1.0 В (б)
Для спектров при потенциалах аноднее Е = 0.4 В предложена другая схема (рис. 5б), где вместо индуктивной составляющей присутствует элемент емкости C2. Так как фаза силицида марганца пассивна в данной среде, коррозионное разрушение будет протекать на границах двух фаз или на поверхности нестойкой германийсодержащей фазы. Включение R3C2 обусловлено образованием пассивного слоя продуктов коррозии при высоких анодных потенциалах, предположительно состоящего из оксидов кремния и германия. По данным эквивалентным схемам был осуществлен расчет значений параметров. Критерий χ2, описывающий правильность рассчитанных данных, лежит в интервале значений от 3 × 10–3 до 10 × 10–3. Включение дополнительной RC-цепочки, описывающей влияние оксидов германия на растворяющийся материал, не дает существенного улучшения критерия χ2. В табл. 2 представлены значения, рассчитанные по методу наименьших квадратов с использованием весовых коэффициентов и описанных схем.
Таблица 2. Характеристические частоты для Mn5Si3-0.60Ge0.60, поляризовавшегося в 0.5 М растворе Na2SO4
Е, В | f0.1, Гц | f0.2, Гц |
–0.1 | 16.86 | – |
0.0 | 8.35 | – |
0.2 | 10.56 | 0.50 |
0.3 | 222.03 | 0.63 |
0.4 | 716.55 | 1.01 |
0.5 | 905.76 | 1.01 |
0.6 | 1447.29 | 5.23 |
0.7 | 1447.29 | 5.23 |
0.8 | 1447.29 | 4.13 |
0.9 | 1447.29 | 0.40 |
1.0 | 1447.29 | – |
Таблица 3. Значения параметров эквивалентных схем для Mn5Si3-0.60Ge0.60
E, В | R1, Ом см2 | R2, Ом см2 | C1, Ф см–2 | R3, Ом см2 | C2, Ф см–2 | L1, Гн см–2 | CPE1, Ф см–2 с(р–1) | p |
0.4 | 8.558 | 219.1 | 0.0024022 | 378.1 | – | 3.943 | 0.00037267 | 0.62 |
0.5 | 8.978 | 252.1 | 0.00070728 | 282.7 | 0.055803 | – | 0.00034193 | 0.61 |
0.6 | 9.197 | 241.4 | 0.00052613 | 312.5 | 0.078136 | – | 0.00022647 | 0.64 |
0.7 | 9.117 | 269.2 | 0.00066622 | 398.9 | 0.032109 | – | 0.0002345 | 0.64 |
0.8 | 9.056 | 275.6 | 0.00079921 | 516.1 | 0.078366 | – | 0.00024712 | 0.64 |
Таблица 4. Характеристические частоты для Mn5Si3-2.40Ge2.40, поляризовавшегося в 0.5 М растворе Na2SO4
Е, В | f0.1, Гц | f0.2, Гц | f0.3, Гц | f0.4, Гц |
–0.1 | 1.01 | – | – | – |
0.0 | 3.27 | – | – | – |
0.2 | 1.61 | – | – | – |
0.3 | 1447.29 | 3.85 | – | – |
0.4 | 4670.81 | 1.62 | – | – |
0.5 | 9433.82 | 3.27 | 6.29 | – |
0.6 | 19054.15 | 6.61 | 1.28 | – |
0.7 | 24085.06 | 13.34 | 2.59 | – |
0.8 | 30445.44 | 21.32 | 4.13 | 0.63 |
0.9 | 30445.44 | 26.95 | 6.61 | 0.80 |
1.0 | 30445.44 | 26.95 | 6.61 | – |
Таблица 5. Значения параметров эквивалентных схем для Mn5Si3-2.40Ge2.40
E, В | R1, Ом см2 | R2, Ом см–2 | C1, Ф см–2 | R3, Ом см–2 | L1, Гн см–2 | R4, Ом см2 | C2, Ф см–2 | CPE1 , Ф см–2 с(р–1) | p |
0.4 | 2.235 | 25.99 | 0.0056071 | 59.11 | 107 | 57.78 | 0.096507 | 0.0018834 | 0.51 |
0.5 | 2.414 | 17.51 | 0.0039698 | 42.01 | 32 | 72.84 | 0.044933 | 0.00054453 | 0.60 |
0.6 | 2.893 | 12.59 | 0.0033871 | 24.24 | 10.9 | 75.4 | 0.031156 | 0.00020698 | 0.69 |
0.7 | 3.441 | 9.868 | 0.0026659 | 17.2 | 4.452 | 55.75 | 0.025566 | 9.8041E-5 | 0.75 |
0.8 | 3.862 | 9.67 | 0.0018869 | 3.72 | 3.72 | 33.98 | 0.030197 | 6.8554E-5 | 0.80 |
Таблица 6. Характеристические частоты для Mn5Si3-2.85Ge2.85 , поляризовавшегося в 0,5 М растворе Na2SO4
Е, В | f0.1, Гц | f0.2, Гц | f0.3, Гц | f0.4, Гц |
–0.1 | 13.34 | – | – | – |
0.0 | 6.61 | – | – | – |
0.2 | 10.56 | – | – | – |
0.3 | 280.65 | 0.69 | – | – |
0.4 | 1144.97 | 1.01 | – | – |
0.5 | 3695.09 | 2.05 | 3.27 | – |
0.6 | 9433.82 | 2.59 | 6.61 | – |
0.7 | 19054.15 | 6.61 | 10.56 | – |
0.8 | 30445.44 | 10.56 | 13.34 | – |
0.9 | 38485.10 | 16.86 | 16.86 | – |
1.0 | 48648.02 | 26.95 | 3.27 | 2.047 |
Таблица 7. Значения параметров эквивалентных схем для Mn5Si3-2.85Ge2.85
E, В | R1, Ом см2 | R2, Ом см2 | C1, Ф см–2 | R3, Ом см2 | L1, Гн см–2 | CPE1, Ф см–2 с(р–1) | p |
0.4 | 4.794 | 17.27 | 0.010272 | 67.74 | 20.84 | 0.00032035 | 0.72 |
0.5 | 5.18 | 9.687 | 0.0072679 | 36.16 | 10.02 | 0.00010324 | 0.80 |
0.6 | 5.418 | 5.376 | 0.0062156 | 11.81 | 3.755 | 3.8551E-5 | 0.89 |
0.7 | 5.773 | 3.623 | 0.0051086 | 5.511 | 1.519 | 1.952E-5 | 0.95 |
0.8 | 5.843 | 3.054 | 0.0044526 | 3.298 | 0.7308 | 1.5592E-5 | 0.95 |
Повышение доли германия в образцах в 4 раза до состава Mn5Si3-2.40Ge2.40 изменяет фазовый состав образца и его электрохимическое поведение. Годографы импеданса в данном случае значительно изменяют свой вид (рис. 6). При потенциалах выше Е = 0.1 В графики Найквиста состоят из двух достаточно разделенных полуокружностей в ВЧ- и НЧ-областях. По аналогии с образцом Mn5Si3-0.60Ge0.60 в области НЧ имеется скрытая индуктивная составляющая спектра, дающая искажение НЧ-полуокружности по оси Z′′. Это становится более заметным в интервале Е = 0.2–0.4 В. Далее индуктивная составляющая спектра представлена хорошо прорисовывающейся полуокружностью в правом нижнем квадранте комплексной плоскости. Все это говорит о более интенсивном накоплении на поверхности электрода интермедиатов реакции, образующихся в процессе окисления фаз германида и силицидо-германида марганца. При потенциале от 0.7 до 1.0 В проявляется еще одна полуокружность в положительной области Z′, которая указывает на превращение одной формы адсорбированных ионов в другую и на изменение степени заполнения поверхности. При поляризации электрода аноднее Е = 0.8 В на годографах импеданса регистрируется, как и в случае с составом Mn5Si3-0.60Ge0.60, растущая из индуктивной полуокружности емкостная дуга, характерная для пассивирующихся электродов.
Рис. 6. Графики Найквиста для Mn5Si3-2.40Ge2.40 при анодной поляризации в 0.5 М растворе Na2SO4 при потенциалах Е, В: – 0.1 (1), 0.0 (2), 0.1 (3), 0.2 (4), 0.3 (5), 0.4 (6), 0.5 (7), 0.6 (8), 0.7 (9), 0.8 (10), 0.9 (11), 1.0 (12)
Для образца Mn5Si3-2.40Ge2.40 спектры импеданса при данных потенциалах удовлетворительно моделируются схемой, представленной на рис. 7. Цепочка R2C1, содержащая сопротивление переноса заряда и адсорбционную псевдоемкость, описывает анодное растворение марганца. Цепочка R3L1 характеризует процесс накопления адсорбированных частиц на поверхности электрода и их переход в другую форму, а R4C2 соответствует сопротивлению и емкости оксидного слоя смешанного состава с преобладанием оксидов германия. Расчет параметров по данной схеме дал удовлетворительное значение χ2-критерия, составившее от 1 × 10–3 до 5 × 10–3.
Рис. 7. Эквивалентная схема для годографов Mn5Si3-2.40Ge2.40 в интервале потенциалов Е = 0.4 – 0.8 В
Аналогично предыдущим образцам, годограф импеданса для состава Mn5Si3-2.85Ge2.85 состоит из двух емкостных полуокружностей и одной индуктивной полуокружности (рис. 8). Здесь индуктивная составляющая также находится в скрытой форме и проявляется искажением спектра в области низких частот. Интересно, что появление четвертого максимума в области низких частот происходит только при потенциале Е = 1.0 В. Это может означать, что накопление интермедиатов на поверхности электрода затруднено, так как образующийся оксидный слой плохо удерживается на поверхности образца и отслаивается в процессе своего роста. Пассивации электрода в таком случае не происходит.
Рис. 8. Графики Найквиста для Mn5Si3-2.85Ge2.85 при анодной поляризации в 0.5 М растворе Na2SO4 при потенциалах Е, В: – 0.1 (1), 0.0 (2), 0.1 (3), 0.2 (4), 0.3 (5), 0.4 (6), 0.5 (7), 0.6 (8), 0.7 (9), 0.8 (10), 0.9 (11), 1.0 (12)
Для образца Mn5Si3-2.85Ge2.85 была предложена другая эквивалентная схема (рис. 9), где вследствие отсутствия четвертого максимума на комплексной плоскости и соответствующей ему емкостной дуги, указывающей на протекание активно-пассивного перехода, цепочка R2C1, содержащая сопротивление переноса заряда и адсорбционную псевдоемкость, описывает анодное растворение марганца. Цепочка R3L1 характеризует процесс накопления адсорбированных частиц на поверхности электрода и их переход в другую форму. В данном случае пассивации электрода не происходит из-за оксидного слоя, слабо блокирующего поверхность, соответственно исключена цепочка, моделирующая сопротивление и емкость оксидной пленки R4C2. Критериальное значение параметра χ2 для элементов лежит в области от 1 × 10–4 до 5 × 10–3, что является удовлетворительным результатом.
Рис. 9. Эквивалентная схема для годографов Mn5Si3-2.85Ge2.85 в интервале потенциалов Е = 0.4 – 0.8 В
Следует отметить, что все приведенные выше годографы импеданса имеют схожий вид, что говорит о некоторой идентичности процессов, протекающих на электродах при анодном окислении. В общем случае, для всех силицидо-германидов марганца ВЧ-полуокружность возникает вследствие протекания параллельных процессов заряжения двойного электрического слоя и переноса заряда через межфазную границу электрод/электролит. НЧ емкостная полуокружность описывает накопление вещества в образующемся оксидном слое по мере поляризации электрода. Индуктивная НЧ-полуокружность возникает из-за возможного перехода адсорбированных в ходе процесса веществ в другую окисленную форму и изменения степени заполнения поверхности. И наконец, четвертая полуокружность, с емкостным характером, описывает накопление доокисленного интермедиата на поверхности электрода. Для всех исследованных материалов можно предположить протекание следующих возможных реакций [6, 14, 15, 20, 21]:
Mn → Mn2+ + 2e,
Mn + 2H2O → 4H+ + MnO2 + 4e,
Si + 2H2O → 4H+ + SiO2 + 4e,
Ge + H2O → 2H+ + GeO + 2e,
Ge + 2H2O → 4H+ + GeO2 + 4e.
Учитывая анализ полученных импедансных данных, можно предположить, что происходит образование неустойчивых соединений марганца, которые при дальнейшей поляризации переходят в раствор в форме ионов Mn2+, что хорошо соотносится с предыдущим исследованием анодного поведения Mn и Mn5Ge3 в нейтральном сульфатном электролите [10]. В то же время происходит образование оксидного слоя, состоящего из оксидов кремния и германия. Все это говорит в пользу гипотезы об образовании слоя сложного состава GeOx в качестве основного компонента оксидного слоя при анодировании силицидо-германидов с высоким содержанием германия. В то же время нельзя исключать образование некоторого количества диоксида марганца или диоксида германия.
Рисунок 10 иллюстрирует изменение параметров, рассчитанных из эквивалентных схем, при анодной поляризации исследуемых материалов. Сопротивление переноса заряда Rct для образца Mn5Si3-2.40Ge2.40 сохраняет почти постоянное значение, в то время как для образцов Mn5Si3-2.40Ge2.40 и Mn5Si3-2.85Ge2.85 характерно его снижение в процессе поляризации, что свидетельствует о слабой устойчивости силицидо-германидов марганца с большим содержанием германия к коррозии.
Рис. 10. Зависимость сопротивления переноса заряда (Rct) (а) и емкости ДЭС (Cdl) (б) от потенциала для Mn5Si3-0.60Ge0.60 (1), Mn5Si3-2.40Ge2.40 (2) и Mn5Si3-2.85Ge2.85 (3)
Из элемента СPE1 была рассчитана истинная емкость двойного электрического слоя (ДЭС), которая слабо зависит от потенциала, но оказывается чувствительной к количеству германия в образце. При увеличении доли германия она значительно повышается, что говорит об образовании толстого слоя продуктов коррозии.
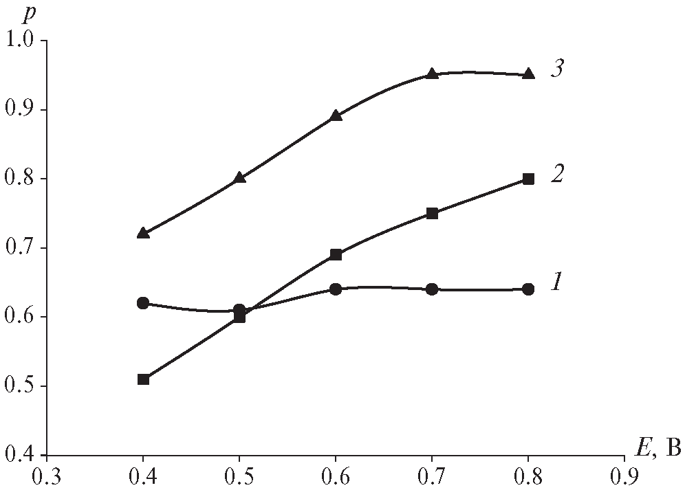
Параметр р, описывающий отклонение емкости ДЭС от емкости идеального конденсатора, увеличивается с увеличением потенциала для двух образцов с высоким содержанием германия, Mn5Si3-2.40Ge2.40 и Mn5Si3-2.85Ge2.85 (рис. 11). Из этого можно заключить, что степень неоднородности поверхности образца понижается вследствие нарастания слоя оксидов. Практически постоянная величина р, слабо зависящая от потенциала для Mn5Si3-0.60Ge0.60, говорит о стабильной шероховатости поверхности, незначительно меняющейся с увеличением поляризации, поскольку поверхность образца покрыта главным образом оксидом кремния, количество которого практически не изменяется, и серьезного накопления толстой оксидной пленки в данном случае не происходит.
Рис. 11. Зависимость параметра р от потенциала для Mn5Si3-0.60Ge0.60 (1), Mn5Si3-2.40Ge2.40 (2) и Mn5Si3-2.85Ge2.85 (3)
ЗАКЛЮЧЕНИЕ
Силицидо-германиды марганца показали себя материалами с весьма низкой устойчивостью к коррозионному воздействию в растворе 0.5 М Na2SO4, причем с увеличением доли германия в образцах происходит значительное ухудшение их коррозионной стойкости, в сравнении с силицидом марганца. Основной причиной такого активного поведения материалов является образование на их поверхности оксида германия неустановленного состава GeOx, который, в отличие от оксида кремния, не имеет хорошей адгезии к поверхности. Метод электрохимической импедансной спектроскопии подтвердил, что с увеличением доли германия в образце происходит увеличение емкости ДЭС, поскольку толщина слоя оксида германия растет, не оказывая, однако, защитного действия. Таким образом, полученные данные можно использовать для прогнозирования анодного растворения сложных систем, содержащих одну металлическую и две неметаллических компоненты, где при увеличении доли менее устойчивого к растворению компонента ухудшается общая анодная стойкость материала.
КОНФЛИКТ ИНТЕРЕСОВ
Авторы заявляют, что у них нет конфликта интересов.
Об авторах
И. Л. Ракитянская
Пермский государственный национальный исследовательский университет
Автор, ответственный за переписку.
Email: irisa@yandex.ru
Россия, Пермь
Д. А. Мясников
Пермский государственный национальный исследовательский университет
Email: mda@psu.ru
Россия, Пермь
Список литературы
- Gonzalez-Rodriguez, J.G., Rosales, I., Casales, M., Serna, S., and Martinez S., Corrosion performance of molybdenum silicides in acid solutions, Mater. Sci. and Engineering: A., 2004, vol. 371, p. 217.
- Chen, H., Shao, X., Ma, J., and Huang, B.X., Corrosion and microstructure of the metal silicide (Mo1−xNbx)5Si3, Corrosion Sci., 2013, vol. 70, p. 152.
- Chen, X. and Liang, C., Transition Metal Silicides: Fundamentals, Preparation and Catalytic Appl. Catal. Sci. & Technol., 2019, vol. 9, p. 4785.
- Wang, D., Li, P., Kang, K., Zhang, C., Yin, J., Jiang, M., and Zeng, X., Corrosion behaviors of Cr13Ni5Si2 based composite coatings prepared by laser-induction hybrid cladding, Surface and Coatings Technol., 2016, vol. 300, p. 128.
- Li, R.P., Chen, H., Hao, X.H., Zhao, X.C., and Huang, B.X., Microstructure, mechanical properties and tribocorrosion characteristics of (Mo1-xCrx)5Si3 alloys, Intern. J. Refractory Metals and Hard Materials, 2023, vol. 115, p. 106291.
- Шеин, А. Б. Электрохимия силицидов и германидов переходных металлов, Пермь: Изд-во Перм. гос. ун-та, 2009. 269 с. [Shein, A.B. Electrochemistry of silicides and germanides of transition metals (in Russian), Perm: Issue of Perm State University, 2009. p. 269.]
- Hurlen, T. and Våland, T., Electrochemical behaviour of manganese: Dissolution, deposition, hydrogen evolution, Electrochim. Acta, 1964, vol. 9, no. 8, p.1077.
- Messaoudy, B., Anodic behavior of manganese in alkaline medium, Electrochim. Acta, 2001, vol. 46. P. 2487.
- Ефимов, Е.А. Об особенностях электрохимического растворения кремния n-типа. Докл. АН СССР. 1960. Т. 130. № 2. C. 353. [Efimov, E.A., About specificities of electrochemical dissolution of n-type silicon, Doklady AN SSSR (in Russian), 1960, vol. 130, no. 2, p. 353.]
- Lehmann, V., Electrochemistry of Silicon: Instrumentation, Science, Materials and Applications, Wiley-VCH Verlag GmbH, 2003. 283 p.
- Zhang, X., Electrochemistry of Silicon and Its Oxide, Boston: Springer, MA, 2001. 510 p.
- Zhang, L., Zhang, B., Pan, B., Wang, C., Germanium electrochemical study and its CMP application, Appl. Surface Sci., 2017, vol. 422, p. 247.
- Tyurin, A.G., Nikolaychuk, P.A., and Kabardin, A.M., Thermodynamic evaluation of the corrosion-electrochemical behaviour of manganese – germanium system alloys, J. and Engineering, 2016, vol. 19, no. 27, p. 1.
- Шеин, А.Б. Коррозионно-электрохимическое поведениe Mn5Si3, Mn5Ge3 и Mn5(Ge1-xSix)3 в сернокислом электролите. Ползуновский вестник. 2009. Вып. 3. С. 247. [Shein, A.B., Corrosian-electrochemical behaviour of Mn5Si3, Mn5Ge3 and Mn5(Ge1-xSix)3 in sulphuric acid electrolyte, Polzunovskiy vestnic (in Russian), 2009, vol. 3, p. 247.]
- Ракитянская, И.Л., Мясников, Д.А., Шеин, А.Б. Анодное поведение германида марганца Mn5Ge3 в водном растворе сульфата натрия. Конденсированные среды и межфазные границы. 2021. Т. 23. С. 535. [Rakityanskaya, I.L., Myasnikov, D.A., and Shein, A.B., Anodic behaviour of manganese germanide Mn5Ge3 in a sodium sulphate aqueous solution, Condensed Matter and Interphases, 2021, vol. 23, p. 535.]
- Luo, J., Liang, X., Zhang, Y., et al., Application of the Kramers–Kronig relationships in the electrochemical impedance models fit, J. Solid State Electrochem., 2021, vol. 25, 2225.
- Kichigin, V.I. and Shein, A.B., Potentiostatic and impedance spectroscopic studies of the anodic behavior of cobalt silicides in fluoride-containing acidic solutions, Corrosion Sci., 2019, vol. 159, p. 108124.
- Шеин, А. Б., Пантелеева, В. В. Импеданс NiSi-электрода в сернокислом электролите. Уточненная модель активного анодного растворения. Конденсированные среды и межфазные границы. 2015. Т. 17. № 2. С. 201. [Shein, A.B. and Panteleeva, V.V., Impedance of NiSi electrode in sulfuric acid solution. The refined model of active anodic dissolution, Condensed Matter and Interphases, 2015, vol. 17, no. 2, p. 201.]
- Lasia, A., Electrochemical Impedance Spectroscopy and its Applications, New York: Springer, 2014, p. 367.
- Nikolaychuk, P.A., The potential – pH diagram for germanium, Phosphorus, Sulfur, and Silicon and the Related Elements, 2023, vol. 198, no. 9, p. 705.
- Takeno, N., Atlas of Eh pH diagrams. National Institute of Advanced Industrial Science and
- Technology, 2005. 287 p.
Дополнительные файлы













