Влияние состава раствора на десорбционное поведение самоорганизованных на золотом электроде нанопленок алкантиолов с различной природой концевой группы
- Авторы: Овчинникова С.Н.1, Александрова Т.П.1,2
-
Учреждения:
- Институт химии твердого тела и механохимии СО РАН
- Новосибирский государственный технический университет
- Выпуск: Том 60, № 4 (2024)
- Страницы: 300-308
- Раздел: Статьи
- URL: https://ogarev-online.ru/0424-8570/article/view/265895
- DOI: https://doi.org/10.31857/S0424857024040042
- EDN: https://elibrary.ru/QWSMQX
- ID: 265895
Цитировать
Полный текст
Аннотация
С помощью вольтамперометрии и хроноамперометрии исследовано влияние состава раствора на электродесорбционное поведение хорошо сформированных на золоте нанопленок (Self-assembled monolayers — SAMs) алкантиолов с примерно одинаковой длиной цепи, но с различной природой концевой группы тиолов (R: –CH3, –CH2OH, –NH2). Для исследованных тиолов гидрофильность концевых групп увеличивается в ряду –CH3 << –NH2 ≤ –CH2OH. Выявлено существенное влияние как анионного, так и катионного состава электролита на электрохимическую стабильность и блокирующую способность SAMs тиолов с различными концевыми группами. Установлено, что в щелочных растворах вне зависимости от природы конечной группы тиола электрохимическая стабильность и блокирующая способность SAMs уменьшается в ряду Li+, Na+, K+. В перхлоратных и хлоридных растворах природа катиона в явной форме проявляется только для тиола с концевой –NH2 группой. Для этого тиола при переходе от щелочной к ClO4–- и Сl–-среде характерна смена вида катодных вольт-амперных кривых, что связано с изменением степени протонирования аминогруппы.
Ключевые слова
Полный текст
ВВЕДЕНИЕ
Самоорганизованные монослои (Self-assembled monolayers — SAMs), образующиеся при адсорбции алкантиолов (АТ) на поверхности различных металлов, широко используются как в фундаментальных исследованиях кинетики электродных процессов, так и при создании наноустройств, в том числе детекторов, электро- и биосенсоров [1, 2]. Эффективность работы таких наноустройств во многом определяется барьерными свойствами монослоев. Нарушение целостности монослоев АТ, находящихся в контакте с различными растворами, может происходить из-за проницаемости ионных и молекулярных компонентов раствора. Наблюдается зависимость проницаемости SAMs от толщины монослоя [3, 4], электродного потенциала [5, 6] и природы иона раствора [3, 7, 8]. Причем одни авторы объясняют проницаемость монослоев алкантиола их дефектной структурой [3–6], а другие допускают проникновение ионов через бездефектные плотноупакованные монослои алкантиолов за счет существования в монослоях естественных каналов размером ~3 Å, по которым могут двигаться ионы и небольшие молекулы растворителя [7] или конформации тиольной группы при достаточно высоком электродном потенциале, приводящие к изменению структуры монослоя и облегчению проникновения ионов [5, 9].
Природа концевой функциональной группы определяет поверхностные свойства SAMs и обеспечивает основу для последующих взаимодействий, например, с пептидами, белками, ДНК. В водных электролитах, являющихся естественной средой для многих биоагентов, свойства SAMs зависят не только от связи S–Me и боковых взаимодействий между углеродными цепочками, но и от взаимодействия конечная группа — окружающая среда. Взаимодействия между конечными группами и ионами в растворе для незаряженных групп в основном определяются их полярностью, гидрофобностью и селективными взаимодействиями. Для тиолов с такими конечными группами, как –СООН, –SO3H, –NH2, варьируя рН раствора, можно получать заряженную поверхность Me/SAMs, тогда на плотность упаковки, стабильность и проницаемость нанопленки дополнительно будут влиять электростатические взаимодействия между конечными группами и ионами в растворе. Появление заряда на конечной группе приводит к возникновению сил отталкивания между группами, которые дестабилизируют SAMs, однако формирование слоя противоионов может уменьшать действие этих сил [10–13].
В водных растворах для исследования стабильности и проницаемости SAMs алкантиолов на Au часто используется метод вольтамперометрии (ВА). Область потенциалов электрохимической стабильности адсорбированных на золоте алкантиолов находится между −1.0 и +0.8 В. За пределами этой области алкантиолы десорбируются с поверхности золота за счет восстановительной или окислительной десорбции. Информативным является одноэлектронный процесс восстановительной десорбции (R–Sads + e = R–S–), который в литературе изучен достаточно детально, так как фиксируется на вольтамперограммах в виде резкого пика тока, характеристики которого чувствительны к структуре и свойствам формируемого монослоя тиола [14].
Ранее этим методом мы исследовали десорбционное поведение SAMs АТ с одинаковой длиной цепи, но с различной концевой группой R: –CH3, –CH2OH, –NH2 [15]. Для исследованных тиолов гидрофильность концевых групп увеличивается в ряду –CH3 << –NH2 ≤ –CH2OH; они также различаются полярностью и возможностью протонирования аминогруппы. Было показано, что для тиолов с концевыми группами –CH3 и –CH2OH увеличение гидрофильности концевой группы приводит к образованию менее стабильных и менее упорядоченных пленок, что может быть связано с образованием водородных связей полярной группы –CH2OH с молекулами растворителя. Замена углерода на азот в паре тиолов с примерно одинаковой гидрофильностью групп (–CH2OH и –NH2) приводит к образованию более электрохимически стабильной пленки, состоящей из молекул преимущественно в одном энергетическом состоянии, но с худшими изоляционными свойствами.
На сегодняшний день нет общепринятых представлений о причинах нарушения целостности SAMs алкантиолов и механизме проникновения ионов из водных растворов электролитов. Представляло интерес получить систематические данные о влиянии состава раствора на электрохимическую стабильность и блокирующую способность SAMs тиолов с различной концевой группой. В этой работе мы сравнили электродесорбционные данные упорядоченных SAMs с концевой аминогруппой HS(CH2)8–NH2 с тиолами с –CH3 и –CH2OH конечными группами примерно такой же длины цепи на золотом электроде в щелочных, хлоридных и перхлоратных растворах с различными катионами: Li+, Na+, K+.
ЭКСПЕРИМЕНТАЛЬНАЯ ЧАСТЬ
1-октантиол (СH3(CH2)7SH), 8-меркапто-1-нонанол (CH2OH(CH2)8SH) и 8-амино-1-октантиол (NH2(CH2)8SH), этиловый спирт С2H5OН (96 мас. %, ректификат) использовались без дополнительной очистки. Растворы готовились из реактивов марки “х.ч.” и особо чистой воды систем очистки Millipore (18 МОм). Измерения проводились в естественно аэрированных растворах при комнатной температуре 23 ± 1°С. При необходимости удаления растворенного кислорода растворы перед измерениями продувались аргоном в течение 20 мин с поддерживанием атмосферы аргона над раствором в течение эксперимента. Так как АТ в воде практически не растворимы, но хорошо растворимы в этаноле, то для получения однородных водных растворов тиолов использовалась следующая процедура: в фоновый раствор вводилось при перемешивании определенное количество спиртового 10 мМ раствора тиола, при этом получался коллоидный раствор с концентрацией 0.1 мМ тиола.
Электрохимические измерения
Исследования проводились с использованием программно-управляемого потенциостата (IPC-Compact, ИФХЭ РАН, Москва, Россия) и трехэлектродной ячейки. Потенциал (Е) измерялся относительно насыщенного каломельного электрода (н.к.э.) сравнения. Вспомогательным электродом служила платиновая проволока с площадью, существенно превышающей площадь рабочего электрода. Все значения потенциалов в статье приведены относительно потенциала н.к.э. Рабочим электродом служил торец Au-проволоки (чистота 99.99%), имеющей диаметр 0.5 мм и заключенной в тефлоновую оболочку. Поверхность рабочего электрода перед каждым измерением обновлялась путем среза тонкого (2–3 мкм) поверхностного слоя металла с помощью гексанитового резца непосредственно в исследуемом растворе при контролируемом потенциале [16]. Видимая поверхность электрода близка к 2·10−3 см2 и воспроизводилась от среза к срезу с точностью не хуже ±3% [17]. Величина истинной поверхности электрода определялась с учетом заряда для монослойной адсорбции кислорода (400 мкКл см−2) в соответствии с методом Р.Х. Бурштейн [18]. Рассчитанное значение фактора шероховатости равнялось 1.8, что близко к значению, полученному в работе [19]. Вольт-амперные кривые получали в потенциодинамическом режиме при скорости развертки 50 мВ с−1.
Формирование SAMs
Формирование SAMs тиола проводили при контакте чистой (свежесрезанной) поверхности Au-электрода с тиол-содержащим (0.1 мМ) водным раствором фонового электролита при заданном потенциале адсорбции. Сразу после окончания формирования SAMs снимали вольт-амперные кривые в этом же растворе для контроля блокирующих свойств получаемых пленок в области потенциалов от −200 до −900 мВ и фиксирования сигнала восстановительной десорбции SAMs тиола при потенциалах отрицательнее −900 мВ.
Для выбора оптимальных для всех типов тиолов условий формирования SAMs было изучено влияние концентрации фонового раствора, потенциала адсорбции тиолов и времени адсорбции (t). По результатам этого исследования были выбраны одинаковые для всех изучаемых тиолов условия формирования SAMs: время адсор- бции тиола значительно превышало время формирования изолирующих пленок тиолов и составляло t = 120 с; так как адсорбция является наиболее быстрой в области потенциалов от −0.2 до −0.6 В, то для расширения зоны исследования блокирующих свойств монослоя потенциал адсорбции тиола был выбран равным Е = −200 мВ; водные растворы содержали 10−4 М тиола и 0.02 М ионов фонового раствора.
РЕЗУЛЬТАТЫ И ОБСУЖДЕНИЕ
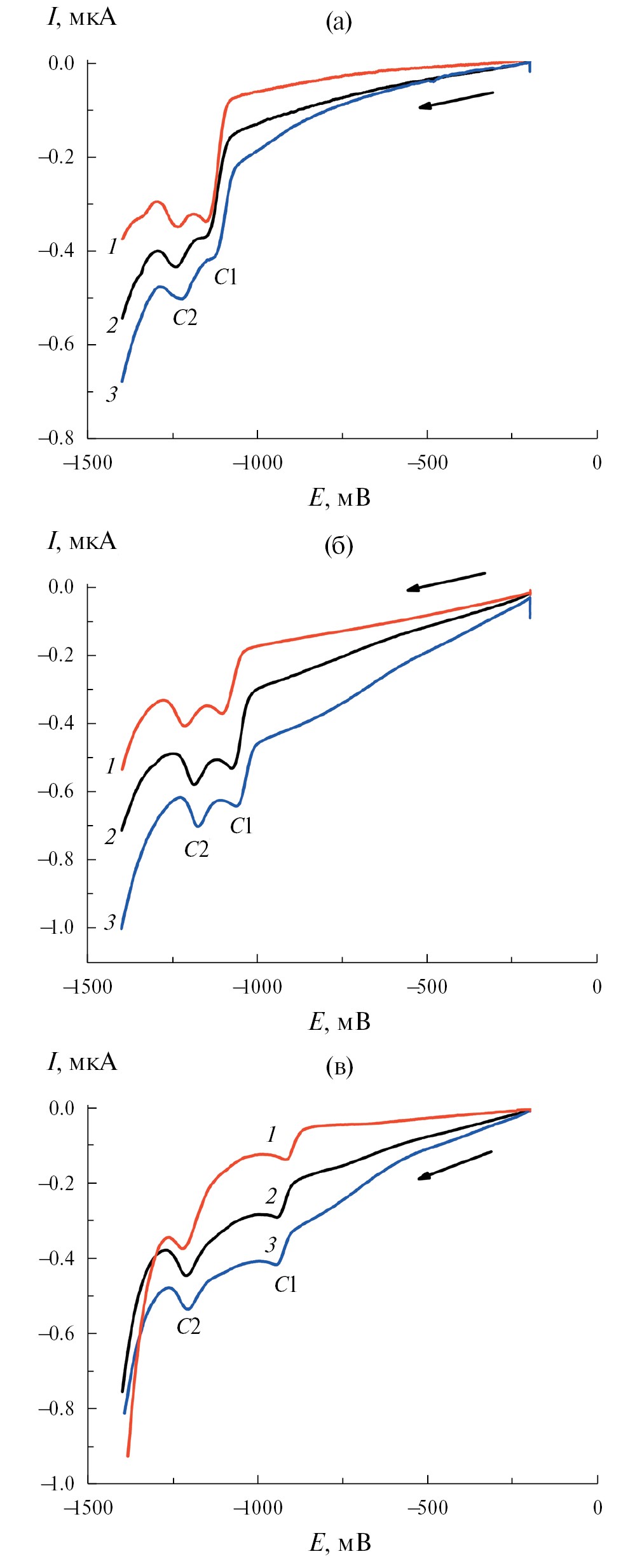
На рис. 1 представлены катодные вольт-амперные кривые, полученные на модифицированных исследуемыми тиолами Au/SAMs электродах в щелочных деаэрированных растворах. Как видно, для всех тиолов фиксируется десорбционный сигнал в два пика тока С1 и С2 при потенциалах отрицательнее −0.9 В, отражающий наличие энергетически разных структур на поверхности золота [20]. Эти пики фиксируются в обычной для модифицированных алкантиолами золотых электродов области потенциалов [21–26], их характеристики чувствительны к условиям формирования монослоя АТ и они отсутствуют при повторном катодном сканировании после десорбции SAMs. Следующий подъем тока при потенциалах отрицательнее −1.2 В связан с восстановлением молекул воды. Следует отметить, что мультипиковая форма десорбционного сигнала известна, и для объяснения причин появления в процессах десорбции алкантиолов нескольких пиков в литературе предложены различные гипотезы, включая существование доменов SАМs с различной стабильностью за счет положения молекул тиола на поверхности металла (“лежачие” или “вертикальные”), расположения на разных гранях поликристаллического электрода, появление дополнительного емкостного тока при перестройке десорбированных тиолят-ионов в мицеллу, катализ реакции разложения слоя молекул воды, расположенных между поверхностью золота и десорбированными агрегатами тиола [27–29].
Рис. 1. Катодные вольтамперограммы Au/SAMs электродов, полученных при выдержке 120 с при Е = −200 мВ в деаэрированном 0.02 М растворе: 1 — LiOH, 2 — NaOН, 3 — KOH в присутствии 0.1 мМ тиолов с разной концевой группой: –CH3 (а), –CH2OH (б), –NH2 (в).
При интегрировании площади под пиками С1 и С2 мы определили количество электричества, затраченное на процесс восстановительной десорбции Qdes, которое изменялось в пределах от −120 до −200 мкКл см−2. По литературным данным на одноэлектронный процесс восстановительной десорбции монослоя алкантиола с поверхности золота затрачивается от 85 до 115 мкКл см−2 [26–28], тогда как расчет согласно закону Фарадея, для Au(111) дает QF ~70 мкКл см−2 [27]. Превышение определяемых по вольт-амперным кривым величин Qdes над QF связано с тем, что величина Qdes состоит из фарадеевской и емкостной составляющих. С учетом нефарадеевского вклада наши результаты показывают, что АТ при адсорбции из щелочных растворов образуют на Au компактный нанослой толщиной в 1–2 монослоя.
При этом вне зависимости от природы конечной группы тиола при смене катиона фонового раствора наблюдается одна и та же тенденция изменения формы вольтамперной кривой: в ряду Li+, Na+, K+ увеличивается величина катодного тока в области потенциалов от 0 до −800 мВ, которая характеризует изолирующие свойства нанопленок. В этом же ряду происходит смещение пиков десорбции в сторону положительных потенциалов для тиолов с –CH3- и –CH2OH-группой, что свидетельствует об уменьшении электрохимической стабильности пленки. Для тиола с концевой аминогруппой, в щелочных растворах находящейся в непротонированной форме, стабильность пленок не зависит от природы катиона.
Такое влияние природы катионов раствора на электрохимическое поведение нанопленок тиолов можно объяснить проникновением катионов из приэлектродного слоя раствора в структуру SAMs [7, 30]. Так как в ряду Li+, Na+, K+ происходит рост подвижности ионов (39, 52, 76 Ом−1 г-экв−1 см2) и уменьшение радиуса гидратированных ионов (3.7, 3.3, 2.85 Å) [31], то самому большому и малоподвижному гидратированному иону лития труднее проникать в плотноупакованный монослой тиола под воздействием сил электрического поля к отрицательно заряженной поверхности золота. Из этого следует, что ионы лития менее всего должны влиять на структуру SAMs в процессе его десорбции.
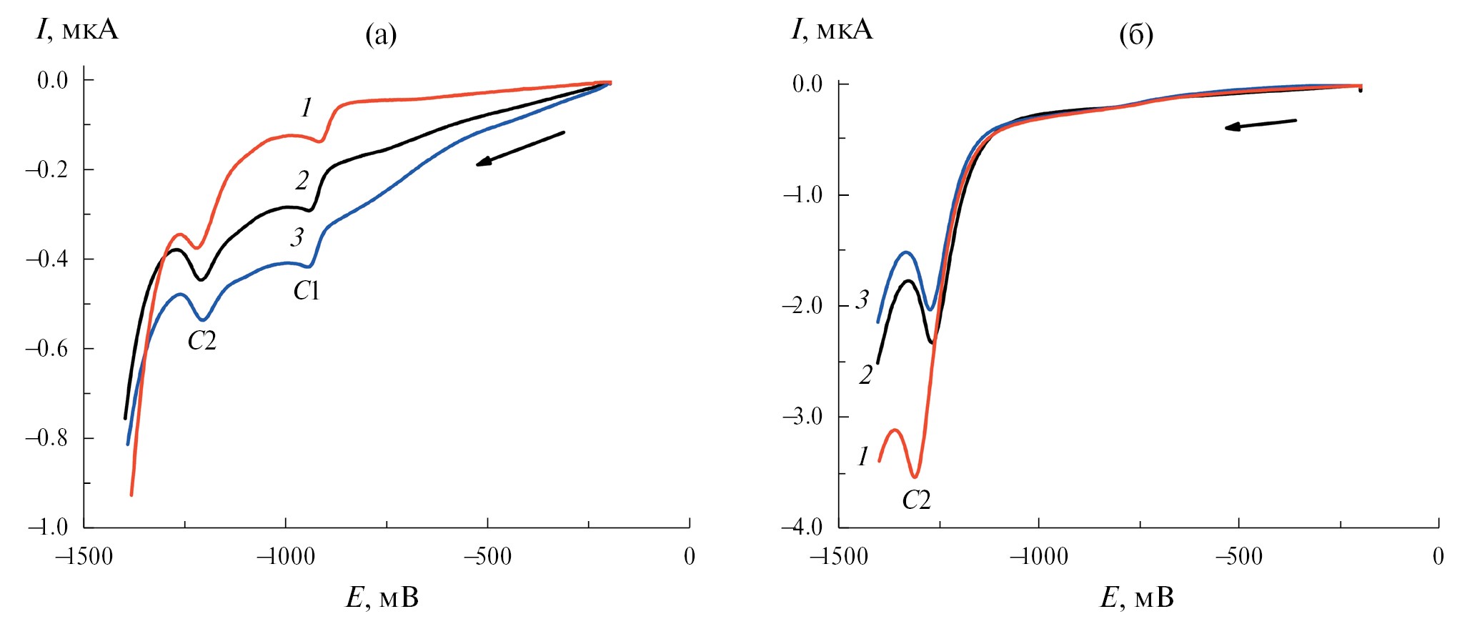
Иная картина наблюдается в перхлоратных и хлоридных растворах. Для тиолов с –CH3- и –CH2OH-группой природа катиона в явной форме не сказывается на десорбционном поведении SAMs в этих растворах. Однако для тиола с –NH2-группой выявлен ряд особенностей поведения в перхлоратных и хлоридных растворах по сравнению со щелочными. Так как в перхлоратных и хлоридных растворах обнаружены похожие тенденции влияния состава раствора на десорбционное поведение тиола, то далее будем представлять результаты на примере перхлоратного раствора. Как видно из рис. 2, при переходе от ОН–- к ClO4–-среде наблюдается смена характера десорбционного сигнала, когда мультипиковый десорбционный сигнал переходит в один пик, который фиксируется при более отрицательных потенциалах. Это свидетельствует о росте стабильности пленки, состоящей преимущественно из молекул в одном энергетическом состоянии, при котором молекулы тиола более прочно связаны с поверхностью золота. Такое поведение 8-амино-1-октантиола можно объяснить возникновением второй связи молекулы тиола с поверхностью золота через азот, что удерживает молекулы тиола в “лежачем” положении: Au‧‧S–(CH2)8 –N‧‧Au [12].
Рис. 2. Катодные вольтамперограммы Au/SR–NH2 электрода, полученного при выдержке 120 с при Е = −200 мВ в деаэрированном растворе 0.1 мМ тиола + 0.02 М щелочного (а) и перхлоратного (б) раствора с разными катионами: 1 — Li+, 2 — Na+, 3 — K+.
В перхлоратных и хлоридных растворах также наблюдается значительное увеличение десорбционного пика тока, что можно объяснить смещением пика в область более отрицательных потенциалов, где процесс разложения воды протекает с достаточной скоростью. Этот процесс, вероятно, и вносит вклад в величину десорбционного пика тока при освобождении поверхности Au при десорбции тиола [15].
Смена характера вольт-амперных кривых при переходе от щелочной к ClO4–- и Сl–-среде может быть связана как с разной адсорбционной способностью анионов на золоте, так и с изменением степени протонирования аминогруппы. Так, для ОН–-ионов характерна сильная адсорбция на золоте в области потенциалов от +0.6 до –0.65 В, тогда как ClO4–- и Сl–- ионы при потенциалах отрицательнее +200 мВ специфически не адсорбируются [32–35]. В щелочных растворах в области потенциалов сильной адсорбции ОН–-ионов этот процесс является конкурентным для процесса адсорбции тиола и может способствовать адсорбции молекул тиола в “вертикальном” положении наряду с молекулами в “лежачем” положении. А в присутствии слабо адсорбирующихся на золоте ClO4–- и Сl–- ионов пленка формируется преимущественно из молекул NH2(CH2)8SH в “лежачем” положении, что и проявляется в фиксировании одного пика десорбции на вольтамперограммах.
Для проверки влияния адсорбции ОН–-ионов на процесс формирования SAMs были проведены эксперименты с изменением потенциала адсорбции тиола, предполагая, что по мере смещения потенциала в отрицательную сторону эффект от явлений, связанных со специфической адсорбцией ОН–-ионов, должен уменьшаться, и при потенциалах Е < −0.7 В свойства электрода должны приближаться к свойствам в растворах, содержащих специфически неадсорбируемые анионы ClO4– и Сl–. На рис. 3а показаны вольт-амперные кривые Au/SR-NH2 электрода в щелочных растворах в зависимости от потенциала адсорбции, подтверждающие это предположение. Как видно, при смещении потенциала адсорбции тиола в отрицательную область наблюдается постепенное уменьшение первого пика десорбции, и при Е = –0.8 В происходит резкое увеличение второго пика.
Изменение вида вольт-амперных кривых при переходе от щелочной к ClO4–- и Сl–-среде также может быть связано с изменением степени протонирования концевой группы от –NH2 в щелочной среде до –NH3+ в ClO4–- и Сl–-среде. Появление заряда на конце молекулы может способствовать стабилизации молекул тиола в “лежачем” положении, которые более прочно связаны с Au за счет образования второй связи молекулы тиола через азот, что отражается на положении десорбционного пика в области более отрицательных потенциалов. В пользу справедливости этого предположения свидетельствуют данные рис. 3б, показывающие изменение десорбционного сигнала при увеличении рН 0.02 М NaClO4 раствора с добавлением NaOH. Как видно, при рН ≤ 11.2 фиксируются кривые с характерным для частично протонированной формы тиола десорбционным сигналом (кривые 1 и 2), а при рН 11.9 — форма кривой (кривая 3) становится похожа на кривую для щелочного раствора, в котором тиол находится с непротонированной –NH2-группой (кривая 4). Следует отметить, что рассчитать область рН перехода от протонированной к непротонированной форме концевой группы тиола и степень ее протонирования при рН 6 в 0.02 М NaClO4 растворе затруднительно, так как определение pKA для SR–NH2 SAMs является непростой задачей, и в литературе существует заметный разброс значений pKA (до 6 единиц для одного вида тиола) [36].
Рис. 3. Катодные вольтамперограммы Au/SR–NH2 электрода, полученного при выдержке 120 с в аэрированном растворе: (а) 0.1 мМ тиола и 0.02 М NaOH при разных потенциалах Е, В: 1 — (–0.2), 2 — (–0.6), 3 — (–0.7), 4 — (–0.8); (б) 0.1 мМ тиола и 0.02 М (NaClO4 + NaOH) при Е= –200 мВ при разных рН раствора: 1 — 6.0 (0.02 М NaClO4), 2 — 11.2, 3 — 11.9, 4 — 12.3 (0.02 М NaOH).
Еще одной особенностью поведения пленки с концевой аминогруппой в перхлоратных и хлоридных растворах является иная зависимость десорбционного пика от природы катиона по сравнению со щелочным раствором, когда его величина растет в ряду K+, Na+, Li+. Такое влияние природы катиона на величину десорбционного пика может быть связано со степенью гидратации ионов, проникающих через SAMs к поверхности металла и доставляющих молекулы воды, участвующие в реакции их восстановления, так как эффект коррелирует с ростом числа гидратации катионов [37] в ряду K+, Na+, Li+ (2.3, 4.0, 5.3) и максимален для наиболее гидратированного иона лития.
ЗАКЛЮЧЕНИЕ
Исследовано влияние природы катионов и анионов раствора на электродесорбционное поведение хорошо сформированных на золоте нанопленок тиолов с примерно одинаковой длиной цепи, но с различной природой концевой группы тиолов. Выявлено существенное влияние как анионного, так и катионного состава электролита на стабильность и блокирующую способность SAMs с различными концевыми группами.
Установлено, что в щелочных растворах вне зависимости от природы конечной группы тиола электрохимическая стабильность и блокирующая способность SAMs уменьшается в ряду Li+, Na+, K+, что можно объяснить проникновением катионов из приэлектродного слоя раствора в структуру SAMs, так как эти данные коррелируют с подвижностью и размерами катионов.
В перхлоратных и хлоридных растворах природа катиона в явной форме проявляется только для тиола с концевой –NH2-группой. Для этого тиола при переходе от щелочной к ClO4–- и Сl–-среде характерна смена вида катодных вольт-амперных кривых, что может быть связано как с разной адсорбционной способностью анионов на золоте, так и с изменением степени протонирования аминогруппы. В перхлоратных и хлоридных растворах отсутствие специфической адсорбции анионов на золоте и появление заряда на конце молекулы тиола способствуют стабилизации молекул тиола в “лежачем” положении за счет образования второго активного центра связи через азот. Влияние природы катиона на величину десорбционного пика тока пленки тиола с аминогруппой может быть связано со степенью гидратации ионов.
ФИНАНСИРОВАНИЕ РАБОТЫ
Работа выполнена в рамках государственного задания ИХТТМ СО РАН (121032500066-2).
КОНФЛИКТ ИНТЕРЕСОВ
Авторы заявляют, что у них нет конфликта интересов.
Об авторах
С. Н. Овчинникова
Институт химии твердого тела и механохимии СО РАН
Автор, ответственный за переписку.
Email: ovchin@solid.nsc.ru
Россия, Новосибирск
Т. П. Александрова
Институт химии твердого тела и механохимии СО РАН; Новосибирский государственный технический университет
Email: taleks99@mail.ru
Россия, Новосибирск; просп. К. Маркса, 20, Новосибирск, 630073
Список литературы
- Galbiati, M., Barraud, C., Tatay, S., Bouzehouane, K., Deranlot, C., Jacquet, E., Fert, A., Seneor, P., Mattana, R., and Petroff, F., Unveiling self-assembled monolayers’ potential for molecular spintronics: spin transport at high voltage, Adv. Mater., 2012, vol. 24, p. 6429.
- Gooding, J.J., Mearns, F., Yang, W., and Liu, Self-assembled monolayers into the 21(st) century: recent advances and applications, Electroanalysis, 2003, vol. 15, p. 81.
- Porter, M.D., Bright, T.B., Allara, D.L., and Chidsey, C.E.D., Spontaneously Organized Molecular Assemblies. 4. Structural Characterization of N-Alkyl Thiol Monolayers on Gold by Optical Ellipsometry, Infrared Spectroscopy, and Electrochemistry, J. Amer. Chem. Soc., 1987, vol. 109, p. 3559.
- Boubour, E. and Lennox, R.B., Potential-induced defects in N-alkanethiol self-assembled monolayers monitored by impedance spectroscopy, J. Phys. Chem. B, 2000, vol. 104, p. 9004.
- O’Brien, B., Sahalov, H., and Searson, P.C., The temperature dependence of the impedance of alkanethiol self-assembled monolayers, Appl. Phys. Lett., 2010, vol. 97, p. 043110.
- Boubour, E. and Lennox, R.B., Stability of Ω-functionalized self-assembled monolayers as a function of applied potential, Langmuir, 2000, vol. 16, p. 7464.
- Dai, J., Li, Z., Jin, J., Cheng, J., Kong, J., and Bi, S., Some thought on the existence of ion and water channels in highly dense and well-ordered CH3-terminated alkanethiol self-assembled monolayers on gold, Biosensors and Bioelectronics, 2009, vol. 24, p. 1074. https://doi.org/10.1016/j.bios.2008.08.034
- Chavez, M., Sanchez-Obrero, G., Madueno, R., Sevilla, J.M., Blazquez, M., and Pineda, T., Self-assembled monolayers of O-(2-mercaptoethyl)-O-methyl-hexa(ethyleneglycol) on gold electrodes. Effects yhe nature of solution/electrolyte on formation and electron transfer blocking characteristics, J. Electroanal. Chem., 2022, vol. 914, p. 116303. https://doi.org/10.1016/j.jelchem.2022.116303
- Sahalov, H., O’Brien, B., Stebe, K.J., Hristova, K., and Searson, P.C., Influence of applied potential on the impedance of alkanethiol Sams, Langmuir, 2007, vol. 23, p. 9681.
- Marmisolle, W.A., Capdevila, D.A., Llave, E., Willams, F.J., and Murgida, D.H., Self-assembled monolayers of NH2-terminated thiolates: order, pKa, and specific adsorption, Langmuir, 2013, vol. 29, p.5351. https://doi.org/10.1021/la304730q
- Azzaroni, O., Vela, M.E., Martin, H., Fernandez Creus, A., Andreasen, G., and Salvarezza, R.C., Electrodesorption kinetics and molecular interactions at negatively charged self-assembled thiol monolayers in electrolyte solutions, Langmuir, 2001, vol. 17, p. 6647. https://doi.org/10.1021/la010019v
- Calvente, J.J., Lopez-Peres, G., and Ramirez, P., Experimental study of the interplay between long-range electron transfer and redox probe permeation at self-assembled monolayers: evidence for potential-induced ion gating, J. Amer. Chem. Soc., 2005, vol. 127, p. 6476.
- Li, J., Liang, K.S., Scoles, G., and Ulman, A., Counterion overlayers at the interface between an electrolyte and an ω-functionalized monolayer self-assembled on gold. An X-ray reflectivity study, Langmuir, 1995, vol. 11, p. 4418.
- Овчинникова, С.Н. Сравнительное электрохимическое изучение самоорганизации октантиола из водного и водно-этанольного растворов на золотом электроде. Электрохимия. 2016. Т. 52. С. 301. [Ovchinnikova, S.N., Comparative electrochemical study of self-assembly of octanthiol from aqueous and aqueous ethanol solutions on a gold electrode, Russ. J. Electrochem., 2016, vol. 52, p. 260.]
- Ovchinnikova, S. and Aleksandrova, T., Influence of the alkanethiol terminal group nature on the electrochemical stability and blocking ability of self-assembled nanofilms on Au electrode, MATEC Web of Conferences, 2021, vol. 340, p. 01013.
- Зелинский, А.Г., Бек, Р.Ю. Твердый электрод с обновляемой путем среза поверхностью. Электрохимия. 1985. Т. 21. С. 66. [Zelinskii, A.G. and Beck, R.Yu., Solid electrode with shear-renewable surface, Electrokhimyia (in Russian), 1985, vol. 21. p. 66.]
- Клетеник, Ю.Б., Александрова, Т.П. Субмикронная регенерация поверхности твердых индикаторных электродов. Металлические электроды. Журн. аналит. химии. 1997. Т.52. С.752. [Kletenik, Yu.B. and Aleksandrova, T.P., Submicron regeneration of the surface of solid indicator electrodes. Metal electrodes, Zh. Anal. Khim. (in Russian), 1997, vol. 52, p.752.]
- Мичри, А.А., Пшеничников, А.Г., Бурштейн, Р.Х. Определение истинной поверхности гладких золотых электродов. Электрохимия. 1972. Т. 8. С. 364. [Michri, A.A., Pshenichnikov, A.G., and Byrshtein, R.Kh., Determination of the true surface of smooth gold electrodes, Electrokhimiya (in Russian), 1972, vol. 8, p. 364.]
- Рогожников, Н.А., Бек, Р.Ю. Емкость двойного слоя и потенциал нулевого заряда золотого электрода в цианистых растворах. Электрохимия. 1987. Т. 23. С. 1440. [Rogozhnikov, N.A. and Beck, R.Yu., Double layer capacitance and zero charge potential of a gold electrode in cyanide solutions, Electrokhimiya (in Russian), 1987, vol. 23, p. 1440.]
- Wong, S.S. and Porter, M.D., Origin of the multiple voltammetric desorption waves of long-chain alkanthiolate monolayers chemisorbed on annealed gold electrodes, J. Electroanal. Chem., 2000, vol. 485, p. 135.
- Love, J.C., Estroff, L.A., Kriebel, J.K., Nuzzo, R.G., and Whitesides, G.M., Self-assembled monolayers of thiolates on metals as a form of nanotechnology, Chem. Rev., 2005, vol. 105, p. 1103.
- Iost, R.M. and Crespilho, F.N., Layer-by-layer self-assembly and electrochemistry: applications in biosensing and bioelectronics, Biosensors and Bioelectronics, 2012, vol. 31, p. 1.
- Gooding, J.J. and Ciampi, S., The molecular level modification of surfaces: from self-assembled monolayers to complex molecular assembles, Chem. Soc. Rev., 2011, vol. 40, p. 2704.
- Chaki, N.R. and Vijayamohanan, K., Self-assembled monolayers as a tunable platform for biosensor applications, Biosensors and Bioelectronics, 2002, vol. 17, p. 1.
- Blake, J. and Raj, M., Regeneration of Gold Surfaces Covered by Adsorbed Thiols and Proteins Using Liquid-Phase Hydrogen Peroxide-Mediated UV-Photooxidation, J. Phys. Chem. C, 2013, vol. 117, p. 1335.
- Carvalhal, R.F., Freire, R.S., and Kubota, L.T., Polycrystalline Gold Electrodes: A Comparative Study of Pretreatment Procedures Used for Cleaning and Thiol Self-Assembly Monolayer Formation, Electroanalysis, 2005, vol. 17, p. 1251.
- Yang, D., Wilde, C.P., and Morin, M., Electrochemical desorption and adsorption of nonyl mercaptan at gold single electrode surfaces, Langmuir, 1996, vol. 12, p. 6570.
- Walczak, M.M., Aves, C.A., Lamp, B.D., and Porter, M.D., Electrochemical and X-ray photoelectron spectroscopic evidence for differences in the binding sites of alkanethiolate monolayers chemisorbed at gold, J. Electroanal. Chem., 1995, vol. 396, p. 103.
- Muglari, M.I., Erbe, A., Chen, Y., Barth, C., Koelsch, P., and Rohwerder, M., Modulation of electrochemical hydrogen evolution rare by araliphatic thiol monolayers on gold, Electrochim. Acta, 2013, vol. 90, p. 17.
- Kislenko, S.A., Nikitina, V.A., and Nazmutdinov, R.R., A molecular dynamics study of the ionic and molecular permeability of alkanethiol monolayers on the gold electrode surface, High energy Chem., 2015, vol. 49, p. 341. https://doi.org/10.1134/S0018143915050069
- Лурье, Ю.Ю. Справочник по аналитической химии. М.: Химия, 1979. 480 c. [Lur’e, Yu.Yu., Handbook of Analytical Chemistry (in Russian), Moscow: Khimiya, 1979. 480 p.]
- Бек, Р.Ю., Махнырь, Н.В., Зелинский, А.Г. Емкость двойного слоя обновляемого золотого электрода. Электрохимия. 1975. Т. 11. С. 1607. [Beck, R.Yu., Makhnyr’, N.V., and Zelinskii, A.G., Capacitance of electric double-layer at a recoverable gold electrode, Electrochimiya (in Russian), 1975, vol. 11, p. 1503.]
- Chen, A. and Lipkowski, J., Electrochemical and spectroscopic studies of hydroxide adsorption at the Au(111) electrode, J. Phys. Chem. B, 1999, vol. 103, p. 682.
- Strbac, S. and Adzic, R.R., The influence of OH- chemisorption on the catalytic properties of gold single crystal surfaces for oxygen reduction in alkaline solutions, J. Electroanal. Chem., 1996, vol. 403, p. 169.
- Shi, Z. and Lipkowski, J., Chloride adsorption at the Au(111) electrode surface, J. Electroanal. Chem., 1996, vol. 403, р. 225.
- Marmisolle, W.A., Capdevila, D.A., Llave, E., Willams, F.J., and Murgida, D.H., Self-assembled monolayers of NH2-terminated thiolates: order, pKa, and specific adsorption, Langmuir, 2013, vol. 29, p. 5351.
- Крестов, Г.А. Ионная сольватация, М.: Наука, 1987. 320 с. [Krestov, G.A., Ionic solvation (in Russian), Moscow: Nauka, 1987. 320 p.]
Дополнительные файлы





