Surface degradation of lithium-manganese spinel in contact with electrolyte solution comprising lithium hexafluorophosphate
- Authors: Koshkina A.A.1, Yaroslavtseva T.V.1, Ukshe A.E.2, Kuznetsov M.V.1, Surikov V.T.1, Bushkova O.V.1
-
Affiliations:
- Institute of Solid State Chemistry, Ural Branch of the Russian Academy of Sciences
- Federal Research Center of Problems of Chemical Physics and Medicinal Chemistry of the Russian Academy of Sciences
- Issue: Vol 60, No 4 (2024)
- Pages: 276-299
- Section: Articles
- URL: https://ogarev-online.ru/0424-8570/article/view/265894
- DOI: https://doi.org/10.31857/S0424857024040034
- EDN: https://elibrary.ru/QWTPTY
- ID: 265894
Cite item
Full Text
Abstract
A set of computational and experimental methods was used to study side chemical interactions in the lithium-ion cathode half-cell based on LiMn2O4 (LMO) in the temperature range of 25–60°C. It was shown that the degradation of LMO electrode starts upon contact of LiMn2O4 particles with a standard (basic) electrolyte solution (1 m LiPF6 in a mixture of ethylene carbonate and dimethyl carbonate (1:1, wt.)). Significant increase in the resistance of the interface layer with time accompanies this process. It has been established that the cause of the degradation without current applying is the relative thermodynamic instability of LiMn2O4 and the lithium salt LiPF6. The equilibrium interaction products were determined, and the mechanism of the critical influence of temperature on the degradation of LIB with lithium-manganese spinel was refined. A model was proposed for the formation of a primary surface layer at the LiMn2O4/electrolyte interface, which explains the distinctive features of the degradation processes in this system.
Full Text
ВВЕДЕНИЕ
Основными конкурентными преимуществами литий-марганцевой шпинели LiMn2O4 (LMO) перед другими коммерциализованными материалами положительного электрода литий-ионных аккумуляторов (ЛИА) являются низкая стоимость, экологичность, повышенная безопасность, способность работать в форсированных режимах заряда/разряда и в условиях низких температур [1–6]. Высокие динамические характеристики электродов на основе LMO обусловлены наличием трехмерной сети каналов миграции Li+ (в противовес двумерным плоскостям в слоистых катодных материалах со структурой типа α-NaFeO2 и одномерным каналам в LiFePO4 (LFP)) [7–9] в сочетании с довольно высоким вкладом электронной проводимости (~10−5–10−4 См см−1) [10–12]. По объемам мирового производства литий-марганцевая шпинель занимает третье место среди активных материалов положительного электрода ЛИА, уступая лишь LiCoO2 (LCO) и LiNixMnyCo1-x-yO2 (NMC) [2, 13]. Однако, в отличие от других материалов, LMO преимущественно используется в производстве аккумуляторов не в индивидуальном виде, а в смеси с NMC и/или LiNi0.8Co0.15Al0.05O2 (NCA) [2, 3]. Это обусловлено не столько сравнительно низкой удельной емкостью LiMn2O4 (148 мА ч/г – теоретическая, 100–120 мАч/г – практически достижимая [2, 4, 6, 7, 10]), сколько ограниченным циклическим ресурсом: ЛИА с положительным электродом на основе литий-марганцевой шпинели отличаются быстрой потерей емкости, особенно при повышенных температурах (≥40°C) [3, 6, 14–16]; это наблюдалось даже в разряженном состоянии [16]. Было установлено, что деградация электродов на основе LMO сопровождается появлением ионов Mn2+ в электролитном растворе с их последующим восстановлением на поверхности отрицательного электрода (углерод, литий, Li4Ti5O12 (LTO)) и образованием включений металлического марганца (см., например, работы [3, 4, 6–9, 14, 17–25]. Восстановленный марганец локализуется в объеме защитного интерфейсного слоя SEI (solid electrolyte interphase) [2, 17, 21, 22, 26], нарушая его электроизоляционные (а значит, и защитные) свойства и ускоряя электрохимическое разложение электролита [25]. Помимо Mn0, в слоях SEI были обнаружены соединения MnF2 [21, 22, 27], MnCO3 [22], MnO2 [6, 22] и другие оксиды и соли марганца [22]. Кроме того, было показано, что ионы марганца способны переосаждаться на положительном электроде из LMO; это увеличивает поляризацию ячейки, затрудняет транспорт ионов лития и существенно снижает емкость электрода [28, 29].
Многочисленные попытки установить причины деградации электродов на основе литий-марганцевой шпинели выявили протекание целого ряда нежелательных процессов [6, 14, 18, 30]. Часть из них относится к структурным перестройкам в самой литий-марганцевой шпинели и дефектообразованию в объеме и на поверхности гранул LMO, тогда как остальные так или иначе связаны с побочными химическими и электрохимическими реакциями на межфазной границе LMO/электролит и активным нарастанием на поверхности положительного электрода интерфейсного слоя, называемого cathode electrolyte interphase (CEI). Если структурные превращения LMO в процессе экстракции/внедрения ионов лития к настоящему времени довольно хорошо изучены [4, 8, 17], то сведения относительно побочных реакций на межфазной границе и формирования CEI неполны и крайне противоречивы. Это не позволяет воссоздать цельную картину деградации электрода на основе LMO, а следовательно, не дает возможность найти эффективные способы ее предотвращения или замедления. (Отметим, что описанные в литературе подходы к стабилизации LMO пока так и не были внедрены в производство.) Таким образом, несмотря на более чем 20-летние интенсивные исследования, проблема стабилизации электрода на основе LMO остается нерешенной [3, 6, 18, 31].
Формирование интерфейсного слоя CEI на поверхности активного материала положительного электрода обычно рассматривают по аналогии с достоверно установленными к настоящему времени процессами образования SEI на отрицательном углеродном электроде [26, 32, 33], принимая во внимание в первую очередь электрохимическое окисление (для SEI – электрохимическое восстановление) компонентов электролитного раствора с образованием пленки из нерастворимых продуктов [34–36]. Однако, в отличие от углеродных материалов, соединения LixMOy (где М – переходный металл) изначально содержат в своем составе большое количество ионов лития (как известно, литий-ионные аккумуляторы собирают в разряженном состоянии). Поэтому LixMOy обладают достаточной химической активностью для непосредственного взаимодействия с электролитным раствором [37], подобно металлическому литию. К сожалению, для материалов положительного электрода вклад побочных химических процессов, приводящих к образованию первичного слоя CEI из продуктов химического взаимодействия, редко становится предметом исследования. Чаще всего этот вклад маскируется суммарными деградационными процессами в ходе циклирования или старения электрода в условиях частичного заряда (разряда). Это в полной мере относится и к литий-марганцевой шпинели, что подтверждают не слишком многочисленные исследования химических взаимодействий LMO c электролитным раствором, содержащим LiPF6, в бестоковых условиях. Протекание химических реакций и быстрое (в течение минут) формирование первичного слоя CEI наблюдали авторы [38] при погружении электрода на основе LiMn2O4 в стандартный электролитный раствор при 25°С; его толщина росла во времени по логарифмическому закону. В работе [39] описана быстрая деградация тонкой пленки LiMn2O4 без сажи и полимерного связующего, также погруженной в стандартный электролитный раствор и выдержанной при повышенных температурах 55, 60 и 70°С. По визуальным наблюдениям, в этих условиях имела место частичная, а со временем и полная деструкция слоя LiMn2O4 и окрашивание электролита в коричневый цвет. Деструкция сопровождалась изменением фазового состава и морфологии поверхности электрода, значительной потерей электропроводящих свойств поверхности и появлением в растворе ионов Mn2+. Авторы [39] отмечают, что те же процессы протекают и при комнатной температуре, но с гораздо меньшей скоростью. Аналогичные результаты получены для электродов на основе LMO в составе электрохимических ячеек, выдержанных в полностью разряженном состоянии при 55оС [16]. По поводу причин и механизмов химических взаимодействий между LMO и электролитными растворами было высказано множество гипотез, однако ни одна из них не дает исчерпывающего объяснения ускоренной деградации литий-марганцевой шпинели, резко отличающей ее от других коммерциализованных материалов положительного электрода. Чаще всего протекание побочных химических реакций связывают со взаимодействием LMO и продуктов разложения электролитного раствора – HF и/или PF5, всегда присутствующих в нем в следовых количествах из-за гидролиза и частичного распада литиевой соли LiPF6 [21, 25, 26, 40]. Однако такое объяснение вряд ли можно считать исчерпывающим.
Целью данной работы было изучение химических взаимодействий между LMO и стандартным электролитным раствором (1 M LiPF6 в смешанном растворителе этиленкарбонат/диметилкарбонат (EC/DMC) (1 : 1, мас.)), в интервале температур 25–60°С, с использованием комплекса взаимодополняющих расчетных и экспериментальных методов. На основании полученных результатов предложена модель формирования на межфазной границе первичного интерфейсного слоя (в бестоковых условиях), объясняющая характерные особенности деградации электродов на основе LMO.
МЕТОДИКА ЭКСПЕРИМЕНТА
Материалы
Литий-марганцевую шпинель получали методом твердофазного синтеза из стехиометрической смеси карбоната лития Li2CO3 (99.5%) (ООО “НПФ Невский химик”, Россия) и карбоната марганца основного водного MnCO3·mMn(OH)2·nH2O (Baltic Cо., Россия) с предварительно уточненным содержанием марганца. Твердофазный синтез LMO проводили путем ступенчатых отжигов при температурах 400–700°C с шагом 100°C с изотермической выдержкой 8 ч и гомогенизацией после каждой ступени.
Для приготовления стандартного электролитного раствора использовали LiPF6 (98%) (Alfa Aesar, Германия), этиленкарбонат (99%) (Sigma Aldrich, США) и диметилкарбонат (99%) (Sigma Aldrich, США). Для удаления следов воды приготовленную смесь растворителей EC/DMC (1 : 1, мас.)) предварительно выдерживали над активированными молекулярными ситами с размером пор 3 Å. Соль лития LiPF6 использовали без дополнительной очистки. Остаточное содержание воды в готовом электролитном растворе не превышало 30 ppm. Все операции проводили в перчаточном боксе MBraun Unilab c контролируемой аргоновой атмосферой (содержание воды и кислорода не превышало 1 ppm).
Экспериментальные методы
Фазовый состав синтезированной литий-марганцевой шпинели определяли при комнатной температуре методом рентгеновской дифракции (XRD7000 (Shimadzu, Япония), CuKα излучение, 2θ = 10–70°, шаг 0.03°). Для идентификации фаз использовали базу порошковых стандартов PDF2 (ICDD, США, Release 2016). Параметры кристаллической структуры продукта рассчитывали методом полнопрофильного анализа Ритвельда с использованием программы Fullprof [41]. Удельную поверхность порошка LMO определяли методом BET по десорбции азота при нагревании с использованием установки Gemini VII 2390 V1.03 (V1.03 t) (Micromeritics Instrument, США). Распределение частиц LMO по размерам исследовали с помощью лазерного анализатора LA-950 (Horibа, Япония) с использованием водной суспензии литий-марганцевой шпинели. Морфологию и микроструктуру полученного порошка LMO и электродов на его основе изучали методом сканирующей электронной микроскопии (СЭМ) с помощью электронного микроскопа JEOL JSM 6390 с приставкой JED 2300 (JEOL, Япония) с увеличением от 500 до 10000. Съемка проводилась на ускоряющем напряжении 10–20 кВ при давлении в камере ~0.1 мПа. Средний размер частиц порошка оценивали по СЭМ-изображениям с помощью программы Smile View. Для исследования состава поверхности образцов LMO использовали метод ИК-спектроскопии (ИКС); съемку спектров вели на спектрометре с фурье-преобразованием Vertex 80 (Bruker, Германия) в области частот 370–4000 см−1, используя приставку ATR c алмазным кристаллом.
Съемка рентгеновских фотоэлектронных спектров (РФЭС) порошка литий-марганцевой шпинели и электродов на ее основе выполнена на электронном спектрометре VG ESCALAB MK II (VG Scientific, Великобритания). Для возбуждения фотоэмиссии электронов с основных (внутренних) и валентных состояний использовалось немонохроматическое Mg Kα-излучение (Ehν = 1253.6 эВ). РФЭС-анализ включал в себя запись обзорных спектров поверхности порошков и спектров внутренних электронных уровней основных элементов. Анализируемая площадь на поверхности образцов составляла ~4 мм2. Глубина РФЭС-анализа не превышала 3–5 нм. Погрешность в определении энергии связи электронных уровней составляла 0.1 эВ. Вакуум в камере анализатора во время измерений поддерживался на уровне 1×10−8 Па.
Элементный анализ электролитных растворов до и после контакта с порошком LMO выполняли методом масс-спектрометрии с индуктивно связанной аргоновой плазмой (ICP-MS). Измерения проводили с помощью квадрупольного масс-спектрометра ELAN 9000 (Perkin Elmer Sciex, США – Канада). Для получения электролита, контактировавшего с LMO, навеску порошка массой 1.1275 г погружали в раствор состава 1 M LiPF6 в EC/DMC (1 : 1, мас.) объемом 4 мл (соотношение компонентов было взято близким к таковому в электрохимических ячейках типоразмера CR2032) и оставляли на 7 сут. при 25°С. По окончании изотермической выдержки смесь разделяли путем фильтрования через фильтр “Синяя лента” с размером пор 3–5 мкм.
Термодинамическое моделирование
Термодинамическое моделирование (ТМ) выполняли с помощью программного комплекса ASTRA.4 [42], применение которого описано в монографиях [43–46]. Для проведения ТМ необходимо знать стандартную энтальпию образования (ΔfH0298), стандартную энтропию (S0298), стандартную теплоемкость (ср0298), приращение энтальпии (Н0298–H00) и коэффициенты температурной зависимости теплоемкости в уравнении Майера–Келли cp = a + bT − c·T-2 + e·T3 + f·T4 для всех существующих в исследуемой системе соединений. Требуемые для расчетов термодинамические характеристики содержатся в справочниках и базе данных ASTRA.BAS [47–49]. Термодинамические характеристики соли лития LiPF6 были взяты из работ [50, 51]. Характеристики литий-марганцевой шпинели LiMn2O4 приведены в работах [52, 53]; отсутствующие в литературе коэффициенты уравнения Майера–Келли для этого соединения были получены нами в результате математической обработки представленной в [52, 53] температурной зависимости теплоемкости.
Электрохимические измерения
Для получения электродной дисперсии порошок LMO смешивали с ацетиленовой сажей “Timcal” (MTI Corporation, США) и 4%-ным раствором поливинилиденфторида (PVdF) (Gelon, КНР) в N-метил-2-пирролидоне (NMP) (Sigma-Aldrich, США) в соотношении 8 : 1 : 1 по массе. Полученную дисперсию наносили на алюминиевую фольгу толщиной 20 мкм по стандартной методике с помощью аппликатора Doctor Blade; после удаления растворителя электроды подвергали горячему прессованию. Перед сборкой электрохимических ячеек готовые электроды выдерживали в вакуумном сушильном шкафу (120°С, 12 ч) для полного удаления остаточного растворителя (NMP) и следов воды. Загрузка активного вещества составляла 6–7 мг/см2.
Электрохимические исследования проводили методами гальваностатического циклирования и импедансной спектроскопии в ячейках монетного типа CR2032 с полипропиленовым сепаратором толщиной 30 мкм (Gelon, КНР). Для гальваностатического циклирования использовали ячейки Li │ Li+ │ LMO c противоэлектродом из металлического лития (99.9%, Alfa Aesar), для импедансной спектроскопии – симметричные ячейки LMO │ Li+ │ LMO. Все операции по сборке ячеек проводили в сухом аргоновом боксе. Для измерений спектров импеданса использовали потенциостат-гальваностат P-45X с модулем FRA-24M (Electrochemical Instruments, Россия). Измерения вели в трех параллелях в интервале частот 100 кГц – 0.1 Гц; амплитуда тестового сигнала составляла 10 мВ. Спектры импеданса записывали в условиях длительной изотермической выдержки при температурах 25, 40 и 60°С через каждые 24 ч. Гальваностатическое циклирование проводили в интервале 3.3–4.3 В (отн. Li0/Li+) при нормированном токе заряда и разряда 0.1С при 25оС; измерения вели в трех параллелях с помощью многоканального потенциостата-гальваностата P-2X8 (Electrochemical Instruments, Россия).
РЕЗУЛЬТАТЫ И ОБСУЖДЕНИЕ
Фазовый состав и морфология литий-марганцевой шпинели
По данным рентгеновской дифракции, полученная путем твердофазного синтеза литий-марганцевая шпинель представляла собой однофазный продукт с параметрами, отвечающими кубической структуре LiMn2O4 (рис. 1). Удельная поверхность (As) порошка LMO, измеренная методом BET, составила 10.0 ± 0.1 м2/г. Оценка среднего размера частиц () по формуле = 6/ρ·As [54] дает величину 139 ± 1 нм, где ρ – рентгеновская плотность LMO.
Рис. 1. Экспериментальная (точки) и расчетная (линия) рентгенограммы синтезированного соединения LiMn2O4. Штрихами обозначены положения Брэгговских рефлексов. Разность между рассчитанными и наблюдаемыми интенсивностями показана внизу (сплошная линия).
Электронные микрофотографии порошка приведены на рис. 2. Можно видеть, что частицы LMO представляют собой агломераты со средним размером порядка нескольких мкм. Они состоят из первичных кристаллов со средним размером около 160 нм (обработка изображений проведена c помощью Smile View); это вполне соответствует оценке среднего размера частиц по данным BET. Кривая распределения частиц по размерам, характеризующая агломераты, приведена на рис. 3; распределение близко к бимодальному с максимумом при 1 мкм (доминируют) и плечом при ~3 мкм, что вполне согласуется с результатами электронной микроскопии (рис. 2).
Рис. 2. Электронные микрофотографии порошка LiMn2O4 при различных увеличениях.
Рис. 3. Распределение частиц LMO по размерам.
Термодинамическое моделирование химических взаимодействий LMO с электролитом
Сущность метода ТМ, основанного на вариационных принципах термодинамики Дорна [55], заключается в полном термодинамическом анализе равновесного состояния многокомпонентной и многофазной системы в целом. Конечным результатом ТМ является количественное определение равновесных продуктов взаимодействия в заданной модельной системе. Сопоставление расчетных и экспериментальных данных позволяет значительно облегчить интерпретацию последних, принимая во внимание термодинамически разрешенные в заданных условиях продукты взаимодействия. Подобный подход был ранее успешно использован при изучении побочных химических взаимодействий LiCoO2 [56, 57] и нанокомпозита Si/SiO2 [58] со стандартными электролитными растворами, содержащими LiPF6. Точность прогнозирования методом ТМ критическим образом зависит от полноты и надежности термодинамических параметров всех возможных в исследуемой системе соединений, представленных в базе данных используемой программы, а также от того, насколько близка заданная модельная система к реальной.
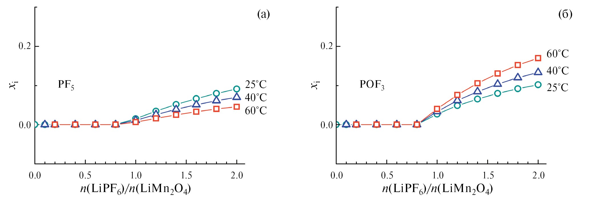
При выполнении термодинамического моделирования химических взаимодействий между литий-марганцевой шпинелью стехиометрического состава LiMn2O4 и электролитом (1 M LiPF6 в EC/DMC (1 : 1 мас.)) исходили из допущения, что все химические процессы в системе обусловлены взаимодействием неорганических компонентов LiMn2O4 и LiPF6 в присутствии следовых количеств воды, не учитывая возможное участие молекул растворителей и растворенное состояние литиевой соли. Это позволило существенно упростить модельную систему. При выполнении ТМ состав исходных рабочих тел задавали в виде системы “LiMn2O4 + LiPF6 + H2O + Ar”. Мольное отношение n(LiPF6)/n(LiMn2O4) варьировали от 0.1 (десятикратный избыток LiMnO4) до 2 (двукратный избыток LiPF6). (В реальных ячейках типоразмера CR2032, используемых в данной работе, отношение n(LiPF6)/n(LiMn2O4) составляло 0.7–0.8.) Содержание воды принимали постоянным по отношению к LiPF6 и соответствующим предельно допустимой для раствора электролита величине 50 ppm. Для того чтобы задать общее давление равным атмосферному (105 Па), в состав модельных систем включали аргон в количестве 1 мас. %. Расчеты выполняли в интервале температур от 25 до 60°С с шагом 5°С. Результаты расчетов, выполненные для 25°С, приведены на рис. 4.
Рис. 4. Состав равновесных продуктов взаимодействия в модельной системе “LiMn2O4 + LiPF6 + H2O + Ar” при 25°С, представленный как зависимость мольной доли i-го продукта (xi) от мольного отношения LiPF6 и LiMn2O4 в заданной исходной смеси (n – число молей реагента).
Из полученных данных следует, что литий-марганцевая шпинель термодинамически неустойчива по отношению к LiPF6, при этом состав равновесных продуктов взаимодействия существенно различается в условиях избытка одного или другого компонента исходной модельной системы (рис. 4). В условиях n(LiPF6)/n(LiMn2O4) ≥1 (т.е. при доминировании LiPF6) качественный состав равновесных продуктов сохраняется неизменным, варьируется лишь их количественное соотношение. В этой области концентраций можно прогнозировать образование единственного соединения марганца – растворимой в электролите соли MnF2, двух не растворимых в электролитном растворе солей лития LiF и LiPO3, газообразного кислорода и кислот Льюиса PF5 и POF3. Важной особенностью является то, что мольная доля PF5 и POF3 при избытке LiPF6 довольно значительна и монотонно увеличивается с ростом содержания LiPF6 в модельной системе (рис. 4). Такое количество POF3 никак не может быть обусловлено наличием следовых количеств воды и гидролизом литиевой соли, так как мольная доля воды x (H2O) в исходных смесях составляет лишь ~10–5. По-видимому, в условиях избытка LiPF6 образование POF3 обусловлено непосредственным взаимодействием LiPF6 с LiMn2O4.
В эквимолярной смеси и в условиях преобладания литий-марганцевой шпинели, когда n(LiPF6)/n(LiMn2O4) варьируется от 1 до 0.2, состав термодинамически вероятных продуктов существенно изменяется (рис. 4). К указанным выше веществам добавляется соединение марганца (+4) MnO2; одновременно становятся пренебрежимо малыми и соразмерными количеству воды мольные доли PF5 и POF3 (~10−18–10−19 и ~10−13 соответственно).
Десятикратный избыток литий-марганцевой шпинели (n(LiPF6)/n(LiMn2O4) = 0.1) (рис. 4) вызывает резкие изменения состава равновесных продуктов взаимодействия. Только в этих условиях сохраняются остаточные количества LiMn2O4 и появляются соединения марганца MnO(OH) и Mn2O3 (где этот элемент проявляет степень окисления +3), а также оксид лития Li2O и следовые количества LiOH. При этом из числа равновесных продуктов исключается MnF2, и становится пренебрежимо малой мольная доля O2 (~10–18). Важно отметить, что, в отличие от LiMn2O4, гексафторфосфат лития LiPF6 во всем изученном диапазоне мольных отношений не сохраняется в составе равновесных продуктов взаимодействия, даже в условиях его большого избытка.
Повышение температуры вплоть до 60°С практически не оказывает влияния на качественный и количественный состав равновесных продуктов. Наиболее заметные изменения заключаются в некотором увеличении мольной доли POF3 при одновременном уменьшении мольной доли PF5 по мере роста температуры (рис. 5).
Рис. 5. Влияние температуры на мольную долю PF5 и POF3 в составе равновесных продуктов взаимодействия в модельной системе “LiMn2O4 + LiPF6 + H2O + Ar”.
Таким образом, на основании результатов термодинамического моделирования можно прогнозировать, что интерфейсный слой на поверхности гранул LiMn2O4, сформировавшийся в результате контакта с электролитным раствором, может иметь мозаичную многофазную структуру и будет состоять в основном из частиц LiF, LiPO3, MnO2 и растворимого в электролите MnF2. Поскольку в реальных ячейках нельзя исключить локальных колебаний концентрации соли в порах композиционной электродной массы, то существует некоторая вероятность обнаружения соединений MnO(OH), Mn2O3, Li2O и LiOH. Кроме того, можно ожидать появления в электролитном растворе и газовой фазе кислот Льюиса PF5 и POF3. Следует принять во внимание и термодинамически вероятное выделение газообразного кислорода, количество которого достигает максимума при отношении n(LiPF6)/n(LiMn2O4) = 0.8 (рис. 4), близком к реальному для ячеек типоразмера CR2032. При этом температура не должна оказывать существенного влияния на состав продуктов побочных химических взаимодействий.
Электрохимические исследования электродов на основе LMO
Исследование электрохимического поведения электродов на основе литий-марганцевой шпинели проводили методами гальваностатического циклирования при 25°С (ячейки Li │Li+│ LiMn2O4) и импедансной спектроскопии при 25, 40 и 60°С (ячейки LiMn2O4│Li+│LiMn2O4). Электролитом служил 1M раствор LiPF6 в ЕС/DMC (1 : 1, мас.).
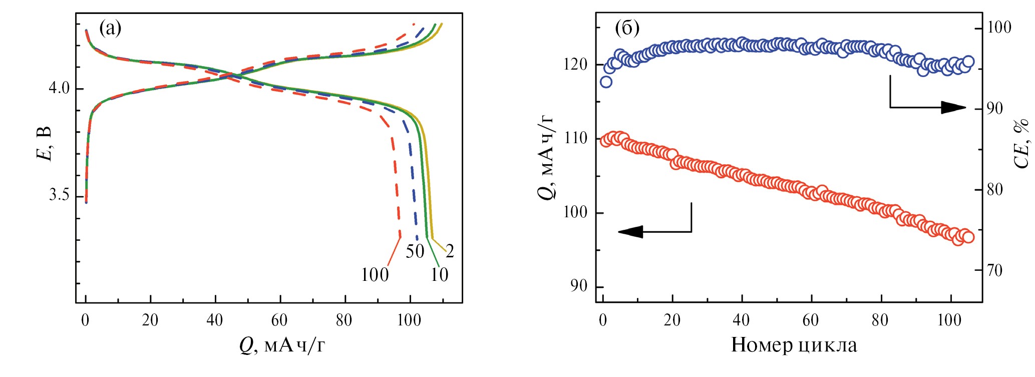
На рис. 6 представлены результаты гальваностатического циклирования ячеек Li │Li+│ LiMn2O4. Можно видеть, что в ходе циклирования сохраняется типичная для литий-марганцевой шпинели форма зарядных и разрядных кривых (рис. 6а). На всех кривых присутствуют два характерных участка с небольшим наклоном (плато), разделенных ступенькой ~150 мВ в области состава Li0.5Mn2O4. Это отвечает двухстадийному процессу интеркаляции/деинтеркаляции лития, протекающему через фазовые переходы первого рода по схеме LiMn2O4 ↔ Li0.5Mn2O4 ↔ λ-MnO2 в соответствии с фазовой диаграммой системы Li–Mn–O [4, 6, 59]. Начальная удельная емкость LMO в первом цикле разряда составила 110 мА ч/г (или 74% от теоретической), что укладывается в диапазон типичных практически достижимых значений (100–120 мА ч/г [2, 4, 6, 60, 61]). Зависимость разрядной емкости электрода на основе LMO от номера цикла приведена на рис. 6б. Можно видеть, что емкость почти линейно снижается в ходе циклирования; в конце измерений на 100-м цикле она составила 88% от первоначальной величины (или 65% от теоретической удельной емкости LMO). При этом кулоновская эффективность циклирования не достигает 100% (рис. 6б). Такое поведение, отражающее быструю деградацию, является совершенно обычным для электродов на основе литий-марганцевой шпинели в стандартных электролитах, содержащих LiPF6 (см., например, работы [16, 17, 18, 62–65]).
Рис. 6. (а) Зарядно-разрядные кривые ячеек Li │Li+│ LiMn2O4 для 2, 5, 10 и 100-го циклов; (б) зависимость разрядной емкости (Q) электрода на основе LMO и кулоновской эффективности циклирования (CE) от номера цикла. (Электролит: 1 M раствор LiPF6 в ЕС/DMC (1 : 1, мас.); нормированный ток заряда и разряда 0.1С; температура 25°С).
Спектры импеданса симметричных ячеек LiMn2O4│Li+│ LiMn2O4, записанные в ходе длительных изотермических выдержек в бестоковых условиях при температурах 25, 40 и 60оС, приведены на рис. 7. Они имеют характерную для электродов литий-ионных аккумуляторов форму и эволюционируют во времени. Легко увидеть, что годографы, полученные при 60°С (рис. 7в), отличаются от спектров, измеренных в других условиях (рис. 7а и 7б). Эволюция спектров во времени однозначно указывает на протекание побочных химических взаимодействий на границе электрод/электролит и позволяет предположить формирование локализованного там же слоя продуктов; деформация полуокружности позволяет допустить наложение нескольких релаксационных процессов.
Рис. 7. Спектры импеданса симметричных ячеек LiMn2O4 │Li+│ LiMn2O4, измеренные в ходе длительных изотермических выдержек при 25 (а), 40 (б) и 60°С (в). На врезках приведены соответствующие эквивалентные схемы. (Электролит: 1 M LiPF6 в EC/DMC (1 : 1, мас.).)
Импедансы положительного и отрицательного электродов ЛИА описываются в эквивалентных схемах очень схожими компонентами с близкими параметрами, к тому же находящимися практически в одних и тех же частотных областях [66, 67]. Поэтому для анализа спектров импеданса электродов на основе различных активных материалов (в том числе и LMO [62, 68]) используется приведенная на рис. 8а обобщенная схема, первоначально предложенная для графитового электрода [69]. Она отражает несколько последовательно протекающих процессов: миграцию ионов лития сначала в растворе электролита (помещенном в сепаратор), а затем в многослойной поверхностной пленке продуктов побочных взаимодействий (CEI), перенос заряда (фарадеевский процесс), диффузию Li+ в твердой фазе и в итоге его накопление в объеме гранул активного материала электрода [39, 62, 66, 68–71]. Поскольку процесс интеркаляции ограничен емкостью активного материала, то в условиях постоянного тока или инфранизких частот измерения (меньше 10 мГц) изменение потенциала при изменении заряда приводит к спектру импеданса, аналогичному спектру блокирующего электрода [66].
Рис. 8. Эквивалентная схема, описывающая процесс интеркаляции лития в активный материал электрода литий-ионного аккумулятора (а) и соответствующий вид годографа импеданса (б). Адаптировано из [66, 67, 69]. Rel – сопротивление электролита в сепараторе, RCEI – суммарное сопротивление интерфейсного слоя, Rct – сопротивление переноса заряда, Cdl – емкость двойного слоя на поверхности частиц активного материала, ZW – элемент Варбурга (диффузионный импеданс), Сint – емкость интеркаляции.
При изучении конкретных электрохимических систем обобщенную схему (рис. 8) адаптируют путем ее детализации и учета дополнительных процессов или, наоборот, путем упрощения. Например, в недавних работах [72, 73]) было показано, что сопротивление переноса заряда является комплексным процессом, состоящим из двух последовательных стадий: десольватации катионов лития и фарадеевской реакции интеркаляции. В работе [74] при анализе спектров импеданса электрода на основе LiCoO2 авторы учли, помимо десольватации лития и фарадеевского процесса, еще и миграцию ионов Li+ в порах композиционного электрода, а также его адсорбцию на поверхности частиц.
В данной работе годографы импеданса, измеренные при 25 и 40°С, были обработаны по одной и той же упрощенной эквивалентной схеме, где набор RC-цепей заменен на параллельно соединенные RCEI и СCEI (рис. 7а и 7б). Для анализа спектров, измеренных при 60°С и имеющих несколько иную форму, использовали другой вариант упрощенной эквивалентной схемы, в которой не разделяли RCEI и Rct, используя их комбинацию R (рис. 7в). Дело в том, что вследствие деградации Rct с увеличением температуры растет заметно быстрее RCEI; мало того, при 60оС его рост еще более ускоряется во времени (см. далее рис. 9). Поэтому при температуре 60оС выделить цепочку RCEI||CCEI не представляется возможным на фоне Rct. Поэтому для обработки спектров импеданса, измеренных при 60оС, применили другой вариант эквивалентной схемы, в которой не разделяли RCEI и Rct, используя их комбинацию R (рис. 7в). Такая упрощенная схема позволяет корректно рассчитать R, тогда как более сложная не позволяет провести фиттинг вследствие неопределенности величины RCEI. Рассчитанные значения RCEI, Rct и общего сопротивления R представлены на рис. 9а–в как функция времени изотермической выдержки. Можно видеть, что при 25°С величина RCEI, характеризующая сопротивление интерфейсных слоев, за первые сутки достигает ~25 Ом, затем медленно растет в течение 140 сут. до ~35 Ом и далее стабилизируется в диапазоне 35–40 Ом (рис. 9а). При 40°С наблюдается иная картина: RCEI быстро снижается от ~75 Ом (после 1 сут.) до ~55 Ом в течение 7 сут., а затем плавно возвращается к первоначальному значению (рис. 9б). Интересно, что и при 25°С, и при 40°С сопротивление переноса заряда Rct увеличивается быстрее, чем сопротивление интерфейсного слоя RCEI, и этот рост носит монотонный характер (рис. 9а и 9б). Ускоренный рост Rct может быть связан с постепенной деактивацией поверхности частиц LMO вследствие обнаруженной авторами работ [39, 68, 75] каталитической полимеризации молекул карбонатных растворителей (DMC и/или EC), что сопровождается снижением поверхностной электропроводности электроактивного материала [39]. Согласно [75], полимерная пленка локализуется непосредственно на поверхности гранул, т.е. ближе, чем неорганические продукты деградации. Повышение температуры от 25 до 40°С приводит, очевидно, к ускорению всех процессов, не меняя их природы [16, 20, 75, 76], так как сопоставимые значения RCEI достигаются при 40°С после 1 сут., а при 25°С – спустя 270 сут. выдержки (рис. 9а и 9б). Сравнение кривых общего сопротивления R (рис. 9в) показывает, что при температурах выше комнатной имеет место значительный рост этой величины во времени. Однако если при 40°С значение R быстро растет в начальный период (~7 сут.), то при 60°С сначала наблюдается небольшой спад, а затем замедленный рост R с постепенным ускорением и переходом к эспоненциальному (рис. 9б).
Рис. 9. RCEI и Rct как функция времени изотермической выдержки при 25°С (а) и 40°С (б); общее сопротивление R (комбинация RCEI и Rct) как функция времени для всех температур (в).
Поскольку по данным ИКС в начальный момент времени никаких продуктов деградации на поверхности частиц LMO не было, то величины RCEI после 1 сут. изотермической выдержки характеризуют сформировавшиеся за этот период слои продуктов побочных химических процессов. Таким образом, из рис. 9а, 9б следует, что наиболее интенсивно химические взаимодействия между LMO и компонентами электролита протекают именно в первые сутки после заливки электролита в ячейку. По-видимому, по мере формирования слоя CEI химические реакции замедляются, переходя из кинетического режима в диффузионный. Этот вывод хорошо согласуется с результатами авторов [38, 39], изучавших начальную стадию формирования слоя продуктов на поверхности тонкой пленки LMO (время наблюдения составляло до 210 мин [38] и до 1 сут. [39]). Они отмечали немедленный старт химических взаимодействий при контакте LMO с электролитным раствором близкого состава и быстрый рост толщины слоя продуктов.
На основании полученных данных с учетом литературных сведений [38, 39] можно заключить, что в бестоковых условиях на межфазной поверхности одновременно протекают два конкурирующих процесса: 1) химическое взаимодействие между LMO и LiPF6; 2) полимеризация карбонатных растворителей. Постоянный рост общего сопротивления говорит о том, что образующиеся продукты не формируют непроницаемый для электролитного раствора сплошной защитный слой на поверхности частиц LMO, поэтому химические реакции на границе раздела фаз продолжаются во времени. Это отрицательно влияет на кинетику электродных реакций и уменьшает разрядную емкость электрода на основе LMO. Деградационные процессы резко ускоряются с температурой. Заметное отставание R при 60°С по сравнению с 40°С в начале изотермической выдержки (рис. 9в) дает основания предполагать протекание еще каких-то термостимулированных процессов, например структурных перестроек интерфейсного слоя. Предполагаемое формирование полимерной пленки вызывает, по-видимому, уменьшение электрохимически доступной поверхности и приводит к постепенной деактивации литий-марганцевой шпинели.
Величина сопротивления исходного электролитного раствора 1 M LiPF6 в EC/DMC (1 : 1, мас.) в сепараторе, измеренная методом импеданса в ячейке CR2032 с блокирующими электродами из нержавеющей стали, при 25°С составляла 1.8 Ом. Изменение во времени сопротивления электролита Rel в исследуемых электрохимических ячейках в ходе изотермических выдержек иллюстрирует рис. 10. Из рисунка видно, что при 25°С точки на зависимости характеризуются большим разбросом в диапазоне 2–4 Ом без какой-либо закономерности, при 40°С величина Rel плавно снижается со временем от 2.25 до 1.75 Ом, а при 60°С сначала имеет место быстрое уменьшение сопротивления, а затем резкий рост до 11 Ом (рис. 10). Сложный характер зависимости Rel от времени и температуры выдержки может указывать как на изменения в составе и концентрации ионов в электролитном растворе, так и на возникновение механических препятствий для их миграции, т.е. на осаждение частиц твердофазных продуктов в порах сепаратора.
Рис. 10. Сопротивление электролита Rel как функция времени для различных температур выдержки.
Экспериментальные исследования продуктов химических взаимодействий
Электронные микрофотографии электродов и сепараторов, извлеченных из разобранных ячеек после измерений спектров импеданса, представлены на рис. 11 и 12 соответственно. При сравнении с исходным состоянием электрода на основе LMO (рис. 11а) легко увидеть значительные изменения в морфологии электродной массы. После выдержки при 40оС (рис. 11б) на поверхности образца появился пастообразный слой продуктов, состоящий, по-видимому, из нанодисперсных частиц (отдельные гранулы совершенно неразличимы даже при максимальном увеличении). В то же время на поверхности электрода из ячейки, выдержанной при 60°С (рис. 11в) этот слой отсутствует, зато появляется значительное количество пор довольно больших размеров. Появление пор можно заметить и после 40°С (рис. 11б), однако их количество значительно меньше, и они не так велики. Исчезновение пастообразного слоя и образование крупных пор при 60°С позволяет предположить, что значительная часть нанодисперсных твердофазных продуктов взаимодействия переместилась из электродной массы в сепаратор, что и вызвало изменение его окраски на коричневую, наиболее интенсивную у образца после выдержки при 60°С. Неравномерное распределение продуктов, по-видимому, обусловило пятнистый характер окраски сепаратора (рис. 12). Изменение морфологии электрода и окрашивание сепаратора подтверждают протекание химических реакций между активным веществом LMO и электролитным раствором, содержащим LiPF6. Окрашивание электролита аналогичного состава в коричневый цвет в результате контакта с LMO наблюдали и авторы [39]. Попытки определить методом РФА фазовый состав твердых продуктов взаимодействия на поверхности электродов и в сепараторах, извлеченных из электрохимических ячеек, не дали результатов из-за слишком малого размера частиц или вследствие их аморфной природы. На основании данных ТМ (рис. 4) можно предположить, что этими продуктами являются MnF2, MnO2, LiF и LiPO3, а коричневая окраска вызвана растворением в электролите фторида марганца (II) (возможно, неполным).
Рис. 11. СЭМ-изображения электродов на основе LMO: до взаимодействия с электролитом (а) и после измерений спектров импеданса ячеек LiMn2O4 │1 M LiPF6 в EC/DMC (1 : 1, мас.)│ LiMn2O4 в условиях длительных изотермических выдержек при 40 (б) и 60оС (в) в течение 20 сут. при различных увеличениях.
Рис. 12. Фотографии сепараторов, извлеченных из ячеек LiMn2O4 │1 M LiPF6 в EC/DMC (1 : 1, мас.)│ LiMn2O4 после измерений спектров импеданса в условиях длительных изотермических выдержек при 25 (а), 40 (б) и 60°С (в) в течение 20 сут. (черные пятна – отслоившаяся от токового коллектора электродная масса на основе LMO).
Предположение о частичном выносе продуктов из электродной массы хорошо согласуется с данными импедансной спектроскопии и объясняет, как немонотонные зависимости RCEI при 40°С и R при 60°С от времени (рис. 9б и 9в соответственно), так и изменения в сопротивлении электролита Rel (рис. 10). Перемещение слабо связанных между собой наночастиц, способных адсорбировать на своей поверхности ионы из электролитного раствора, может осуществляться по электрофоретическому механизму под действием переменного тока в процессе измерений импеданса. По-видимому, в условиях работы аккумулятора значительная доля побочных продуктов химических взаимодействий оседает в порах сепаратора, что механически затрудняет ионный перенос в межэлектродном пространстве. При этом нельзя исключить, что эти частицы способны достигать поверхности противоэлектрода, внося тем самым дополнительный вклад в ускоренную деградацию ЛИА на основе литий-марганцевой шпинели.
Для получения дополнительной информации был выполнен модельный эксперимент, в ходе которого навеску порошка LMO выдерживали в течение 7 сут. в электролитном растворе при 25°С (сухой бокс, герметичный контейнер). Затем компоненты разделяли путем фильтрования, электролитный раствор подвергали элементному анализу, а высушенный в аргоновом боксе порошок исследовали методом РФЭС (см. далее).
Результаты исследования элементного состава электролитного раствора до и после контакта с порошком LMO приведены в табл. 1 для лития и марганца; фосфор не определяли из-за большой инструментальной ошибки метода. Полученные результаты (табл. 1) подтверждают появление марганца в электролитном растворе (после контакта с LMO его концентрация выросла в ~100 раз) и указывают на одновременное уменьшение концентрации лития, в полном согласии с представлениями о химическом взаимодействии между LiMn2O4 и LiPF6.
Таблица 1. Результаты элементного анализа раствора электролита после изотермической выдержки при 25°С (7 сут.) в контакте с порошком LiMn2O4
Образец | Содержание элемента, мг/л | |
Li | Mn | |
Холостая проба (бидистиллированная вода) | 0.002 | 0.003 |
Исходный электролит | 42.40 | 0.003 |
Электролит после контакта c LMO | 37.99 | 0.312 |
По визуальным наблюдениям, после отделения порошка LMO раствор электролита был бесцветным и прозрачным, однако после 7 сут. хранения в нем выпало небольшое количество тонкодисперсного осадка темной окраски, отделить который не удалось. По-видимому, имела место коагуляция коллоидных частиц нерастворимых продуктов взаимодействия.
Для идентификации твердофазных продуктов химического взаимодействия литий-марганцевой шпинели с электролитным раствором использовали метод РФЭС. На рис. 13 представлены рентгеновские фотоэлектронные спектры следующих образцов: исходного порошка LMO (а); порошка, выдержанного в растворе электролита (б); свежеприготовленного сухого электрода (в) и электрода, извлеченного из ячейки LMO │1 M LiPF6 в ЕС/DMC│ LMO после измерений импеданса при 40°С в течение 20 сут. (г). Для анализа наиболее удобны линии Li 1s, O 1s, F 1s, C1s и P 2p. Интерпретацию спектров РФЭС проводили с использованием литературных сведений, суммированных в табл. 2.
Рис. 13. Спектры РФЭС исходного порошка LMO (а), порошка LMO, выдержанного в растворе электролита (б), свежеприготовленного сухого электрода на основе LMO (в) и электрода, извлеченного из ячейки после измерений спектров импеданса при 40°С в течение 20 сут. (г).
Таблица 2. Отнесение пиков в спектрах РФЭС (литературные данные)
Соединение или химическая связь | Положение пика, эВ | ||||
Li 1s | O 1s | P 2p | F 1s | C 1s | |
LiMn2O4 | 529.5; 531.5–532.0 [75] | − | − | − | |
LiF | 55.7 [86] 55.8 [87] | − | − | 685–686 [75] 686 [82] | − |
LiPO3 | 55.2 [88] | 531.4 (P–O; P=O) 533.2 (P–O–P) [88] | 134.2 [88] | − | − |
LiPF6 | 56.8 [81] 57 [80] | − | 136.8 [87] 137–138 [75] | 687 [87] 687.2 [64] 687–688 [75] | − |
xLiF:(1 – x)LiPO3 | 55.1–55.5 [85] | 531.2–531.5 [85] | 133.8–134.3 [85] | 684.4–684.9 (Li-F); 687.0–687.5 (P-F) [85] | − |
LixPOyFz | − | 531.2 [80] 534.0–534.6 [27] | 133.2 [80] 135.1–135.3 [27] 133.6 [87] | 686.5 [24] 686.1–686.4 [27] 687 [87] | − |
Li2CO3 | 533 [20] 531–532.5 [75] 531.5 [82] 532 [89] | − | − | ||
MnO2 | − | 529.5–530.4 [90] 529.6 [78] | − | − | − |
MnF2 | − | − | − | 685.8 [22] 685 [27] | − |
Сажа | − | − | − | − | 284.4 [80] |
PVdF | − | − | − | 687.5 [87] 688.1 [91] | 285.6 (C–H); 290.7 (C–F) [87] 286.4 (C–H); 290.9 (C–F) [91] |
Полиэфир –(CH2–CH2–O)n– | − | 533 [82] | − | − | 286.5 [82] |
Поликарбонат | − | 534–534.5 [20] | − | − | 286.8; 288.8–289.4 [20] |
Связи C–C, C–H в органических соединениях | − | − | − | − | 284.6 [64] 284.8 [92] |
Спектр исходного порошка LiMn2O4 (рис. 13а) полностью идентичен приведенным в литературе [75, 77, 78]. Слабый сигнал от Li 1s для порошка LMO (рис. 13а) и свежеприготовленного электрода (рис. 13в) перекрывается близким по значению энергии связи (Eсв) и значительно более интенсивным сигналом от Mn 3p (53.7 и 49.4 эВ соответственно [77]). Порошок LMO демонстрирует типичный для литий-марганцевой шпинели сложный вид линии O 1s, состоящей из двух компонент с максимумами при 529.4 и ~531 эВ [75, 77]. Третий слабый пик при 533.2 эВ в спектре порошка LMO, как и линии углерода С 1s (рис. 13а), обусловлен, по-видимому, адсорбированными соединениями (предположительно, загрязнениями от вакуумного насоса). Интенсивность полос Mn 3p и O 1s в спектре свежеприготовленного композиционного электрода (рис. 13 в) существенно ниже, чем в спектре порошка LMO, из-за экранирующего воздействия сажи и полимерного связующего – поливинилиденфторида, сигналы от которых хорошо видны в спектрах C 1s и F 1s.
После контакта с электролитом в спектрах Li 1s порошка LMO (рис. 13б) и электрода (рис. 13г) появляется хорошо различимая широкая полоса с максимумом при 55.8 эВ, которую можно отнести к продуктам химического взаимодействия LiF и LiPO3; при этом остатки соли лития LiPF6 с заметно более высокой Eсв (табл. 2) не обнаруживаются. Пики при ~685 и 687.7 эВ в спектрах F 1s этих образцов подтверждают такую интерпретацию, как и характерные для фосфатов лития две интенсивные компоненты в спектрах O 1s с максимумами вблизи 531 эВ (терминальные атомы О; этот пик накладывается на O 1s для LMO) и ~533 эВ (мостиковые атомы О). В то же время уширенная полоса P 2p с максимумом при 135.1 эВ не отвечает ни LiPO3 (~134 эВ), ни LiPF6 (~137–138 эВ) (табл. 2); обычно ее относят к фторидофосфатам лития условного состава LixPOyFz (см., например, работы [20, 24, 27, 78–82]). Гипотеза о существовании соединений LixPOyFz была впервые высказана еще в 1996 г. в работах [83, 84] на основании анализа спектров РФЭС при исследовании состава SEI на литиевом и графитовом электродах; затем они были обнаружены и в поверхностном слое положительных электродов, в том числе на основе LiMn2O4 [20, 24, 27, 75, 78]. Однако с тех пор точный состав этой фазы и другие ее характеристики так и не были установлены. По нашему мнению, гипотетические соединения LixPOyFz в действительности представляют собой стекла состава xLiF:(1 – x)LiPO3 (где 0 ≤ x ≤ 0.4), впервые полученные и охарактеризованные авторами [85]. Как показано в этой работе, частичное замещение мостикового кислорода на фтор приводит к укорачиваю полимерных цепей из фосфат-анионов и образованию фрагментов со структурой пирофосфата; при этом плавно (в пределах некоторого диапазона значений) изменяются Eсв. Как видно из табл. 2, параметры спектров РФЭС соединений xLiF:(1 – x)LiPO3 и LixPOyFz очень близки.
Оценки атомных соотношений элементов по известным площадям пиков, выделенных в спектрах, и сечений ионизации соответствующих элементов показали, что наиболее вероятно одновременное присутствие на поверхности частиц литий-марганцевой шпинели, контактировавшей с электролитом, всех упомянутых соединений – LiF, LiPO3 и фторидофосфатов лития xLiF:(1 – x)LiPO3.
Сравнение спектров C 1s свежих и выдержанных в контакте с электролитом образцов порошка LMO (рис. 13а и 13б) и электродов (рис. 13в и 13г) явно указывает на образование поверхностного слоя органических продуктов: интенсивность основного пика вблизи 285 эВ заметно растет. В спектре C 1s электрода, извлеченного из ячейки (рис. 13г), этот слой в значительной мере экранирует характерные пики полимерного связующего – поливинилиденфторида (~286 и ~290 эВ) и пик при 287.7 эВ, предположительно относящийся к окисленным группам сажи С=О [92]. Соответствующие изменения видны и в спектрах O 1s, где одновременно наблюдается экранирование характерных пиков LMO (529.5 и ~531 эВ) и появление нового пика с максимумом при ~532 эВ, который можно отнести к полиэфиру типа полиэтиленоксида (табл. 2). (Авторы [20, 75, 78, 79, 87] предполагают образование полиэтиленоксида, а при повышенной температуре (60°С) – сополимера этиленоксида и этиленкарбоната, инициированное электроокислением или, в бестоковых условиях, каталитическим воздействием присутствующей в электролите кислоты Льюиса PF5.) Образование полимерного продукта, предположительно вызывающего деактивацию поверхности LMO, оказывает большое влияние на электрохимическое поведение электрода и поэтому заслуживает более углубленного исследования в рамках отдельной работы.
На основании спектров РФЭС не удалось установить присутствие соединений MnF2 и MnO2 на поверхности образцов, контактировавших с электролитом, так как имеет место перекрывание характерных пиков этих соединений с другими компонентами спектров (F 1s для MnF2 идентичен LiF, а O 1s для MnO2 идентичен LiMn2О4, см. табл. 2). Однако следует упомянуть, что авторы [39] обнаружили фазу λ-MnO2 на поверхности электрода на основе LMO после выдержки при 55°С в течение 1 сут. в бестоковых условиях в растворе электролита, содержащего LiPF6. Дифторид марганца MnF2 мог частично или полностью раствориться в электролите за счет сольватации катиона Mn2+ молекулами EC и/или DMC, на что указывают результаты элементного анализа электролита после контакта с порошком LMO (табл. 1). (Ионы Mn2+ были также обнаружены в растворе электролита после бестокового контакта с электродами на основе LMO в работах [16, 39].)
В целом можно заключить, что результаты РФЭС хорошо согласуются с данными термодинамического моделирования, импедансной спектроскопии и литературными сведениями, а высказанное нами предположение о формировании аморфных фаз переменного состава xLiF:(1 – x)LiPO3, полученных и охарактеризованных в работе [85], позволяет интерпретировать рентгеновские фотоэлектронные спектры, не прибегая к упоминанию гипотетических соединений LixPOyFz. (При проведении термодинамических расчетов образование xLiF:(1 – x)LiPO3 не учитывали, так как это метастабильные стеклообразные фазы, для которых отсутствуют термодинамические данные.)
Модель формирования и эволюции слоя CEI на поверхности LMO
Суммируя полученные результаты и литературные сведения, процесс формирования первичного CEI на поверхности литий-марганцевой шпинели в контакте с электролитным раствором можно представить в виде схемы, приведенной на рис. 14. Химические реакции между LiMn2О4 и компонентами электролита начинаются сразу после приведения их в контакт. Слой продуктов химических взаимодействий состоит из слабо связанных между собой наночастиц кристаллических фаз LiF, LiPO3 и аморфных фторидофосфатов xLiF:(1 – x)LiPO3 переменного состава, а также, по-видимому, MnO2 и растворимой (или частично растворимой) в электролите соли MnF2. Кроме того, некоторые участки поверхности литий-марганцевой шпинели покрыты слоем полимера (предположительно полиэтиленоксида или его сополимера), образовавшимся в результате каталитической полимеризации молекул EC и/или DMC. (Есть основания полагать, что активную роль в полимеризации растворителей играет сама литий-марганцевая шпинель, а не только кислоты Льюиса PF5 и POF3.) Из-за слабой связанности и малых размеров частиц продуктов, а также вследствие постепенного растворения в электролите MnF2 этот первичный CEI изначально имеет рыхлую структуру, механически непрочен, проницаем для электролитного раствора, не обладает защитными свойствами и не способен предотвратить дальнейшее протекание побочных химических реакций. Свой вклад в разрыхление первичного CEI вносит, по-видимому, и образование значительного количества газообразных продуктов – PF5, POF3 и O2 (рис. 4). (Рыхлый, пористый характер CEI на литий-марганцевой шпинели и отсутствие у него барьерных свойств отмечают также авторы [16, 20, 39].)
Рис. 14. Cхема формирования и эволюции слоя продуктов побочных химических взаимодействий на поверхности частиц литий-марганцевой шпинели при выдержке в стандартном электролите, содержащем LiPF6.
Температура практически не оказывает влияния на состав равновесных продуктов взаимодействия литий-марганцевой шпинели с LiPF6. Однако она существенно сказывается на скорости химических реакций и на интенсивности морфологических перестроек первичного CEI. Поэтому можно сказать, что влияние температуры на эволюцию первичного CEI в бестоковых условиях эквивалентно влиянию времени экспозиции. Это полностью согласуется с представлениями о том, что механизм потери емкости электрода на основе литий-марганцевой шпинели при умеренном повышении температуры не отличается от такового при комнатной температуре (см. цикл работ [16, 76, 93, 94]). Возможно, температура оказывает влияние на состав продуктов каталитической полимеризации растворителей, однако электроизоляционные свойства полимерного слоя при этом сохраняются.
Эволюция первичного CEI c течением времени (или при повышении температуры) заключается в следующем. MnF2 постепенно растворяется в электролите (частично или полностью), а наночастицы LiF, LiPO3, xLiF:(1 – x)LiPO3 и MnO2 также постепенно перемещаются сначала на поверхность CEI, а затем и в поры сепаратора. Это приводит к дальнейшему росту пористости слоя, снижению его механической прочности и облегчению условий проникновения электролита в зону химической реакции. В результате химические процессы не затухают, а продолжаются до полного расходования реагентов. Параллельно этому растущий слой полимера все больше и больше дезактивирует поверхность LiMn2O4.
Предложенная схема объясняет большую разницу между теоретической и реально достижимой разрядной емкостью LiMn2O4, не характерную для других материалов положительного электрода ЛИА: значительная доля литий-марганцевой шпинели расходуется на побочные химические реакции с электролитом еще до первого формировочного цикла, а часть ее поверхности дезактивируется. Становится понятным и отсутствие стабилизации литий-марганцевой шпинели в ходе циклирования за счет образования плотного слоя продуктов электроокисления компонентов электролита – невозможно получить плотный и сплошной вторичный слой CEI поверх рыхлого, пористого и состоящего из подвижных наночастиц первичного.
ЗАКЛЮЧЕНИЕ
Комплексом расчетных и экспериментальных методов показана определяющая роль побочных химических взаимодействий в деградации электродов на основе литий-марганцевой шпинели, обусловленных взаимной термодинамической неустойчивостью LiMn2O4 и LiPF6 и (предположительно) каталитической полимеризацией карбонатных растворителей на поверхности LiMn2O4. Предложена модель формирования и эволюции первичного интерфейсного слоя на границе LiMn2O4/электролит, позволяющая объяснить ускоренную деградацию электродов и аномально большую (до 30%) разницу между теоретической и реально достижимой удельной емкостью литий-марганцевой шпинели, а также характерный для нее значительный разброс типичных значений удельной емкости в первом цикле. Полученные результаты создают основу для выбора стратегии стабилизации электрохимического поведения электродов на основе литий-марганцевой шпинели: наиболее перспективным представляется нанесение на гранулы LMO поверхностного защитного слоя [6, 15, 18, 31, 94, 95], предотвращающего прямой контакт литий-марганцевой шпинели с электролитным раствором, а также корректировка состава электролита с полной или частичной заменой LiPF6 на другую коммерчески доступную соль лития [26, 31, 32, 96]; может оказаться полезным и введение в раствор специально подобранных функциональных добавок, формирующих CEI [6, 18].
БЛАГОДАРНОСТИ
Работа выполнена в соответствии с Государственным заданием Института химии твердого тела УрO РАН (рег. № НИОКТР 124020600047-4) и Государственным заданием Федерального исследовательского центра проблем химической физики и медицинской химии РАН (рег. № НИОКТР 124013000692-4).
КОНФЛИКТ ИНТЕРЕСОВ
Авторы заявляют, что у них нет конфликта интересов.
About the authors
A. A. Koshkina
Institute of Solid State Chemistry, Ural Branch of the Russian Academy of Sciences
Author for correspondence.
Email: 4_anastasiakoshkina@mail.ru
Russian Federation, Yekaterinburg
T. V. Yaroslavtseva
Institute of Solid State Chemistry, Ural Branch of the Russian Academy of Sciences
Email: tanya_yaroslavtseva@mail.ru
Russian Federation, Yekaterinburg
A. E. Ukshe
Federal Research Center of Problems of Chemical Physics and Medicinal Chemistry of the Russian Academy of Sciences
Email: 4_anastasiakoshkina@mail.ru
Russian Federation, Chernogolovka
M. V. Kuznetsov
Institute of Solid State Chemistry, Ural Branch of the Russian Academy of Sciences
Email: 4_anastasiakoshkina@mail.ru
Russian Federation, Yekaterinburg
V. T. Surikov
Institute of Solid State Chemistry, Ural Branch of the Russian Academy of Sciences
Email: 4_anastasiakoshkina@mail.ru
Russian Federation, Yekaterinburg
O. V. Bushkova
Institute of Solid State Chemistry, Ural Branch of the Russian Academy of Sciences
Email: 4_anastasiakoshkina@mail.ru
Russian Federation, Yekaterinburg
References
- Цуй, С., Фен, Х., Лю, Ц., Танc, Ф., Ли, Х. Пористые наносферы LiMn2O4 в качестве материалов для катодов с длительным сроком службы для литий-ионных аккумуляторов высокой мощности. Электрохимия. 2019. Т. 55. С. 515. https://doi.org/10.1134/S0424857019040030 [Cui, X., Feng, H., Liu, J., Tang, F., and Li, H., Porous LiMn2O4 nano-microspheres as durable high power cathode materials for lithium ion batteries, Russ. J. Electrochem., 2019, vol. 55, p. 531.] https://doi.org/10.1134/S1023193519040037
- Blomgren, G.E., The development and future of lithium ion batteries, J. Electrochem. Soc., 2017, vol. 164, no. 1, p. A5019. https://doi.org/10.1149/2.0251701jes
- Schmuch, R., Wagner, R., Hörpel, G., Placke, T., and Winter, M., Performance and cost of materials for lithium-based rechargeable automotive batteries, Nat. Energy, 2018, vol. 3, no. 4, p. 267. https://doi.org/10.1038/s41560-018-0107-2
- Julien, C.M., Mauger, A., Zaghib, K., and Groult, H., Comparative issues of cathode materials for Li-ion batteries, Inorganics, 2014, vol. 2, p. 132. https://doi.org/10.3390/inorganics2010132
- Кулова, Т. Л., Скундин, А. М. Влияние температуры на характеристики литий-ионных и натрий-ионных аккумуляторов. Электрохимия. 2021. Т. 57. С. 402. https://doi.org/10.31857/S042485702100082 Kulova, T. L. and Skundin, A. M., Temperature effects on the performance of lithium-ion and sodium-ion batteries, Russ. J. Electrochem., 2021, vol. 57, p. 700.] https://doi.org/10.1134/S1023193521070089
- Huang, Y., Dong, Y., Li, S., Lee, J., Wang, C., Zhu, Z., Xue, W., Li, Y., and Li, J., Lithium manganese spinel cathodes for lithium-ion batteries, Adv. Energy Mater., 2020, vol. 11, no. 2, 2000997. https://doi.org/10.1002/aenm.202000997
- Nitta, N., Wu, F., Lee, J. T., and Yushin, G., Li-ion battery materials: present and future, Mater. Today, 2015, vol. 18, no. 5, p. 252. https://doi.org/10.1016/j.mattod.2014.10.040
- Winter, M., Besenhard, J.O., Spahr, M.E., and Novák, P., Insertion electrode materials for rechargeable lithium batteries, Adv. Mater., 1998, vol. 10, no. 10, p. 725. https://doi.org/10.1002/(SICI)1521-4095(199807)10: 10<725::AID-ADMA725>3.0.CO;2-Z
- Daniel, C., Mohanty, D., Li, J., and Wood, D.L., Cathode materials review, AIP Conf. Proc.: AIP Publising LLC, 2014, vol. 1597, p. 26. https://doi.org/10.1063/1.4878478
- Li, J., Fleetwood, J., Hawley, W.B., and Kays, W., From materials to cell: State-of-the-art and prospective technologies for lithium-ion battery electrode processing, Chem. Rev., 2022, vol. 122, p. 903. https://doi.org/10.1021/acs.chemrev.1c00565
- Molenda, J., Electronic limitations of lithium diffusibility. From layered and spinel toward novel olivine type cathode materials, Solid State Ionics, 2005, vol. 176, p. 1687. https://doi.org/10.1016/j.ssi.2005.04.018
- Shimakawa, Y., Numata, T., and Tabuchi, J., Verwey-type transition and magnetic properties of the LiMn2O4 spinels, J. Solid State Chem., 1997, vol. 131, p. 138. https://doi.org/10.1006/jssc.1997.7366
- Pillot, C., The rechargeable battery market and main trends 2014–2025, 33rd Annual International Battery Seminar & Exhibit, Fort Lauderdale, FL, USA, 2017, Presentation. http://cii-resource.com/cet/FBC-TUT8/Presentations/Pillot_Christophe.pdf
- Xia, Y., Zhou, Y., and Yoshio, M., Capacity fading on cycling of 4 V Li/LiMn2O4 cells, J. Electrochem. Soc., 1997, vol. 144, no. 8, p. 2593. https://doi.org/10.1149/1.1837870
- Mauger, A. and Julien, C.M., Surface modifications of electrode materials for lithium-ion batteries: status and trends, Ionics, 2014, vol. 20, p. 751. https://doi.org/10.1007/s11581-014-1131-2
- Blyr, A., Sigala, C., Amatucci, G., Guymard, D., Chabre, Y., and Tarascon, J-M., Self-discharge of LiMn2O4/C Li-ion cells in their discharged state, J. Electrochem. Soc., 1998, vol. 145, no. 1, p. 194. https://doi.org/10.1149/1.1838235
- Choa, J. and Thackeray, M.M., Structural changes of LiMn2O4 spinel electrodes during electrochemical cycling, J. Electrochem. Soc., 1999, vol. 146, no. 10, p. 3577. https://doi.org/10.1149/1.1392517
- Bhandari, A. and Bhattacharya, J., Manganese dissolution from spinel cathode: few unanswered questions, J. Electrochem. Soc., 2016, vol. 164, p. A106. https://doi.org/10.1149/2.0101614jes
- Kumagai, N., Komaba, S., Kataoka, Y., and Koyanagi, M., Electrochemical behavior of graphite electrode for lithium ion batteries in Mn and Co additive electrolytes, Chem. Lett., 2000, vol. 29, p. 1154. https://doi.org/10.1246/cl.2000.1154
- Edström, K., Gustafsson, T., and Thomas, J.O., The cathode–electrolyte interface in the Li-ion battery, Electrochim. Acta, 2004, vol. 50, p. 397. https://doi.org/10.1016/j.electacta.2004.03.049
- Xiao, X., Liu, Z., Baggetto, L., Veith, G.M., More, K.L., and Unocic, R. R., Unraveling manganese dissolution/deposition mechanisms on the negative electrode in lithium ion batteries, Phys. Chem. Chem. Phys., 2014, vol. 16, no. 22, p. 10398. https://doi.org/10.1039/c4cp00833b
- Shin, H., Park, J., Sastry, A. M., & Lu, W., Degradation of the solid electrolyte interphase induced by the deposition of manganese ions, J. Power Sources, 2015, vol. 284, p. 416. https://doi.org/10.1016/j.jpowsour.2015.03.039
- Jayawardana, C., Rodrigo, N., Parimalam, B., and Lucht, B.L., Role of electrolyte oxidation and difluorophosphoric acid generation in crossover and capacity fade in lithium ion batteries, ACS Energy Lett., 2021, vol. 6, no. 11, p. 3788. https://doi.org/10.1021/acsenergylett.1c01657
- Gauthier, N., Courreges, C., Demeaux, J., Tessier, C., and Martinez, H., Impact of the cycling temperature on electrode/electrolyte interfaces within Li4Ti5O12 vs LiMn2O4 cells, J. Power Sources, 2020, vol. 448, 227573. https://doi.org/10.1016/j.jpowsour.2019.227573
- Lee, Y.K., Park, J., and Lu, W. A., Comprehensive study of manganese deposition and side reactions in Li-ion battery electrodes, J. Electrochem. Soc., 2017, vol. 164, p. A2812. https://doi.org/10.1149/2.1851712jes
- Xu, K., Electrolytes and interphases in li-ion batteries and beyond, Chem. Rev., 2014, vol. 114, p. 11503. https://doi.org/10.1021/cr500003w
- Gieu, J.B., Winkler, V., Courrèges, C., El Ouatani, L., Tessier, C., and Martinez, H., New insights into the characterization of the electrode/electrolyte interfaces within LiMn2O4/Li4Ti5O12 cells, by X-ray photoelectron spectroscopy, scanning Auger microscopy and time-of-flight secondary ion mass spectrometry, J. Mater. Chem. A, 2017, vol. 5, no. 29, p. 15315. https://doi.org/0.1039/C7TA02529G
- Lee, Y.K., Park, J., and Lu, W., A comprehensive experimental and modeling study on dissolution in li-ion batteries, J. Electrochem. Soc., 2019, vol. 166, p. A1340. https://doi.org/10.1149/2.0111908jes
- Kim, D., Park, S., Chae, O.B., Ryu, J.H., Kim, Y.U., Yin, R.Z., and Oh, S.M., Re-deposition of manganese species on spinel LiMn2O4 electrode after Mn dissolution, J. Electrochem. Soc., 2012, vol. 159, p. A193. https://doi.org/10.1149/2.003203jes
- Сычева, В.О., Чуриков, А.В. Литий-марганцевые шпинели: пути повышения стабильности и энергоемкости. Электрохим. энергетика. 2009. Т. 9. № 4. С. 175. [Sycheva, V.O. and Churikov, A.V., Lithium-manganese spinels: ways to increase stability and energy capacity, Electrokhimicheskaya energetika (in Russian), 2009, vol. 9, no. 4, p. 175.]
- Banerjee, A., Shilina, Y., Ziv, B., Ziegelbauer, J.M., Luski, S., Aurbach, D., and Halalay, I.C., Review – Multifunctional materials for enhanced Li-ion batteries durability: a brief review of practical options, J. Electrochem. Soc., 2017, vol. 164, p. A6315. https://doi.org/10.1149/2.0451701jes
- Xu, K., Nonaqueous liquid electrolytes for lithium-dased rechargeable batteries, Chem. Rev., 2004, vol. 104, p. 4303. https://doi.org/10.1021/cr030203g
- Liu, T., Lin, L., Bi, X., Tian, L., Yang, K., Liu, J., Li, M., Chen, Z., Lu, J., Amine, K., Xu, K., and Pan, F., In situ quantification of interphasial chemistry in Li-ion battery, Nat. Nanotechnol., 2019, vol. 14, p. 50. https://doi.org/10.1038/s41565-018-0284-y
- Winter, M., The solid electrolyte interphase – the most important and the least understood solid electrolyte in rechargeable Li batteries, Z. Phys. Chem., 2009, vol. 223, p. 1395. https://doi.org/10.1524/zpch.2009.6086
- Xu, K. and Cresce, A. v. W., Interfacing electrolytes with electrodes in Li ion batteries, J. Mat. Chem., 2011, vol. 21, p. 9849. https://doi.org/10.1039/c0jm04309e
- Xu, K. and Cresce, A. v. W., Li+–solvation/desolvation dictates interphasial processes on graphitic anode in Li ion cells, J. Mater. Res., 2012, vol. 27, no. 18, p. 2327. https://doi.org/10.1557/jmr.2012.104
- Aurbach, D., Markovsky, B., Salitra, G., Markevich, E., Talyossef, Y., Koltypin, M., Nazar, L., Ellis, B., and Kovacheva, D., Review on electrode–electrolyte solution interactions, related to cathode materials for Li-ion batteries, J. Power Sources, 2007, vol. 165, p. 491. https://doi.org/10.1016/j.jpowsour.2006.10.025
- Lei, J., Li, L., Kostecki, R., Muller, R., and McLarnon, F., Characterization of SEI layers on LiMn2O4 cathodes with in situ spectroscopic ellipsometry, J. Electrochem. Soc., 2005, vol. 152, p. A774. https://doi.org/10.1149/1.1867652
- Matsuo, Y., Kostecki, R., and McLarnon, F., Surface layer formation on thin-film LiMn2O4 electrodes at elevated temperatures, J. Electrochem. Soc., 2001, vol. 148, p. A687. https://doi.org/10.1149/1.1373658
- Amamlraj, S.F., Sharabi, R., Sclar, H., and Aurbach, D., On the surface chemistry of cathode materials in Li-ion batteries, in Electrolytes for Lithium and Lithium-Ion Batteries, Jow, T. R., Xu, K., Borodin, O., Ue, M., Eds, NY: Springer Science+Business Media, 2014, p. 283–321. https://doi.org/10.1007/978-1-4939-0302-3_6
- Rodríguez - Carvajal, J., Recent advances in magnetic structure determination by neutron powder diffraction, Physica B: Condens. Matter, 1993, vol. 192, no. 1–2, p. 55. https://doi.org/10.1016/09214526(93)90108I
- Синярев, Г.Б, Трусов, Б.Г., Слынько Л.Е. Универсальная программа для определения состава многокомпонентных рабочих тел и расчета некоторых тепловых процессов. Труды МВТУ. 1973. № 159. [Sinyarev, G.B., Trusov, B.G., and Slynko L.E, A universal program for determining the composition of multicomponent working fluids and calculating some thermal processes, Trudi MVTU (in Russian), 1973, no. 159.]
- Моисеев, Г.К., Ватолин, Н.А., Маршук, Л.А., Ильиных, Н.И. Температурные зависимости приведенной энергии Гиббса некоторых неорганических веществ (альтернативный банк данных ASTRA.OWN). Екатеринбург: Изд-во УрО РАН, 1997. 230 с. [Moiseev, G.K., Vatolin, N.A., Marshuk, L.A., and Ilinykh, N.I., Temperature Dependences of the Reduced Gibbs Energy of Some Inorganic Substances (Alternative Data Bank ASTRA.OWN). Yekaterinburg: Publishing House of the Ural Branch of the Russian Academy of Sciences, 1997. 230 p.]
- Ватолин, Н.А., Моисеев, Г.К., Трусов, Б.Г. Термодинамическое моделирование в высокотемпературных неорганических системах, М.: Металлургия, 1994. 352 c. [Vatolin, N.A., Moiseev, G.K., and Trusov, B.G., Thermodynamic modeling in high-temperature inorganic systems. Moscow: Metallurgy, 1994. 352 p.]
- Моисеев, Г.К., Ватолин, Н.А. Некоторые закономерности изменения и методы расчета термохимических свойств неорганических соединений, Екатеринбург: Изд-во УрО РАН, 2001. 136 c. [Moiseev, G.K. and Vatolin, N.A., Some patterns of change and methods for calculating the thermochemical properties of inorganic compounds. Yekaterinburg: Publishing House of the Ural Branch of the Russian Academy of Sciences, 2001. 136 p.]
- Моисеев, Г.К., Вяткин, Г.П. Термодинамическое моделирование в неорганических системах, Челябинск: Изд. Южно-Уральского госуниверситета, 1999, 256 с.
- Кубашевский, О., Олкокк, С.Б. Металлургическая термохимия, М.: Металлургия, 1982. 392 c. [Kubash’evsky, O. and Olkock, S. B., Metallurgical thermochemistry (in Russian), Moscow: Metallurgy, 1982. 392 p.]
- Yokokawa, H., Tables of thermodynamic properties of inorganic compounds, Spec. Issue J. Nat. Chem. Lab. Ind., 1998, vol. 83, p. 27.
- Термодинамические свойства индивидуальных веществ. Справ. изд. в 4-х т. / Гурвич, Л.В., Вейц, И.В., Медведев, В.А. и др.; редкол.: Глушко, В.П. (отв. ред.) и др. М.: Наука, 1978-1979. [Thermodynamic properties of individual substances. in 4 vol. Gurvich, L.V., Weitz, I.V. Medvedev, V.A., etc.; Glushko, V.P., Editor. (in Russian), Moscow: Science, 1978-1979.]
- Gavritchev, K.S., Sharpataya, G.A., Smagin, A.A., Malyi, E.N., and Matyukha, V. A., Calorimetric study of thermal decomposition of lithium hexafluorophosphate, J. Therm. Anal. Cal., 2003, vol. 73, p. 71. https://doi.org/10.1023/A:1025125306291
- Гавричев, К.С., Шарпатая, Г.A., Голушина, Л.Н., Плахотник, В.Н., Гончарова, И.В. Теплоемкость и термодинамические функции LiPF6. Журн. неорган. химии. 2002. Т. 47. № 7. С. 1048. [Gavrichev, K.S., Sharpataya, G.A., Golushina, L.N., Plakhotnik, V.N., and Goncharova, I.V., Heat capacity and thermodynamic functions of LiPF6, Russ. J. Inorg. Chem., 2002, vol. 47, no. 7, p. 940.]
- Knyazev, A.V., Maczka, M., Smirnova, N.N., Knyazeva, S.S., Chernorukov, N.G., Ptak, M., and Shushunov, A.N., Study of the phase transition and thermodynamic functions of LiMn2O4, Thermochim. Acta, 2014, vol. 593, p. 58. https://doi.org/10.1016/j.tca.2014.08.020
- Князева, С.С. Строение и физико-химические свойства сложных оксидов со структурой шпинели: Дис. ... канд. хим. наук. 02.00.01. Нижний Новгород, 2015, 125 с. [Knyazeva, S.S., Structure and physico-chemical properties of complex oxides with spinel structure: dissertation of PhD. 02.00.01(in Russian). Nizhny Novgorod, 2015, 125 p.]
- Santiago, E.I., Andrade, A.V.C., Paiva-Santos, C.O., and Bulhoes, L.O.S., Structural and electrochemical properties of LiCoO2 prepared by combustion synthesis, Solid State Ionics, 2003, vol. 158, p. 91. https://doi.org/10.1016/S0167-2738(02)00765-8
- Dorn, W.S., Variational principles for chemical equilibrium, J. Chem. Phys., 1960, vol. 32, p. 1490. https://doi.org/10.1063/1.1730947
- Бушкова, О.В., Андреев, О.Л., Баталов, Н.Н., Шкерин, С.Н., Кузнецов, М.В., Тютюнник, А.П., Корякова, О.В., Song, E.H., Chung, H.J. Химические взаимодействия в катодном полуэлементе литий-ионных аккумуляторов. Электрохим. энергетика. 2005. Т. 5. № 2. С. 74. [Bushkova, O.V., Andreev, O.L., Batalov, N.N., Shkerin, S.N., Kuznetsov, M.V., Tyutyunnik, A.P., Koryakova, O.V., Song, E.H., and Chung, H.J., Chemical interaction in the cathode half-element of lithium ion batteries, Electrochemical Energetics, 2005, vol. 5, no. 2, p. 74 (in Russian).] http://energetica.sgu.ru/en/node/2527
- Bushkova, O.V., Andreev, O.L., Batalov, N.N., Shkerin, S.N., Kuznetsov, M.V., Tyutyunnik, A.P., Koryakova, O., Song, E.H., and Chung, H.J., Chemical interactions in the cathode half-cell of lithium-ion batteries. Part I. Thermodynamic simulation, J. Power Sources, 2006, vol. 157, p. 477. https://doi.org/10.1016/j.jpowsour.2005.07.078
- Novikov, D.V., Evschik, E.Yu., Berestenko, V.I., Yaroslavtseva, T.V., Levchenko, A.V., Kuznetsov, M.V., Bukun, N.G., Bushkova, O.V., and Dobrovolsky, Yu.A., Electrochemical performance and surface chemistry of nanoparticle Si@SiO2 Li-ion battery anode in LiPF6-based electrolyte, Electrochim. Acta, 2016, vol. 208, p. 109. https://doi.org/10.1016/j.electacta.2016.04.179
- Julien, C., Mauger, A., Vijh, A., and Zaghib, K. Lithium Batteries: Science and Technology, N.Y.: Springer, 2016. P. 175–180.
- Mauger, A. and Julien, C.M., Critical review on lithium-ion batteries: Are they safe? Sustainable? Ionics, 2017, vol. 23, p. 1933. https://doi.org/10.1007/s11581-017-2177-8
- Whittingham, M.S., History, evolution, and future status of energy storage, Proc. IEEE, 2012, vol. 100 (Special Centennial Issue), p. 1518. https://doi.org/10.1109/JPROC.2012.2190170
- Aurbach, D., Levi, M., Gamulski, K., Markovsky, B., Salitra, G., Levi, E., Heider, U., Heider, L., and Oesten, R., Capacity fading of LixMn2O4 spinel electrodes studied by XRD and electroanalytical techniques, J. Power Sources, 1999, vol. 81–82, p. 472. https://doi.org/10.1016/s0378-7753(99)00204-9
- Vorobeva, K.A., Eliseeva, S.N., Apraksin, R.V., Kamenskii, M.A., Tolstopjatova, E.G., and Kondratiev, V.V., Improved electrochemical properties of cathode material LiMn2O4 with conducting polymer binder, J. Alloys Compd., 2018, vol. 766, p. 33. https://doi.org/10.1016/j.jallcom.2018.06.324
- Ryou, M.H., Han, G.B., Lee, Y.M., Lee, J.N., Lee, D.J., Yoon, Y.O., & Park, J.K., Effect of fluoroethylene carbonate on high temperature capacity retention of LiMn2O4/graphite Li-ion cells, Electrochim. Acta, 2010, vol. 55, p. 2073. https://doi.org/10.1016/j.electacta.2009.11.036
- Журавлев, В.Д., Щеколдин, С.И., Андрюшин, С.Е, Шерстобитова, Е.А., Нефедова, К.В., Бушкова, ОВ Электрохимические характеристики и фазовый состав литий-марганцевой шпинели с избытком лития Li1+xMn2O4. Электрохим. энергетика. 2020. Т. 20. № 3. С. 157. [Zhuravlev, V.D., Shchekoldin, S.I., Andrjushin, S.E., Sherstobitova, E.A., Nefedova, K.V., and Bushkova, O.V., Electrochemical characteristics and phase composition of lithium–manganese oxide spinel with excess lithium Li1+xMn2O4, Electrochem. Energetics, 2020, vol. 20, no. 3, p. 157 (in Russian).] https://doi.org/10.18500/16080-4039-2020-20-3-157-170
- Астафьев, Е.А. Практическое руководство по методу электрохимического импеданса, Черноголовка: ФИЦ ПХФ и МХ РАН, 2022. 132 с. [Astafiev, E.A., Practical guide to the electrochemical impedance method (in Russian), Chernogolovka: FRC PCP and MC RAS, 2022. 132 p.]
- Levi, M.D., Salitra, G., Markovsky, B., Teller, H., Aurbach, D., Heider, U., and Heider, L., Solid-State Electrochemical Kinetics of Li-Ion Intercalation into Li1−xCoO2: Simultaneous Application of Electroanalytical Techniques SSCV, PITT, and EIS, J. Electrochem. Soc., 1999, vol. 146, p. 1279. https://doi.org/10.1149/1.1391759
- Aurbach, D., Gamolsky, K., Markovsky, B., Salitra, G., Gofer, Y., Heider, U., Oesten, R., and Schmidt, M., The Study of Surface Phenomena Related to Electrochemical Lithium intercalation into LixMOy Host Materials (M = Ni, Mn), J. Electrochem. Soc., 2000, vol. 147, p. 1322. https://doi.org/10.1149/1.1393357
- Levi, M.D. and Aurbach, D., Simultaneous measurements and modeling of the electrochemical impedance and the cyclic voltammetric characteristics of graphite electrodes doped with lithium, J. Phys. Chem. B, 1997, vol. 101, p. 4630. https://doi.org/10.1021/jp9701909
- Aurbach, D., Levi, M.D., Levi, E., Teller, H., Markovsky, B., and Salitra, G., Common electroanalytical behavior of Li intercalation processes into graphite and transition metal oxides, J. Electrochem. Soc., 1998, vol. 145, no. 9, p. 3024. https://doi.org/10.1149/1.1838758
- Osaka, T., Mukoyama, D., and Nara, H., Review – Development of diagnostic process for commercially available batteries, especially lithium ion battery, by electrochemical impedance spectroscopy, J. Electrochem. Soc., 2015, vol. 162, p. A2529. https://doi.org/10.1149/2.0141514jes
- Li, Q., Lu, D., Zheng, J., Jiao, S., Luo, L., Wang, C.-M., Xu, K., Zhang, J.-G., and Xu, W., Li+ desolvation dictating lithium-ion battery’s low temperature performances, ACS Appl. Mater. Interfaces, 2017, vol. 9, p. 42761. https://doi.org/10.1021/acsami.7b13887
- Xu, K., von Cresce, A., and Lee, U., Differentiating contributions to “ion transfer” barrier from interphasial resistance and Li+ desolvation at electrolyte/graphite interface, Langmuir, 2010, vol. 26, p. 11538. https://doi.org/10.1021/la1009994
- Tatara, R., Karayaylali, P., Yu, Y., Zhang, Y., Giordano, L., Maglia, F., Jung, R., Schmidt, J.P., Lund, I., and Shao-Horn, Y., The effect of electrode-electrolyte interface on the electrochemical impedance spectra for positive electrode in Li-ion battery, J. Electrochem. Soc., 2019, vol. 166, p. A5090. https://doi.org/10.1149/2.0121903jes
- Eriksson, T., Andersson, A.M., Bishop, A.G., Gejke, C., Gustafsson, T., and Thomas, J. O., Surface analysis of LiMn2O4 electrodes in carbonate-based electrolytes, J. Electrochem. Soc., 2001, vol. 149, p. A69. https://doi.org/10.1149/1.1426398
- Amatucci, G.G., Pereira, N., Zheng, T., and Tarascon, J.M., Failure mechanism and improvement of the elevated temperature cycling of LiMn2O4 compounds through the use of the LiAlxMn2−xO4−zFz solid Solution, J. Electrochem. Soc., 2001, vol. 148, p. A171. https://doi.org/10.1149/1.1342168
- Militello, M.C. and Gaarenstroom, S. W., Lithium manganese oxide (LiMn2O4) by XPS, Surf. Sci. Spectra, 2001, vol. 8, p. 207. https://doi.org/10.1116/11.20020402
- Eriksson, T., Andersson, A.M., Gejke, C., Gustafsson, T., and Thomas, J.O., Influence of temperature on the interface chemistry of LixMn2O4 electrodes, Langmuir, 2002, vol. 18, p. 3609. https://doi.org/10.1021/la011354m
- Duncan, H., Duguay, D., Abu-Lebdeh, Y., and Davidson, I.J., Study of the LiMn1.5Ni0.5O4/electrolyte interface at room temperature and 60° C, J. Electrochem. Soc., 2011, vol. 158, p. A537. https://doi.org/10.1149/1.3567954
- Herstedt, M., Stjerndahl, M., Nytén, A., Gustafsson, T., Rensmo, H., Siegbahn, H., Ravet, N., Armand, M., Thomas, J.O., and Edström, K., Surface chemistry of carbon-treated LiFePO4 particles for Li-ion battery cathodes studied by PES, Electrochem. Solid-State Lett., 2003, vol. 6, p. A202. https://doi.org/0.1016/j.jpowsour.2007.06.050
- Gauthier, M., Karayaylali, P., Giordano, L., Feng, S., Lux, S.F., Maglia, F., and Shao-Horn, Y., Probing surface chemistry changes using LiCoO2-only electrodes in Li-ion batteries, J. Electrochem. Soc., 2018, vol. 165, p. A1377. https://doi.org/10.1149/2.0431807jes
- Andersson, A.M., Herstedt, M., Bishop, A. G., and Edström, K., The influence of lithium salt on the interfacial reactions controlling the thermal stability of graphite anodes, Electrochim. Acta, 2002, vol. 47, p. 1885. https://doi.org/10.1016/S0013-4686(02)00044-0
- Aurbach, D., Weissman, I., Schechter, A., and Cohen, H., X-ray photoelectron spectroscopy studies of lithium surfaces prepared in several important electrolyte solutions, A comparison with previous studies by Fourier transform infrared spectroscopy, Langmuir, 1996, vol. 12, p. 3991. https://doi.org/10.1021/la9600762
- Aurbach, D., Markovsky, B., Shechter, A., Ein‐Eli, Y., and Cohen, H., A comparative study of synthetic graphite and Li electrodes in electrolyte solutions based on ethylene carbonate‐dimethyl carbonate mixtures, J. Electrochem. Soc., 1996, vol. 143, p. 3809. https://doi.org/10.1149/1.1837300
- Chowdari, B.V.R., Mok, K.F., Xie, J.M., and Gopalakrishnan, R., Electrical and structural studies of lithium fluorophosphate glasses, Solid State Ionics, 1995, vol. 76, p. 189. https://doi.org/10.1016/0167-2738(94)00280-6
- Moulder, J.F., Handbook of X-ray photoelectron spectroscopy, Perkin-Elmer Corporation, 1992. 261 p.
- Duncan, H., Abu-Lebdeh, Y., and Davidson, I.J., Study of the cathode–electrolyte interface of LiMn1.5Ni0.5O4 synthesized by a sol–gel method for Li-ion batteries, J. Electrochem. Soc., 2010, vol. 157, p. A528. https://doi.org/10.1149/1.3321710
- Chowdari, B.V.R., Tan, K.L., and Chia, W.T., Raman and X-ray photoelectron spectroscopic studies of lithium phosphotungstate glasses, Solid state ionics, 1992, vol. 53, p. 1172. https://doi.org/10.1016/0167-2738(92)90308-C
- Bryngelsson, H., Stjerndahl, M., Gustafsson, T., and Edström, K., How dynamic is the SEI? J. Power Sources, 2007, vol. 174, p. 970. https://doi.org/10.1016/j.jpowsour.2007.06.050
- NIST X-ray Photoelectron Spectroscopy Database version 4.1. https://srdata.nist.gov/xps/Default.aspx
- Militello, M.C. and Gaarenstroom, S.W., Graphite-filled poly (vinylidene fluoride) (PVDF) by XPS, Surf. Sci. Spectra, 1999, vol. 6, p. 141. https://doi.org/10.1116/1.12479080
- Biesinger, M.C., Accessing the robustness of adventitious carbon for charge referencing (correction) purposes in XPS analysis: Insights from a multi-user facility data review, Appl. Surf. Sci., 2022, vol. 597, art. 153681. https://doi.org/10.1016/j.apsusc.2022.153681
- Amatucci, G.G., Schmutz, C.N., Blyr, A., Sigala, C., Gozdz, A.S., Larcher, D., and Tarascon, J.M., Materials’ effects on the elevated and room temperature performance of C/LiMn2O4 Li-ion batteries, J. Power Sources, 1997, vol. 69, p. 11. https://doi.org/10.1016/S0378-7753(97)02542-1
- Amatucci, G.G., Blyr, A., Sigala, C., Alfonse, P., and Tarascon, J. M., Surface treatments of Li1+xMn2−xO4 spinels for improved elevated temperature performance, Solid State Ionics, 1997, vol. 104, p. 13. https://doi.org/10.1016/S0167-2738(97)00407-4
- Yi, T.F., Zhu, Y.R., Zhu, X.D., Shu, J., Yue, C.B., and Zhou, A.N., A review of recent developments in the surface modification of LiMn2O4 as cathode material of power lithium-ion battery, Ionics, 2009, vol. 15, p. 779. https://doi.org/10.1007/s11581-009-0373-x
- Бушкова, О.В., Ярославцева, T.В., Добровольский, Ю.А. Новые соли лития в электролитах для литий-ионных аккумуляторов (обзор). Электрохимия. 2017. Т. 53. С. 763. https://doi.org/10.7868/S0424857017070015 [Bushkova, O.V., Yaroslavtseva, T.V., and Dobrovolsky, Yu.A., New lithium salts in electrolytes for lithium-ion batteries (Review), Russ. J. Electrochem., 2017, vol. 53, p. 677.] https://doi.org/10.1134/S1023193517070035
Supplementary files
















