Study of the phase stability of La0.6Sr0.4MnO3 – δ oxide with mixed oxygen-electron conductivity
- Authors: Guskov R.D.1, Popov M.P.1, Kovalev I.V.1, Nemudry A.P.1
-
Affiliations:
- Institute of Solid State Chemistry and Mechanochemistry SB RAS
- Issue: Vol 60, No 1 (2024)
- Pages: 15-23
- Section: Articles
- URL: https://ogarev-online.ru/0424-8570/article/view/259403
- DOI: https://doi.org/10.31857/S0424857024010025
- EDN: https://elibrary.ru/GNPTOJ
- ID: 259403
Cite item
Full Text
Abstract
This work is devoted to the study of thermodynamic characteristics and phase stability of oxides with a perovskite structure using both classical and original methods for studying compounds of similar composition. An oxide with mixed oxygen-electron conductivity La0.6Sr0.4MnO3 – δ obtained by solid-phase synthesis was chosen as the object of research. The stoichiometric range of this composition has been established at temperatures of 600 – 900 оC in the region of oxygen partial pressure up to 3*10–4 atm. The chemical potential of oxygen in the gas phase is calculated, as well as the dependences of the partial molar enthalpy and entropy of oxygen in the oxide in the nonstoichiometry range δ=0.01 – 0.012.
Full Text
Изучение фазовой стабильности оксида La0.6Sr0.4MnO3 – δ СО смешанной кислород-электронной проводимостью 1
ВВЕДЕНИЕ
Сложные оксиды со структурой перовскита, обладающие смешанной кислород-электронной проводимостью (СКЭП), привлекают внимание исследователей благодаря их необычным физическим и химическим свойствам и, как следствие, возможности их применения в различных областях промышленности и энергетике. В данных соединениях сочетаются такие свойства, как высокое магнетосопротивление [1, 2], сегнетоэлектричество [3], сверхпроводимость при высоких температурах [4], а также высокая каталитическая активность и проводимость по кислороду [5]. Благодаря такому широкому разнообразию различных свойств, перовскиты могут быть использованы в качестве электродов в твердооксидных топливных элементах (ТОТЭ) [6, 7], кислородных сенсоров [8, 9], мембран для сепарации кислорода из воздуха [10, 11] или каталитической конверсии метана [12].
После обнаружения в 1985 г. аномально высокой кислородной проводимости в соединении SrCo0.8Fe0.2O3 – δ группой японских ученых (Y. Teraoka и др.) [13] многие исследователи сосредоточили свое внимание на модификации этого состава, путем замещения катионов А и B подрешетки с целью как увеличения транспортных характеристик, так и улучшения фазовой стабильности [14–16].
Важнейшей характеристикой, определяющей структурные особенности, фазовый состав и транспортные свойства перовскитов со смешанной кислород-электронной проводимостью, является их кислородная нестехиометрия – δ [17]. Данная величина является функцией от температуры и парциального давления кислорода и может достигать до 25% относительно идеального ABO3 состава при низких pO2 и высоких температурах. Подобное отклонение от идеального состава перовскита можно представить в общем виде как
(1)
Стоит отметить, что кислородный транспорт в подобных материалах осуществляется за счет возникновения градиента химического потенциала кислорода в оксиде, который при достижении равновесия в процессе выделения кислорода из оксида становится равным химическому потенциалу кислорода в окружающем газе.
(2)
Для расчета термодинамических параметров системы, определения состава и границ устойчивости фаз используется равновесная зависимость кислородной нестехиометрии от температуры и парциального давления кислорода. В качестве методов исследования данной зависимости используют методы термогравиметрии [18], кулонометрического титрования [19], нейтронной дифракции [20] и т. д. Большинство используемых на сегодняшний день методов позволяет измерять только относительное изменение кислородной нестехиометрии, а также зачастую требуют дорогостоящего и сложного оборудования. Для определения абсолютных значений кислородной нестехиометрии используется окислительно-восстановительное титрование [21] или волюметрический метод [22], а также метод восстановления образца водородом в термогравиметрической установке [34].
В данной работе рассматривается оксид La0.6Sr0.4MnO3 – δ (LSM), который является модификацией манганита лантана LaMnO3. Начиная с работ G.H. Jonker и J.H. Van Santen, вышедших в далеком 1950 г. [23, 24], было опубликовано множество работ по соединениям La1 – xSrxMnO3 – δ с различным содержанием допанта А-подрешетки [25–27]. В работах 1989–1990 гг. авторов J.H. Kuo и H.U. Anderson были представлены результаты исследований окислительно-восстановительного поведения и фазовых составов оксидов La1 – xSrxMnO3 – δ (х = 0–0.2) [28, 29]. Авторы утверждают, что в ряде этих составов прослеживается три области стехиометрии кислорода: избыток кислорода, недостаток или стехиометрия, а их окислительно-восстановительные реакции являются обратимыми. Также фазовая устойчивость к восстановлению манганита лантана лежит в области высоких парциальных давлений кислорода при повышении температуры и/или концентрации допанта. Исходя из данных термогравиметрии, в оксидах La1-xSrxMnO3 – δ (х = 0.1–0.2) практически не наблюдается изменения содержания кислорода при температурах от 1000–1200 оC и pO2 = 10–3–10–7 атм (стехиометрический коэффициент δ ≈ 3).
Таким образом, данная работа посвящена изучению фазовой стабильности оксида La0.6Sr0.4MnO3 – δ c помощью оригинального метода квазиравновесного выделения кислорода (КРВК), разработанного в Институте химии твердого тела и механохимии СО РАН, г. Новосибирск [30]. Также одной из поставленных задач является апробация метода КРВК для исследований в области термодинамики и фазовой стабильности, сравнение с другими методами, а также с имеющимися литературными данными.
ЭКСПЕРИМЕНТАЛЬНАЯ ЧАСТЬ
Синтез
Оксид La0.6Sr0.4MnO3-δ (LSM) получен твердофазным методом путем смешения прекурсоров в стехиометрических соотношениях. Реагенты предварительно были отожжены при 600 оC в течение 5 ч для удаления влаги в муфельной печи СНОЛ 6/12 (ООО “О.З. ВНИИЭТО”, Россия). В качестве реагентов использовались оксиды лантана (получен прокаливанием при 1150 оC лантана углекислого 6-водного “х. ч.”) и марганца (“х. ч.”), а также карбонат стронция (“ч. д. а.”) (АО “Вектон”, Россия). Гомогенизация производилась в планетарной мельнице АГО-2 (ООО “НПО НОВИЦ”, Россия) в течение 1 мин в этаноле при соотношении компонентов спирт : продукт = 1 мл : 1 мг. Полученную смесь оксидов прокаливали при температуре 900 оC в течение 6 ч для частичного удаления побочных газообразных продуктов и увеличения удельной площади реакции, после чего снова помещали в мельницу АГО-2 для измельчения и гомогенизации в течение 10 мин. Далее образец спрессовывали и спекали в печи при температуре 1400 оC в течение 6 ч.
Рентгенофазовый и рентгеноструктурный анализ
Фазовый состав оценивали с помощью порошкового рентгенофазового анализа на дифрактометре D8 Advance (Bruker, Германия), используя высокоскоростной детектор LynxEye (Сu Kα-излучение). Съемка проводилась в диапазоне 2θ от 20 до 90о с шагом 0,02о и временем накопления 0,5 с. Анализ полученных данных осуществляли с помощью программного обеспечения Search Match, Find It, Топаз и метода Ритвельда.
Дифференциальный термический анализ
Данные по термогравиметрии и дифференциальной сканирующей калориметрии были получены на термоаналитическом комплексе Netzsch STA 449 F1 JUPITER в температурном диапазоне 25–1000 оC со скоростью нагрева 5–20 град/мин в атмосфере аргон-кислород (80 : 20) со скоростью подачи газовой смеси 50 мл/мин.
Квазиравновесное выделение кислорода
Для изучения зависимостей парциального давления кислорода от нестехиометрии использовали оригинальную установку с проточным реактором, схема которой представлена на рис. 1. Измерения проводились в температурном диапазоне 600–900 оC (с шагом в 50 оC).
Рис. 1. Схема установки для измерения зависимостей парциального давления кислорода от нестехиометрии оксидов со смешанной кислород-электронной проводимостью.
Порошкообразный образец (масса = 0.7455 г, фракция 64–150 мкм) помещали в кварцевый реактор и выдерживали при заданной температуре и парциальном давлении кислорода pO2 = 0.2 атм (смесь He/O2) в потоке газа с расходом J = 50 мл/мин в течение 1.5 ч. Затем с помощью коммутатора газовых потоков смесь газов заменялась на чистый гелий с таким же объемным расходом. Парциальное давление кислорода на выходе из реактора фиксировалось с помощью кислородного датчика на основе стабилизированного оксидом иттрия оксида циркония, согласно уравнению
(3)
где – парциальное давление кислорода на воздухе; R – газовая постоянная, F – постоянная Фарадея; E, Et – напряжение и термо-ЭДС датчика соответственно.
РЕЗУЛЬТАТЫ И ОБСУЖДЕНИЕ
Результаты рентгенофазового и рентгеноструктурного анализа
По данным рентгенофазового и рентгеноструктурного анализа, образец, спеченный при 1400 оC, является монофазным и имеет структуру ромбоэдрически искаженного перовскита с пространственной группой и параметрами решетки a = b = 5,508(3) Å, с = 13,373 Å, что согласуется с литературными данными по данному составу [31]. Факторы структурной сходимости составили: Rwp = 5.7, Rexp = 3.44, Rp = 4.36, Χ2 = 1.66.
Результаты рентгеноструктурного анализа по методу Ритвельда приведены на рис. 2.
Рис. 2. Дифрактограмма состава La0.6Sr0.4MnO3-δ, полученная при комнатной температуре, рассчитанная по методу Ритвельда.
Дифференциальный термический анализ
При проведении дифференциального термического анализа образец был предварительно нагрет до 1000 °C для устранения посторонних веществ с поверхности и влаги из объема. На рис. 3 изображены данные термогравиметрического анализа (ТГ) при охлаждении от 1000 до 100 оC. В данном сегменте наблюдается увеличение массы образца на 0,087%, что связано с незначительным поглощением кислорода из газовой смеси с явным экзотермическим эффектом. Последующее нагревание до 800 оC сопровождается потерями 0.042 мас.%, что демонстрирует низкую десорбционную способность данного состава по кислороду. При этом, судя по данным дифференциальной сканирующей калориметрии (ДСК), проявляется характерный для процесса выделения кислорода эндотермический эффект.
Рис. 3. Термогравиметрические кривые состава La0.6Sr0.4MnO3-δ (синей линией обозначено первичное охлаждение, красной – вторичный нагрев); данные дифференциальной сканирующей калориметрии (пунктирные линии: синяя – данные теплового потока при охлаждении, красная – при нагревании).
Стехиометрия состава LSM
С помощью установки, описанной в предыдущем разделе, были получены зависимости парциального давления кислорода от времени. Исходя из литературных данных [32], где авторами J. Mizusaki и др. с помощью методов йодометрии и кулонометрического титрования была установлена стехиометрия состава La0.6Sr0.4MnO3 – δ при комнатной температуре и атмосферном давлении, исходная стехиометрия состава была принята за δ = 0. В таком случае атомы Mn в данном оксиде будут иметь степень окисления Mn+3 / Mn+4.
Таким образом, на основе полученных зависимостей pO2 от времени были построены расчетные зависимости нестехиометрии 3 – δ от парциального давления кислорода и температуры (рис. 4) состава LSM. В работе [32] авторы делают предположение, что в области нестехиометрии δ < 0.0225 кислородные вакансии располагаются не случайным образом, а в определенных кислородных позициях, что, вероятно, связано с кристаллографическими искажениями решетки. Как видно из графика, на некоторых участках увеличивается угол наклона линии δ - pO2 при lgpO2 ≈ –3.25 ... –3.4 [атм], что, вероятно, и связано с выделением слабосвязанного кислорода из системы. Данное предположение основано на работе [36] авторов A.N. Nadeev и др., в которой, как утверждается, слабосвязанный кислород локализован в кристаллической структуре перовскита La1 – xSrxFeO3 – δ. Данный тип кислорода начинает выделяться при ~ 400 оC. Также в работе [37] авторов H. Arai и др. упоминается, что абсорбированный слабосвязанный кислород играет важную роль в реакциях каталитического окисления метана с помощью оксидов La-Mn (в том числе и La0.6Mn0.4O3) и выходит из оксида при нагревании. Как видно из рис. 4, при 900 оC наблюдается выравнивание графика, которое можно связать с тем, что большая часть слабосвязанного кислорода вышла из системы, а дальнейшее изменение стехиометрии происходило в обычном режиме. Предполагаемая область выделения слабосвязанного кислорода более наглядно отражена на трехмерном графике зависимости стехиометрии состава оксида от парциального давления кислорода и температуры, изображенном на рис. 5.
Рис. 4. Зависимости нестехиометрии состава La0.6Sr0.4MnO3 – δ от парциального давления кислорода при разных температурах; данные термогравиметрического анализа при pO2 = 0.2 атм; литературные данные Mizusaki et. al. [32].
Рис. 5. 3D-Зависимости нестехиометрии состава La0.6Sr0.4MnO3 – δ от парциального давления кислорода при разных температурах; фиолетовыми кубами обозначены точки границы области с интенсивным выделением слабосвязанного кислорода, область выделена зеленым цветом.
Термодинамика оксида LSM
На основании полученных изотермических диаграмм “lg pO2–3 - δ – Т” для LSM были рассчитаны термодинамические факторы TFO (ГО) и TFV (ГV), которые в дальнейших кинетических исследованиях будут использованы для расчета равновесных значений химической диффузии кислородных вакансий и самодиффузии кислорода, а также равновесной константы поверхностного обмена (рис. 6).
Рис. 6. Термодинамические факторы TFO (а) и TFV (б), полученные из равновесных изотермических симостей lg pO2–3 - δ – T.
Данные факторы связаны с концентрацией и парциальным давлением кислорода по уравнениям (4) и (5)
(4)
(5)
где CV – концентрация кислородных вакансий.
Говоря о термодинамике, нельзя не упомянуть одну из существенных термодинамических характеристик, характеризующих равновесие оксида с газовой фазой. Как известно, в равновесных условиях химический потенциал кислорода в оксиде эквивалентен химическому потенциалу кислорода в газовой фазе. Он может быть выражен как функция от парциального давления кислорода в газовой фазе, согласно уравнению
(6)
где μ0(T) – стандартный химический потенциал кислорода, рассчитываемый согласно работе [33]. Рассчитанный химический потенциал кислорода в оксиде показан на рис. 7.
Рис. 7. Cтехиометрия оксида LSM как функция от химического потенциала кислорода в оксиде. Пунктирной линией обозначена изостехиометрическая область (δ = 0.01–0.012) состава при разных температурах.
На графике обозначена изостехиометрическая область оксида при разных температурах. В данной области изостехиометрии (3 – δ = const) были рассчитаны парциальные молярные энтальпия (H(δ)) и энтропия (S(δ)) кислорода в оксиде с использованием зависимости Гиббса-Гельмгольца, согласно уравнениям:
(7)
(8)
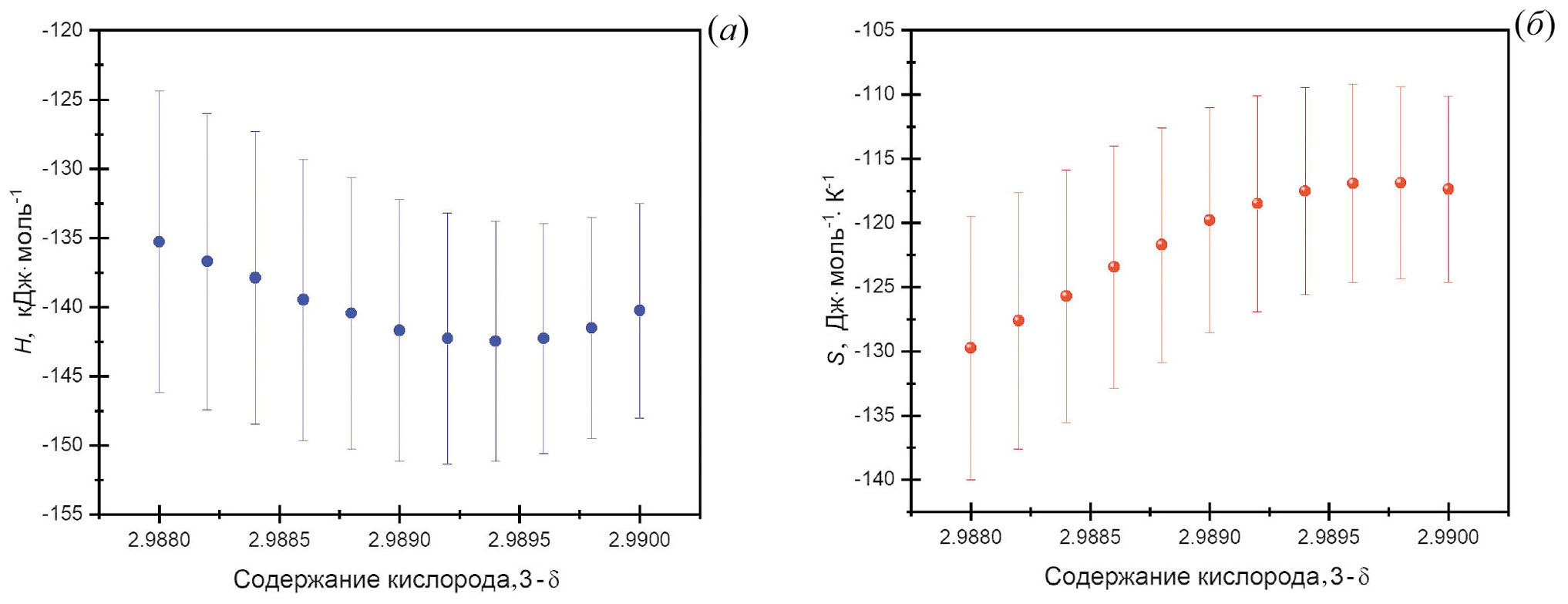
Рассчитанные значения H(δ) и S(δ) представлены на рис. 8. Известно, что энергия активации кислородного обмена зависит от содержания кислорода в оксиде. Она увеличивается при снижении нестехиометрии оксида, в то время как энтальпия кислорода также увеличивается [35]. Однако, ввиду низкого диапазона изменения нестехиометрии (δ = 0.01–0.012), изменения энтропии и энтальпии практически не наблюдается.
Рис. 8. Зависимости парциальной молярной энтальпии (H(δ)) и энтропии (S(δ)) кислорода в оксиде LSM от его стехиометрии в изостехиометрическом диапазоне δ = 0.01–0.012.
ЗАКЛЮЧЕНИЕ
Методом КРВК получены зависимости нестехиометрии состава La0.6Sr0.4MnO3 – δ от парциального давления кислорода в области температур 600–900 оC и парциальных давлений кислорода 2·10–1–3·10–4 атм для нестехиометрического оксида La0.6Sr0.4MnO3 – δ со смешанной кислород-электронной проводимостью. Из полученных кривых 3 – δ – ln pO2 рассчитаны термодинамические параметры оксида, в том числе химический потенциал кислорода в оксиде, молярные энтальпия и энтропия. Показано, что изотермы 3 – δ – ln pO2 имеют практически линейный вид в достаточно широком диапазоне температур и давлений. Предположение о том, что наблюдаемое в эксперименте увеличение скорости изменения стехиометрии при lgpO2 ≈ –3.25... –3.4 [атм] до 900 оC может быть связано с выделением слабосвязанного кислорода из системы, подтверждается литературными данными, однако для доказательства этой теории необходимы дальнейшие исследования с подключением новых экспериментальных методов.
ФИНАНСИРОВАНИЕ РАБОТЫ
Исследование выполнено за счет гранта Российского научного фонда № 22–73–10200, https://rscf.ru/project/22–73–10200/.
КОНФЛИКТ ИНТЕРЕСОВ
Авторы заявляют, что у них нет конфликта интересов.
1 Статья подготовлена по материалам доклада, представленного на Второй школе молодых ученых “Электрохимические устройства: процессы, материалы, технологии” (Новосибирск, 28–30 октября 2022 г.)
About the authors
R. D. Guskov
Institute of Solid State Chemistry and Mechanochemistry SB RAS
Author for correspondence.
Email: rostislav.guskov@yandex.ru
Russian Federation, Novosibirsk
M. P. Popov
Institute of Solid State Chemistry and Mechanochemistry SB RAS
Email: rostislav.guskov@yandex.ru
Russian Federation, Novosibirsk
I. V. Kovalev
Institute of Solid State Chemistry and Mechanochemistry SB RAS
Email: rostislav.guskov@yandex.ru
Russian Federation, Novosibirsk
A. P. Nemudry
Institute of Solid State Chemistry and Mechanochemistry SB RAS
Email: rostislav.guskov@yandex.ru
Russian Federation, Novosibirsk
References
- McCormack, M., Jin, S., Teifel, T. H., Fleminf, R. M., Philips, J. M., and Ramwsh, R., Very large magnetoresistance in perovskite‐like La‐Ca‐Mn‐O thin films, Appl. Phys. Lett., 1994, vol. 64, no. 22, p. 3045.
- Теплых, А.Е., Пирогов, А.Н., Меньшиков, А.З., Базуев, Г.В. Кристаллическая структура и магнитное состояние перовскитов LaMn1–xVxO3. Физика твердого тела. 2000. Т. 42. № 12. С. 2175. [Teplikh, A.E., Pirogov, A.N., Men’shikov, A.Z., and Bazuev, G. V., Crystal structure and magnetic state of perovskites LaMn1–xVxO3, Phizika tvyordogo tela (in Russian), 2000, vol. 42, p. 2175.]
- Lein, H.L., et al., Mechanical properties of mixed conducting La0.5Sr0.5Fe1 – xCoxO3 – δ (0≤x≤1) materials, J. Solid State Electrochem., 2006, vol. 10, p. 635.
- Смоликов, Ю.И., Шепелев, Ю.Ф., Левин, А.А. Особенности строения высокотемпературных сверхпроводников. Журн. неорган. химии. 1989. Т. 34. С. 2451. [Smolikov, Yu. I., Shepelev, Yu. F., and Levin, A.A., Structural features of high-temperature superconductors, Zhurnal neorganicheskoy khimii (in Russian), 1989, vol. 34, p. 2451.]
- Kharton, V. V., Patrakeev, M. V., Waerenborgh, J.C., Sobyanin, V. A., Veniaminov, S. A., Yaremchenko, A.A., Gaczynski, P., Belyaev, V. D., Semin, G. L., and Frade, J. R., Methane oxidation over perovskite-related ferrites: Effects of oxygen nonstoichiometry, Solid State Sci., 2005, vol. 7, no. 11, p. 1344.
- Medvedev, D.A., et al., Advanced materials for SOFC application: Strategies for the development of highly conductive and stable solid oxide proton electrolytes, Prog. Mater. Sci., 2016, vol. 75, p. 38.
- Fan, L., Zhu, B., Su, P. C., and He, C., Nanomaterials and technologies for low temperature solid oxide fuel cells: recent advances, challenges and opportunities, Nano Energy, 2018, vol. 45, p. 148.
- Arakawa, T., Kurachi, H., and Shiokawa, J., Physicochemical properties of rare earth perovskite oxides used as gas sensor material, J. Mater. Sci., 1985, vol. 20, no. 4, p. 1207.
- Shimizu, Y., et al., Enhancement of humidity sensitivity for perovskite-type oxides having semiconductivity, Chem. Lett., 1985, vol. 14, no. 7, p. 917.
- Liu, S. and Gavalas, G. R., Oxygen selective ceramic hollow fiber membranes, J. Membr. Sci., 2005, vol. 246, no. 1, p. 103.
- Shimizu, Y., Shimabukuro, M., Arai, H., and Seiyama, T., Hollow fibre perovskite membranes for oxygen separation, J. Membr. Sci., 2005, vol. 258, no. 1–2, p. 1.
- Wang, H.H., Tablet, C., Schiestel, T., Werth, S., and Caro, J., Partial oxidation of methane to syngas in a perovskite hollow fiber membrane reactor, Catal. Commun., 2006, vol. 7, p. 907.
- Teraoka, Y., Zhang, H. M., Furukawa, S., and Yamazoe, N., Oxygen permeation through perovskite-type oxides, Chem. Lett., 1985, p. 1743.
- Tikhonovich, V. N., Zharkovskaya, O. M., Naumovich, E. N., Bashmakov, I. A., Kharton, V. V., and Vecher, A.A., Oxygen nonstoichiometry of Sr(Co, Fe)O3 – δ based perovskites: I. Coulometric titration of SrCo0.85Fe0.10Cr0.05O3 – δ by the two-electrode technique, Solid State Ion., 2003, vol. 160, p. 259.
- Kharton, V. V., Kovalevsky, A. V., Tsipis, E. V., Viskup, A. P., Naumovich, E. N., Jurado, J. R., and Frade, J.R., Mixed conductivity and stability of A-sitedeficient Sr(Fe, Ti)O3 – δ perovskites, J. Solid State Electrochem., 2002, vol. 7, p. 30.
- Lu, H., Son, S. H., Kim, J. P., and Park, J. H., A Fe/Nb co-doped Sr(Co0.8Fe0.1Nb0.1) O3 – δ perovskite oxide for air separation: Structural, sintering and oxygen permeating properties, Mater. Lett., 2011, vol. 65, p. 702.
- Karen, P., Nonstoichiometry in oxides and its control, J. Solid State Chem., 2006, vol. 179, no. 10, p. 3167.
- Liu, L. M., Lee, T. H., Qiu, L., Yang, Y. L., and Jacobson, A. J., A thermogravimetic study of the phase diagram of strontium cobalt iron oxide SrCo0.8Fe0.2O3 – δ, Mater. Res. Bull, 1996, vol. 31, p. 29.
- Patrakeev, M. V., Leonidov, I. A., and Kozhevnikov, V.L., Applications of coulometric titration for studies of oxygen non-stoichiometry in oxides, J. Solid State Electrochem., 2011, vol. 15, p. 931.
- McIntosh, S., Vente, J. F., Haije, W. G., Blank, D. H. A., and Bouwmeester, H. J. M., Oxygen stoichiometry and chemical expansion of Ba0.5Sr0.5Co0.8Fe0.2O3 – δ measured by in situ neutron diffraction, Chem. Mater., 2006, vol. 18, p. 2187.
- Захарчук, Н. Ф., Федина, Т. П., Борисова, Н.С. Определение кислорода в ВТСП материалах методом йодометрии. Новые возможности и перспективы метода. Сверхпроводимость: физика, химия, техника. 1991. Т. 45. № 7. С. 1391. [Zakharchuk, N. F., Fedina, T. P., and Borisova, N. S., Determination of oxygen in HTS materials by iodometry. New opportunities and prospects of the method, Sverkhprovodimost’: phisica, khimiya, tekhnica (in Russian), 1991, vol. 45, no. 7, p. 1391.]
- Liu, L., Dong, C., Zhang, J., Chen, H., & Chen, L., A simple volumetric method for oxygen content determination in high-Tc doped YBCO compositions, Physica C: Superconductivity, 2002, vol. 383, no. 1–2, p. 17.
- Jonker, G. H. and Van Santen, J. H., Ferromagnetic compounds of manganese with perovskite structure, Physica, 1950, vol. 16, no. 3, p. 337.
- Van Santen, J. H. and Jonker, G. H., Electrical conductivity of ferromagnetic compounds of manganese with perovskite structure, Physica, 1950, vol. 16, no. 7, p. 599.
- Wollan, E. O. and Koehler, W. C., Neutron diffraction study of the magnetic properties of the series of perovskite-type Compounds [(1–x)La, xCa]MnO3, Phys. rev., 1955, vol. 100, no. 2, p. 545.
- Matsumoto, G., Study of (La1–xCax)MnO3. I. Magnetic Structure of LaMnO3, J. Phys. Soc. Japan, 1970, vol. 29, no. 3, p. 606.
- Tanaka, J., Umehara, M., Tamura, S., Tsukioka, M., & Ehara, S., Study on Electric Resistivity and Thermoelectric Power in (La0.8Ca0.2) MnO3–y, J. Phys. Soc. Japan, 1982, vol. 51, no. 4, p. 1236.
- Kuo, J. H., Anderson, H. U., and Sparlin, D. M., Oxidation-reduction behavior of undoped and Sr-doped LaMnO3 nonstoichiometry and defect structure, J. Solid State Chem., 1989, vol. 83, no. 1, p. 52.
- Kuo, J. H., Anderson, H. U., and Sparlin, D. M., Oxidation-reduction behavior of undoped and Sr-doped LaMnO3: Defect structure, electrical conductivity, and thermoelectric power, J. Solid State Chem., 1990, vol. 87, no. 1, p. 55.
- Попов, М.П., Старков, И.А., Чижик, С.А., Бычков, С.Ф., Немудрый, А.П. Кислородный обмен в нестехиометрических оксидах со смешанной проводимостью: новые экспериментальные методики и методология получения/анализа равновесных и кинетических данных, Новосибирск: Изд-во Сиб. отд. РАН, 2019. 135 с. [Popov, M. P., Starkov, I. A., Chizhik, S. A., Bychkov, S. F., and Nemudry, A. P., Oxygen exchange in nonstoichiometric oxides with mixed conductivity: new experimental techniques and methodology for obtaining/analyzing equilibrium and kinetic data, Novosibirsk: Izdatel’stvo Sibirskogo Otdeleniya RAN, 2019. 135 p.]
- Urushibara, A., Moritomo, Y., Arima, T., Asamitsu, A., Kido, G., and Tokura, Y., Insulator-metal transition and giant magnetoresistance in La1–xSrxMnO3, Phys. rev. B, 1995, vol. 51, no. 20, p. 103.
- Mizusaki, J. and Tagawa, H., Nonstoichiometry and thermochemical stability of the perovskite-type Lal - xSrxMnO3 - δ, Solid State Ion, 1991, vol. 49, p. 111.
- Lankhorst, M. H. R., Bouwmeester, H. J. M., and Verweij, H., High-temperature coulometric titration of La1–xSrxCoO3–δ: evidence for the effect of electronic band structure on nonstoichiometry behavior, J. Solid State Chem., 1997, vol. 133, no. 2, p. 555.
- Aksenova, T.V., Urusova, A.S., and Cherepanov V.A., Phase equilibria and structure of complex oxides in the 1/2 Nd2O3–CaO–COO system in air at 1373 K, Russ. J. Phys. Chem., 2020, vol. 94, no. 12, p. 2495.
- Grunbaum, N., Mogni, L., Prado, F., and Caneiro, A., Phase equilibrium and electrical conductivity of SrCo0.8Fe0.2O3–δ, J. Solid State Chem., 2004, vol. 177, p. 2350.
- Nadeev, A.N., Tsybulya, S.V., Belyaev, V.D., Yakovleva, I.S., and Isupova, L.A., Weakly bound oxygen and its role in stability of solid solutions La1–xSrxFeO3–δ, J. Struct. Chem., 2008, vol. 49, no. 6, p. 1077.
- Arai, H., Yamada, T., Eguchi, K., and Seiyama, T., Catalytic combustion of methane over various perovskite-type oxides, Appl. Catal., 1986, vol. 26, p. 265.
Supplementary files










