TRANSPORT PROPERTIES OF La2(WO4)3-Al2O3 COMPOSITES
- Authors: Pestereva N.N.1, Guseva A.F.1, Vasilenko N.A.1, Beketov I.V.1,2, Selezneva N.V.1
-
Affiliations:
- Ural Federal University the first President of Russia B.N. Yeltsin
- Institute of Electrophysics, Ural Branch, Russian Academy of Sciences
- Issue: Vol 59, No 12 (2023)
- Pages: 894-904
- Section: Articles
- URL: https://ogarev-online.ru/0424-8570/article/view/232703
- DOI: https://doi.org/10.31857/S0424857023120095
- EDN: https://elibrary.ru/QAZLGW
- ID: 232703
Cite item
Full Text
Abstract
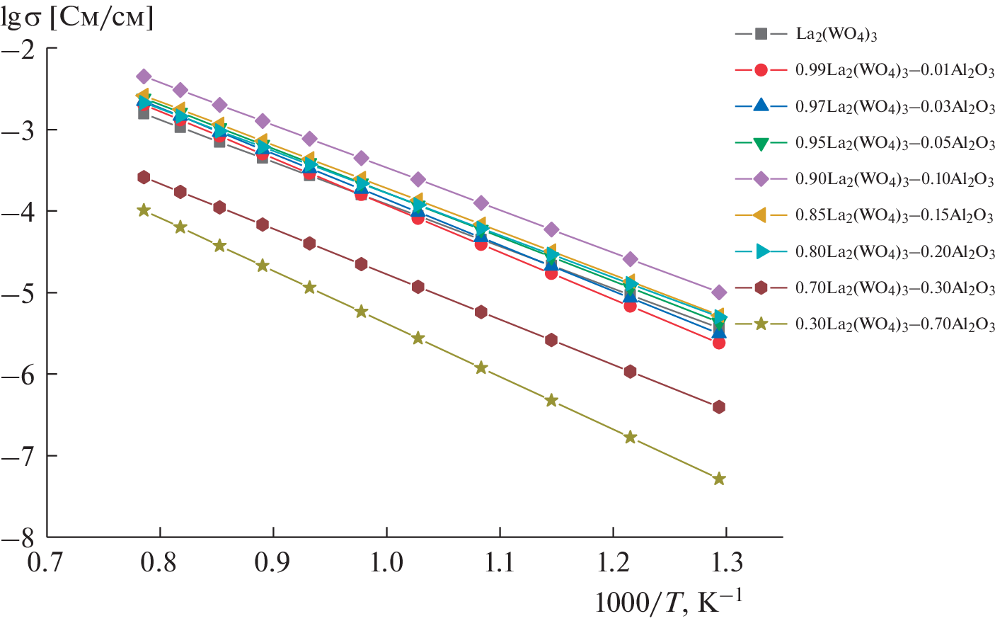
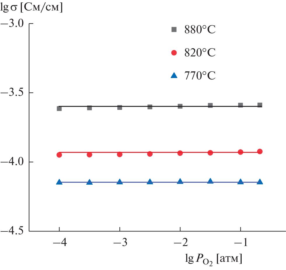
Composites (1-φ)La2(WO4)3 – φAl2O3 (φ is the volume fraction of nanodispersed aluminum oxide) were obtained by the solid-phase method, their thermal properties, morphology, electrical conductivity depending on temperature, oxygen pressure in the gas phase, and composition were studied. It was found that the conductivity of composites (1-φ)La2(WO4)3 – φAl2O3 passes through a maximum at φ ~ 0.1 and reaches a value of 7 10-3 S/cm at 1000°C, which is 7 times higher than the conductivity of La2(WO4)3 at given temperature. Using the EMF method and measuring the dependence of electrical conductivity on oxygen pressure in the gas phase, the ionic nature of the conductivity of (1-φ)La2(WO4)3 – φAl2O3 composites was established.
About the authors
N. N. Pestereva
Ural Federal University the first President of Russia B.N. Yeltsin
Email: Natalie.Pestereva@urfu.ru
Russia
A. F. Guseva
Ural Federal University the first President of Russia B.N. Yeltsin
Email: Natalie.Pestereva@urfu.ru
Russia
N. A. Vasilenko
Ural Federal University the first President of Russia B.N. Yeltsin
Email: Natalie.Pestereva@urfu.ru
Russia
I. V. Beketov
Ural Federal University the first President of Russia B.N. Yeltsin; Institute of Electrophysics, Ural Branch, Russian Academy of Sciences
Email: Natalie.Pestereva@urfu.ru
Russia; Russia
N. V. Selezneva
Ural Federal University the first President of Russia B.N. Yeltsin
Author for correspondence.
Email: Natalie.Pestereva@urfu.ru
Russia
References
- Mahato, N., Banerjee, A., Gupta, A., Omar, S., and Balani, K., Progress in material selection for solid oxide fuel cell technology: A review, Progress in Mater. Sci., 2015, vol. 72, p. 141. https://doi.org/10.1016/j.pmatsci.2015.01.001
- Medvedev, D., Lyagaeva, J., Gorbova, E., Demin, A., and Tsiakaras, P., Advanced materials for SOFC application: Strategies for the development of highly conductive and stable solid oxide proton electrolytes, Progress in Mater. Sci., 2016, vol. 75, p. 38. https://doi.org/10.1016/j.pmatsci.2015.08.00
- Gómez, S. and Hotza, D., Current developments in reversible solid oxide fuel cells, Renewable and Sustainable Energy Reviews, 2016, vol. 61, p.155.https://doi.org/10.1016/j.rser.2016.03.005
- Zhang, Y., Knibbe, R., Sunarso, J., Zhong, Y., Zhou, W., Shao, Z., and Zhu, Z., Recent progress on advanced materials for solid-oxide fuel cells operating below 500°C, Adv. Mater., 2017, vol. 29, p. 1700132. https://doi.org/10.1002/adma.201700132
- Da Silva, F. and De Souza, T., Novel materials for solid oxide fuel cell technologies: A literature review, Intern. J. Hydrogen Energy, 2017, vol. 42(41), p. 26020. https://doi.org/10.1016/j.ijhydene.2017.08.105
- Danilov, N., Lyagaeva, J., Vdovin, G., and Medvedev, D., Multifactor performance analysis of reversible solid oxide cells based on proton-conducting electrolytes, Appl. Energy, 2019, vol. 237, p. 924. https://doi.org/10.1016/j.apenergy.2019.01.054
- Zhou, Y. and Yan, B., Re2(MO4)3: Ln3+(RE = Y, La, Gd, Lu; M = W, Mo; Ln = Eu, Sm, Dy) microcrystals: controlled synthesis, microstructure and tunable luminescence, CrystEngComm., 2013, vol. 15(28), p. 5694. https://doi.org/10.1039/c3ce40495a
- Kaczmarek, A.M. and Van Deun, R., Rare earth tungstate and molybdate compounds – from 0D to 3D architectures, Chem. Soc. Rev., 2013, vol. 42(23), p. 8835. https://doi.org/10.1039/c3cs60166h
- Guzik, M., Tomaszewicz, E., Guyot, Y., Legendziewicz, J., and Boulon, G., Structural and spectroscopic characterizations of new Cd1 − 3xNd2x – xMoO4 scheelite-type molybdates with vacancies as potential optical materials, J. Mater. Chem. C, 2015, vol. 3(16), p.4057. https://doi.org/10.1039/c4tc02963a
- Liu, J., Kaczmarek, A.M., and Van Deun, R., Advances in tailoring luminescent rare-earth mixed inorganic materials, Chem. Soc. Rev., 2018, vol. 47, p. 7225. https://doi.org/10.1039/c7cs00893g
- Ke, J, Adnan Younis, M., Kong, Y., Zhou, H., Liu, J., Lei, L., and Hou, Y., Nanostructured ternary metal tungstate-based photocatalysts for environmental purification and solar water splitting: A Review. Nano-Micro Letters, 2018, vol. 10(4). https://doi.org/10.1007/s40820-018-0222-4
- Pestereva, N., Guseva, A., Vyatkin, I., and Lopatin, D., Electrotransport in tungstates Ln2(WO4)3 (Ln = La, Sm, Eu, Gd), Solid State Ionics, 2017, vol. 301, p. 72. https://doi.org/10.1016/j.ssi.2017.01.009
- Уваров, Н.Ф. Композиционные твердые электролиты. Новосибирск: Изд-во СО РАН, 2008. 258 с. [Uvarov, N.F., Composite solid electrolytes (in Russian), Novosibirsk: ISSC SB RAS Publ., 2008. 258 p.]
- Knauth, P., Ionic Conductor Composites: Theory and Materials, J. Electroceramics, 2000, vol. 5(2), p.111. https://doi.org/10.1023/a:1009906101421
- Yaroslavtsev, A., Composite materials with ionic conductivity: from inorganic composites to hybrid membranes, Russ. Chem. Rev., 2009, vol. 78, p. 1013. https://doi.org/10.1070/RC2009v078n11ABEH004066
- Alekseev, D., Mateyshina, Y., and Uvarov, N., Effect of nanodiamond additives on the ionic conductivity of the (C2H5)3CH3NBF4 organic salt, Russ. J. Electrochem., 2022, vol. 58(7), p. 594. https://doi.org/10.1134/S1023193522070035
- Ulihin, A. and Uvarov, N., Ionic Conductivity of composite solid electrolytes (C4H9)4NBF4–Al2O3, Russ. J. Electrochem., 2021, vol. 57(10), p.1015. https://doi.org/10.1134/S1023193521080140
- Alekseev, D., Mateyshina, Y., and Uvarov, N., Transport properties of LiClO4–nanodiamond composites, Russ. J. Electrochem., 2021, vol. 57(10), p. 1037. https://doi.org/10.1134/S1023193521100037
- Евдокимов, А.А., Ефремов, В.А., Трунов, В.К. Соединения редкоземельных элементов. Молибдаты, вольфраматы, М.: Наука, 1991. С. 51–58.
- Guseva, A., Pestereva, N., Otcheskikh, D., and Kuznetsov, D., Electrical properties of CaWO4–SiO2 composites, Solid State Ionics, 2021, vol. 364, p. 115626. https://doi.org/10.1016/j.ssi.2021.115626
- Pestereva, N., Guseva, A., Kuznetsov, D., Selezneva, N., and Korona, D., Effect of silicon, vanadium, and tungsten oxide additives on the electrical properties of composites based on CaWO4, Russ. J. Phys. Chem., A, 2020, vol. 94(12), p. 2482. https://doi.org/10.1134/S0036024420120213
- Guseva, A., Pestereva, N., and Uvarov, N., New oxygen ion conducting composite solid electrolytes Sm2(WO4)3–WO3, Solid State Ionics, 2023, vol. 394, p. 116196. https://doi.org/10.1016/j.ssi.2023.116196
- Lippens, B.C. and Steggerda, J.J., Physical and Chemical Aspects of adsorbents and catalysts / B.G. Linsen, London: Acad fress, 1970, no. 4, p. 190–232.
- Trimm, D.l. and Stanislaus, A., The control of pore size in alumina catalyst: A review, Appl. Catal., 1986, vol. 21, no. 2, p. 215.
- Stumpf, H.C., Allen, R.R., Newsome, J.W., and Tucker, C.M., Thermal transformations of aluminas and alumina hydrates, Ind. End. Chem., 1953, vol. 45, no. 4, p. 819.
- Wilson, S.J., The dehydration of boehmite, γ-AlOOH, to γ-Al2O3, J. Solid State Chem., 1979, vol. 30, no. 2, p. 247.
- Ono, T., Ohguchi, Y., and Togari, O., Preparation of Catalysts III // Edit, G. Poncelet, P. Grange, P. Jacobs. Amsterdam: Elsevier Scientific Publishers, 1983, p. 631.
- Козерожец, И.В., Панасюк, Г.П., Семенов, Е.А., Данчевская, М.Н., Азарова, Л.А., Симоненко, Н.П. Исследование превращений наноразмерного порошка бемита и γ-Аl2О3 при термической обработке. Журн. неорган. химии. 2020. Т. 65. № 4. С. 549. https://doi.org/10.31857/S0044457X20040091
- Шкрабина, Р.А., Корябкина, Н.А., Ушаков, В.А. Лаусберг, М., Мороз, Э.М., Исмагилов, З.Р. Термостабильность системы La2O3–Al2O3. Кинетика и катализ. 1996. Т. 37. С. 116.
- Uvarov, N., Composite solid electrolytes: recent advances and design strategies, J. Solid State Electrochem., 2011, vol. 15, p. 367. https://doi.org/10.1007/s10008-008- 0739-4
- Uvarov, N., Estimation of composites conductivity using a general mixing rule, Solid State Ionics, 2000, vols. 136–137, p. 1267. https://doi.org/10.1016/S0167-2738(00)00585-3
Supplementary files











