LiAsF6 SOLUTIONS IN THE MIXED SOLVENTS OF PROPYLENE CARBONATE – DIMETHYL SULFOXIDE: ELECTRIC CONDUCTIVITY AND ELECTROCHEMICAL STABILITY
- Authors: Tyunina E.Y.1, Chekunova M.D.2
-
Affiliations:
- G.A. Krestov Institute of Solution Chemistry of the Russian Academy of Sciences
- Ivanovo State Polytechnic University
- Issue: Vol 59, No 12 (2023)
- Pages: 872-883
- Section: Articles
- URL: https://ogarev-online.ru/0424-8570/article/view/232699
- DOI: https://doi.org/10.31857/S0424857023120137
- EDN: https://elibrary.ru/QADNDD
- ID: 232699
Cite item
Full Text
Abstract
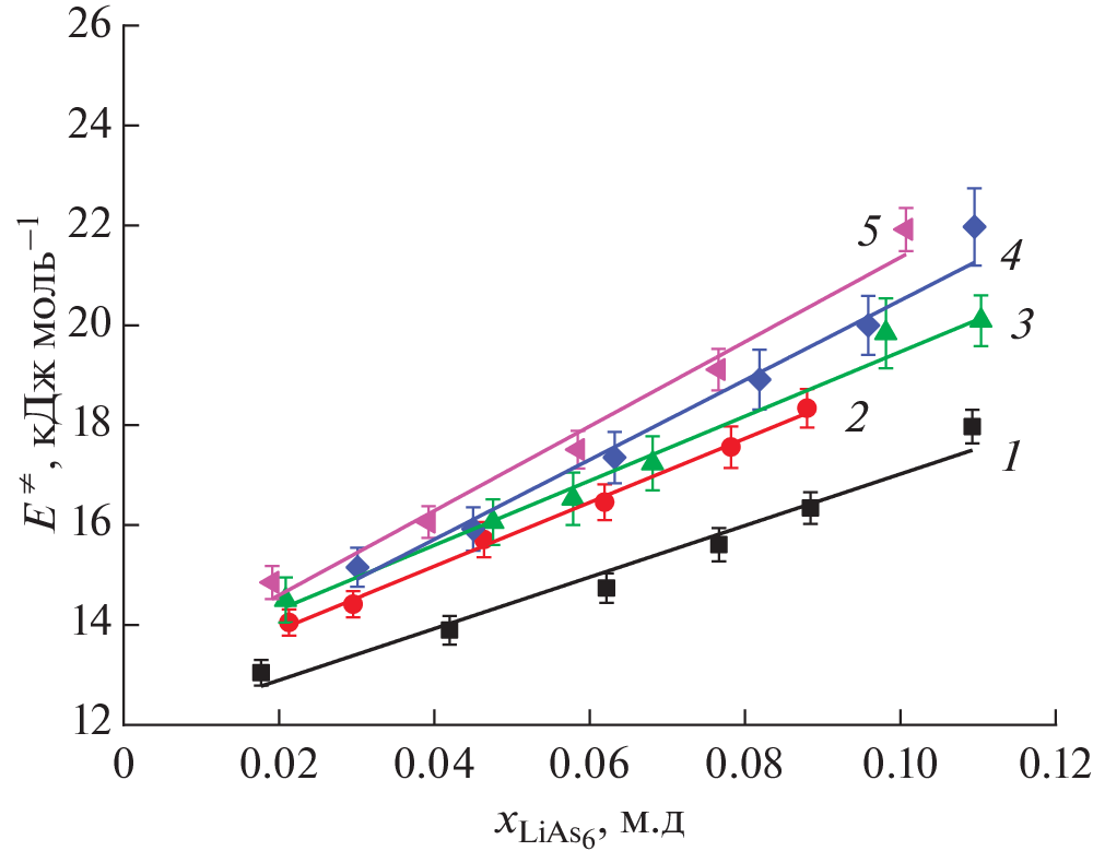
The specific conductivities of LiAsF6 solutions in a mixed solvent of propylene carbonate (PC) –dimethyl sulfoxide (DMSO) were measured at temperatures of 253.15, 263.15, 273.15, 283.15, 293.15, 303.15, 313.15, 323.15 and 333.15 K being a ionophore concentration of 0.2 to 1.4 mol / kg. The portion of DMSO in the mixed solvent was varied in the range of (0.2 - 0.75) mole fractions. The specific conductivities of LiAsF6 in DMSO were studied in the temperature range of (293.15 – 333.15) K. Concentration dependences of specific conductivity of the system can be described by the Casteel-Amis equation. The contributions of the solvent and ionophore to the activation energy of the ionic conduction process are determined on the base of the transition state theory. It has been found that the LiAsF6 solutions in a mixed PC – DMSO solvent have a narrower electrochemical window compared to the solutions of this ionophore in pure PC and DMSO solvents.
About the authors
E. Yu. Tyunina
G.A. Krestov Institute of Solution Chemistry of the Russian Academy of Sciences
Email: tey@isc-ras.ru
Akademicheskaya St., 1, Ivanovo 153045, Russia
M. D. Chekunova
Ivanovo State Polytechnic University
Author for correspondence.
Email: marchekunova@mail.ru
Sheremetevsky pr., 21, Ivanovo 153037, Russia
References
- Logan, E.R., Tonita, E.M., Gering, K.L., Li, J., Ma, X., Beaulieu, L.Y., and Dahn, J.R., A study of physical properties of Li-ion battery electrolytes containing esters, J. Electrochem. Soc., 2018, vol. 165, p. A21.
- Mozhzhukhina, N., Longinottia, M.P., Cortia, H.R., and Calvo, E.J., A conductivity study of preferential solvation of lithium ion in acetonitrile-dimethyl sulfoxide mixtures, Electrochim. Acta, 2015, vol. 154, p. 456.
- Blomgren, G.E., The development and future of lithium ion batteries, J. Electrochem. Soc., 2017, vol. 164, p. A5019.
- Lin, Z., Goikolea, E., Balducci, A., Naoi, K., Taberna, P.L., Salanne, M., Yushin, G., and Simon, P., Materials for supercapacitors: when Li-ion battery power is not enough, Mater. Today, 2018, vol. 21, p. 419.
- Истомина, А.С., Бушкова, О.В. Полимерные связующие для электродов литиевых аккумуляторов. Часть 3. Проводящие полимеры. Электрохим. энергетика. 2021. Т. 21. №1. С. 3.
- Suo, L., Hu, Y.-S., Li, H., Armand, M., and Chen, L., A New class of solvent-in-salt electrolyte for high-energy rechargeable metallic lithium batteries, Nat. Commun., 2013, vol. 4, Article number: 1481.
- Ue, M., Sasaki, Y., Tanaka, Y., and Morita, M., Nonaqueous electrolytes with advances in solvents, in: Electrolytes for Lithium and Lithium-Ion Batteries, Springer, 2014, p. 93.
- Erickson, E.M., Markevich, E., Salitra, G., Sharon, D., Hirshberg, D., de la Llave, E., Shterenberg, I., Rosenman, A., Frimer, A., and Aurbach, D., Review-development of advanced rechargeable batteries: a continuous challenge in the choice of suitable electrolyte solutions, J. Electrochem. Soc., 2015, vol. 162, p. A2424.
- Баймуратова, Г.Р., Мумятов, А.В., Капаев, Р.Р., Трошин, П.А., Ярмоленко, О.В. Влияние состава электролита на параметры аккумулятора системы полиимид–литий. Электрохимия. 2021. Т. 57. С. 429. [Baymuratova, G.R., Mumyatov, A.V., Kapaev, R.R., Troshin, P.A., and Yarmolenko, O.V., The effect of electrolyte composition on the parameters of batteries of the polyimide–lithium system, Russ. J. Electrochem., 2021, vol. 57, p. 725.]
- Borodin, O., Han, S.-D., Daubert, J.S., Seo, D.M., Yun, S.-H., and Henderson, W.A., Electrolyte solvation and ionic association. VI. Acetonitrile-lithium salt mixtures: Highly associated salts revisited, J. Electrochem. Soc., 2015, vol. 162, p. A501.
- Lu, X., Vicent-Luna, J.M., Calero, S., Madero-Castro, R.M., Gutiérrez, M.C., Ferrer, M.L., and Del Monter, F., EMIMBF4 in ternary liquid mixture of water, dimethyl sulfoxide and acetonitrile as “tri-solvent-in-salt” electrolytes for high-performance supercapacitors operating at –70°C, Energy Storage Mater., 2021, vol. 40, p. 368.
- Kirillov, S.A., Gafurov, M.M., Gorobets, M.I., and Ataev, M.B., Raman study of ion pairing in solutions of lithium salts in dimethyl sulfoxide, propylene carbonate and dimethyl carbonate, J. Mol. Liq., 2014, vol. 199, p. 167.
- Pham, H.Q., Lee, H.Y., Hwang, E.H., Kwon, Y.G., and Song, S.W., Non-flammable organic liquid electrolyte for high-safety and high-energy density Li-Ion batteries, J. Power Sources, 2018, vol. 404, p. 13.
- Plichta, E.J. and Hendrickson, M.A., Influence of nonaqueous solvents on electrochemistry of oxygen in the rechargeable lithium–air battery, J. Phys. Chem. C., 2010, vol. 114, p. 9178.
- Landesfeind, J. and Gasteiger, H.A., Temperature and concentration dependence of the ionic transport properties of lithium-ion battery electrolytes, J. Electrochem. Soc., 2019, vol. 166, p. A3079.
- Тюнина, Е.Ю., Чекунова, М.Д. Электрохимические свойства растворов LiAsF6 в смешанном растворителе пропиленкарбонат–ацетонитрил. Электрохимия. 2019. Т. 55. С. 222. [Tyunina, E.Yu. and Chekunova, M.D., Electrochemical properties of LiAsF6 solutions in propylene carbonate–acetonitrile binary mixtures, Russ. J. Electrochem., 2019, vol. 55, p. 122.]
- Тюнина, Е.Ю., Чекунова, М.Д. Электропроводность и потенциалы разложения растворов LiAsF6 в смешанном растворителе пропиленкарбонат−N,N-диметилформамид. Электрохимия. 2021. Т. 57. С. 152. [Tyunina, E.Yu. and Chekunova, M.D., Electrical conductivity and decomposition potentials of the liasf6 solutions in the propylene carbonate–N,N-dimethylformamide mixed solvent, Russ. J. Electrochem., 2021, vol. 57, p. 273.]
- Kao-ian, W., Nguyen, M.T., Yonezawa, T., Ponprasertsuk, R., Qin, J., Siwamogsatham, S., and Kheawhom, S., Highly stable rechargeable zink-ion battery using dimethyl sulfoxide electrolyte, Mater. Tosay Energy, 2021, vol. 21, p. 100738.
- Wang, Y. and Hao, L., Modeling discharge performance of Li-O2 batteries with different electrolye compositions, J. Electroanalyt. Chem., 2021, vol. 901, p. 115745.
- Артемкина, Ю.М., Акимов, И.А., Щербаков, В.В. Энергия активации электропроводности растворов 1-бутил-3-метилпирнидиний бис{трифторметил) сульфонил}имида в диметилсульфоксиде. Успехи химии и хим. технологии. 2018. Т. 32. № 7. С. 77.
- Ярмоленко, О.В., Юдина, А.В., Хатмуллина, К.Г. Нанокомпозитные полимерные электролиты для литиевых источников тока (обзор). Электрохимия. 2018. Т. 54. С. 377. [Yarmolenko, O.V., Yudina, A.V., and Khatmullina, K.G., Nanocomposite polimer electrolytes for lithium power sources (review), Russ. J. Electrochem., 2018, vol. 54, p. 325.]
- Тарасевич, М.Р., Андреев, В.Н., Корчагин, О.В., Трипачев, О.В. Литий-кислородные (воздушные) источники тока (современное состояние и перспективы). Физикохимия поверхности и защита металлов. 2017. Т. 53. С. 3. [Tarasevich, M.R., Andreev, V.N., Korchagin, O.V., and Tripachev, O.V., Lithium—oxygen (aerial) current sources (current state and prospects), Protection of Metals and Physical Chemistry of Surfaces, 2017, vol. 53, p. 3.]
- Wang, Y. and Hao, L., Modeling discharge performance of Li–O2 batteries with different electrolye compositions, J. Electroanalyt. Chem., 2021, vol. 901, p. 115745.
- Афанасьев, В.Н., Зятькова, Л.А., Тюнина, Е.Ю., Чекунова, М.Д. Сольватационные взаимодействия в растворах гексафторарсената лития в пропиленкарбонате. Электрохимия. 2001. Т. 37. С. 56. [Afanas’ev, V.N., Zyat’kova, L.A., Tyunina, E.Yu., and Chekunova, M.D., Solvation interactions in solutions of lithium hexafluoroarsenate in propylene carbonate, Russ. J. Electrochem., 2001, vol. 37, p. 46.]
- Afanasyev, V.N. and Zyatkova, L.A., Speed of sound, densities, and viscosities for solutions of lithium hexafluoroarsenate in tetrahydrofuran at 283.15, 298.15 and 313.15 K, J. Chem. Eng. Data, 1996, vol. 41, p. 1315.
- Ничуговский, Г.Ф. Определение влажности химических веществ, Л.: Химия, 1977. 200 с. [Nichugovskiy, G.F., Determination of the humidity of chemicals (in Russian), L.: Khimiya, 1977. 200 p.]
- Tyunina, E.Yu., Afanasiev, V.N., and Chekunova, M.D., Electroconductivity of tetraethylammonium tetraf luo-roborate in propylene carbonate at various temperatures, J. Chem. Eng. Data, 2011, vol. 56, p. 3222.
- Гордон, А., Форд, Р. Спутник химика, М.: Мир, 1976. 541 с. [Gordon, A.J. and Ford, R.A., The chemist’s companion. A handbook of practical data, techniques, and references, New York–London: Wiley, 1972. 541 p.]
- Jones, G. and Prendergast, M.J., The measurement of the conductance of electrolytes. VIII. A redetermination of the conductance of Kohlrausch’s standard potassium chloride solutions in absolute units, J. Amer. Chem. Soc., 1937, vol. 59, p. 731.
- Casteel, J.F. and Amis, E.S., Specific conductance ofconcentrated solutions of magnesium salts in water-ethanol system, J. Chem. Eng. Data, 1972, vol. 17, p. 55.
- Erdey-Gruz, T. Transport Phenomena in Aqueous Solutions, Budapest: Akademiai Kiado, 1974. 420 p.
- Глесстон, С., Лейдер, К., Эйринг, Г. Теория абсолютных скоростей реакций, М.: Изд-во иностр. лит-ры, 1948. 583 с. [Glasstone, S., Laidler, K., and Eyring, H. The theory of rate processes, N.Y.: McGraw-Hill, 1941. 580 p.]
- Chagnes, A., Carré, B., Willmann, P., and Lemordant, D., Ion transport theory of nonaqueous electrolytes. LiClO4 in γ-butyrolactone: the quasi lattice approach, Electrochim.Acta, 2001, vol. 46, p. 1783.
- Тюнина, Е.Ю., Чекунова, М.Д. Электропроводность растворов LiAsF6 в апротонных растворителях с различной диэлектрической проницаемостью. Изв. вузов. Химия и хим. технология. 2015. Т. 58. С. 112. [Tyunina, E.Yu. and Chekunova, M.D., Electroconductivity of solutions of LiAsF6 in aprotic solvents with different permittivity, Izv. Vyssh. Uchebn. Zaved. Khim. Khim. Tekhnol. (in Russian), 2015, vol. 58, p. 112.]
- Измайлов, Н.А. Электрохимия растворов, М.: Химия, 1966. 576 с. [Izmailov, N.A., Electrochemistry of solutions (in Russian), Moscow: Khemiya, 1966. 576 p.]
- Афанасьев, В.Н., Зятькова, Л.А., Чекунова, М.Д. Температурная зависимость транспортных свойств и ион-молекулярные формы LiAsF6 в γ-бутиролактоне. Электрохимия. 2002. Т. 38. С. 876. [Afanas’yev, V.N., Zyat’kova, L.A., and Chekunova, M.D., Temperature dependence of transport properties and ion-molecular forms of LiAsF6 in γ-butyrolactone, Russ. J. Electrochem., 2002, vol. 38, p. 781.]
- Tyunina, E.Yu. and Chekunova, M.D., Electrochemical properties of lithium hexafluoroarsenate in methyl acetate at various temperatures, J. Mol. Liq., 2013, vol. 187, p. 332.
- Śmiechowski, K.M., The influence of intermolecular correlations on the infrared spectrum of liquid dimethyl sulfoxide, Spectrochem. Acta. A.: Mol. Biomol. Spectroscopy, 2021, vol. 260, p. 119869.
- Kраузе, А.С., Динамика молекул апротонных растворителей в ионных растворах. Автореф. дис. … докт. физ.-мат. наук. Уфа, 2004.
- Перелыгин, И.С., Иткулов, И.Г., Краузе, А.С. Влияние самоассоциации на колебательную и ориентационную релаксацию молекул жидкого пропиленкарбоната по данным комбинационного рассеяния света. Хим. физика. 1993. Т. 12. № 3. С. 409.
- Щербина, Е.И., Гурарий, Л.Л., Тененбаум, А.Э., Бамун, Е.В. Исследование межмолекулярных взаимодействий в растворах смешанных растворителей. В сб.: Общая и прикладная химия: республиканский межведомственный сборник. Вып. 6. Минск: Вышэйшая школа, 1974. С. 114.
- Бретшнайдер, С. Свойства газов и жидкостей. Инженерные методы расчета. М.; Л.: Химия, 1966. 536 с.
- Уэллс, А. Структурная неорганическая химия. М.: Мир, 1987. Т. 2. С. 654.
- Marcus, Y., Hefter, G., and Pang, T.-S., Ionic partial molar volumes in non-aqueous solvents, J. Chem. Soc. Faraday Trans., 1994, vol. 90, p. 1899.
- Дамаскин, Б.Б., Петрий, О.А., Цирлина, Г.А. Электрохимия, М.: Химия, 2001. 624 с.
- Кедринский, И.А., Яковлев, В.Г. Li-ионные аккумуляторы, Красноярск: Платина, 2002. 268 с.
- Gorobets, M.I., Ataev, M.B., Gafurov, M.M., and Kirillov, S.A., Ramman study of solvation in solutions of lithium salts in dimethyl sulfoxide, propylene carbonate and dimethyl carbonate, J. Mol. Liq., 2015, vol. 205, p. 98.
- Карапетян, Ю.А., Эйчис, В.Н. Физико-химические свойства электролитных неводных растворов, М.: Химия, 1989. 256 с. [Karapetyan, Yu.A. and Eychic, V.N., Physico-chemical properties of electrolytic non-aqueous solutions (in Russian), Moscow: Khimiya, 1989. 256 p.]
- Marcus, Y., The structuredness of solvents, J. Solution Chem., 1992, vol. 21, p. 1217.
- Izutsu, K., Electrochemistry in Nonaqueous Solutions, Weinheim: Wiley-VCH Verlag, 2002. 415 p.
- Irish, D.E., Deng, Z., and Odziemkowski, M., Raman spectroscopic and electrochemical studies of lithium battery components, J. Power Sources, 1995, vol. 54, p. 28.
- Barthel, J. and Gores, H.-J., Solution Chemistry: a cutting edge in modern electrochemical technology, In: G. Mamontov, A.I. Popov (Eds.), Chemistry of Nonaqueous Solutions, VCH: New York, 1994, p. 1–148.
- Зятькова, Л.А., Афанасьев, В.Н., Крестов, Г.А., Иванова Т.В. Влияние растворителя на потенциалы разложения неводных растворов гексафторарсената лития. Электрохимия. 1993. Т. 29. С. 946. [Zyatkova, L.A., Afanasyev, V.N., Krestov, G.A., and Ivanova, T.V., Effect of solvent on the potentials of decomposition of lithium hexafluoroarsenate non-aqueous solutions, Russ. J. Electrochem., 1993, vol. 29, p. 946 (in Russian).]
- Borodin, O., Challenges with prediction of battery electrolyte electrochemical stability window and guiding the electrode–electrolyte stabilization, Current. Opinion. Electrochem., 2019, vol. 13, p. 86.
- Lee, J., Kim, Ch., Han, Y.-K., Quantum chemical characteristics of additives that enable the use of propylene carbonate -based electrolytes, Int. J. Energy Research., 2023, vol. 2023, ID 6346995, 14 pages. https://doi.org/10.1155/2023/6346995
- Panchenko, N.V., Bogdanovskaya, V.A., Kulova, T.L., Kirakosyan, G.A., Zamilatskov, I.A., Pavlov, A.S., Andreev, V.N., and Novikov, V.T., The effect of lithium salts concentration in an aprotic solvent on the oxygen reaction, Electrochim. Acta, 2021, vol. 393, p. 139073.
- Xu, K., Ninaqueous liquid electrolytes for lithium-based rechargeable batteries, Chem. Rev., 2004, vol. 104, p. 4303.
- Kanamura, K., Umegaki, T., Ohashi, M., Toriyama, Sh., Shiraishi, S., and Takehara, Z., Oxidation of propylene carbonate containing LiBF4 or LiPF6 on LiCoO2 thin film electrode for lithium batteries, Electrochim. Acta, 2001, vol. 47, p. 433.
- Leggesse, E.G., Lin, R.T., Teng, T.-F., Chen, Ch.-L., and Jiang, J.-Ch., Oxidative Decomposition of Propylene Carbonate in Lithium Ion Batteries: A DFT Study, J. Phys. Chem. A, 2013, vol. 117, p. 7959.
- Tanaskovic, V., Pasti, I. A., Gavrilov, N., and Mentus, S.V., Dimethylsulfoxide as a modifier of platinum electrocatalytic activity toward oxygen reduction reaction in aqueous solutions: Combined theoretical and experimental study, J. Electroanalyt. Chem., 2014, vol. 714–715, p. 11.
- Brown, I.D., Structural chemistry and solvent properties of dimethylsulfoxide, J. Solution Chem., 1987, vol.16, p. 205.
- Sobkowski, J. and Szklarczyk, M., The behaviour of high polar organic solvents on platinum electrodes–I. The study of adsorption and electrode reactions of dimethylsulphoxide, Electrochim. Acta, 1980, vol. 25, p. 383.
- Wasmus, S. and Vielstich, W., Electro-oxidation and reduction of dimethylsulfoxide and sulfolane in aqueous acid solution – an on-line MS study, Electrochim. Acta, 1993, vol. 38, p. 175.
- Okoshi, M., Ishikawa, A., Kawamura, Y., and Nakai, H., Theoretical analysis of the oxidation potentials of organic electrolyte solvents, ECS Electrochem. Letter, 2015, vol. 4, p. A103.
- Preger, Y., Barkholtz, H.M., Fresquez, A., Campbell, D.L., Juba, B.W., Romàn-Kustas, J., Ferreira, S.R., and Chalamala, B., Degradation of commercial lithium-ion cells as a function of chemistry and cycling conditions, J. Electrochem. Soc., 2020, vol. 167, p. 120532.
Supplementary files







