INFLUENCE OF THE POSITIVE ELECTRODE PROPERTIES ON THE ACTIVATION TIME OF THE RESERVE CHEMICAL POWER SOURCES OF THE SYSTEM LEAD – PERCHLORIC ACID – LEAD DIOXIDE
- Authors: Shcheglov P.A.1, Samsonov D.A.1, Pavlenkov A.B.1, Kulova T.L.2, Rychagov A.Y.2, Nikolskaya N.F.2, Shiryaev A.A.2, Skundin A.M.2
-
Affiliations:
- Joint Stock Company «Scientific production association «Pribor» named after S.S. Golembiovsky»
- Frumkin Institute of Physical Chemistry and Electrochemistry, Russian Academy of Sciences
- Issue: Vol 59, No 12 (2023)
- Pages: 824-833
- Section: Articles
- URL: https://ogarev-online.ru/0424-8570/article/view/232694
- DOI: https://doi.org/10.31857/S0424857023120125
- EDN: https://elibrary.ru/QAHEPI
- ID: 232694
Cite item
Full Text
Abstract
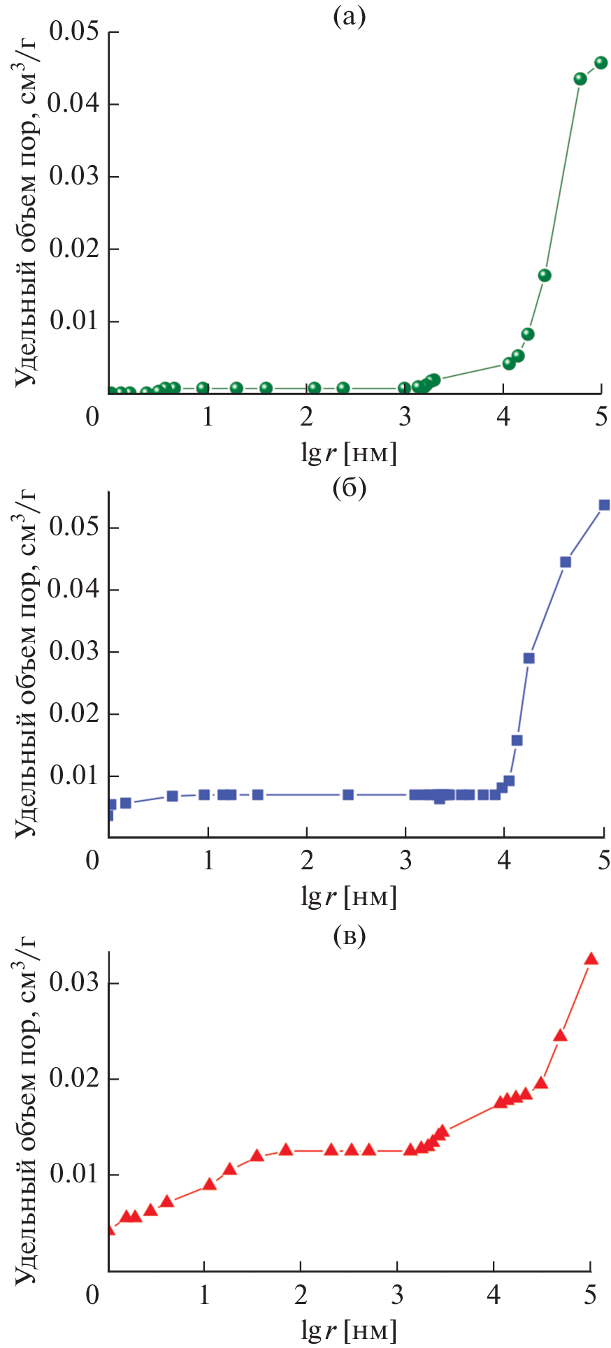
The influence of the positive electrode properties on the activation time of the reserve chemical power sources of the system lead – perchloric acid – lead dioxide has been studied. Coatings of cathodes with lead dioxide obtained under various conditions are characterized by scanning electron spectroscopy, X-ray spectral microanalysis, X-ray photoelectron spectroscopy, standard contact porosimetry. The improvement of the performance characteristics of power sources including the ensuring of a short time of their activation at a low temperature has been shown to be possible with the use of a nanoporous coating of lead dioxide. To estimate the applicability of cathodes for the manufacture of power sources having minimal activation time a diagnostic principle has been used that it based on testing of cathodes by the method of chronopotentiometric measurements during galvanostatic discharge. Pilot industrial samples of small-sized reserve power sources of the mentioned electrochemical system with unprecedented short activation time (less than 30 ms at temperarure –50°С) were manufactured and tested.
About the authors
P. A. Shcheglov
Joint Stock Company «Scientific production association «Pribor» named after S.S. Golembiovsky»
Email: tkulova@mail.ru
Moscow, Russia
D. A. Samsonov
Joint Stock Company «Scientific production association «Pribor» named after S.S. Golembiovsky»
Email: d@samsonov-work.ru
Moscow, Russia
A. B. Pavlenkov
Joint Stock Company «Scientific production association «Pribor» named after S.S. Golembiovsky»
Email: tkulova@mail.ru
Moscow, Russia
T. L. Kulova
Frumkin Institute of Physical Chemistry and Electrochemistry, Russian Academy of Sciences
Email: tkulova@mail.ru
Moscow, Russia
A. Yu. Rychagov
Frumkin Institute of Physical Chemistry and Electrochemistry, Russian Academy of Sciences
Email: tkulova@mail.ru
Moscow, Russia
N. F. Nikolskaya
Frumkin Institute of Physical Chemistry and Electrochemistry, Russian Academy of Sciences
Email: tkulova@mail.ru
Moscow, Russia
A. A. Shiryaev
Frumkin Institute of Physical Chemistry and Electrochemistry, Russian Academy of Sciences
Email: tkulova@mail.ru
Moscow, Russia
A. M. Skundin
Frumkin Institute of Physical Chemistry and Electrochemistry, Russian Academy of Sciences
Author for correspondence.
Email: tkulova@mail.ru
Moscow, Russia
References
- Bagotsky, V.S., Skundin, A.M., and Volfkovich, Yu.M., Electrochemical Power Sources: Batteries, Fuel Cells, and Supercapacitors, Hoboken, N.J.: John Willey & Sons, Inc, 2015. 400 p.
- Голембиовский, В.С., Есиев, Р.У., Колпащиков, Ю.В., Павленков, А.Б., Чижевский, О.Т. Энергосодержащий источник тока. Пат. 2487313 (Россия), 2012. [Golembiovskij, V.S., Esiev, R.U., Kolpashchikov, J.V., Pavlenkov, A.B., and Chizhevskij, O.T., Energy-containing source of current, Patent 2487313 (Russia), 2012.]
- Кузнецов, Н.С. Ампульный химический источник тока для артиллерийcких боеприпасов. Пат. 2708770 (Россия), 2019. [Kuznetsov, N.S., Ampoule chemical source of current for artillery ammunition, Patent 2708770 (Russia), 2019.]
- Hein, R., Aktivierbare Batterie, Patent 102019002504 (Deutschland), 2019.
- Brickwedde, L.H., Properties of Aqueous Solutions of Perchloric Acid, J. Res. Nat. Bur. Stand., 1949, vol. 42, p. 309.
- Терешин, А.И., Токарев, В.А., Удовиченко, В.Н., Пинчуков, З.Н., Баклашов, Д.И., Крюков, А.В., Апухтина, Н.Б., Иванишин, А.А. Ампульный источник тока. Пат. 2728089 (Россия), 2020. [Tereshin, A.I., Tokarev, V.A., Udovichenko, V.N., Pinchukov, Z.N., Baklashov, D.I., Kryukov, A.V., Apukhtina, N.B., and Ivanishin, A.A., Ampoule current source. Patent 2728089 (Russia), 2020.]
- Шпекина, В.И. Разработка технологии электроосаждения диоксида свинца на различные подложки в ультразвуковом поле. Дис. … канд. техн. наук. Саратов: ФГБОУ ВО “Саратовский государственный технический университет имени Гагарина Ю.А.”, 2016. 136 с. [Shpekina, V.I., Development of technology of electrodepotion of lead dioxide onto various substrates in ultrasouic field. Dissertation. Saratov: The Saratov State Technical University named after Gagarin Yu.A. (in Russian), 2016, 136 p.]
- Шпекина, В.И., Савельева, Е.А., Горбачева, Е.Ю., Соловьева, Н.Д. Положительный электрод для резервного источника тока. Электрохим. энергетика. 2014. Т. 14. С. 214. [Shpekina, V.I., Savelieva, E.A., Gorbacheva, E.Y., and Solov’eva, N.D., Positive electrode for reserve chemical current source, Elektrokhim. Energetika (in Russian), 2014, vol. 14, p. 214.]
- Горбачев, Н.В. Технология формирования анодных слоев электродов резервных источников тока с хлорной кислотой. Дис. … канд. техн. наук. Саратов: ФГБОУ ВО “Саратовский государственный технический университет имени Гагарина Ю.А.”, 2011. 127 с. [Gorbachev, N.V., Technology of formation of anode layers of electrodes of reserve current sources with chloric acid. Dissertation. Saratov: The Saratov State Technical University named after Gagarin Yu.A. (in Russian), 2011, 127 p.]
- Горбачев, Н.В., Горбачева, Е.Ю., Соловьева, Н.Д., Краснов, В.В. Анодное поведение электролитически осажденных свинца и цинка в растворе хлорной кислоты и возможность их использования в качестве анодов в резервных источниках тока. Электрохим. энергетика. 2011. Т. 11. С. 154. [Gorbachev, N.V., Gorbacheva, E.Yu., Solov’eva, N.D., and Krasnov, V.V., Anode behavior in chloric acid solution of electrolytically deposited lead and zinc and feasibility of their use as anodes in reserve current sources, Elektrokhim. Energetika (in Russian), 2011, vol. 11, p. 154.]
- Горбачев, Н.В., Горбачева, Е.Ю., Соловьева, Н.Д., Краснов, В.В., Федоров, Ф.С. Влияние предварительной обработки поверхности на электрохимические характеристики свинцового покрытия. Вестн. Саратов. гос. техн. ун-та. 2011. № 4(49). Выпуск 1. С. 83. [Gorbachev, N.V., Gorbacheva, E.Yu., Solov’eva, N.D., Krasnov, V.V., and Fedorov, F.S., Surface pretreatment influence on lead coatings electrochemical characteristics, Vestnik Saratov. gosudarstvennogo tekhnicheskogo universiteta (in Russian), 2011, no. 4(49), issue 1, p. 83.]
- ГОСТ 9.305–84. Единая система защиты от коррозии и старения. Покрытия металлические и неметаллические неорганические. Операции технологических процессов получения покрытий: межгосударственный стандарт: издание официальное. Москва: ИПК Изд-во стандартов, 2003. [GOST 9.305–84. Unified system of corrosion and ageing protection. Metal and non-metal inorganic coatings. Technological process operations for coating production: interstate standard: official publication (in Russian). Moscow, 2003.]
- ГОСТ 9.302–88. Единая система защиты от коррозии и старения. Покрытия металлические и неметаллические неорганические. Методы контроля: межгосударственный стандарт: издание официальное. Москва: ИПК Изд-во стандартов, 2001. [GOST 9.302–88. Unified system of corrosion and ageing protection. Metal and non-metal inorganic coatings. Control methods: interstate standard: official publication (in Russian). Moscow, 2001.]
- Вольфкович, Ю.М., Пономарев, Ив.И., Сосенкин, В.Е., Пономарев, И.И., Скупов, К.М., Разоренов, Д.Ю. Исследование пористой структуры нановолокнистых электроспиннинговых материалов на основе полиакрилонитрила методом эталонной контактной порометрии. Физикохимия поверхности и защита материалов. 2019. Т. 55. № 1. С. 100. [Vol’fkovich, Yu.M., Ponomarev, Iv.I., Sosenkin, V.E., Ponomarev, I.I., Skupov, K.M., and Razorenov, D.Yu., A porous structure of nanofiber electrospun polyacrylonitrile-based materials: a standard contact porosimetry study, Prot. Met. Phys. Chem., 2019, vol. 55, p. 195.]
- Velichenko, A.B., Amadelli, R., Baranova, E.A., Girenko, D.V., and Danilov, F.I., Electrodeposition of Co-doped lead dioxide and its physicochemical properties, J. Electroanal. Chem., 2002, vol. 527, p. 56.]
- Mahalingam, T., Velumani, S., Raja, M., Thanikaikarasan, S., Chu, J.P., Wang, S.F., and Kim, Y.D., Electrosynthesis and characterization of lead oxide thin films, Mater. Charact., 2007, vol. 58, p. 817.]
- Михайленко, В.Г., Антонов, А.В. Исследование процесса электроосаждения диоксида свинца из щелочных электролитов. Гальванотехника и обработка поверхности. 2014. Т. 22. № 2. С. 29. [Mykhaylenko, V.G. and Antonov, A.V., A Study of the electrodeposition of lead dioxide from alkaline baths – Deposition process and coating quality, Gal’vanotekhnika i obrabotka poverkhnosti (in Russian), 2014, vol. 22, no. 2, p. 29.]
- Гиренко, Д.В., Груздева, Е.В. Физико-химические свойства диоксида свинца, осажденного из метансульфонатного электролита. Вопросы химии и хим. технологии. 2011. № 4(1). С. 129. [Girenko, D.V. and Gruzdeva, E.V., Physico-chemical properties of lead dioxide deposited from methanesulfonate electrolyte, Voprosy khimii i khimicheskoi tekhnologii (in Russian), 2011, no. 4(1), p. 129.]
- Li, X., Pletcher, D., and Walsh, F.C., Electrodeposited lead dioxide coatings, Chem. Soc. Rev., 2011, vol. 40, p. 3879.
- Xu, H., Li, J., Yan, W., and Chu, W., Preparation and characterization of titanium based PbO2 electrodes doped with some common elements, Rare Met. Mater. Eng., 2013, vol. 42, p. 885.
- Li, Q., Zhang, Q., Cui, H., Ding, L., Wei, Z., and Zhai, J., Fabrication of cerium-doped lead dioxide anode with improved electrocatalytic activity and its application for removal of Rhodamine B, Chem. Eng. J., 2013, vol. 228, p. 806.
- Girenko, D.V., Velichenko, A.B., Mahe, E., and Devilliers, D., Electrodeposition of thin electrocatalytic PbO2 layer on fluorine-doped tin oxide substrates, J. Electroanal. Chem., 2014, vol. 712, p. 194.
- Pavlov, D. Lead-Acid Batteries: Science and Tecnology: A Handbook of Lead-Acid Battery Technology and Its Influence on the Product, 2nd Ed., Amsterdam, Oxford, Cambridge: Elsevier, 2017. 720 p.
- Shmychkova, O., Luk’yanenko, T., Velichenko, A., Meda, L., and Amadelli, R., Bi-doped PbO2 anodes: Electrodeposition and physico-chemical properties, Electrochim. Acta, 2013, vol. 111, p. 332.
- Лукьяненко, Т.В., Шмычкова, О.Б., Величенко, А.Б. Влияние ионных добавок на электроосаждение диоксида свинца из метансульфонатных электролитов. Вопросы химии и хим. технологии. 2015. Т. 3 (101). С. 23. [Luk’yanenko, T.V., Shmychkova, O.B., and Velichenko, A.B., The influence of ionic dopants on PbO2 electodeposition from methanesulfonate electrolytes, Voprosy khimii i khimicheskoi tekhnologii (in Russian), 2015, vol. 3 (101), p. 23.]
- Pavlov, D., Balkanov, I., Halachev, T., and Rachev, P., Hydration and amorphization of active mass PbO2 particles and their influence on the electrical properties of the lead-acid battery positive plate, J. Electrochem. Soc., 1989, vol. 136, p. 3189.
- Pavlov, D., The lead-acid battery lead dioxide active mass: A gel–crystal system with proton and electron conductivity, J. Electrochem. Soc., 1992, vol. 139, p. 3075.
- Pavlov, D., Influence of crystal and gel zones on the capacity of the lead dioxide active mass, J. Power Sources, 1992, vol. 40, p. 169.
- Vetter, K.J., Elektrochemische Kinetik, Berlin, Heidelberg: Springer-Verlag GmbH, 1961. 698 S.
- ГОСТ Р 58593–2019. Источники тока химические. Термины и определения: национальный стандарт Российской Федерации: издание официальное. Москва: Стандартинформ, 2019. [GOST R 58593–2019. Primary and secondary cells and batteries. Vocabulary: national standard of the Russian Federation: official publication (in Russian). Moscow, 2019.]
Supplementary files








