Композиционные материалы на основе терморасширенного графита для биполярных пластин топливных элементов
- Авторы: Ерошенко В.Д.1, Андреева В.Е.2, Токарев Д.В.2, Меденников О.А.2, Клушин В.А.2, Фесенко Л.Н.2, Смирнова Н.В.2
-
Учреждения:
- ООО “ГрафитЭл — Московский Электродный Завод”
- Южно-Российский государственный политехнический университет (НПИ) им. М.И. Платова
- Выпуск: Том 59, № 12 (2023)
- Страницы: 798-806
- Раздел: Статьи
- URL: https://ogarev-online.ru/0424-8570/article/view/232691
- DOI: https://doi.org/10.31857/S0424857023120058
- EDN: https://elibrary.ru/QGKMDP
- ID: 232691
Цитировать
Полный текст
Аннотация
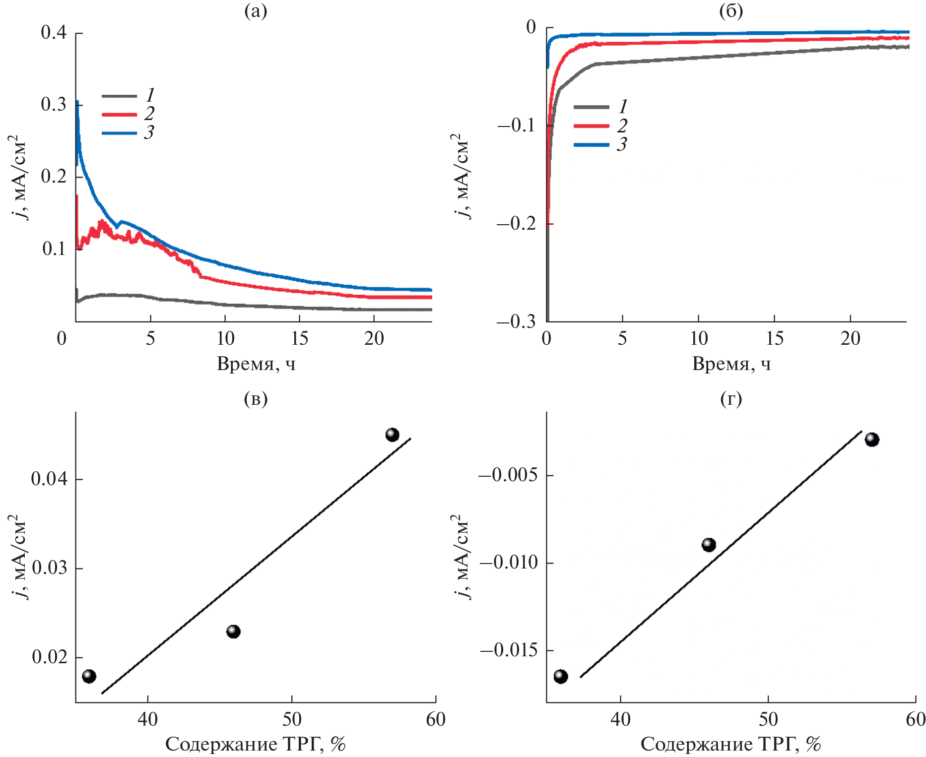
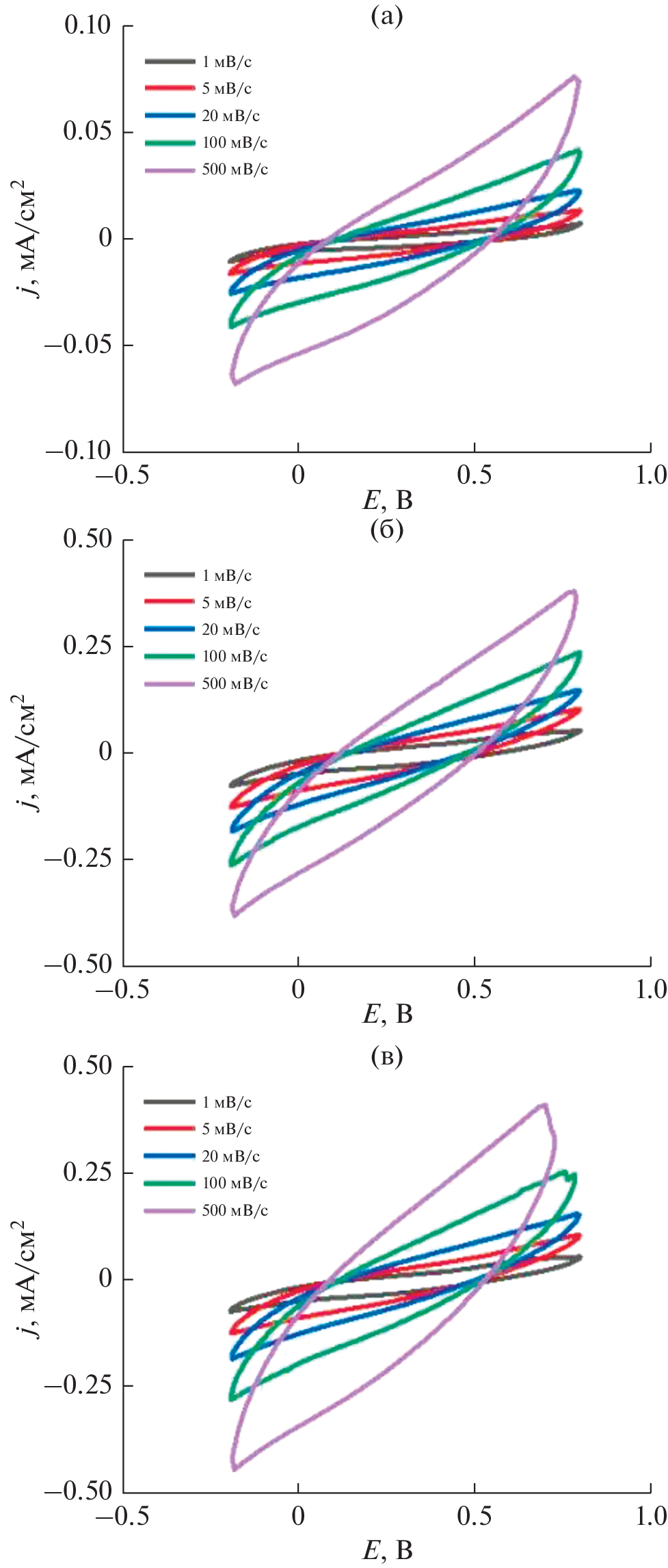
Композиционные материалы на основе термореактивного связующего марки СФП и терморасширенного графита с содержанием наполнителя 50–70% получены методом горячего прессования. Исследовано влияние способа введения наполнителя в композит на его физико-механические и электрохимические характеристики. Материалы, полученные смешением воздушно-сухих компонентов, характеризуются высокими электропроводностью (до 195 Cм см–1) и прочностными свойствами (более 25 мПа), низким межфазным контактным сопротивлением (менее 10 мОм см2) и током коррозии, не превышающим 1 мкА/см2, что позволит обеспечить высокую эффективность преобразования энергии в ТПТЭ.
Об авторах
В. Д. Ерошенко
ООО “ГрафитЭл — Московский Электродный Завод”
Email: viktor.eroshenko.89@mail.ru
Россия, 111123, Москва, ш. Энтузиастов, 31, стр. 2
В. Е. Андреева
Южно-Российский государственный политехнический университет (НПИ) им. М.И. Платова
Email: smirnova_nv@mail.ru
Россия, 346428, Новочеркасск, ул. Просвещения, 132
Д. В. Токарев
Южно-Российский государственный политехнический университет (НПИ) им. М.И. Платова
Email: smirnova_nv@mail.ru
Россия, 346428, Новочеркасск, ул. Просвещения, 132
О. А. Меденников
Южно-Российский государственный политехнический университет (НПИ) им. М.И. Платова
Email: smirnova_nv@mail.ru
Россия, 346428, Новочеркасск, ул. Просвещения, 132
В. А. Клушин
Южно-Российский государственный политехнический университет (НПИ) им. М.И. Платова
Email: smirnova_nv@mail.ru
Россия, 346428, Новочеркасск, ул. Просвещения, 132
Л. Н. Фесенко
Южно-Российский государственный политехнический университет (НПИ) им. М.И. Платова
Email: smirnova_nv@mail.ru
Россия, 346428, Новочеркасск, ул. Просвещения, 132
Н. В. Смирнова
Южно-Российский государственный политехнический университет (НПИ) им. М.И. Платова
Автор, ответственный за переписку.
Email: smirnova_nv@mail.ru
Россия, 346428, Новочеркасск, ул. Просвещения, 132
Список литературы
- Sharma, P. and Pandey, O.P., Proton exchange membrane fuel cells: fundamentals, advanced technologies, and practical applications. In PEM Fuel Cells, Elsevier, 2022, p. 1–24. https://doi.org/10.1016/B978-0-12-823708-3.00006-7
- Bazhenov, S., Dobrovolsky, Y., Maximov, A., and Zhdaneev, O.V., Key challenges for the development of the hydrogen industry in the Russian Federation, Sustainable Energy Technologies and Assessments, 2022, vol. 54, p. 102867. https://doi.org/10.1016/j.seta.2022.102867
- Younas, T., Bipolar plates for the permeable exchange membrane: carbon nanotubes as an alternative, In PEM Fuel Cells, Elsevier, 2022, p. 71-89. https://doi.org/10.1016/B978-0-12-823708-3.00006-7
- Tang, A., Crisci, L., Bonville, L., and Jankovic, J., An overview of bipolar plates in proton exchange membrane fuel cells, J. Renewable and Sustainable Energy, 2021, vol. 13(2), p. 022701. https://doi.org/10.1063/5.0031447
- Porstmann, S., Tannemacher, T., and Drossel, W.-G., A comprehensive comparison of state-of-the-art manufacturing methods for fuel cell bipolar plates including anticipated future industry trends, J. Manufacturing Proc., 2020, vol. 60, p. 366. https://doi.org/10.1016/j.jmapro.2020.10.041
- Stein, T. and Ein-Eli, Y., Challenges and Perspectives of Metal-Based Proton Exchange Membrane’s Bipolar Plates: Exploring Durability and Longevity, Energy Technol., 2020, vol. 8, p. 2000007. https://doi.org/10.1002/ente.202000007
- Wang, H. and Turner, J.A., Reviewing Metallic PEMFC Bipolar Plates, Fuel Cells, 2010, vol. 10, p. 510. https://doi.org/10.1002/fuce.200900187
- Li, Y., Jia, X., Zhang, W., Fang, C., Wang, X., Qin, F., Yamaura, S., and Yokoyama, Y., Effects of Alloying Elements on the Thermal Stability and Corrosion Resistance of an Fe-based Metallic Glass with Low Glass Transition Temperature, Metall. Mater. Trans. A., 2013, vol. 45, p. 2393. https://doi.org/10.1007/s11661-013-2071-6
- Ji, S., Hwang, Y.S., Park, T., Lee, Y.H., Paek, J.Y., Chang, I., Lee, M.H., and Cha, S.W., Graphite foil based assembled bipolar plates for polymer electrolyte fuel cells, Int. J. Precis. Eng. Man., 2012, vol. 13, p. 2183. https://doi.org/10.1007/s12541-012-0289-7
- Fan, R., Peng, Y., Tian, H., Zheng, J., Ming, P., and Zhang, C., Graphite-filled composite bipolar plates for fuel cells: material, structure, and performance, Acta Physico-Chimica Sinica, 2021, vol. 37(9), p. 2009095. https://doi.org/10.3866/PKU.WHXB202009095
- Badrul, F., Halim, K.A., Salleh, M.M., Omar, M.F., Osman, A.F., and Zakaria, M.S., Modeling electrical conductivity and tensile properties of conductive polymer composites (CPCs) based on percolation threshold theory-A short review, In AIP Conf. Proc., 2021, July, vol. 2347, no. 1, p. 020240. AIP Publishing LLC. https://doi.org/10.1063/5.0052346
- Chen, H., Liu, H.B., Xia, X.H., Yang, L., and He, Y.D., Preparation and properties of graphite/phenolic resin composite bipolar plate, Acta Mater. Compos. Sin., 2015, vol. 32, p. 744. https://doi.org/10.13801/j.cnki.fhclxb.201503.008
- Suherman, H., Sulong, A. B., and Sahari, J., Effect of the compression molding parameters on the in-plane and through-plane conductivity of carbon nanotubes/graphite/epoxy nanocomposites as bipolar plate material for a polymer electrolyte membrane fuel cell, Ceram. Intern., 2013, vol. 39, p. 1277. https://doi.org/10.1016/j.ceramint.2012.07.059
- Kim, M., Lim, J.W., and Lee, D.G., Electrical contact resistance between anode and cathode bipolar plates with respect to surface conditions, Compos. Struct., 2018, vol. 189, p. 79. https://doi.org/10.1016/j.compstruct.2018.01.067
- Yao, K., Adams, D. L., Hao, A., Zheng, J.P., and Liang, R., Highly Conductive, Strong, Thin and Lightweight Graphite-Phenolic Resin Composite for Bipolar Plates in Proton Exchange Membrane Fuel Cells, ECS Trans., 2017, vol. 77, p. 1303. https://doi.org/10.1149/07711.1303ecst
- Stübler, N., Meiners, D., Ziegmann, G., and Hickmann, T., Investigation of the properties of polymer composite bipolar plates in fuel cells, J. Plastics Technology, 2014, vol. 10(3), p. 68.
- Diaz, J., Rigail-Cedeño, A., Barzola-Monteses, J., and Espinoza-Andaluz, M., A pre-feasibility experimental study of using surface-enhanced flake graphite to build up PEFC bipolar plates, Energy Procedia, 2019, vol. 158, p. 1502. https://doi.org/10.1016/j.egypro.2019.01.358
- Antunes, R.A., Oliveira, M.C.L.D., Ett, G., and Ett, V., Carbon materials in composite bipolar plates for polymer electrolyte membrane fuel cells: A review of the main challenges to improve electrical performance, J. Power Sources, 2011, vol. 196, p. 2945. https://doi.org/10.1016/j.jpowsour.2010.12.041
- Фиалков, А.С. Углерод, межслоевые соединения и композиты на его основе, М.: Аспект Пресс, 1997. 718 с. [Fialkov, A.S. Carbon, interlayer compounds and composites based on it (in Russian), Moscow: Aspect Press, 1997. 718 p.]
- ГОСТ Р 56810–2015. Композиты полимерные. Метод испытания на изгиб плоских образцов, М.: Стандартинформ, 2016, 20 с. [GOST R 56810–2015. Polymer composites. Bending test method for flat specimens (in Russian), Moscow: Standartinform, 2016, 20 p.]
- ГОСТ Р 56785–2015 Композиты полимерные. Метод испытания на растяжение плоских образцов, М.: Стандартинформ, 2016, 16 с. [GOST R 56785–2015 Polymer composites. Tensile testing method for flat specimens (in Russian), Moscow: Standartinform, 2016, 16 p.]
- ГОСТ Р 56652–2015. Композиты полимерные. Методы определения водопоглощения материалов внутреннего слоя “сэндвич”-конструкций, М.: Стандартинформ, 2016, 15 с. [GOST R 56652-2015. Polymer composites. Methods for determining the water absorption of the materials of the inner layer of “sandwich” structures (in Russian), Moscow: Standartinform, 2016, 15 p.]
- Davies, D. P., et al., Bipolar plate materials for solid polymer fuel cells, J. Appl. Electrochem., 2000, vol. 30, no. 1, p. 101. https://doi.org/10.1023/A:1003831406406
- Fuel Cell Technical Team Roadmap, https://www.energy.gov/sites/default/files/2017/11/f46/FCTT_Roadmap_Nov_2017_FINAL.pdf.
- Chen, Z., Chen, Y., and Liu, H., Pyrolysis of phenolic resin by TG-MS and FTIR analysis, Adv. Mater. Res., 2013, vol. 631–632, p. 104. https://doi.org/10.4028/www.scientific.net/AMR.631-632.104
- Wlodarczyk, R., Carbon-based materials for bipolar plates for low-temperatures PEM fuel cells – A review, Functional Mater. Lett., 2019, vol. 12, no. 02, p. 1930001. https://doi.org/10.1142/S1793604719300019
Дополнительные файлы






