ELECTROSYNTHESIS OF CATALYTIC ACTIVE Pd-Cu AND Pd-Au BIMETALLIC NANOPARTICLES NANOCOMPOSITES WITH POLY(N-VINYLPYRROLIDONE) AND NANOCELLULOSE
- Authors: Fazleeva R.R.1, Nasretdinova G.R.1, Evtyugin V.G.2, Gubaidullin A.T.1, Yanilkin V.V.1
-
Affiliations:
- Arbuzov Institute of Organic and Physical Chemistry, FRC Kazan Scientific Center, Russian Academy of Sciences
- Kazan Federal University, Interdisciplinary Center “Analytical Microscopy”
- Issue: Vol 59, No 11 (2023)
- Pages: 686-706
- Section: Articles
- URL: https://ogarev-online.ru/0424-8570/article/view/232656
- DOI: https://doi.org/10.31857/S0424857023110063
- EDN: https://elibrary.ru/NWLTDT
- ID: 232656
Cite item
Full Text
Abstract
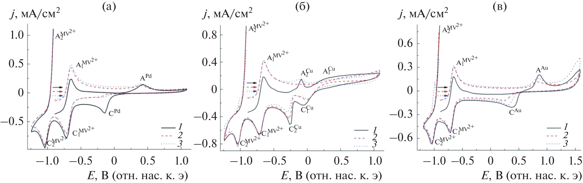
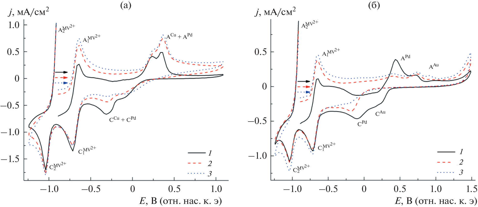
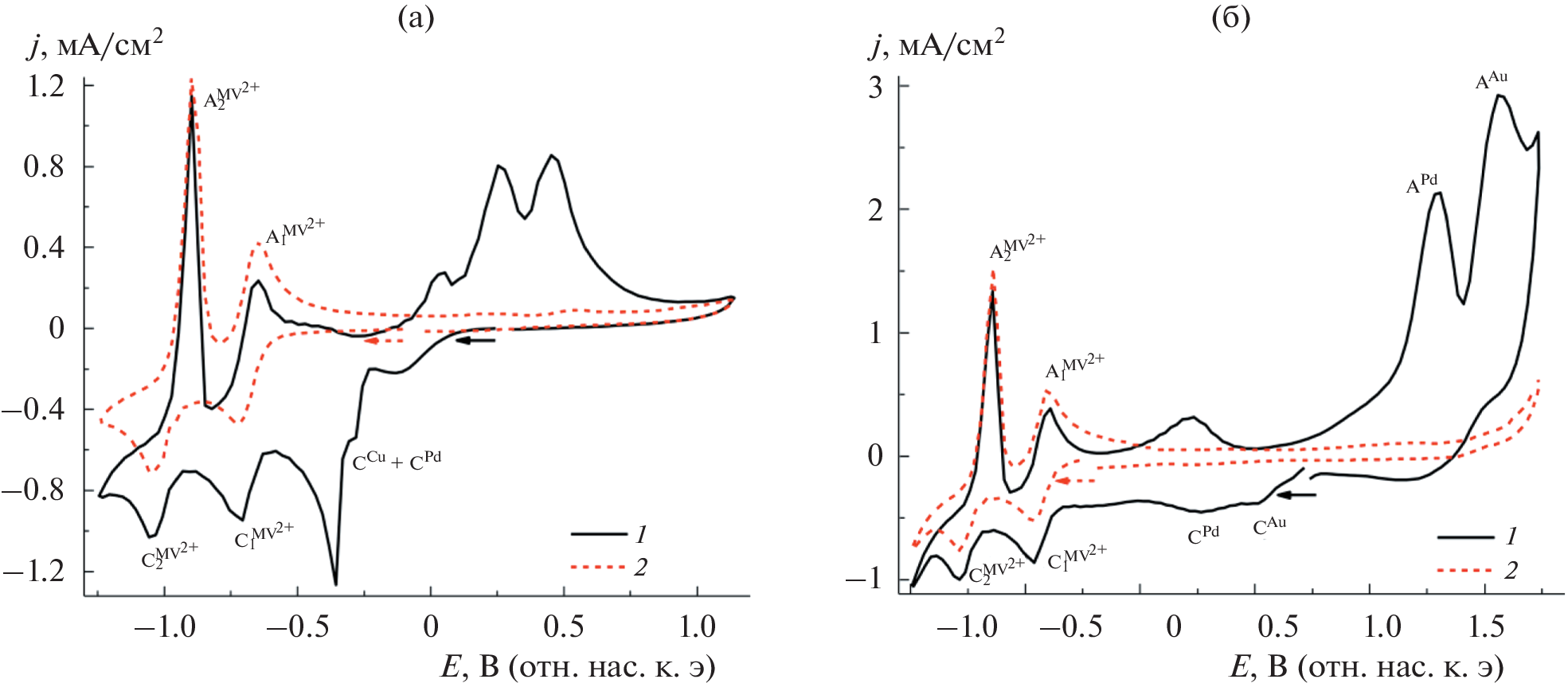
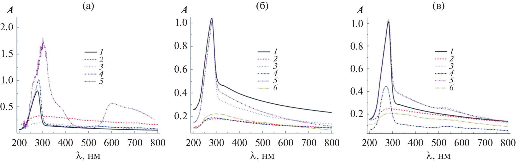
It was investigated the preparation in an undivided cell of Pd-Cu and Pd-Au bimetallic nanoparticles (NPs) by methylviologen (MV2+) -mediated electrochemical reduction of equimolar amounts of Cu(II), Pd(II) and Au(I) in the presence of poly(N-vinylpyrrolidone) (PVP) and nanocellulose (NC) at controlled potential of generating MV cation radical in aqueous medium at room temperature. Electrosyntheses were performed by sequential or joint reduction of metal ions by passing a theoretical amount of electricity. When Pd(II) ions are added to CuNPs, as well as Au(I) ions are added to PdNPs, a galvanic replacement process is observed, namely oxidation of Cu0 by Pd(II) and Pd0 Au(I) ions. The results of complete reduction are nanocomposites of mainly spherical MNPs, dispersed in the solution bulk, and stabilized by PVP on the surface of the NC. In the sequential synthesis of CuNPs and then PdNPs, the nanocomposite is presented as Cu2O nanoroses coated with fine PdNPs. Nanocomposites of Pd NPs with Cu2O or Au shows the mainly formation of spherical particles with the size of 4 to 50 nm depending on the production method. X-ray powder diffraction (XRD) data of nanocomposites confirm the formation of a mixture of PdNPs (0.8 - 10 nm) with large gold crystallites (until 24 nm), as well as the oxidation of CuNPs to cuprite (Cu2O). The size of metal crystallites and copper oxide varies in the range from 0.8 to 24 nm. In the test reaction of p-nitrophenol reduction with sodium borohydride in aqueous medium, all tested nanocomposites showed time-increasing catalytic activity. When Cu is added to Pd, the catalytic reduction reaction is maintained, while the addition of Au to Pd decreases the catalytic activity of PdNPs by an order of magnitude.
About the authors
R. R. Fazleeva
Arbuzov Institute of Organic and Physical Chemistry, FRC Kazan Scientific Center, Russian Academy of Sciences
Email: rezeda.fazleeva@iopc.ru
Россия, 420088, Казань, ул. Арбузова, 8
G. R. Nasretdinova
Arbuzov Institute of Organic and Physical Chemistry, FRC Kazan Scientific Center, Russian Academy of Sciences
Email: yanilkin@iopc.ru
Arbuzov St. 8, 420088 Kazan, Russia
V. G. Evtyugin
Kazan Federal University, Interdisciplinary Center “Analytical Microscopy”
Email: yanilkin@iopc.ru
Kremlevskaya St. 18, 420018 Kazan, Russia
A. T. Gubaidullin
Arbuzov Institute of Organic and Physical Chemistry, FRC Kazan Scientific Center, Russian Academy of Sciences
Email: yanilkin@iopc.ru
Arbuzov St. 8, 420088 Kazan, Russia
V. V. Yanilkin
Arbuzov Institute of Organic and Physical Chemistry, FRC Kazan Scientific Center, Russian Academy of Sciences
Author for correspondence.
Email: yanilkin@iopc.ru
Arbuzov St. 8, 420088 Kazan, Russia
References
- Kuncser, V., Coman, S.M., Kemnitz, E., and Parvulescu, V.I., Magnetic nanocomposites for an efficient valorization of biomass, J. Appl. Phys., 2015, vol. 117, p. 17D724.
- Помогайло, А.Д., Розенберг, А.С., Уфлянд И.Е. Наночастицы металлов в полимерах, М.: Химия, 2000. 671 c. [Pomogaylo, A.D., Rosenberg, A.S., and Uflyand, I.E. Nanoparticles of metals in polymers (in Russian), Moscow: Khimiya, 2002. 671 p.]
- Daniel, M.C. and Astruc, D., Gold nanoparticles: assembly, supramolecular chemistry, quantum-size-related properties, and applications toward biology, catalysis, and nanotechnology, Chem. Rev., 2004, vol. 104, p. 293.
- Wang, A., Li, J., and Zhang, T., Heterogeneous single- atom catalysis, Nature Rev. Chem., 2018, vol. 2, p. 65.
- Kharisov, B.I., Kharissova, O.V., and Ortiz-Méndez, U. Handbook of less-common nanostructures, New York: CRC Press, 2012. 862 p.
- Янилкин, В.В., Насретдинова, Г.Р., Кокорекин, В.А. Медиаторный электрохимический синтез наночастиц металлов. Успехи химии. 2018. Т. 87. С. 1080. [Yanilkin, V.V., Nasretdinova, G.R., and Kokorekin, V.A., Mediated electrochemical synthesis of metal nanoparticles, Russ. Chem. Rev., 2018. vol. 87. p. 1080.]
- Суздалев, И.П. Нанотехнология: физико-химия нанокластеров, наноструктур и наноматериалов (2-е изд.). M.: КомКнига, 2006. 589 с. [Suzdalev, I.P., Nanotechnology. Physicochemistry of nanoclusters, nanostructures and nanomaterials. Moscow: KomKniga, 2006. 589 p.]
- Анаников, В.П., Хемчян, Л.Л., Иванова, Ю.В., Бухтияров, В.И., Сорокин, А.М., Просвирин, И.П., Вацадзе, С.З., Медведько, А.В., Нуриев, В.Н., Дильман, А.Д., Левин, В.В., Коптюг, И.В., Ковтунов, К.В., Живонитко, В.В., Лихолобов, В.А., Романенко, А.В., Симонов, П.А., Ненайденко, В.Г., Шматова, О.И., Музалевский, В.М., Нечаев, М.С., Асаченко, А.Ф., Морозов, О.С., Джеваков, П.Б., Осипов, С.Н., Воробьева, Д.В., Топчий, М.А., Зотова, М.А., Пономаренко, С.А., Борщев, О.В., Лупоносов, Ю.Н., Ремпель, А.А., Валеева, А.А., Стахеев, А.Ю., Турова, О.В., Машковский, И.С., Сысолятин, С.В., Малыхин, В.В., Бухтиярова, Г.А., Терентьев, А.О., Крылов, И.Б. Развитие методологии современного селективного органического синтеза: получение функционализированных молекул с атомарной точностью. Успехи химии. 2014. Т. 83. С. 885. [Ananikov, V.P., Khemchyan, L.L., Ivanova, Yu.V., Bukhtiyarov, V.I., Sorokin, A.M., Prosvirin, I.P., Vatsadze, S.Z., Medved’ko, A.V., Nuriev, V.N., Dilman, A.D., Levin, V.V., Koptyug, I.V., Kovtunov, K.V., Zhivonitko, V.V., Likholobov, V.A., Romanenko, A.V., Simonov, P.A., Nenajdenko, V.G., Shmatova, O.I., Muzalevskiy, V.M., Nechaev, M.S., Asachenko, A.F., Morozov, O.S., Dzhevakov, P.B., Osipov, S.N., Vorobyeva, D.V., Topchiy, M.A., Zotova, M.A., Ponomarenko, S.A., Borshchev, O.V., Luponosov, Yu.N., Rempel, A.A., Valeeva, A.A., Stakheev, A.Yu., Turova, O.V., Mashkovsky, I.S., Sysolyatin, S.V., Malykhin, V.V., Bukhtiyarova, G.A., Terent’ev, A.O., and Krylov, I.B., Development of new methods in modern selective organic synthesis: preparation of functionalized molecules with atomic precision, Russ. Chem. Rev., 2014. vol. 83. p. 885.]
- Shaabani, A. and Mahyari, M., PdAu Alloy Nanoparticles Encapsulated by PPI-g-MWCNTs as a Novel Catalyst for Chemoselective Hydrogenation of Alkenes Under Mild Conditions, Catal. Lett., 2013, vol. 143, p. 1277.
- Li, X., Zeng, Z., Hu, B., Qian, L., and Hong, X., Surface-Atom Dependence of ZnO-Supported Ag@Pd Core@Shell Nanocatalysts in CO2 Hydrogenation to CH3OH, Chem. Cat. Chem., 2017, vol. 9, p. 924.
- Zhang, Y., Diao, W., Monnier, J.R., and Williams, C.T., Pd–Ag/SiO2 bimetallic catalysts prepared by galvanic displacement for selective hydrogenation of acetylene in excess ethylene, Catal. Sci. Technol., 2015, vol. 5, p. 4123.
- Heshmatpour, F., Abazari, R., and Balalaie, S., Preparation of monometallic (Pd, Ag) and bimetallic (Pd/Ag, Pd/Ni, Pd/Cu) nanoparticles via reversed micelles and their use in the Heck reaction, Tetrahedron, 2012, vol. 68, p. 3001.
- Wu, Y., Wang, D., Zhao, P., Niu, Z., Peng, Q., and Li Y., Monodispersed Pd–Ni Nanoparticles: Composition Control Synthesis and Catalytic Properties in the Miyaura-Suzuki Reaction, Inorg. Chem., 2011, vol. 50, p. 2046.
- Ru, Y., Huang, Y., Wang, Y., and Dai, L., Pd-Cu alloy nanoparticle supported on amine-terminated ionic liquid functional 3D graphene and its application on Suzuki cross-coupling reaction, Appl. Organometal. Chem., 2019, vol. 33, p. e5198.
- Chen, M., Zhang, Z., Li, L., Liu, Y., Wang, W., and Gao, J., Fast synthesis of Ag–Pd@reduced graphene oxide bimetallic nanoparticles and their applications as carbon–carbon coupling catalysts, RSC Adv., 2014, vol. 4, p. 30914.
- Nasretdinova, G.R., Fazleeva, R.R., Osin, Y.N., Evtugyn, V.G., Gubaidullin, A.T., Ziganshina, A.Y., and Yanilkin, V.V., Methylviologen mediated electrochemical synthesis of catalytically active ultrasmall bimetallic PdAg nanoparticles stabilized by CTAC, Electrochim. Acta, 2018, vol. 285, p. 149.
- Lee, G., Nguyen, N.-A., Nguyen, V.-T., Larina, L.L., Chuluunbat, E., Park, E., Kim, J., Choi, H.-S., and Keidar, M., High entropy alloy electrocatalyst synthesized using plasma ionic liquid reduction, J. Solid State Chem., 2022, vol. 314, p. 123388.
- Liu, J., Lan, L., Li, R., Liu, X., and Wu, C., Agglomerated Ag–Pd catalyst with performance for hydrogen generation from formic acid at room temperature, Int. J. Hydrog. Energy, 2016, vol. 41, p. 951.
- Бондарчук, И.С., Мамонтов, Г.В. Роль PdAg-интерфейса в биметаллических катализаторах Pd Ag/SiO2 в низкотемпературном окислении СО. Кинетика и катализ. 2015. Т. 56. С. 382. [Bondarchuk, I.S. and Mamontov, G.V., Role of PdAg Interface in Pd–Ag/SiO2 Bimetallic Catalysts in Low-Temperature Oxidation of Carbon Monoxide, Kinetics and Catalysis, 2015, vol. 56, p. 379.]
- Santhanalakshmi, J. and Venkatesan, P., Mono and bimetallic nanoparticles of gold, silver and palladium-catalyzed NADH oxidation-coupled reduction of Eosin-Y, J. Nanopart. Res., 2011, vol. 13, p. 479.
- Liu, X., Conte, M., He, Q., Knight, D.W., Murphy, D.M., Taylor, S.H., Whiston, K., Kiely, C.J., and Hutchings, G.J., Catalytic Partial Oxidation of Cyclohexane by Bimetallic Ag/Pd Nanoparticles on Magnesium Oxide, Chem. Eur. J., 2017, vol. 23, p. 11834.
- An, C., Kuang, Y., Fu, C., Zeng, F., Wang, W., and Zhou, H., Study on Ag–Pd bimetallic nanoparticles for electrocatalytic reduction of benzyl chloride, Electrochem. Commun., 2011, vol. 13, p. 1413.
- Benipal, N., Qi, J., Liu, Q., and Li, W., Carbon nanotube supported PdAg nanoparticles for electrocatalytic oxidation of glycerol in anion exchange membrane fuel cells, Appl. Catal., 2017, vol. 210, p. 121.
- Han, X.-W., Guo, S., Li, T., Peng, J., and Pan, H., Construction of Ag/3D-reduced graphene oxide nanocomposite with advanced catalytic capacity for 4-nitrophenol and methylene blue, Colloids Surf. A: Physicochem. Eng. Asp., 2022, vol. 650, p. 128688.
- Yanilkin, V.V., Fazleeva, R.R., Nasretdinova, G.R., Nastapova, N.V., and Osin, Y.N., Fullerene Mediated Electrosynthesis of Silver Nanoparticles in Toluene-DMF, ECS J. Solid State Sci. Technol., 2018, vol. 7, p. M55.
- Yanilkin, V.V., Nastapova, N.V., Nasretdinova, G.R., Osin, Yu.N., and Gubaidullin, A.T., Fullerene mediated electrosynthesis of Au/C60 nanocomposite, ECS J. Solid State Sci. Technol., 2017, vol. 6, no. 4, p. M19.
- An, K. and Somorjai, G.A., Nanocatalysis I: Synthesis of Metal and Bimetallic Nanoparticles and Porous Oxides and Their Catalytic Reaction Studies, Catal. Lett., 2015, vol. 145, p. 233.
- Zhang, S., Wu, Q., Tang, L., Hu, Y., Wang, M., Zhao, J., Li, M., Han, J., Liu, X., and Wang, H., Individual High-Quality N-Doped Carbon Nanotubes Embedded with Nonprecious Metal Nanoparticles toward Electrochemical Reaction, ACS Appl. Mater. Interfaces, 2018, vol. 10, p. 39757.
- Kuriganova, A.B., Leontyeva, D.V., Ivanov, S., Bund, A., and Smirnova, N.V., Electrochemical dispersion technique for preparation of hybrid MOx/C supports and Pt/MOx/C electrocatalysts for low-temperature fuel cells, J. Appl. Electrochem., 2016, vol. 46, p. 1245.
- Kuriganova, A.B., Leontyev, I.N., Alexandrin, A.S., Maslova, O.A., Rakhmatullin, A.I., and Smirnova, N.V., Electrochemically synthesized Pt/ TiO2/C catalysts for direct methanol fuel cell applications, Mendeleev Commun., 2017, vol. 27, p. 67.
- Yanilkin, V.V., Fazleeva, R.R., Nasretdinova, G.R., Osin, Yu.N., Gubaidullin, A.T., and Ziganshina, A.Yu., Two-step one-pot electrosynthesis and catalytic activity of the CoO–CoO⋅xH2O supported silver nanoparticles, J. Solid State Electrochem., 2020, vol. 24, p. 829.
- Фазлеева, Р.Р., Насретдинова, Г.Р., Осин, Ю.Н., Зиганшина, А.Ю., Янилкин, В.В. Двухстадийный электросинтез и каталитическая активность наночастиц Ag, Au, Pd на носителе из СоО–СоО⋅хН2О. Изв. АН. Сер. хим. 2020. Т. 69. С. 241. [Fazleeva, R.R., Nasretdinova, G.R., Osin, Yu.N., Ziganshina, A.Yu., and Yanilkin, V.V., Two-step electrosynthesis and catalytic activity of СоО–СоО·xН2О-supported Ag, Au, and Pd nanoparticles, Russ. Chem. Bull., 2020, vol. 69, p. 241.]
- Fazleeva, R.R., Nasretdinova, G.R., Osin, Yu.N., Samigullina, A.I., Gubaidullin, A.T., and Yanilkin, V.V., CoO–xCo(OH)2 supported silver nanoparticles: electrosynthesis in acetonitrile and catalytic activity, Mendeleev Commun., 2020, vol. 30, p. 456.
- Nastapova, N.V., Nasretdinova, G.R., Osin, Y.N., Gubaidullin, A.T., and Yanilkin, V.V., Two-step mediated electrosynthesis and catalytic activity of Au/Cu2O@poly(N-vinylpyrrolidone) nanocomposite, ECS J. Solid State Sci. Technol., 2020, vol. 9, p. 061007.
- Fazleeva, R.R., Nasretdinova, G.R., Gubaidullin, A.T., Evtyugin, V.G., and Yanilkin, V.V., The two-step electrosynthesis of nanocomposites of Ag, Au, and Pd nanoparticles with iron(II) oxide-hydroxide, New J. Chem., 2022, vol. 46, p. 2380.
- Fazleeva, R.R., Nasretdinova, G.R., Evtyugin, V.G., Gubaidullin, A.T., and Yanilkin, V.V., Electrosynthesis of nanocomposites of Ag, Au, Pd nanoparticles with aluminum(III), zinc(II), and titanium(IV) oxide‑hydroxides, J. Solid State Electrochem., 2022, vol. 26, p. 2271.
- Sun, Q., Zhai, W., Hou, G., Feng, J., Zhang, L., Si, P., Guo, S., and Ci, L., () In Situ Synthesis of a Lithiophilic Ag-Nanoparticles-Decorated 3D Porous Carbon Framework toward Dendrite-Free Lithium Metal Anodes, ACS Sustainable. Chem. Eng., 2018, vol. 6, p. 15219.
- Padbury, R.P., Halbur, J.C., Krommenhoek, P.J., Tracy, J.B., and Jur, J.S., Thermal Stability of Gold Nanoparticles Embedded within Metal Oxide Frameworks Fabricated by Hybrid Modifications onto Sacrificial Textile Templates, Langmuir, 2015, vol. 31, p. 1135.
- Landge, V.K., Sonawane, S.H., Manickam, S., Bhaskar Babu, G.U., and Boczkaj, G., Ultrasound-assisted wet-impregnation of Ag–Co nanoparticles on cellulose nanofibers: Enhanced catalytic hydrogenation of 4-nitrophenol, J. Environ. Chem. Eng., 2021, vol. 9, p. 105719.
- Azetsu, A., Koga, H., Isogai, A., and Kitaoka T., Synthesis and Catalytic Features of Hybrid Metal Nanoparticles Supported on Cellulose Nanofibers, Catalysts, 2011, vol. 1, p. 83.
- Khan, S.A., Khan, S.B., Farooq, A., and Asiri, A.M., A facile synthesis of CuAg nanoparticles on highly porous ZnO/carbon black-cellulose acetate sheets for nitroarene and azo dyes reduction/degradation, Int. J. Biol. Macromol., 2019, vol. 130, p. 288.
- Kaushik, M. and Moores, A., Review: nanocelluloses as versatile supports for metal nanoparticles and their applications in catalysis, Green Chem., 2016, vol. 18, p. 622.
- Янилкин, В.В., Фазлеева, Р.Р., Насретдинова, Г.Р., Осин, Ю.Н., Жукова, Н.А., Мамедов, В.А. Бензимидазо[1',2':1,2]хинолино[4,3-b][1,2,5]оксодиазоло[3,4-f]хиноксалин – новый медиатор для электросинтеза наночастиц металлов. Электрохимия. 2020. Т. 56. С. 710. [Yanilkin, V.V., Fazleeva, R.R., Nasretdinova, G.R., Osin, Y.N., Zhukova, N.A., and Mamedov, V.A., Benzimidazo[1',2':1,2]quinolino[4,3-b][1,2,5]oxodiazolo[3,4-f]quinoxaline – New Mediator for Electrosynthesizing Metal Nanoparticles, Russ. J. Electrochem., 2020, vol. 56, p. 646.]
- Янилкин, В.В., Фазлеева, Р.Р., Насретдинова, Г.Р., Осин, Ю.Н., Жукова, Н.А., Самигуллина, А.И., Губайдуллин, А.Т., Мамедов, В.А. Медиаторный электросинтез и каталитическая активность нанокомпозитов наночастиц металлов с поли(N-винилпирролидоном) и наноцеллюлозой. Электрохимия. 2021. Т. 57. С. 34. [Yanilkin, V.V., Fazleeva, R.R., Nasretdinova, G.R., Osin, Y.N., Zhukova, N.A., Samigullina, A.I., Gubaidullin, A.T., and Mamedov, V.A., Mediated electrosynthesis and catalytic activity of metal nanoparticles nanocomposites with poly(N-vinylpyrrolidone) and nanocellulose, Russ. J. Electrochem., 2021, vol. 57, p. 30.]
- Fazleeva, R.R., Nasretdinova, G.R., Osin, Y.N., Samigullina A.I., Gubaidullin, A.T., and Yanilkin, V.V., An Effective Producing Method of Nanocomposites of Ag, Au, and Pd Nanoparticles with Poly(N-vinylpyrrolidone) and Nanocellulose, Electrocatalysis, 2021, vol. 12, p. 225.
- Фазлеева, Р.Р., Насретдинова, Г.Р., Осин, Ю.Н., Губайдуллин, А.Т., Янилкин, В.В. Электрохимический способ получения глобул ультрамалых наночастиц родия с поли(N-винилпирролидоном) на поверхности волокон наноцеллюлозы. Изв. АН. Сер. хим. 2021. Т. 70. С. 1908. [Fazleeva, R.R., Nasretdinova, G.R., Osin, Yu.N., Gubaidullin, A.T., and Yanilkin, V.V., Electrochemical method for producing globules of ultrasmall rhodium nanoparticles with poly(N-vinylpyrrolidone) bound to the surface of nanocellulose fibers, Rus. Chem. Bull. Int. Ed., 2021, vol. 70, p. 1908.]
- Reddy, K.R., Kumar, N.S., Reddy, P.S., Sreedhar, B., and Kantam, M.L., Cellulose supported palladium(0) catalyst for Heck and Sonogashira coupling reactions, J. Mol. Catal. A Chem., 2006, vol. 252, p. 12.
- Lam, E., Hrapovic, S., Majid, E., Chong, J.H., and Luong, J.H.T., Catalysis using gold nanoparticles decorated on nanocrystalline cellulose, Nanoscale, 2012, vol. 4, no. 3, p. 997.
- Tang, J., Sisler, J., Grishkewich, N., and Tam, K.C., Functionalization of cellulose nanocrystals for advanced applications, J. Colloid and Interface Sci., 2017, vol. 494, p. 397.
- Drogat, N., Granet, R., Sol, V., Memmi, A., Saad, N., Koerkamp, C.K., Bressollier, P., and Krausz, P., Antimicrobial silver nanoparticles generated on cellulose nanocrystals, J. Nanoparticle Res., 2011, vol. 13, p. 1557.
- Berndt, S., Wesarg, F., Wiegand, C., Kralisch, D., and Müller, F.A., Antimicrobial porous hybrids consisting of bacterial nanocellulose and silver nanoparticles, Cellulose, 2013, vol. 20, p. 771.
- Schlesinger, M., Giese, M., Blusch, L.K., Hamad, W.Y., and MacLachlan, M.J., Chiral Nematic Cellulose-Gold Nanoparticle Composites from Mesoporous Photonic Cellulose, Chem. Commun., 2015, vol. 51, p. 530.
- Liu, H., Wang, D., Shang, S., and Song, Z., Synthesis and characterization of Ag–Pd alloy nanoparticles/carboxylated cellulose nanocrystals nanocomposites, Carbohydrate Polymers, 2011, vol. 83, p. 38.
- Zhang, T., Wang, W., Zhang, D., Zhang, X., Ma, Y., Zhou, Y., and Qi, L., Biotemplated Synthesis of Gold Nanoparticle–Bacteria Cellulose Nanofiber Nanocomposites and Their Application in Biosensing, Adv. Funct. Mater., 2010, vol. 20, p. 1152.
- Кокорекин, В.А., Гамаюнова, А.В., Янилкин, В.В., Петросян, В.А. Медиаторный электрохимический синтез наночастиц меди в растворе. Изв. АН. Сер. хим. 2017. № 11. С. 2035. [Kokorekin, V.A., Gamayunova, A.V., Yanilkin, V.V., Petrosyan, V.A. Mediated electrochemical synthesis of copper nanoparticles in solution bulk, Russ. Chem. Bull. (in Russian), Int. Ed., 2017, no. 11, p. 2035.]
- da Silva, A., Rodrigues, T., Haigh, S.J., and Camargo, P., Galvanic Replacement Reaction: Recent Developments for Engineering Metal Nanostructures towards Catalytic Applications, Chem. Commun., 2017, vol. 53, p. 7135.
- Papaderakis, A., Mintsouli, I., Georgieva, J., and Sotiropoulos S., Electrocatalysts Prepared by Galvanic Replacement, Catalysts, 2017, vol. 7, p. 80.
- Hosseini, S.R., Ghasemi, S., and Ghasemi S.A., Fabrication and Performance Evaluation of Pd–Cu Nanoparticles for Hydrogen Evolution Reaction, Chem. Select, 2019, vol. 4, p. 6854.
- Teng, X., Wang, Q., Liu, P., Han, W., Frenkel, A.I., Wen, W., Marinkovic, N., Hanson, J.C., and Rodriguez J.A., Formation of Pd/Au Nanostructures from Pd Nanowires via Galvanic Replacement Reaction, J. Amer. Chem. Soc., 2008, vol. 130, p. 1093.
- Насретдинова, Г.Р., Фазлеева, Р.Р., Осин, Ю.Н., Губайдуллин, А.Т., Янилкин, В.В. Метилвиологен-медиаторный электрохимический синтез наночастиц серебра восстановлением наносфер AgCl, стабилизированных хлоридом цетилтриметиламмония. Электрохимия. 2017. Т. 53. С. 31. [Nasretdinova, G.R., Fazleeva, R.R., Osin, Y.N., Gubaidullin, A.T., and Yanilkin, V.V., Methylviologen mediated electrochemical synthesis of silver nanoparticles by reduction of AgCl nanospheres stabilized with cetyltrimethylammonium chloride, Russ. J. Electrochem., 2017, vol. 53, p. 31.]
- Deng, D., Cheng, Y., Jin, Y., Qi, T., and Xiao, F., Antioxidative effect of lactic acid-stabilized copper nanoparticles prepared in aqueous solution, J. Mater. Chem., 2012, vol. 22, p. 23989.
- Amendola, V. and Meneghetti, M., Laser ablation synthesis in solution and size manipulation of noble metal nanoparticles, Phys. Chem. Chem. Phys., 2009, vol. 11, p. 3805.
- Usman, M.S., Ibrahim, N.A., Shameli, K., Zainuddin, N., and Yunus, W.M.Z.W., Copper Nanoparticles Mediated by Chitosan: Synthesis and Characterization via Chemical Methods, Molecules, 2012, vol. 17, p. 14928.
- Lara, P. and Philippot, K., The hydrogenation of nitroarenes mediated by platinum nanoparticles: an overview, Catal. Sci. Technol., 2014, vol. 4, p. 2445.
- Babji, P. and Rao, V.L., Catalytic reduction of 4-Nitrophenol to 4-Aminophenol by using Fe2O3–Cu2O–TiO2 nanocomposite, Int. J. Chem. Stud., 2016, vol. 4, p. 123.
- Pradhan, N., Pal, A., and Pal, T., Silver nanoparticle catalyzed reduction of aromatic nitro compounds, Colloids Surf. A, 2002, vol. 196, p. 247.
- Ma, T., Yang, W., Liu, S., Zhang H., and Liang, F., A Comparison Reduction of 4-Nitrophenol by Gold Nanospheres and Gold Nanostars, Catalysts, 2017, vol. 7, p. 38.
Supplementary files
























