FORMATION AND PROPERTIES OF BIMETALLIC ELECTROCATALYSTS BASED ON AMINOPHENYL PORPHYRIN METAL COMPLEXES
- Authors: Kuzmin S.M.1, Filimonova Y.A.1, Vikol L.K.1, Chulovskaya S.A.1, Syrbu S.A.1, Parfenyuk V.I.1
-
Affiliations:
- G.A. Krestov Institute of Solution Chemistry of the Russian Academy of Sciences
- Issue: Vol 59, No 11 (2023)
- Pages: 647-658
- Section: Articles
- URL: https://ogarev-online.ru/0424-8570/article/view/232643
- DOI: https://doi.org/10.31857/S0424857023110117
- EDN: https://elibrary.ru/NWSKTA
- ID: 232643
Cite item
Full Text
Abstract
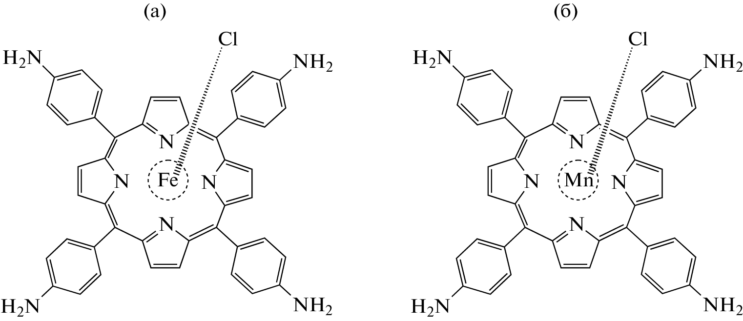
In this work the bimetallic composites formation via electrochemical co-deposition of Fe(III)Cl-5,10,15,20-tetrakis(4-aminophenyl)porphyrin and Mn(III)Cl-5,10,15,20-tetrakis(4- aminophenyl)porphyrin has been studied. The composites were obtained by superoxide-assisted electrochemical deposition from mixed DMSO solutions with equal concentrations of porphyrins. Spectral analysis of the obtained composites has shown their enrichment with Mn-complexes of porphyrin. Comparative analysis of morphology and electro active surface area, as well as the responses in oxygen electro reduction process on their surfaces has been carried out for individual porphyrins and composites films. A higher catalytic activity has been demonstrated for the films of the bimetallic composites as compared to those of the individual metal complexes.
About the authors
S. M. Kuzmin
G.A. Krestov Institute of Solution Chemistry of the Russian Academy of Sciences
Email: smk@isc-ras.ru
Akademicheskaya St., 1, Ivanovo 153045, Russia
Yu. A. Filimonova
G.A. Krestov Institute of Solution Chemistry of the Russian Academy of Sciences
Email: smk@isc-ras.ru
Akademicheskaya St., 1, Ivanovo 153045, Russia
L. K. Vikol
G.A. Krestov Institute of Solution Chemistry of the Russian Academy of Sciences
Email: smk@isc-ras.ru
Akademicheskaya St., 1, Ivanovo 153045, Russia
S. A. Chulovskaya
G.A. Krestov Institute of Solution Chemistry of the Russian Academy of Sciences
Email: smk@isc-ras.ru
Akademicheskaya St., 1, Ivanovo 153045, Russia
S. A. Syrbu
G.A. Krestov Institute of Solution Chemistry of the Russian Academy of Sciences
Email: smk@isc-ras.ru
Akademicheskaya St., 1, Ivanovo 153045, Russia
V. I. Parfenyuk
G.A. Krestov Institute of Solution Chemistry of the Russian Academy of Sciences
Author for correspondence.
Email: smk@isc-ras.ru
Akademicheskaya St., 1, Ivanovo 153045, Russia
References
- Liu, K.-G., Sharifzadeh, Z., Rouhani, F., Ghorbanloo, M., and Morsali, A., Metal-organic framework composites as green/sustainable catalysts, Coord. Chem. Rev., 2021, vol. 436, p. 213827.
- Peng, L. and Wei, Z., Catalyst engineering for electrochemical energy conversion from water to water: water electrolysis and the hydrogen fuel cell, Engineering, 2020, vol. 6, p. 653.
- Kavanagh, P., On the use of surface confined molecular catalysts in fuel cell development, Current Opinion in Electrochem., 2021, vol. 29, p. 100765.
- Wei, H., Tan, A., Hu, S., Piao, J., and Fu, Z., Efficient spinel iron-cobalt oxide/nitrogen-doped ordered mesoporous carbon catalyst for rechargeable zinc-air batteries, Chinese J. Catalysis, 2021, vol. 42, p. 1451.
- Ganiyu, S.O., Martínez-Huitle, C.A., and Oturan, M.A., Electrochemical advanced oxidation processes for wastewater treatment: Advances in formation and detection of reactive species and mechanisms, Current Opinion in Electrochem., 2021, vol. 27, p. 100678.
- Zhang, X., Wasson, M.C., Shayan, M., Berdichevsky, E.K., Ricardo-Noordberg, J., Singh, Z., Papazyan, E.K., Castro, A.J., Marino, P., Ajoyan, Z., Chen, Z., Islamoglu, T., Howarth, A.J., Liu, Y., Majewski, M.B., Katz, M.J., Mondloch, J.E., and Farha, O.K., A historical perspective on porphyrin-based metal–organic frameworks and their applications, Coord. Chem. Rev., 2021, vol. 429, p. 213615.
- Feng, L., Wang, K.-Y., Joseph E., and Zhou, H.-C., Catalytic Porphyrin Framework, Compounds Trends in Chem., 2020, vol. 2, p. 555.
- Ji, W., Wang, T.-X., Ding, X., Lei, S., and Han, B.-H., Porphyrin- and phthalocyanine-based porous organic polymers: From synthesis to application, Coord. Chem. Rev., 2021, vol. 439, p. 213875.
- Hikal, W.M. and Harmon, H.J., Photocatalytic self-assembled solid porphyrin microcrystals from water-soluble porphyrins: Synthesis, characterization and application, Polyhedron, 2009, vol. 28, p. 113.
- Rebelo, S.L.H., Neves, C.M.B., de Almeida, M.P., Pereira, E., Simoes, M.M.Q., Neves, M.G.P.M.S., de Castro, B., and Medforth, C.J., Binary ionic iron(III) porphyrin nanostructured materials with catalase-like activity, Appl. Mater. Today, 2020, vol. 21 p. 100830.
- Gu, S., Marianov, A.N., Zhu, Y., and Jiang, Y., Cobalt porphyrin immobilized on the TiO2 nanotube electrode for CO2 electroreduction in aqueous solution, J. Energy Chem., 2021, vol. 55, p. 219.
- Wang, T., Xu, L., Chen, Z., Guo, L., Zhang, Y., Li, R., and Peng, T., Central site regulation of cobalt porphyrin conjugated polymer to give highly active and selective CO2 reduction to CO in aqueous solution, Appl. Catal., B: Environmental, 2021, vol. 291, p. 120128.
- Zhang, Q., Wang, Y., Wang, Y., Yang, S., Wu, X., Lv, B., Wang, N., Gao, Y., Xu, X., Lei, H., and Cao, R., Electropolymerization of cobalt porphyrins and corroles for the oxygen evolution reaction, Chin. Chem. Lett., 2021, vol. 32, p. 3807.
- Charisiadis, A., Glymenaki, E., Planchat, A., Margiola, S., Lavergne-Bril, A.-C., Nikoloudakis, E., Nikolaou, V., Charalambidis, G., Coutsolelos, A.G., and Odobel, F., Photoelectrochemical properties of dyads composed of porphyrin/ ruthenium catalyst grafted on metal oxide semiconductors, Dyes and Pigments, 2021, vol. 185, p. 108908.
- Schaming, D. and Ruhlmann, L., Electrosynthesis of Oligo-and Polyporphyrins Based on Oxidative Coupling of Macrocycles in “Electrochemistry of N4 Macrocyclic Metal Complexes Volume 2: Biomimesis, Electroanalysis and Electrosynthesis of MN4 Metal Complexes”, Zagal, J. H. and Bedioui, F. eds., Springer, 2016, p. 395.
- Carballo, R.R., Campodall’Orto, V., and Rezzano, I.N., Supported bimetallic polymers of porphyrins as new heterogeneous catalyst, J. Mol. Catal. A: Chem., 2008, vol. 280, p. 156.
- Hamer, M., Carballo, R.R., Cid, N., and Rezzano, I.N., Study of the electron transfer properties of nanostructured bimetallic films of polymerized porphyrins, Electrochim. Acta, 2012, vol. 78, p. 302.
- Kuzmin, S.M., Chulovskaya, S.A., and Parfenyuk, V.I., Superoxide-assisted electrochemical deposition of Mn-aminophenyl porphyrins: Process characteristics and properties of the films, Electrochim. Acta, 2018, vol. 292, p. 256.
- Friedman, A., Saltsman, I., Gross, Z., and Elbaz, L., Electropolymerization of PGM-free molecular catalyst for formation of 3D structures with high density of catalytic sites, Electrochim. Acta, 2019, vol. 310, p. 13.
- Wang, A., Cheng, L., Shen, X., Zhu, W., and Li, L., Mechanistic insight on porphyrin based porous titanium coordination polymer as efficient bifunctional electrocatalyst for hydrogen and oxygen evolution reactions, Dyes and Pigments, 2020, vol. 181, p. 108568.
- Bruller, S., Liang, H.-W., Kramm, U.I., Krumpfer, J.W., Feng, X., and Klaus Mullen, Bimetallic porous porphyrin polymer-derived nonprecious metal electrocatalysts for oxygen reduction reactions, J. Mater. Chem. A, 2015, vol. 3, p. 23799.
- Chen, S.-M., Chen, Y.-L., and Thangamuthu, R., Electropolymerization of iron tetra(o-aminophenyl) porphyrin from aqueous solution and the electrocatalytic behavior of modified electrode, J. Solid State Electrochem., 2007, vol. 11, p. 1441.
- Ren, J., Yan, W., Liu, X., Wang, F., Xing, Q., Xiao, Z., Liu, H., Chen, Y., and Li, X., Porphyrin polymer-derived single-atom Fe assisted by Fe2O3 with oxygen vacancy for efficient oxygen reduction reaction, Appl. Surf. Sci., 2022, vol. 592, p. 153301.
- Attatsi, I.K., Zhu, W., and Liang, X., Surface molecular engineering of axial-exchanged Fe(III)Cl- and Mn(III)Cl-porphyrins towards enhanced electrocatalytic ORRs and OERs, Inorg. Chim. Acta, 2020, vol. 507, p. 19584.
- Mourzina, Y.G. and Offenhäusser, A., Electrochemical properties and biomimetic activity of water-soluble meso-substituted Mn(III) porphyrin complexes in the electrocatalytic reduction of hydrogen peroxide, J. Electroanal. Chem., 2020, vol. 866, p. 114159.
- Martins, M.B.M.S., Corrêa, G.A., Moniz, T., Medforth, C.J., de Castro, B., and Rebelo, S.L.H., Nanostructured binuclear Fe(III) and Mn(III) porphyrin materials: tuning the mimics of catalase and peroxidase activity, J. Catal., 2023, vol. 419, p. 125.
- Fu, X., Zhang, L., Zhu, X., Zhu, S., Min, Y., Xu, Q., and Li, Q., Trace Mn-doped on highly dispersed Fe/Mn-SNC ultrathin carbon nanosheets for efficient oxygen reduction reaction, Appl. Surf. Sci., 2023, vol. 613, p. 156087.
- Kuzmin, S.M., Chulovskaya, S.A., Koifman, O.I., and Parfenyuk, V.I., Poly-porphyrin electrocatalytic films obtained via new superoxide-assisted electrochemical deposition method, Electrochem. Commun., 2017, vol. 83, p. 28.
- Semeikin, A.S., Koifman, O.I., and Berezin, B.D., Synthesis of tetraphenylporphins with active groups in the phenyl rings. 1. Preparation of tetrakis(4-aminophenyl)porphin, Chem. Heterocycl. Compd., 1982, vol. 18, p. 1046.
- Ormond, A.B. and Freeman, H.S., Effects of substituents on the photophysical properties of symmetrical porphyrins, Dyes and Pigments, 2013, vol. 96, p. 440.
- Kuzmin, S.M., Chulovskaya, S.A., and Parfenyuk, V.I., Effect of substituent structure on formation and properties of poly-hydroxyphenyl porphyrin films obtained by superoxide-assisted method, Electrochim. Acta, 2020, vol. 342, p. 136064.
- Kuzmin, S.M., Chulovskaya, S.A., and Parfenyuk, V.I., Highly conductive polyporphyrin films obtained by superoxide-assisted electropolymerization of para – aminophenyl porphyrin, Mater. Chem. Phys., 2020, vol. 241, p. 12239.
- Kuzmin, S.M., Chulovskaya, S.A., Dmitrieva, O.A., Mamardashvili, N.Z., Koifman, O.I., and Parfenyuk, V.I., 2H-5,10,15,20-tetrakis(3-aminophenyl)porphyrin films: electrochemical formation and catalyst property testing, J. Electroanal. Chem., 2022, vol. 918, p. 116476.
- Кузьмин, С.М., Чуловская, С.А., Парфенюк, В.И. Кинетика индуцированного осаждения пленок на основе тетракис(4-аминофенил)порфирина. Электрохимия. 2020. Т. 56. С. 347. [Kuzmin, S.M., Chulovskaya, S.A., and Parfenyuk, V.I., Kinetics of Induced Deposition of Films Based on Tetrakis(4-Aminophenyl)Porphyrin, Russ. J. Electrochem., 2020, vol. 56, p. 321.]
- Zhu, P. and Zhao, Y., Cyclic voltammetry measurements of electroactive surface area of porous nickel: Peak current and peak charge methods and diffusion layer effect, Mater. Chem. Phys., 2019, vol. 233, p. 60.
- Smith, R.E., Davies, T.J., Baynes, N.d.B., and Nichols, R.J., The electrochemical characterisation of graphite felts, J. Electroanal. Chem., 2015, vol. 747, p. 29.
- Brett, C.M.A. and Brett, A.M.O., Electrochemistry – Principles, methods and applications, Oxford: Oxford Univer. Press, 1993. 427 p.
- Zhang, J. (Eds.) PEM Fuel Cell Electrocatalysts and Catalyst Layers, Springer, 2008, p. 89–109.
- Парфенюк, В.И., Чуловская, С.А., Кузьмин, С.М., Койфман, О.И. Особенности формирования пленочных материалов на основе аминофенилпорфирина. Изв. Акад. наук. Сер. хим. 2022. Т. 71. С. 1921. [Parfenyuk, V.I., Kuzmin, S.M., Chulovskaya, S.A., and Koifman, O.I., Aminophenylporphyrin-based film materials: peculiar features of formation, Russ. Chem. Bull., 2022, vol. 71, p. 1921.]
- Kuzmin, S.M., Chulovskaya, S.A., and Parfenyuk, V.I., Scan rate effect on superoxide-assisted electrochemical deposition of 2H-5,10,15,20-tetrakis(3-aminophenyl)porphyrin films. Electrochim. Acta, 2022, vol. 425, p. 140742.
- Spiro, T.G., Zgierski, M.Z., and Kozlowski, P.M., Stereoelectronic factors in CO, NO and O2 binding to heme from vibrational spectroscopy and DFT analysis, Coord. Chem. Rev., 2001, vols. 219–221, p. 923.
- Tsuda, M. and Kasai, H., Imidazole ligand effect on O2 interaction with metalloporphyrins, Surf. Sci., 2007, vol. 601, p. 5200.
- Овченкова, Е.Н., Клюева, М.Е., Ломова, Т.Н. Координация пиридина на марганец(III)порфиринах. влияние множественного функционального замещения в порфирине. Журн. неорган. химии. 2017. Т. 62. С. 1490. [Ovchenkova, E.N., Klyueva, M.E., and Lomova, T.N., Ppyridine coordination to manganese(III) porphyrins: the effect of multiple functional substitution in porphyrin, Russ. J. Inorganic Chem., 2017, vol. 62, p. 1483.]
- Thandiayyakone, V., Murugan, A., Ravikumar, C.R., Rajkumar, T., Thillai Arasu, P., Yadav, H.S., and Kotteeswaran, P., Studies on redox and axial ligand properties of Meso-Mn(III) porphyrin by cyclic voltammetry and UV–Visible spectrophotometry, Mater. Today: Proceedings, 2021, vol. 47, p. 933.
- Taylor, R.J. and Humffray, A.A., Electrochemical studies on glassy carbon electrodes: II. Oxygen reduction in solutions of high pH (pH > 10), J. Electroanal. Chem. Interfac. Electrochem., 1975, vol. 64, p. 63.
- Masa, J., Ozoemena, K., Schuhmann, W., and Zagal, J.H., Oxygen reduction reaction using N4-metallomacrocyclic catalysts: fundamentals on rational catalyst design, J. Porphyr. Phthalocyanines, 2012, vol. 16, p. 762.
- Tryk, D.A., Cabrera, C.R., Fujishima, A., and Spataru, N., Oxygen electroreduction on carbon materials, in: Fundamental Understanding of Electrode Processes in Memory of Professor Ernest B. Yeager, Prakash, J., Chu, D., Scherson, D., Enayetullah, M., Tae Bae, I. eds., The Electrochemical Society Proceedings, Pennington, New Jersey, 2005. 45 p.
- Eremin, D.B. and Ananikov, V.P., Understanding active species in catalytic transformations: From molecular catalysis to nanoparticles, leaching, ‘‘Cocktails” of catalysts and dynamic systems, Coord. Chem. Rev., 2017, vol. 346, p. 2.
Supplementary files









