CARBON NANOPAPER PRODUCED FROM CARBON NANOTUBES/RESORCINOL-FORMALDEHYDE XEROGEL NANOCOMPOSITE FOR ELECTROCHEMICAL SUPERCAPASITORS
- Authors: Krestinin A.V.1, Knerel’man E.I.1, Dremova N.N.1, Golodkov O.N.1
-
Affiliations:
- Federal Research Center of Problems of Chemical Physics and Medicinal Chemistry, Russian Academy of Sciences (FRC PCPMC RAS)
- Issue: Vol 59, No 9 (2023)
- Pages: 517-529
- Section: Articles
- URL: https://ogarev-online.ru/0424-8570/article/view/139375
- DOI: https://doi.org/10.31857/S0424857023090086
- EDN: https://elibrary.ru/WINATD
- ID: 139375
Cite item
Full Text
Abstract
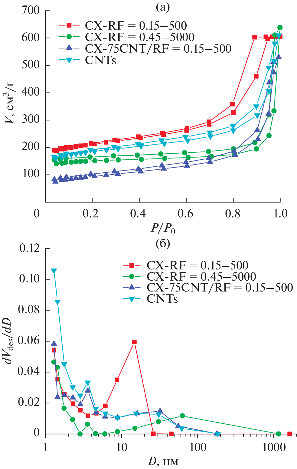
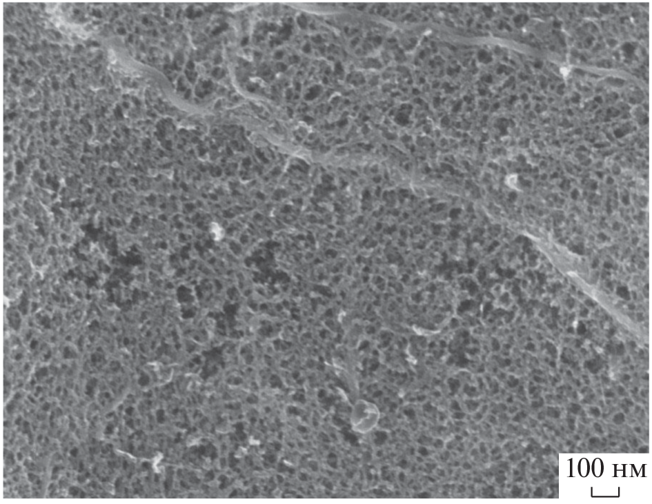
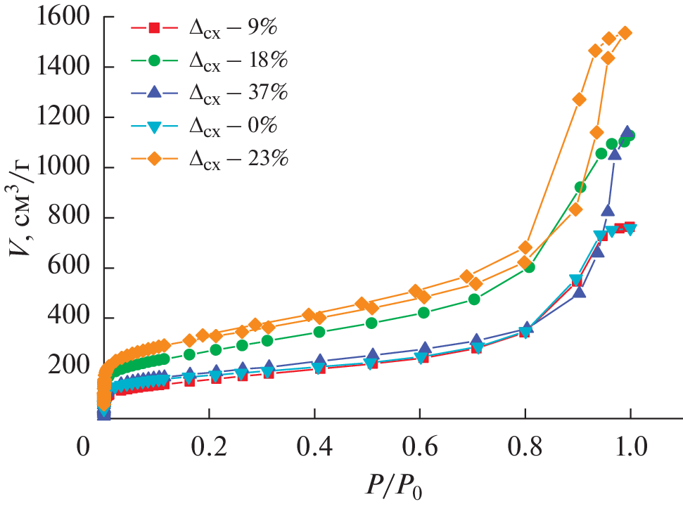
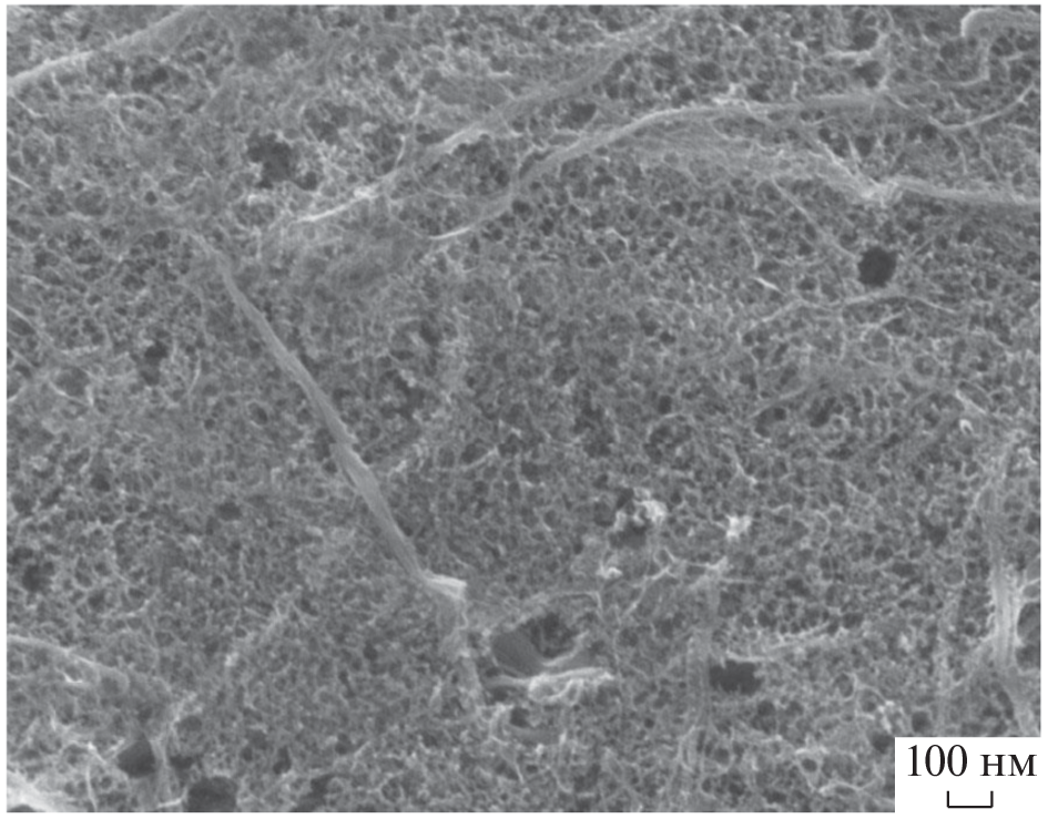
The nanocomposite of resorcinol-formaldehyde xerogel (RF-xerogel) and carbon nanotubes after carbonation at 800 °С was obtained in the form of composite carbon nanopaper (CCNP) with a thickness of 100-300 microns, a density from 0.1 g/cm2 to 0.5 g/cm2 and an electronic conductivity of more than 10 S/cm. According to the low temperature nitrogen adsorption data, the microporous structure of the nanopaper is formed by carbonized RF-xerogel, and the mesoporous structure is formed by the nanotube framework. The specific surface area of the nanopaper calculated by the method of nonlocal density function theory (NLDFT) exceeds 600 m2/g. The main contribution to the specific surface area of CCNP is made by pores with a width of ~ 0.7 nm, therefore, electrodes for a supercapacitor made of such paper are quite effective only in aqueous solutions of H2SO4 and KOH with small sizes of solvated ions. A technique for nanopaper activation with potassium hydroxide has been developed for the use of CCNP with organic electrolytes. The maximum specific surface area (NLDFT method) of activated CCNP reaches 1182 m2/g with a loss of carbon xerogel mass of ~ 25%. At the same time, the pore surface area of more than 1 nm width increases from 350 m2/g in CCNP to 685 m2/g in activated CCNP. Nanopaper has mechanical strength, pretty cheap and convenient for use in supercapacitors.
About the authors
A. V. Krestinin
Federal Research Center of Problems of Chemical Physics and Medicinal Chemistry, Russian Academy of Sciences (FRC PCPMC RAS)
Email: kresti@icp.ac.ru
142432 Moscow region, Chernogolovka, Russia
E. I. Knerel’man
Federal Research Center of Problems of Chemical Physics and Medicinal Chemistry, Russian Academy of Sciences (FRC PCPMC RAS)
Email: kresti@icp.ac.ru
142432 Moscow region, Chernogolovka, Russia
N. N. Dremova
Federal Research Center of Problems of Chemical Physics and Medicinal Chemistry, Russian Academy of Sciences (FRC PCPMC RAS)
Email: kresti@icp.ac.ru
142432 Moscow region, Chernogolovka, Russia
O. N. Golodkov
Federal Research Center of Problems of Chemical Physics and Medicinal Chemistry, Russian Academy of Sciences (FRC PCPMC RAS)
Author for correspondence.
Email: kresti@icp.ac.ru
142432 Moscow region, Chernogolovka, Russia
References
- Pandolfo, A.G. and Hollencamp, A.F., Carbon properties and their role in supercapacitors, J. Power Sources, 2006, vol. 157, p. 11.
- Burke, A., Ultracapacitors: why, how, and where is the technology, J. Power Sources, 2000, vol. 91, p. 37.
- Burke, A. and Miller, M., The power capability of ultracapacitors and lithium batteries for electric and hybrid vehicle applications, J. Power Sources, 2011, vol. 196, p. 514.
- Gogotsy, Y. and Simon, P., True performace metrics in electrical energy storage, Science, 2011, vol. 334, p. 917.
- Yang, X., Cheng, Ch., Wang, Y., Qiu, L., and Li, D., Liquid-Mediated Dense Integration of Graphene Materials for Compact Capacitive Energy Storage, Science, 2013, vol. 341, p. 534.
- Xu, Y., Lin, Z., Zhong, X., Huang, X., Weiss, N. O., Huang, Y., and Duan, X., Holey graphene frameworks for highly efficient capacitive energy storage, Nature Commun., 2014, vol. 5, p. 4554.
- Zhu, Y., Murali, Sh., Stoller, M.D., Ganesh, K.J., Cai, W., Ferreira, P.J., Pirkle, A., Wallace, R.M., Cychosz, K.A., Thommes, M., Su, D., Stach, E.A., and Ruoff, R.S., Carbon-Based Supercapacitors Produced by Activation of Graphene, Science, 2011, vol. 332(6037), p. 1537.
- Mayer, S.T., Pekala, R.W., and Kaschmitter, J.L., The Aerocapacitor: An Electrochemical Double-Layer Energy-Storage Device, J. Electrochem. Soc., 1993, vol. 42, no. 2, p. 446.
- Probstle, H., Schmitt, C., and Fricke, J., Button cell supercapacitors with monolithic carbon aerogels, J. Power Sources, 2000, vol. 105, p.189.
- Futaba, D.N., Hata, K., Yamada, T., Hiraoka, T., Hayamizu, Y., Kakudate, Y., Tanaike, O., Hatori, H., Yumura, M., and Iijima, S., Shape-engineerable and highly densely packed single-walled carbon nanotubes and their application as super-capacitor electrodes, Nature Mater., 2006, vol. 51, p. 987.
- Yoon, Y., Lee, K., Kwon, S., Seo, S., Yoo, H., Kim, S., Shin, Y., Park, Y., Kim, D., Choi, J.-Y., and Lee, H., Sheets Spatially and Densely Piled for Fast Ion Diffusion in Compact Supercapacitors, ACS Nano, 2014, vol. 8, p. 436.
- Shi, H., Activated carbons and double layer capacitance, Electrochim. Acta, 1996, vol. 41, no. 10, p. 1633.
- Stoller, M.D. and Ruoff, R.S., Best practice methods for determining an electrode materials performance for ultracapacitors, Energy Environ. Sci., 2010, vol. 3, p. 1294.
- Bordjiba, M., Mohamedi, L., and Dao, H., Synthesis and electrochemical capacitance of binderless nanocomposite electrodes formed by dispersion of carbon nanotubes and carbon aerogels, J. Power Sourses, 2007, vol. 172, p. 991.
- An, K.H., Kim, W.S., Park, Y.S., Moon, J.-M., Bae. D.J., Lim, S.Ch., Lee, Y.S., and Lee, Y.H., Electrochemical Properties of High-Power Supercapacitors Using Single-Walled Carbon Nanotube Electrodes, Adv. Funct. Mater., 2001, vol. 11, no. 5, p. 387.
- Izadi-Najafabadi, A., Yasuda, S., Kobashi, K., Yamada, T., Futaba, D.N., Hatori, H., Yumura, M., Iijima, S., and Hata, K., Extracting the Full Potential of Single-Walled Carbon Nanotubes as Durable Supercapacitor Electrodes Operable at 4 V with High Power and Energy Density, Adv. Mater., 2010, vol. 22, p. 235.
- Burke, A. and Miller, M., Testing of electrochemical capacitors: capacitance, resistance, energy density, and power capability, Electrochim. Acta, 2010, vol. 55, p. 7538.
- Pekala, R.W., Organic aerogels from the polycondensation of resorcinol with formaldehyde, J. Mater. Sci., 1989, vol. 24, p. 3221.
- Saliger, R., Reichenauer, G., and Fricke, J., Evolution of microporosity upon CO2-activation of carbon aerogels, In: Studies in Surface Science and Catalysis 128. K.K.Unger (Ed.). Elsevier Science B.V. 2000.
- Job, N., Pirard, R., Marien, J., and Pirard, J.-P., Porous carbon xerogels with texture tailored by pH control during sol–gel process, Carbon, 2004, vol. 42, p. 619.
- Calvo, E.G., Ania, C.O., Zubizarreta, L., Menendez, J.A., and Arenillas, A., Exploring New Routes in the Synthesis of Carbon Xerogels for Their Application in Electric Double-Layer Capacitors, Energy fuels, 2010, vol. 24, p. 3334.
- Fang, B. and Binder, L., A modified activated carbon aerogel for high-energy storage in electric double layer capacitors, J. Power Sources, 2006, vol.163, p. 616.
- Schmitt, C., Probstle, H., and Fricke, J., Carbon cloth-reinforced and activated aerogel films for supercapacitors, J. Non-Crystal. Solids, 2001, vol. 285, p. 277.
- https://ocsial.com.
- Крестинин, А.В., Дремова, Н.Н., Кнерельман, Е.И., Блинова, Л.Н., Жигалина, В.Г., Киселев Н.А. Характеризация ОСУНТ-продуктов Российского производства и перспективы их промышленного применения. Рос. нанотехнологии. 2015. Т. 10. № 7–8. С. 30. [Krestinin, A.V., Dremova, N.N., Knerel’man, E.I., Blinova, L.N., Zhigalina V.G., and Kiselev N.A., Characterization of SWCNT Products Manufactured in Russia and the Prospects for Their Industrial Application, Nanotechnologies in Russia, 2015, vol. 10, no. 7–8, p. 537.]
- Вольфкович, Ю.М., Рычагов, А.Ю., Сосенкин, В.Е. Влияние пористой структуры на электрохимические характеристики суперконденсатора с нанокомпозитными электродами на основе углеродных нанотрубок и резорцин-формальдегидного ксерогеля. Электрохимия. 2022. Т. 58. С. 496. [Vol’fkovich, Yu.M., Rychagov, A.Yu., and Sosenkin, V.E., Effect of the Porous Structure on the Electrochemical Characteristics of Supercapacitor with Nanocomposite Electrodes Based on Carbon Nanotubes and Resorcinol–Formaldehyde Xerogel, Russ. J. Electrochem., 2022, vol. 58, p. 730. https://doi.org/10.1134/S1023193522090142
- Lin, Ch., Ritter, J.A., and Popov, B.N., Correlation of Double-Layer Capacitance with the Pore Structure of Sol-Gel Derived Carbon Xerogels, J. Electrochem. Soc., 1999, vol. 146, no. 10, p. 3639.
- Barranco, V., Lillo-Rodenas, M.A., Linares-Solano, A., Oya, A., Pico, F., Ibanez, J., Agullo-Rueda, F., Amarilla, J.M., and Rojo, J.M., Amorphous Carbon Nanofibers and Their Activated Carbon Nanofibers as Supercapacitor, J. Phys. Chem. C, 2010, vol. 114, p. 10302.
- Raymundo-Pinero, E., Azaıs, P., Cacciaguerra, T., Cazorla-Amoros, D., Linares-Solano, A., and Beguin F., KOH and NaOH activation mechanisms of multiwalled carbon nanotubes with different structural organization, Carbon, 2005, vol. 43, p. 786.
- McKee, D.W., Gasification of graphite in carbon dioxide and water vapor-the catalytic effects of alkali metal salts, Carbon, 1982, vol. 20, p. 59.
- Lillo-Rodenas, M.A., Cazorla-Amoros, D., and Linares-Solano, A., Understanding chemical reactions between carbons and NaOH and KOH: an insight into the chemical activation mechanism, Carbon, 2003, vol. 41, p. 267.
- Термодинамические свойства индивидуальных веществ. Справочник. (под ред. Глушко В.П.) М.: Наука, 1979. Т. 2. Кн. 2. [Thermodynamic properties of individual substances. Handbook edition. (Glushko,V.P, Ed. In Russian). Moscow: Nauka, 1979, vol. 2, Book 2.]
- Barrett, E.P., Joyner, L.G., and Halenda, P.P., The Determination of Pore Volume and Area Distributions in Porous Substances. I. Computations from Nitrogen Isotherms, J. Amer. Chem. Soc., 1951, vol. 73, p. 373. https://doi.org/10.1021/ja01145a126
- Brunauer, S., Emmett, P.H., and Teller, E., Adsorption of gases in multimolecular layers, J. Amer. Chem. Soc., 1938, vol. 60, p. 309. https://doi.org/10.1021/ja01269a023
- Lippens, B.C. and de Boer, J.H., Studies on pore systems in catalysts: V. The t-method, J. Catal., 1965, vol. 4, no. 3, p. 319. https://doi.org/10.1016/0021-9517(65)90307-6
- Lufrano, F., Staiti, P., Calvo, E.G., Juarez-Perez, E.J., Menendez, J.A., and Arenillas, A., Carbon xerogels and manganese oxide capacitive materials for advance supercapacitors, J. Electrochem. Sci., 2011, vol. 6, p. 596.
- Zubizarreta, L., Arenillas, A., Pirard, J.P., Pis, J.J., and Job, N., Tailoring the textural properties of activated carbon xerogels by chemical activation with KOH, Micropor. Mesopor. Mater., 2008, vol. 115, p. 480.
- Everett, D.H. and Powl, J.C., Adsorption in slit-like and cylindrical micropores in the Henry’s law region, J. Chem. Soc., Faraday Trans. I, 1976, vol. 72, p. 619.
- Lastoskie, Ch., Gubbins, K.E., and Quirkef, N., Pore Size Distribution Analysis of Microporous Carbons: A Density Functional Theory Approach, J. Phys. Chem., 1993, vol. 97, p. 4786.
- Autosorb-1 Operating Manual Ver. 1.53.
- Lowell, S., Shields, J.E., Thomas, M.A., and Thommes, M., Characterization of porous solids and powders: surface area, pore size, and density. Dordrecht, Netherlands: Springer, 2006. 348 p.
Supplementary files













