Электрокристаллизация металлов в каналах пористых пленок анодного оксида алюминия: реальная структура темплата и количественная модель электроосаждения
- Авторы: Ноян А.А.1,2, Колесник И.В.2,3, Леонтьев А.П.2, Напольский К.С.2,3
-
Учреждения:
- Московский физико-технический институт
- Московский государственный университет им. М.В. Ломоносова, Химический факультет
- Московский государственный университет им. М.В. Ломоносова, Факультет наук о материалах
- Выпуск: Том 59, № 7 (2023)
- Страницы: 378-390
- Раздел: Статьи
- URL: https://ogarev-online.ru/0424-8570/article/view/139288
- DOI: https://doi.org/10.31857/S0424857023070083
- EDN: https://elibrary.ru/TXSSPG
- ID: 139288
Цитировать
Полный текст
Аннотация
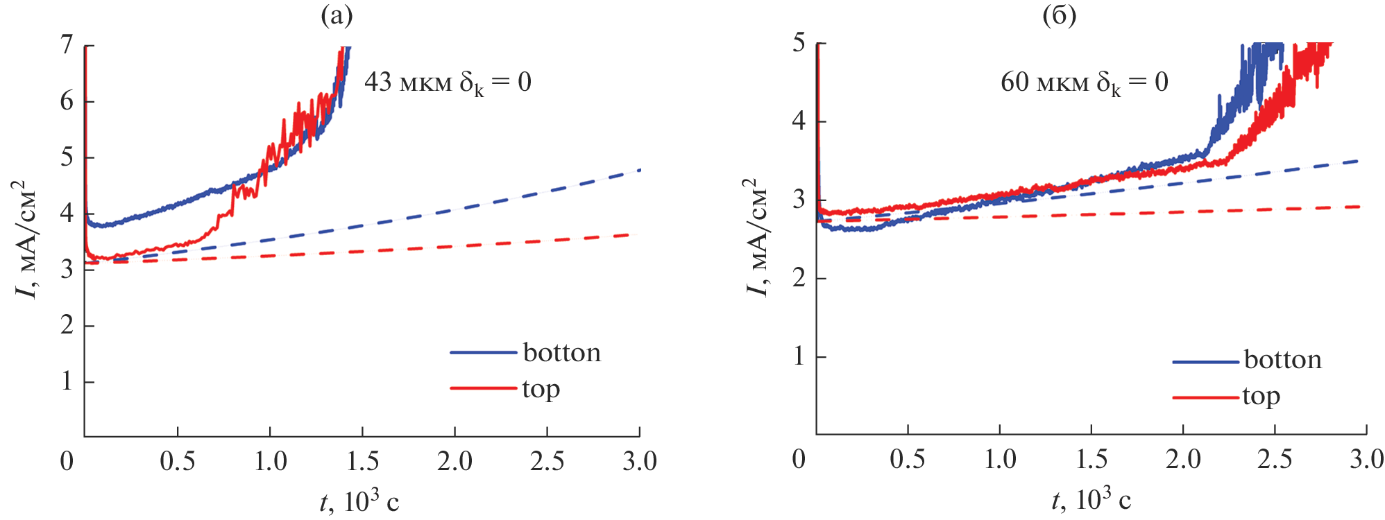
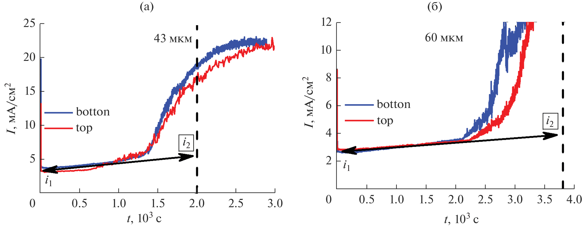
Предложена методика аналитического описания транзиентов тока при темплатном электроосаждении металла в пористые пленки анодного оксида алюминия (АОА). Проведено темплатное электроосаждение меди и золота. На примере электроосаждения меди показано, что экспериментальные данные количественно согласуются с расчетными значениями тока без использования подгоночных параметров. Измерены характеристики структуры пленок АОА, включая конусность пор и количество тупиковых каналов, исследовано влияние этих особенностей на процесс темплатного электроосаждения.
Об авторах
А. А. Ноян
Московский физико-технический институт; Московский государственный университет им. М.В. Ломоносова, Химический факультет
Email: alekseynoyan@gmail.com
Россия, Долгопрудный; Россия, Москва
И. В. Колесник
Московский государственный университет им. М.В. Ломоносова, Химический факультет; Московский государственный университет им. М.В. Ломоносова, Факультет наук о материалах
Email: kirill@inorg.chem.msu.ru
Россия, Москва; Россия, Москва
А. П. Леонтьев
Московский государственный университет им. М.В. Ломоносова, Химический факультет
Email: kirill@inorg.chem.msu.ru
Россия, Москва
К. С. Напольский
Московский государственный университет им. М.В. Ломоносова, Химический факультет; Московский государственный университет им. М.В. Ломоносова, Факультет наук о материалах
Автор, ответственный за переписку.
Email: kirill@inorg.chem.msu.ru
Россия, Москва; Россия, Москва
Список литературы
- Stepniowski, W.J. and Salerno, M., Fabrication of nanowires and nanotubes by anodic alumina template-assisted electrodeposition, Book chapter in Manufacturing Nanostructures, One Central Press, 2014, p. 321.
- Sulka, G.D., Highly Ordered Anodic Porous Alumina Formation by Self-Organized Anodizing, in: Nanostructured Materials in Electrochemistry, Weinheim, Germany: Wiley-VCH Verlag GmbH & Co. KGaA, 2008, p. 1. https://doi.org/10.1002/9783527621507.ch1
- Napolskii, K.S., Eliseev, A.A., Yesin, N.V., Lukashin, A.V., Tretyakov, Y.D., Grigorieva, N.A., Grigoriev, S.V., and Eckerlebe, H., Ordered arrays of Ni magnetic nanowires: Synthesis and investigation, Physica E., 2007, vol. 37, nos. 1–2, p. 178. https://doi.org/10.1016/j.physe.2006.08.018
- Lee, J.S., Gu, G.H., Kim, H., Jeong, K.S., Bae, J., and Suh, J.S., Growth of carbon nanotubes on anodic aluminum oxide templates: fabrication of a tube-in-tube and linearly joined tube, Chem. Mater., 2001, vol. 13, no. 7, p. 2387. https://doi.org/10.1021/cm0014076
- Liu, L., Yoo, S.H., Lee, S.A., and Park, S., Wet-Chemical Synthesis of Palladium Nanosprings, Nano Lett., 2011, vol. 11, no. 9, p. 3979. https://doi.org/10.1021/nl202332x
- Feng, H., Elam, J.W., Libera, J.A., Pellin, M.J., and Stair, P.C., Oxidative dehydrogenation of cyclohexane over alumina-supported vanadium oxide nanoliths, J. Catal., 2010, vol. 269, no. 2, p. 421. https://doi.org/10.1016/j.jcat.2009.11.026
- Li, S.J., Li, J., Wang, K., Wang, C., Xu, J.J., Chen, H.Y., Xia, X.H., and Huo, Q., A nanochannel array-based electrochemical device for quantitative label-free DNA analysis, ACS Nano, 2010, vol. 4, no. 11, p. 6417. https://doi.org/10.1021/nn101050r
- Xu, C.L., Li, H., Zhao, G.Y., and Li, H.L., Electrodeposition and magnetic properties of Ni nanowire arrays on anodic aluminum oxide/Ti/Si substrate, Appl. Surf. Sci., 2006, vol. 253, no. 3, p. 1399. https://doi.org/10.1016/j.apsusc.2006.02.056
- Davydov, D.N., Sattari, P.A., AlMawlawi, D., Osika, A., Haslett, T.L., and Moskovits, M., Field emitters based on porous aluminum oxide templates, J. Appl. Phys., 1999, vol. 86, p. 3983. https://doi.org/10.1063/1.371317
- Колмычек, И.А., Малышева, И.В, Новикова, В.Б., Майдыковский, А.И., Леонтьев, А.П., Напольский, К.С., Мурзина, Т.В. Оптические свойства гиперболических метаматериалов (миниобзор). ЖЭТФ. 2021. № 11–12. С. 727. https://doi.org/10.31857/S1234567821230026
- Kolmychek, I.A., Malysheva, I.V., Novikov, V.B., Leontiev, A.P., Napolskii, K.S., and Murzina, T.V., Phase-matched optical second harmonic generation in a hyperbolic metamaterial based on silver nanorods, Phys. Rev. B, 2020, vol. 102, no. 24. https://doi.org/10.1103/PhysRevB.102.241405
- Valizadeh, S., George, J.M., Leisnera, P., and Hultman, L., Electrochemical deposition of Co nanowire arrays; quantitative consideration of concentration profiles, Electrochim. Acta, 2001, vol. 47, no.6, p. 865. https://doi.org/10.1016/S0013-4686(01)00797-6
- Ghahremaninezhad, A. and Dolati, A., Diffusion-Controlled Growth Model for Electrodeposited Cobalt Nanowires in Highly Ordered Aluminum Oxide Membrane, ECS Transactions, 2010, vol. 28, no. 17, p. 13. https://doi.org/10.1149/1.3503348
- Blanco, S., Vargas, R., Mostany, J., Borrás, C., and Scharifker, B.R., Modeling the Growth of Nanowire Arrays in Porous Membrane Templates, J. Electrochem. Soc., 2014, vol. 161, no. 8, E3341. https://doi.org/10.1149/2.039408jes
- Fang, A. and Haataja, M., Modeling and Analysis of Electrodeposition in Porous Templates, J. Electrochem. Soc., 2017, vol. 164, no. 13, D875. https://doi.org/10.1149/2.1331713jes
- Chen, L., Zhang, H.W., Liang, L.Y., Liu, Z., Qi, Y., Lu, P., Chen, J., and Chen, L.Q., Modulation of dendritic patterns during electrodeposition: A nonlinear phase-field model, J. Power Sources, 2015, vol. 300, p. 376. https://doi.org/10.1016/j.jpowsour.2015.09.055
- Bograchev, D.A., Volgin, V.M., and Davydov, A.D., Simple model of mass transfer in template synthesis of metal ordered nanowire arrays, Electrochim. Acta, 2013, vol. 96, p. 1. https://doi.org/10.1016/j.electacta.2013.02.079
- Bograchev, D.A., Volgin, V.M., and Davydov, A.D., Simulation of inhomogeneous pores filling in template electrodeposition of ordered metal nanowire arrays, Electrochim. Acta, 2013, vol. 112, p. 279. https://doi.org/10.1016/j.electacta.2013.08.171
- Bograchev, D.A., Volgin, V.M., and Davydov, A.D., Modeling of metal electrodeposition in the pores of anodic aluminum oxide, Russ. J. Electrochem., 2015, vol. 51, p. 799. https://doi.org/10.1134/S1023193515090049
- Bograchev, D.A., Volgin, V.M., and Davydov, A.D., Mass transfer during metal electrodeposition into the pores of anodic aluminum oxide from a binary electrolyte under the potentiostatic and galvanostatic conditions, Electrochim. Acta, 2016, vol. 207, p. 247. https://doi.org/10.1016/j.electacta.2016.04.119
- Левич, В.Г. Физико-химическая гидродинамика. М.: Физматгиз, 1959.
- Shin, S., Al-Housseiny, T.T., Kim, B.S., Cho, H.H., and Stone, H.A., The Race of Nanowires: Morphological Instabilities and a Control Strategy, Nano Lett., 2014, vol. 14, no. 8, p. 4395. https://doi.org/10.1021/nl501324t
- Li, F., Zhang, L., and Metzger, R.M., On the Growth of Highly Ordered Pores in Anodized Aluminum Oxide, Chem. Mater., 1998, vol. 10, no. 9, p. 2470. https://doi.org/10.1021/cm980163a
- Lee, W., Ji, R., Gösele, U., and Nielsch, K., Fast fabrication of long-range ordered porous alumina membranes by hard anodization, Nature Mater., 2006, vol. 5, p. 741. https://doi.org/10.1038/nmat1717
- Napolskii, K.S., Roslyakov, I.V., Eliseev, A.A., Byelov, D.V., Petukhov, A.V., Grigoryeva, N.A., Bouwman, W.G., Lukashin, A.V., Chumakov, A.P., and Grigoriev, S.V., The Kinetics and Mechanism of Long-Range Pore Ordering in Anodic Films on Aluminum, J. Phys. Chem. C, 2011, vol. 115, no. 48, p. 23726. https://doi.org/10.1021/jp207753v
- Napolskii, K.S., Roslyakov, I.V., Romanchuk, A.Y., Kapitanova, O.O., Mankevich, A.S., Lebedev, V.A., and Eliseev, A.A., Origin of long-range orientational pore ordering in anodic films on aluminium, J. Mater. Chem., 2012, vol. 22, no. 24, p. 11922. https://doi.org/10.1039/C2JM31710A
- Roslyakov, I.V., Eliseev, A.A., Yakovenko, E.V., Zabelin, A.V., and Napolskii, K.S., Longitudinal pore alignment in anodic alumina films grown on polycrystalline metal substrates, J. Appl. Cryst., 2013, vol. 46, p. 1705. https://doi.org/10.1107/S002188981302579X
- Petukhov, D.I., Napolskii, K.S., and Eliseev, A.A., Permeability of anodic alumina membranes with branched channels, Nanotechnology, 2012, vol. 23, p. 335601. https://doi.org/10.1088/0957-4484/23/33/335601
- Lim, J.H. and Wiley, J.B., Controlling Pore Geometries and Interpore Distances of Anodic Aluminum Oxide Templates via Three-Step Anodization, J. Nanosci. Nanotechnol., 2015, vol. 15, no. 1, p. 633. https://doi.org/10.1166/jnn.2015.9245
- Kasi, A.K. and Kasi, J.K., Bending and branching of anodic aluminum oxide nanochannels and their applications, J. Vac. Sci. Technol. B, 2012, vol. 30, no. 3, p. 2166. https://doi.org/10.1116/1.4711246
- Petukhov, D.I., Napolskii, K.S., Berekchiyan, M.V., Lebedev, A.G., and Eliseev, A.A., Comparative Study of Structure and Permeability of Porous Oxide Films on Aluminum Obtained by Single- and Two-Step Anodization, Appl. Mater. Interfaces, 2013, vol. 5, no. 16, p. 7819. https://doi.org/10.1021/am401585q
- Choi, Y.C. and Bu, S.D., Nanopore Domain Growth Behavior by Nanopore Changes Near Domain Boundaries in Porous Anodic Alumina, J. Nanosci. Nanotechnol., 2011, vol. 11, no. 2, p. 1346. https://doi.org/10.1166/jnn.2011.3393
- Shim, S.J., Jo, K.G., and Kim, Y.Y., Fabrication and Growth of Ni Nanowires by using Anodic Aluminum Oxide (AAO) Template via Electrochemical Deposition, J. Korean Powder Metallurgy Institute, 2011, vol. 18, no. 1, p. 49. https://doi.org/10.4150/KPMI.2011.18.1.049
- Liu, Y., Chang, Y., Ling, Z., Hu, X., and Li, Y., Structural coloring of aluminum, Electrochem. Comm., 2011, vol. 13, no. 12, p. 1336. https://doi.org/10.1016/j.elecom.2011.08.008
- Kushnir, S.E. and Napolskii, K.S., Thickness-dependent iridescence of one-dimensional photonic crystals based on anodic alumina, Materials & Design, 2018, vol. 144, p. 140. https://doi.org/10.1016/j.matdes.2018.02.012
- Noyan, A.A., Leontiev, A.P., Yakovlev, M.V., Roslyakov, I.V., Tsirlina, G.A., and Napolskii, K.S., Electrochemical growth of nanowires in anodic alumina templates: the role of pore branching, Electrochim. Acta, 2017, vol. 226, p. 60. https://doi.org/10.1016/j.electacta.2016.12.142
- Liu, P., Singh, V.P., and Rajaputra, S., Barrier layer non-uniformity effects in anodized aluminum oxide nanopores on ITO substrates, J. Membrane Sci., 2009, vol. 21, no. 11, p. 115303. https://doi.org/10.1088/0957-4484/21/11/115303
- Noyan, A.A. and Napolskii, K.S., Birefringence in anodic aluminum oxide: an optical method for measuring porosity, Materials Advances, 2022, vol. 3, p. 3642. https://doi.org/10.1039/D2MA00111J
- Lide, R.L., CRC Handbook of Chemistry and Physics, CRC Press, 2004.
Дополнительные файлы










